Sowing Date Regulates the Growth and Yield of Broomcorn Millet (Panicum miliaceum L.): From Two Different Ecological Sites on the Loess Plateau of China
Abstract
:1. Introduction
2. Material and Methods
2.1. Experimental Site
2.2. Experimental Design
2.3. Sampling and Measurements
2.3.1. Photosynthetic Characteristics
2.3.2. Chlorophyll Fluorescence
2.3.3. Plant Growth Period and Meteorological Factors during the Growth Period
2.3.4. Plant Morphology Traits, Yield and Yield Compositions
2.3.5. Grain Size
2.4. Data Analysis
3. Results
3.1. Leaf Photosynthesis Characteristics
3.2. Leaf Chlorophyll Fluorescence
3.3. Morphological Traits
3.4. Plant Growth Days and the Meteorological Factors during Each Growth Period
3.5. Yield and Yield Components
3.6. The Grain Size of Broomcorn Millet
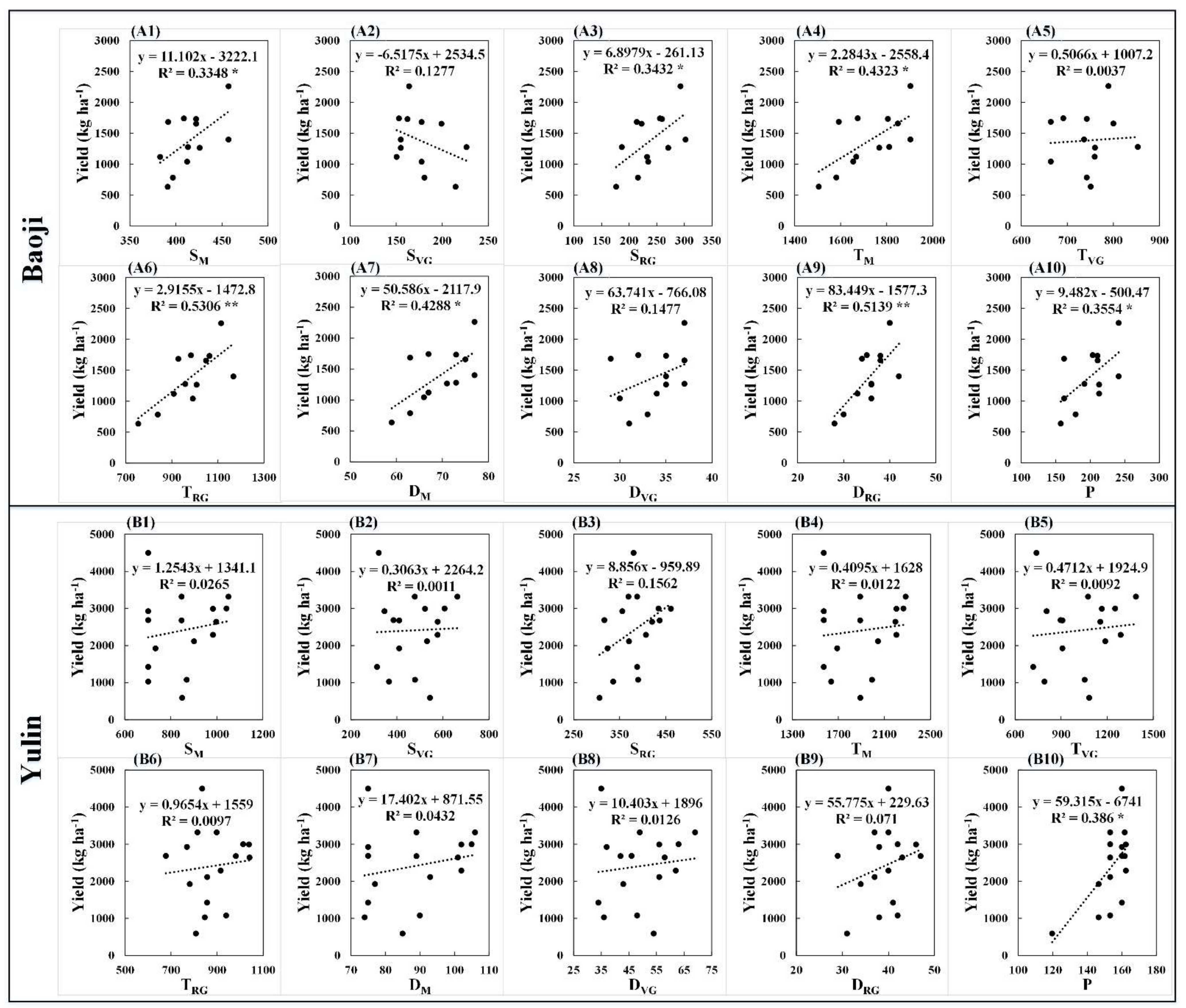
3.7. Correlation Analysis of Plant and Grain Parameters and Meteorological Factors in Each Location
3.8. Fitting Relationship between Yield, Meteorological Factors and Growth Days
4. Discussion
4.1. Responses of Photosynthetic Characteristics and Chlorophyll Fluorescence Parameters to Sowing Dates
4.2. Responses of the Grain Characteristics and Yield to Sowing Dates
4.3. Variety Adaptability and Ecological Environment
5. Conclusions
Supplementary Materials
Author Contributions
Funding
Informed Consent Statement
Data Availability Statement
Acknowledgments
Conflicts of Interest
References
- Liu, M.; Xu, Y.; He, J.; Zhang, S.; Wang, Y.; Lu, P. Genetic Diversity and Population Structure of Broomcorn Millet (Panicum miliaceum L.) Cultivars and Landraces in China Based on Microsatellite Markers. Int. J. Mol. Sci. 2016, 17, 370. [Google Scholar] [CrossRef] [PubMed]
- Wang, L.; Wang, X.; Wen, Q. Research and utilization of proso millet germplasm resource in China. J. Plant Genet. Res. 2005, 6, 471–474. [Google Scholar]
- Zhang, Y.; Gao, X.; Li, J.; Gong, X.; Yang, P.; Gao, J.; Wang, P.; Feng, B. Comparative analysis of proso millet (Panicum miliaceum L.) leaf transcriptomes for insight into drought tolerance mechanisms. BMC Plant Biol. 2019, 19, 397. [Google Scholar] [CrossRef] [PubMed]
- Yuan, Y.; Liu, C.; Gao, Y.; Ma, Q.; Yang, Q.; Feng, B. Proso millet (Panicum miliaceum L.): A potential crop to meet demand scenario for sustainable saline agriculture. J. Environ. Manag. 2021, 296, 113216. [Google Scholar] [CrossRef]
- Ma, Q.; Wu, C.; Liang, S.; Yuan, Y.; Liu, C.; Liu, J.; Feng, B. The Alkali Tolerance of Broomcorn Millet (Panicum miliaceum L.) at the Germination and Seedling Stage: The Case of 296 Broomcorn Millet Genotypes. Front. Plant Sci. 2021, 12, 711429. [Google Scholar] [CrossRef]
- Jana, K.; Jan, M. Content and quality of protein in proso millet (Panicum miliaceum L.) varieties. Plant Foods Hum. Nutr. 2006, 61, 45–49. [Google Scholar]
- Yang, Q.; Zhang, P.; Qu, Y.; Gao, X.; Liang, J.; Yang, P.; Feng, B. Comparison of physicochemical properties and cooking edibility of waxy and non-waxy proso millet (Panicum miliaceum L.). Food Chem. 2018, 257, 271–278. [Google Scholar] [CrossRef]
