In Vitro Evaluation of Wood Vinegar (Pyroligneous Acid) VOCs Inhibitory Effect against a Fungus-like Microorganism Ovatisporangium (Phytopythium) Isolate Recovered from Tomato Fields in Iran
Abstract
1. Introduction
2. Materials and Methods
2.1. Isolation
2.2. DNA Extraction and Amplification
2.3. Sequencing and Phylogeny
2.4. Preparation of PA
2.5. In Vitro Evaluation of Wood Vinegar VOCs for Inhibition of Phytopythium
2.6. Statistical Analysis
3. Results
3.1. Molecular Identification of Phytopythium Isolate
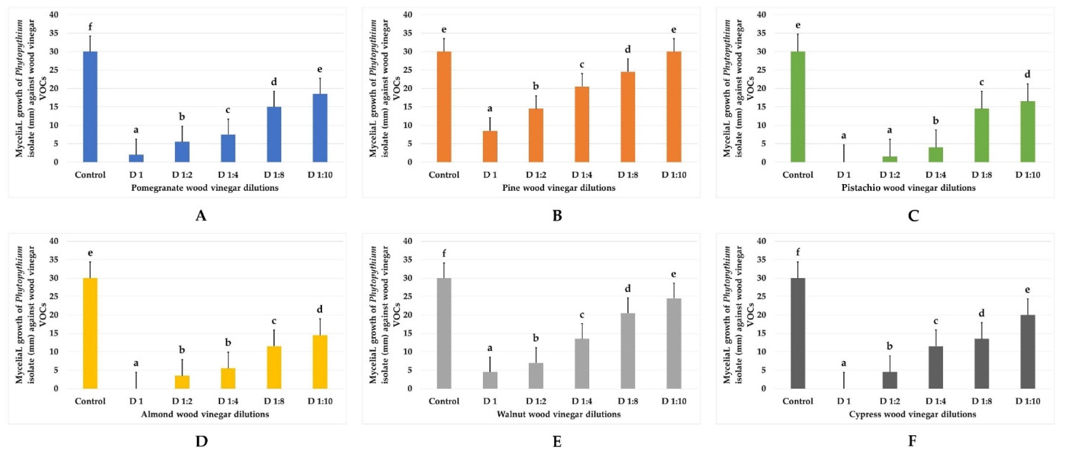
3.2. Efficacy of VOCs Dilutions against Phytopythium Growth
4. Discussion
5. Conclusions
Author Contributions
Funding
Acknowledgments
Conflicts of Interest
References
- Pisa, L.; Goulson, D.; Yang, E.C.; Gibbons, D.; Sanchez-Bayo, F.; Mitchell, E.; Aebi, A.; van der Sluijs, J.; MacQuarrie, C.J.K.; Giorio, C. An update of the Worldwide Integrated Assessment (WIA) on systemic insecticides. Part 2: Impacts on organisms and ecosystems. Environ. Sci. Pollut. Res. 2021, 28, 11749–11797. [Google Scholar] [CrossRef] [PubMed]
- Umetsu, N.; Shirai, Y. Development of novel pesticides in the 21st century. J. Pestic. Sci. 2020, 45, 54–74. [Google Scholar] [CrossRef] [PubMed]
- Gaines, T.A.; Duke, S.O.; Morran, S.; Rigon, C.A.G.; Tranel, P.J.; Kupper, A.; Dayan, F.E. Mechanisms of evolved herbicide resistance. J. Biol. Chem. 2020, 295, 10307–10330. [Google Scholar] [CrossRef]
- Sparks, T.C.; Crossthwaite, A.J.; Nauen, R.; Banba, S.; Cordova, D.; Earley, F.; Ebbinghaus-Kintscher, U.; Fujioka, S.; Hirao, A.; Karmon, D.; et al. Insecticides, biologics and nematicides: Updates to IRAC’s mode of action classification—A tool for resistance management. Pestic. Biochem. Physiol. 2020, 167, 104587. [Google Scholar] [CrossRef] [PubMed]
- Jeschke, P. Status and outlook for acaricide and insecticide discovery. Pest Manag. Sci. 2021, 77, 64–76. [Google Scholar] [CrossRef]
- Baimark, Y.; Niamsa, N. Study on wood vinegars for use as coagulating and antifungal agents on the production of natural rubber sheets. Biomass Bioenergy 2009, 33, 994–998. [Google Scholar] [CrossRef]
- Cherrad, S.; Charnay, A.; Hernandez, C.; Steva, H.; Belbahri, L.; Vacher, S. Emergence of boscalid-resistant strains of Erysiphe necator in French vineyards. Microbiol. Res. 2018, 216, 79–84. [Google Scholar] [CrossRef]
- Balla, A.; Silini, A.; Cherif-Silini, H.; Chenari Bouket, A.; Moser, W.K.; Nowakowska, J.A.; Oszako, T.; Benia, F.; Belbahri, L. The Threat of Pests and Pathogens and the Potential for Biological Control in Forest Ecosystems. Forests 2021, 12, 1579. [Google Scholar] [CrossRef]
- Solla, A.; Moreno, G.; Malewski, T.; Jung, T.; Klisz, M.; Tkaczyk, M.; Siebyla, M.; Pérez, A.; Cubera, E.; Hrynyk, H.; et al. Phosphite Spray for the Control of Oak Decline Induced by Phytophthora in Europe. For. Ecol. Manag. 2021, 485, 118938. [Google Scholar] [CrossRef]