- Dong, Z.; Zhang, X.; Li, J.; Zhang, C.; Wei, T.; Yang, Z.; Cai, T.; Zhang, P.; Ding, R.; Jia, Z. Photosynthetic characteristics and grain yield of winter wheat (Triticum aestivum L.) in response to fertilizer, precipitation, and soil water storage before sowing under the ridge and furrow system: A path analysis. Agric. For. Meteorol. 2019, 272–273, 12–19. [Google Scholar] [CrossRef]
- Tang, J.; Wang, J.; Wang, E.; Yu, Q.; Yin, H.; He, D.; Pan, X. Identifying key meteorological factors to yield variation of potato and the optimal planting date in the agro-pastoral ecotone in North China. Agric. For. Meteorol. 2018, 256–257, 283–291. [Google Scholar] [CrossRef]
- Mirzaie, A.; Mohammadi, K.; Parvini, S.; Khoramivafa, M.; Saeidi, M. Yield quantity and quality of two linseed (Linum usitatissimum L.) cultivars as affected by sowing date. Ind. Crops Prod. 2020, 158, 112947. [Google Scholar] [CrossRef]
- Domingos, I.; Bilsborrow, P. The effect of variety and sowing date on the growth, development, yield and quality of common buckwheat (Fagopyrum esculentum Moench). Eur. J. Agron. 2021, 126, 126264. [Google Scholar] [CrossRef]
- Sacks, W.; Kucharik, C. Crop management and phenology trends in the U.S. Corn Belt: Impacts on yields, evapotranspiration and energy balance. Agric. For. Meteorol. 2011, 151, 882–894. [Google Scholar] [CrossRef]
- Zhu, P.; Jin, Z.; Zhuang, Q.; Ciais, P.; Bernacchi, C.; Wang, X.; Makowski, D.; Lobell, D. The important but weakening maize yield benefit of grain filling prolongation in the US Midwest. Glob. Chang. Biol. 2018, 24, 4718–4730. [Google Scholar] [CrossRef]
- Fuller, M.; Fuller, A.; Kaniouras, S.; Christophers, J.; Fredericks, T. The freezing characteristics of wheat at ear emergence. Eur. J. Agron. 2007, 26, 435–441. [Google Scholar] [CrossRef]
- Ding, Y.; Wang, W.; Zhuang, Q.; Luo, Y. Adaptation of paddy rice in China to climate change: The effects of shifting sowing date on yield and irrigation water requirement. Agric. Water Manag. 2020, 228, 105890. [Google Scholar] [CrossRef]
- Li, Y.; Wang, J.; Tang, J.; Wang, E.; Pan, Z.; Pan, X.; Hu, Q. Optimum planting date and cultivar maturity to optimize potato yield and yield stability in North China. Field Crops Res. 2021, 269, 108179. [Google Scholar] [CrossRef]
- Zhang, Z.; Christensen, M.; Nan, Z.; Whish, J.; Bell, L.; Wang, J.; Wang, Z.; Sim, R. Plant development and solar radiation interception of four annual forage plants in response to sowing date in a semi-arid environment. Ind. Crops Prod. 2019, 131, 41–53. [Google Scholar] [CrossRef]
- Maddonni, G.; Otegui, M. Leaf area, light interception, and crop development in maize. Field Crops Res. 1996, 48, 81–87. [Google Scholar] [CrossRef]
- Mirshekari, M.; Hosseini, M.; Amiri, R.; Zandvakili, R. Study the effects of planting date and low irrigation stress on quantitative traits of spring sunflower (Helianthus annuus L.). Rom. Agric. Res. 2012, 29, 189–199. [Google Scholar]
- Gong, X.; Liu, C.; Ferdinand, U.; Dang, K.; Zhao, G.; Yang, P.; Feng, B. Effect of intercropping on leaf senescence related to physiological metabolism in proso millet (Panicum miliaceum L.). Photosynthetica 2019, 57, 993–1006. [Google Scholar] [CrossRef] [Green Version]
- Kimura, K.; Yasutake, D.; Koikawa, K.; Kitano, M. Spatiotemporal variability of leaf photosynthesis and its linkage with microclimates across an environment-controlled greenhouse. Biosyst. Eng. 2020, 195, 97–115. [Google Scholar] [CrossRef]
- Liu, C.; Gong, X.; Dang, K.; Zhang, P.; Yang, Q.; Deng, X.; Feng, B. The efficient use of radiation, water, and nitrogen uptake by low-nitrogen-tolerant broomcorn millet (Panicum miliaceum L.) increased grain yield in the Loess Plateau, China. Agric. For Meteorol. 2021, 308–309, 108616. [Google Scholar] [CrossRef]
- Guóth, A.; Tari, I.; Gallé, Á.; Csiszár, J.; Pécsváradi, A.; Cseuz, L.; Erdei, L. Comparison of the drought stress responses of tolerant and sensitive wheat cultivars during grain filling: Changes in flag leaf photosynthetic activity, ABA levels, and grain yield. J. Plant Growth Regul. 2009, 28, 167–176. [Google Scholar] [CrossRef]
- Kalaji, H.; Schansker, G.; Ladle, R.; Goltsev, V.; Bosa, K.; Allakhverdiev, S.; Brestic, M.; Bussotti, F.; Calatayud, A.; Dąbrowski, P.; et al. Frequently asked questions about in vivo chlorophyll fluorescence: Practical issues. Photosynth Res. 2014, 122, 121–158. [Google Scholar] [CrossRef] [Green Version]
- Li, Y.; Yang, C.; Zhang, Z.; Zhao, S.; Gao, H. Photosynthetic acclimation strategies in response to intermittent exposure to high light intensity in wheat (Triticum aestivum L.). Environ. Exp. Bot. 2021, 181, 104275. [Google Scholar] [CrossRef]
- Huxman, T.; Hamerlynck, E.; Loik, M.; Smith, S. Gas exchange and chlorophyll fluorescence responses of three south-western Yucca species to elevated CO2 and high temperature. Plant Cell Environ. 2010, 21, 1275–1283. [Google Scholar] [CrossRef] [Green Version]
- Tao, F.; Hayashi, Y.; Zhang, Z.; Sakamoto, T.; Yokozawa, M. Global warming, rice production, and water use in China: Developing a probabilistic assessment. Agric. For. Meteorol. 2008, 148, 94–110. [Google Scholar] [CrossRef]
- Lu, P.; Yu, Q.; Wang, E.; Liu, J.; Xu, S. Effects of climatic variation and warming on rice development across South China. Clim. Res. 2008, 36, 79–88. [Google Scholar] [CrossRef]
- Gao, Z.; Feng, H.; Liang, X.; Lin, S.; Zhao, X.; Shen, S.; Du, X.; Cui, Y.; Zhou, H. Adjusting the sowing date of spring maize did not mitigate against heat stress in the North China Plain. Agric. For. Meteorol. 2021, 298–299, 108274. [Google Scholar] [CrossRef]