- Tang, F.H.M.; Lenzen, M.; McBratney, A.; Maggi, F. Risk of pesticide pollution at the global scale. Nat. Geosci. 2021, 14, 206. [Google Scholar] [CrossRef]
- Rani, L.; Thapa, K.; Kanojia, N.; Sharma, N.; Singh, S.; Grewal, A.S.; Srivastav, A.L.; Kaushal, J. An extensive review on the consequences of chemical pesticides on human health and environment. J. Clean. Prod. 2021, 283, 124657. [Google Scholar] [CrossRef]
- Montanarella, L.; Panagos, P. The relevance of sustainable soil management within the European Green Deal. Land Use Policy 2021, 100, 104950. [Google Scholar] [CrossRef]
- Tudi, M.; Ruan, H.D.; Wang, L.; Lyu, J.; Sadler, R.; Connell, D.; Chu, C.; Phung, D.T. Agriculture Development, Pesticide Application and Its Impact on the Environment. Int. J. Environ. Res. Public Health 2021, 18, 1112. [Google Scholar] [CrossRef] [PubMed]
- Mei, L.C.; Chen, H.M.; Dong, A.Y.; Huang, G.Y.; Liu, Y.W.; Zhang, X.; Wang, W.; Hao, G.F.; Yang, G.F. Pesticide Informatics Platform (PIP): An International Platform for Pesticide Discovery, Residue, and Risk Evaluation. J. Agric. Food Chem. 2022, 70, 6617–6623. [Google Scholar] [CrossRef] [PubMed]
- Liang, Z.; Abdelshafy, A.M.; Luo, Z.S.; Belwal, T.; Lin, X.Y.; Xu, Y.Q.; Wang, L.; Yang, M.Y.; Qi, M.; Dong, Y.; et al. Occurrence, detection, and dissipation of pesticide residue in plant-derived foodstuff: A state-of-the-art review. Food Chem. 2022, 384, 132494. [Google Scholar] [CrossRef]
- Meena, R.S.; Kumar, S.; Datta, R.; Lal, R.; Vijayakumar, V.; Brtnicky, M.; Sharma, M.P.; Yadav, G.S.; Jhariya, M.K.; Jangir, C.K. Impact of Agrochemicals on Soil Microbiota and Management: A Review. Land 2020, 9, 34. [Google Scholar] [CrossRef]
- Souza, J.B.G.; Ré-Poppi, N.; Raposo, J.L., Jr. Characterization of pyroligneous acid used in agriculture by gas chromatography-mass spectrometry. J. Braz. Chem. Soc. 2012, 23, 610–617. [Google Scholar] [CrossRef]
- Belbahri, L.; Chenari Bouket, A.; Rekik, I.; Alenezi, F.N.; Vallat, A.; Luptakova, L.; Petrovova, E.; Oszako, T.; Cherrad, S.; Vacher, S.; et al. Comparative Genomics of Bacillus amyloliquefaciens Strains Reveals a Core Genome with Traits for Habitat Adaptation and a Secondary Metabolites Rich Accessory Genome. Front. Microbiol. 2017, 8, 1438. [Google Scholar] [CrossRef]
- Cherif-Silini, H.; Thissera, B.; Bouket, A.C.; Saadaoui, N.; Silini, A.; Eshelli, M.; Alenezi, F.N.; Vallat, A.; Luptakova, L.; Yahiaoui, B.; et al. Durum Wheat Stress Tolerance Induced by Endophyte Pantoea agglomerans with Genes Contributing to Plant Functions and Secondary Metabolite Arsenal. Int. J. Mol. Sci. 2019, 20, 3989. [Google Scholar] [CrossRef]
- Cheffi, M.; Chenari Bouket, A.; Alenezi, F.N.; Luptakova, L.; Belka, M.; Vallat, A.; Rateb, M.E.; Tounsi, S.; Triki, M.A.; Belbahri, L. Olea europaea L. Root Endophyte Bacillus velezensis OEE1 Counteracts Oomycete and Fungal Harmful Pathogens and Harbours a Large Repertoire of Secreted and Volatile Metabolites and Beneficial Functional Genes. Microorganisms 2019, 7, 314. [Google Scholar] [CrossRef]