- Qiu, W.; Ma, X.; Cao, H.; Huang, T.; She, X.; Huang, M.; Wang, Z.; Liu, Z. Improving wheat yield by optimizing seeding and fertilizer rates based on precipitation in the summer fallow season in drylands of the Loess Plateau. Agric. Water Manag. 2022, 264, 107489. [Google Scholar] [CrossRef]
- Kaleem, S.; Hassan, F.; Saleem, A. Influence of environmental variations on physiological attributes of sunflower. AFR J. Biotechnol. 2010, 8, 3531–3539. [Google Scholar]
- Djanaguiraman, M.; Narayanan, S.; Erdayani, E.; Prasad, P.V.V. Effects of high temperature stress during anthesis and grain filling periods on photosynthesis, lipids and grain yield in wheat. BMC Plant Biol. 2020, 20, 268. [Google Scholar] [CrossRef] [PubMed]
- Ren, A.; Sun, M.; Wang, P.; Xue, L.; Lei, M.; Xue, J.; Gao, Z.; Yang, Z. Optimization of sowing date and seeding rate for high winter wheat yield based on pre-winter plant development and soil water usage in the Loess Plateau, China. J. Integr. Agric. 2019, 18, 33–42. [Google Scholar] [CrossRef]
- Djaman, K.; Allen, S.; Djaman, D.; Koudahe, K.; Irmak, S.; Puppala, N.; Darapuneni, M.; Angadi, S. Planting date and plant density effects on maize growth, yield and water use efficiency. Environ. Chall. 2022, 6, 100417. [Google Scholar] [CrossRef]
- Dobor, L.; Barcza, Z.; Hlásny, T.; Árendás, T.; Spitkó, T.; Fodor, N. Crop planting date matters: Estimation methods and effect on future yields. Agric. For. Meteorol. 2016, 223, 103–115. [Google Scholar] [CrossRef]
- Lu, H.; Xue, J.; Guo, D. Efficacy of planting date adjustment as a cultivation strategy to cope with drought stress and increase rainfed maize yield and water-use efficiency. Agric. Water Manag. 2017, 179, 227–235. [Google Scholar] [CrossRef]
- Khan, A.; Najeeb, U.; Wang, L.; Tan, D.; Yang, G.; Munsif, F.; Ali, S.; Hafeez, A. Planting density and sowing date strongly influence growth and lint yield of cotton crops. Field Crops Res. 2017, 209, 129–135. [Google Scholar] [CrossRef]






| Location | Total Nitrogen (g·kg−1) | Total Phosphorus (g·kg−1) | Total Potassium (g·kg−1) | Available Nitrogen (mg·kg−1) | Available Phosphorus (mg·kg−1) | Available Potassium (mg·kg−1) | Organic Matter (g·kg−1) |
|---|---|---|---|---|---|---|---|
| Baoji | 1.24 | 1.05 | 20.2 | 87.1 | 32.8 | 158.8 | 21.0 |
| Yulin | 0.34 | 0.59 | 19.8 | 87.9 | 48.8 | 114.2 | 5.3 |
| Location | Variety | Sowing Date | PH (cm) | SD (mm) | SN | T | B | SL (cm) | STL (cm) | NS | NSB1 | NSB2 | 1000 G (g) | Y (kg ha−1) |
|---|---|---|---|---|---|---|---|---|---|---|---|---|---|---|
| Baoji | V1 | BJ1 | 145.00 ± 7.00 a | 6.60 ± 0.42 a | 7.00 ± 1.00 a | 1.00 ± 0.00 a | 1.33 ± 2.31 a | 41.00 ± 4.58 a | 22.17 ± 12.00 a | 2.00 ± 0.00 a | 22.33 ± 2.52 a | 108.67 ± 15.53 a | 8.25 ± 0.01 a | 2263.50 ± 45.90 a |
| BJ2 | 119.00 ± 7.30 b | 5.93 ± 0.63 a | 5.00 ± 0.82 b | 2.25 ± 2.22 a | 0.75 ± 0.96 a | 41.50 ± 4.80 a | 23.75 ± 5.38 a | 3.75 ± 2.75 a | 19.00 ± 1.83 ab | 94.00 ± 14.45 a | 7.70 ± 0.07 b | 1658.67 ± 39.35 b | ||
| BJ3 | 138.50 ± 3.00 a | 6.26 ± 0.42 a | 5.25 ± 0.50 b | 0.75 ± 0.96 a | 0.00 ± 0.00 a | 42.50 ± 7.85 a | 17.63 ± 5.31 a | 1.75 ± 0.96 a | 17.75 ± 2.22 b | 88.00 ± 15.66 a | 7.39 ± 0.09 c | 1278.90 ± 23.65 c | ||
| V2 | BJ1 | 147.00 ± 5.27 a | 6.57 ± 0.54 a | 5.33 ± 0.58 a | 1.00 ± 0.00 a | 0.00 ± 0.00 a | 38.67 ± 5.03 a | 29.67 ± 0.76 a | 1.00 ± 0.00 b | 20.33 ± 2.52 a | 97.33 ± 10.69 a | 8.15 ± 0.07 a | 1402.33 ± 31.00 b | |
| BJ2 | 125.00 ± 4.36 b | 5.18 ± 0.33 b | 4.67 ± 0.58 a | 0.67 ± 0.58 a | 1.67 ± 0.58 a | 36.67 ± 1.53 a | 32.67 ± 1.15 a | 3.33 ± 0.58 a | 14.67 ± 0.58 b | 57.67 ± 6.81 b | 7.63 ± 0.06 c | 1733.00 ± 28.35 a | ||
| BJ3 | 110.67 ± 8.02 c | 4.75 ± 0.39 b | 4.33 ± 0.58 a | 0.67 ± 0.58 a | 1.33 ± 1.53 a | 38.33 ± 2.52 a | 17.83 ± 7.52 b | 3.00 ± 1.00 a | 17.33 ± 1.15 ab | 89.00 ± 4.00 a | 8.03 ± 0.09 b | 1043.56 ± 23.11 c | ||
| V3 | BJ1 | 114.67 ± 3.79 a | 4.75 ± 0.33 a | 4.33 ± 0.58 b | 1.00 ± 0.00 b | 0.33 ± 0.58 b | 37.00 ± 4.58 a | 14.00 ± 2.65 b | 2.33 ± 0.58 b | 16.33 ± 1.53 a | 92.67 ± 3.51 a | 5.83 ± 0.04 c | 1122.22 ± 11.11 a | |
| BJ2 | 107.33 ± 2.31 a | 4.35 ± 0.09 a | 5.33 ± 0.58 a | 0.67 ± 1.15 b | 2.00 ± 1.00 a | 33.67 ± 2.52 a | 24.50 ± 2.00 a | 3.00 ± 1.00 b | 17.00 ± 1.00 a | 81.00 ± 3.61 b | 5.92 ± 0.07 b | 785.11 ± 14.89 c | ||
| BJ3 | 91.00 ± 5.29 b | 3.43 ± 0.14 b | 4.00 ± 0.00 b | 2.67 ± 0.58 a | 0.33 ± 0.58 b | 35.00 ± 1.73 a | 28.33 ± 2.89 a | 6.00 ± 2.00 a | 13.00 ± 0.00 b | 60.00 ± 1.00 c | 6.15 ± 0.02 a | 637.33 ± 20.67 b | ||
| V4 | BJ1 | 133.00 ± 3.97 a | 6.23 ± 0.14 a | 5.00 ± 0.00 a | 0.00 ± 0.00 b | 0.00 ± 0.00 b | 33.83 ± 3.40 a | 29.67 ± 0.58 a | 1.00 ± 0.00 b | 16.33 ± 0.58 a | 69.33 ± 3.51 b | 5.79 ± 0.05 b | 1267.33 ± 12.67 b | |
| BJ2 | 125.67 ± 5.69 a | 5.12 ± 0.44 b | 5.67 ± 0.58 a | 0.00 ± 0.00 b | 3.00 ± 1.00 a | 37.67 ± 3.51 a | 29.17 ± 3.62 a | 4.00 ± 1.00 a | 15.33 ± 2.08 a | 74.33 ± 5.03 b | 5.55 ± 0.12 c | 1743.56 ± 66.89 a | ||
| BJ3 | 116.83 ± 11.75 a | 4.89 ± 0.49 b | 5.33 ± 0.58 a | 2.33 ± 1.15 a | 1.00 ± 1.00 b | 34.33 ± 1.53 a | 27.17 ± 3.62 a | 4.33 ± 2.08 a | 17.00 ± 1.00 a | 87.33 ± 2.31 a | 5.96 ± 0.03 a | 1686.56 ± 19.89 a | ||
| Yulin | V1 | YL1 | 180.33 ± 11.68 a | 7.95 ± 0.77 a | 7.67 ± 0.58 a | 3.00 ± 1.00 a | 0.00 ± 0.00 b | 41.67 ± 1.53 a | 30.33 ± 3.79 a | 4.00 ± 1.00 a | 23.33 ± 0.58 a | 128.00 ± 2.00 a | 7.43 ± 0.16 c | 3220.00 ± 70.00 a |
| YL2 | 183.67 ± 5.51 a | 7.00 ± 0.14 b | 8.00 ± 1.00 a | 2.67 ± 0.58 a | 0.00 ± 0.00 b | 39.00 ± 2.65 a | 29.00 ± 3.61 a | 3.67 ± 0.58 ab | 21.33 ± 0.58 a | 119.67 ± 2.52 b | 8.30 ± 0.12 b | 2290.00 ± 105.36 c | ||
| YL3 | 161.00 ± 6.56 b | 4.95 ± 0.02 c | 7.00 ± 0.00 a | 0.00 ± 0.00 b | 1.33 ± 0.58 a | 36.00 ± 1.00 a | 24.33 ± 2.31 a | 2.33 ± 0.58 bc | 18.00 ± 2.00 b | 54.67 ± 7.37 d | 8.65 ± 0.04 a | 3186.67 ± 96.09 a | ||
| YL4 | 160.33 ± 3.79 b | 5.10 ± 0.29 c | 5.33 ± 0.58 b | 1.00 ± 1.00 b | 0.00 ± 0.00 b | 40.33 ± 5.03 a | 28.67 ± 3.21 a | 2.00 ± 1.00 c | 16.67 ± 0.58 b | 93.67 ± 1.15 c | 8.39 ± 0.03 b | 2686.67 ± 90.74 b | ||