- Grewal, A.; Abbey, L.; Gunupuru, L.R. Production, Prospects and Potential Application of Pyroligneous Acid in Agriculture. J. Anal. Appl. Pyrolysis 2018, 135, 152–159. [Google Scholar] [CrossRef]
- Tiilikkala, K.; Fagernäs, L.; Tiilikkala, J. History and use of wood pyrolysis liquids as biocide and plant protection product history and use of wood pyrolysis liquids as biocide and plant protection product. Open Agric. J. 2010, 4, 111–118. [Google Scholar] [CrossRef]
- Ebadollahi, A.; Ziaee, M.; Palla, F. Essential Oils Extracted from Different Species of the Lamiaceae Plant Family as Prospective Bioagents against Several Detrimental Pests. Molecules 2020, 25, 1556. [Google Scholar] [CrossRef] [PubMed]
- Hagner, M.; Tiilikkala, K.; Lindqvist, I.; Niemela, K.; Wikberg, H.; Kalli, A.; Rasa, K. Performance of Liquids from Slow Pyrolysis and Hydrothermal Carbonization in Plant Protection. Waste Biomass Valor. 2020, 11, 1005–1016. [Google Scholar] [CrossRef]
- Liu, X.Y.; Wang, J.A.; Feng, X.H.; Yu, J.L. Wood vinegar resulting from the pyrolysis of apple tree branches for annual bluegrass control. Ind. Crops Prod. 2021, 174, 114193. [Google Scholar] [CrossRef]
- Mohan, D.; Pittman, C.U.; Steele, P.H. Pyrolysis of wood/biomass for bio-oil: A critical review. Energy Fuels 2006, 20, 848–889. [Google Scholar] [CrossRef]
- Wei, Q.; Ma, X.; Dong, J. Preparation, chemical constituents and antimicrobial activity of pyroligneous acids from walnut tree branches. J. Anal. Appl. Pyrolysis 2010, 87, 24–28. [Google Scholar] [CrossRef]
- Crepier, J.; Le Masle, A.; Charon, N.; Albrieux, F.; Duchene, P.; Heinisch, S. Ultra-high performance supercritical fluid chromatography hyphenated to atmospheric pressure chemical ionization high resolution mass spectrometry for the characterization of fast pyrolysis bio-oils. J. Chromatogr. B 2018, 1086, 38–46. [Google Scholar] [CrossRef]
- Mourant, D.; Yang, D.Q.; Lu, X.; Roy, C. Anti-fungal properties of the pyroligneous liquors from the pyrolysis of softwood bark. Wood Fiber Sci. 2007, 37, 542–548. [Google Scholar]
- Ratanapisit, J.; Apiraksakul, S.; Rerngnarong, A.; Chungsiriporn, J.; Bunyakarn, C. Preliminary evaluation of production and characterization of wood vinegar from rubberwood. Songklanakarin J. Sci. Technol. 2009, 31, 343–349. [Google Scholar]
- Hao, Z.K.; Bagavathiannan, M.; Li, Y.; Qu, M.N.; Wang, Z.Y.; Yu, J.L. Wood vinegar for control of broadleaf weeds in dormant turfgrass. Weed Technol. 2021, 35, 901–907. [Google Scholar] [CrossRef]
- Steiner, C.; Das, K.C.; Garcia, M.; Förster, B.; Zech, W. Charcoal and smoke extract stimulate the soil microbial community in a highly weathered xanthic Ferralsol. Pedobiologia 2008, 51, 359–366. [Google Scholar] [CrossRef]