| V2 | YL1 | 160.33 ± 4.62 ab | 6.78 ± 0.31 b | 7.33 ± 0.58 ab | 1.33 ± 0.58 b | 2.00 ± 0.00 a | 36.33 ± 2.89 a | 24.33 ± 1.15 a | 8.00 ± 1.00 a | 21.33 ± 1.53 a | 111.33 ± 4.16 b | 9.01 ± 0.14 c | 2950.00 ± 108.17 b | |
| YL2 | 172.67 ± 5.13 a | 8.16 ± 1.21 a | 8.00 ± 1.00 a | 1.67 ± 0.58 b | 0.33 ± 0.58 bc | 33.67 ± 1.53 a | 25.33 ± 6.66 a | 4.00 ± 1.73 b | 22.67 ± 0.58 a | 129.67 ± 2.52 a | 9.15 ± 0.07 b | 2646.67 ± 123.42 c | ||
| YL3 | 151.33 ± 12.9 b | 5.22 ± 0.42 c | 7.00 ± 0.00 ab | 0.00 ± 0.00 c | 1.67 ± 1.53 ab | 38.33 ± 5.13 a | 28.00 ± 1.73 a | 2.67 ± 1.53 b | 21.67 ± 1.53 a | 93.00 ± 8.19 c | 9.33 ± 0.07 a | 3133.33 ± 60.28 a | ||
| YL4 | 156.33 ± 4.04 b | 6.48 ± 0.17 b | 6.33 ± 0.58 b | 2.67 ± 0.58 a | 0.00 ± 0.00 c | 37.67 ± 1.53 a | 26.67 ± 2.08 a | 3.67 ± 0.58 b | 19.00 ± 1.00 b | 86.67 ± 6.03 c | 9.41 ± 0.02 a | 2566.67 ± 41.63 c | ||
| V3 | YL1 | 101.00 ± 9.17 b | 5.98 ± 0.04 a | 7.00 ± 1.00 a | 2.67 ± 1.15 a | 1.00 ± 1.00 b | 27.33 ± 4.04 b | 18.83 ± 2.57 a | 4.00 ± 1.00 b | 18.67 ± 2.31 a | 108.67 ± 6.66 a | 5.93 ± 0.14 c | 1186.67 ± 30.55 c | |
| YL2 | 125.33 ± 6.11 a | 5.10 ± 0.11 b | 5.67 ± 0.58 ab | 2.33 ± 1.15 a | 1.00 ± 1.00 b | 38.33 ± 5.51 a | 23.67 ± 2.31 a | 8.33 ± 3.21 a | 16.33 ± 1.15 a | 85.67 ± 4.93 b | 6.73 ± 0.06 b | 1280.00 ± 10.00 b | ||
| YL3 | 84.33 ± 7.02 c | 3.27 ± 0.18 c | 5.67 ± 0.58 ab | 0.00 ± 0.00 b | 3.67 ± 1.53 a | 26.50 ± 0.87 b | 22.67 ± 3.06 a | 5.00 ± 1.00 ab | 11.33 ± 1.15 b | 31.67 ± 2.89 c | 6.78 ± 0.05 ab | 1363.33 ± 20.82 ab | ||
| YL4 | 122.67 ± 5.13 a | 4.85 ± 0.53 b | 4.33 ± 0.58 b | 2.67 ± 0.58 a | 1.00 ± 1.00 b | 38.00 ± 2.65 a | 21.67 ± 3.21 a | 4.67 ± 1.53 ab | 17.00 ± 2.65 a | 91.00 ± 4.58 b | 6.88 ± 0.06 a | 1426.67 ± 83.27 a | ||
| V4 | YL1 | 138.00 ± 5.20 b | 6.18 ± 0.30 a | 6.67 ± 0.58 a | 2.67 ± 0.58 a | 0.00 ± 0.00 b | 32.33 ± 2.31 a | 19.00 ± 2.65 b | 3.67 ± 0.58 a | 18.00 ± 2.65 ab | 79.33 ± 12.90 a | 5.97 ± 0.06 c | 2506.67 ± 85.05 a | |
| YL2 | 153.33 ± 3.06 a | 5.45 ± 0.99 a | 7.00 ± 0.00 a | 1.67 ± 2.08 ab | 1.00 ± 0.00 b | 35.00 ± 2.00 a | 28.00 ± 3.00 a | 4.00 ± 2.65 a | 21.33 ± 3.21 a | 92.33 ± 6.66 a | 6.48 ± 0.17 b | 2116.67 ± 107.86 b | ||
| YL3 | 102.00 ± 2.65 c | 2.77 ± 0.17 b | 5.67 ± 0.58 b | 0.00 ± 0.00 b | 2.67 ± 1.15 a | 24.67 ± 1.53 b | 24.33 ± 0.58 ab | 3.67 ± 1.15 a | 16.00 ± 1.00 b | 55.67 ± 5.03 b | 6.49 ± 0.03 b | 1810.00 ± 30.00 c | ||
| YL4 | 140.67 ± 3.06 b | 5.46 ± 1.15 a | 5.67 ± 0.58 b | 2.33 ± 0.58 a | 0.00 ± 0.00 b | 36.00 ± 1.73 a | 24.00 ± 4.58 ab | 3.33 ± 0.58 a | 17.67 ± 1.53 ab | 86.33 ± 6.35 a | 6.63 ± 0.05 a | 1926.67 ± 109.7 c |
| Location | Variation Source | PH (cm) | SD (mm) | SN | T | B | SL (cm) | STL (cm) | NS | NSB1 | NSB2 | 1000 G (g) | Y (kg ha−1) |
|---|---|---|---|---|---|---|---|---|---|---|---|---|---|
| Baoji | Variety (V) | 41.847 *** | 38.732 *** | 8.97 *** | 2 ns | 0.491 ns | 6.727 ** | 3.774 * | 2 ns | 9.869 *** | 7.331 ** | 3584.452 *** | 259.858*** |
| Sowing date (D) | 37.406 *** | 27.857 *** | 6.091 ** | 2.542 ns | 7.342 ** | 0.046 ns | 3.553 * | 11.625 *** | 11.225 *** | 12.468 *** | 65.239 *** | 88.746 *** | |
| V × D | 6.228 *** | 2.162 ns | 4.515 ** | 6.542 *** | 1.833 ns | 0.678 ns | 4.207 ** | 3.768 ** | 4.768 ** | 9.74 *** | 67.612 *** | 67.296 *** | |
| Yulin | V | 53.764 *** | 53.219 *** | 21.105 *** | 21.255 *** | 17.046 *** | 10.976 *** | 2.264 ns | 4.616 ** | 14.598 *** | 174.039*** | 3550.121*** | 202.815*** |
| D | 217.187 *** | 31.58 *** | 14.649 *** | 0.706 ns | 5.92 ** | 15.695 *** | 8.87 *** | 6.906 ** | 21.626 *** | 63.164 *** | 210.301 *** | 23.553 *** | |
| V × D | 7.013 *** | 4.186 ** | 1.924 ns | 1.778 ns | 2.211 * | 5.087 *** | 1.896 ns | 3.449 ** | 4.274 ** | 21.649 *** | 16.935 *** | 13.955 *** |
| Location | Variety | Sowing Date | DE | DVG | DRG | DM | RVG (%) | RRG (%) | RR/V (%) | SM | SVG | SRG | TM | TVG | TRG | P |
|---|---|---|---|---|---|---|---|---|---|---|---|---|---|---|---|---|
| Baoji | V1 | BJ1 | 8 | 37 | 40 | 77 | 48.24 | 51.76 | 107.32 | 457.10 | 164.10 | 293.00 | 1903.40 | 789.20 | 1114.20 | 241.30 |
| BJ2 | 7 | 37 | 38 | 75 | 48.78 | 51.22 | 105.00 | 421.90 | 199.20 | 222.70 | 1848.60 | 800.00 | 1048.60 | 210.90 | ||
| BJ3 | 6 | 37 | 36 | 73 | 49.37 | 50.63 | 102.56 | 413.10 | 226.30 | 186.80 | 1811.50 | 853.20 | 958.30 | 191.70 | ||
| V2 | BJ1 | 8 | 35 | 42 | 77 | 45.88 | 54.12 | 117.95 | 457.10 | 155.10 | 302.00 | 1903.40 | 736.30 | 1167.10 | 241.30 | |
| BJ2 | 6 | 35 | 38 | 73 | 46.83 | 53.16 | 113.51 | 421.90 | 162.30 | 259.60 | 1805.60 | 742.20 | 1063.40 | 210.70 | ||
| BJ3 | 6 | 30 | 36 | 66 | 44.44 | 55.56 | 125.00 | 412.10 | 177.60 | 234.50 | 1655.00 | 664.10 | 990.90 | 162.30 | ||
| V3 | BJ1 | 6 | 34 | 33 | 67 | 52.05 | 47.95 | 92.10 | 382.90 | 150.50 | 232.40 | 1668.00 | 759.60 | 908.40 | 213.00 | |
| BJ2 | 6 | 33 | 30 | 63 | 53.62 | 46.38 | 86.49 | 396.70 | 180.70 | 216.00 | 1581.30 | 742.20 | 839.10 | 178.90 | ||
| BJ3 | 6 | 31 | 28 | 59 | 53.85 | 46.15 | 85.71 | 391.10 | 214.60 | 176.50 | 1505.30 | 751.00 | 754.30 | 157.50 | ||
| V4 | BJ1 | 7 | 35 | 36 | 71 | 50.00 | 50.00 | 100.00 | 425.90 | 155.10 | 270.80 | 1768.00 | 760.10 | 1007.90 | 213.00 | |
| BJ2 | 6 | 32 | 35 | 67 | 47.95 | 52.05 | 108.57 | 408.70 | 153.00 | 255.70 | 1674.20 | 691.30 | 982.90 | 203.70 | ||
| BJ3 | 6 | 29 | 34 | 63 | 46.38 | 53.62 | 115.62 | 391.60 | 177.60 | 214.00 | 1592.30 | 664.10 | 928.20 | 162.10 | ||
| Yulin | V1 | YL1 | 10 | 69 | 37 | 106 | 62.93 | 37.07 | 58.90 | 1050.58 | 662.67 | 387.92 | 2285.10 | 1386.80 | 898.30 | 153.30 |
| YL2 | 7 | 62 | 40 | 102 | 57.80 | 42.20 | 73.01 | 983.50 | 576.33 | 407.17 | 2204.10 | 1288.40 | 915.70 | 162.40 | ||
| YL3 | 7 | 49 | 40 | 89 | 55.21 | 44.79 | 81.13 | 847.00 | 477.75 | 369.25 | 1890.10 | 1075.40 | 814.70 | 161.70 | ||
| YL4 | 6 | 46 | 29 | 75 | 54.32 | 45.68 | 84.09 | 701.75 | 385.00 | 316.75 | 1574.30 | 896.70 | 677.60 | 160.10 | ||
| V2 | YL1 | 10 | 63 | 42 | 105 | 58.26 | 41.74 | 71.64 | 1041.83 | 607.25 | 434.58 | 2265.60 | 1251.90 | 1013.70 | 153.30 | |
| YL2 | 7 | 56 | 46 | 102 | 53.21 | 46.79 | 87.93 | 983.50 | 522.08 | 461.42 | 2204.10 | 1165.20 | 1038.90 | 162.40 | ||
| YL3 | 7 | 42 | 47 | 89 | 47.92 | 52.08 | 108.70 | 847.00 | 410.08 | 436.92 | 1890.10 | 908.10 | 982.00 | 161.70 | ||
| YL4 | 6 | 35 | 40 | 75 | 45.68 | 54.32 | 118.92 | 701.75 | 321.42 | 380.33 | 1574.30 | 739.40 | 834.90 | 160.10 | ||
| V3 | YL1 | 12 | 54 | 31 | 85 | 62.89 | 37.11 | 59.02 | 849.92 | 543.67 | 306.25 | 1890.70 | 1082.20 | 808.50 | 119.70 | |
| YL2 | 7 | 48 | 42 | 90 | 54.64 | 45.36 | 83.02 | 869.17 | 478.92 | 390.25 | 1993.20 | 1053.60 | 939.60 | 153.30 | ||
| YL3 | 7 | 36 | 38 | 74 | 50.62 | 49.38 | 97.56 | 701.75 | 365.75 | 336.00 | 1638.60 | 791.80 | 846.80 | 146.60 | ||
| YL4 | 6 | 34 | 41 | 75 | 44.44 | 55.56 | 125.00 | 701.75 | 313.83 | 387.92 | 1574.30 | 717.50 | 856.80 | 160.10 | ||
| V4 | YL1 | 12 | 58 | 43 | 101 | 56.64 | 43.36 | 76.56 | 997.50 | 576.92 | 420.58 | 2196.30 | 1155.30 | 1041.00 | 153.30 | |
| YL2 | 7 | 56 | 37 | 93 | 59.00 | 41.00 | 69.49 | 901.25 | 530.83 | 370.42 | 2044.00 | 1187.00 | 857.00 | 153.30 | ||
| YL3 | 7 | 43 | 34 | 77 | 54.76 | 45.24 | 82.61 | 733.83 | 410.08 | 323.75 | 1689.40 | 908.10 | 781.30 | 146.60 | ||
| YL4 | 6 | 37 | 38 | 75 | 49.38 | 50.62 | 102.50 | 701.75 | 345.92 | 355.83 | 1574.30 | 805.40 | 768.90 | 160.10 |
Publisher’s Note: MDPI stays neutral with regard to jurisdictional claims in published maps and institutional affiliations. |
© 2022 by the authors. Licensee MDPI, Basel, Switzerland. This article is an open access article distributed under the terms and conditions of the Creative Commons Attribution (CC BY) license (https://creativecommons.org/licenses/by/4.0/).
Share and Cite
Luo, Y.; Gong, X.; Liu, J.; Qu, Y.; Feng, B. Sowing Date Regulates the Growth and Yield of Broomcorn Millet (Panicum miliaceum L.): From Two Different Ecological Sites on the Loess Plateau of China. Agronomy 2022, 12, 1727. https://doi.org/10.3390/agronomy12071727
Luo Y, Gong X, Liu J, Qu Y, Feng B. Sowing Date Regulates the Growth and Yield of Broomcorn Millet (Panicum miliaceum L.): From Two Different Ecological Sites on the Loess Plateau of China. Agronomy. 2022; 12(7):1727. https://doi.org/10.3390/agronomy12071727
Chicago/Turabian StyleLuo, Yan, Xiangwei Gong, Jiajia Liu, Yang Qu, and Baili Feng. 2022. "Sowing Date Regulates the Growth and Yield of Broomcorn Millet (Panicum miliaceum L.): From Two Different Ecological Sites on the Loess Plateau of China" Agronomy 12, no. 7: 1727. https://doi.org/10.3390/agronomy12071727
APA StyleLuo, Y., Gong, X., Liu, J., Qu, Y., & Feng, B. (2022). Sowing Date Regulates the Growth and Yield of Broomcorn Millet (Panicum miliaceum L.): From Two Different Ecological Sites on the Loess Plateau of China. Agronomy, 12(7), 1727. https://doi.org/10.3390/agronomy12071727