- Hwang, Y.H.; Matsushita, Y.I.; Sugamoto, K.; Matsui, T. Antimicrobial effect of the wood vinegar from Cryptomeria japonica sapwood on plant pathogenic microorganisms. J. Microbiol. Biotechnol. 2005, 15, 1106–1109. [Google Scholar]
- Wei, Q.; Ma, X.; Zhao, Z.; Zhang, S.; Liu, S. Antioxidant activities and chemical profiles of pyroligneous acids from walnut shell. J. Anal. Appl. Pyrolysis 2010, 88, 149–154. [Google Scholar] [CrossRef]
- Kimura, Y.; Suto, S.; Tatsuka, M. Evaluation of carcinogenic/co-carcinogenic activity of chikusaku-eki, a bamboo charcoal by-product used as a folk remedy, in BALB/c 3T3 cells. Biol. Pharm. Bull. 2002, 25, 1026–1029. [Google Scholar] [CrossRef]
- Zulkarami, B.; Ashrafuzzaman, M.; HusniIsmail, M.R. Effect of pyroligneous acid on growth, yield and quality improvement of rockmelon in soilless culture. Aust. J. Crop Sci. 2011, 5, 1508–1514. [Google Scholar]
- Oramahi, H.A.; Yoshimura, T. Antifungal and antitermitic activities of wood vinegar from Vitex pubescens Vahl. J. Wood Sci. 2013, 59, 344–350. [Google Scholar] [CrossRef]
- Beaumont, O. Flash pyrolysis products from beech wood. Wood Fiber Sci. 1985, 17, 228–239. [Google Scholar]
- Lee, C.S.; Yi, E.H.; Kim, H.R.; Huh, S.R.; Sung, S.H.; Chung, M.H.; Ye, S.K. Anti-dermatitis effects of oak wood vinegar on the DNCB-induced contact hypersensitivity via STAT3 suppression. J. Ethnopharmacol. 2011, 135, 747–753. [Google Scholar] [CrossRef]
- Murwanashyaka, J.N.; Pakdel, H.; Roy, C. Step-wise and one-step vacuum pyrolysis of birch-derived biomass to monitor the evolution of phenols. J. Anal. Appl. Pyrolysis 2001, 60, 219–231. [Google Scholar] [CrossRef]
- Ma, C.; Song, K.; Yu, J.; Yang, L.; Zhao, C.; Wang, W.; Zu, G.; Zu, Y. Pyrolysis process and antioxidant activity of pyroligneous acid from Rosmarinus officinalis leaves. J. Anal. Appl. Pyrolysis 2013, 104, 38–47. [Google Scholar] [CrossRef]
- Mungkunkamchao, T.; Kesmala, T.; Pimratch, S.; Toomsan, B.; Jothityangkoon, D. Wood vinegar and fermented bioextracts: Natural products to enhance growth and yield of tomato (Solanum lycopersicum L.). Sci. Hort. 2013, 154, 66–72. [Google Scholar] [CrossRef]
- Mu, J.; Uehara, T.; Furuno, T. Effect of bamboo vinegar on regulation of germination and radicle growth of seed plants. J. Wood Sci. 2003, 49, 262–270. [Google Scholar] [CrossRef]
- Mu, J.; Yu, Z.M.; Wu, W.Q.; Wu, Q.L. Preliminary study of application effect of bamboo vinegar on vegetable growth. For. Stud. China 2006, 8, 43–47. [Google Scholar] [CrossRef]
- Mmojieje, J.; Hornung, A. The potential application of pyroligneous acid in the UK Agricultural Industry. J. Crop Improv. 2015, 29, 228–246. [Google Scholar] [CrossRef]
- Lindqvist, I.; Lindqvist, B.; Tiilikkala, K. Birch tar oil is an effective mollusc repellent: Field and laboratory experiments using Arianta arbustorum (Gastropoda: Helicidae) and Arion lusitanicus (Gastropoda: Arionidae). Agric. Food Sci. 2010, 19, 1–12. [Google Scholar] [CrossRef][Green Version]
- Yatagai, M.; Nishimoto, M.; Hori, K.; Ohira, T.; Shibata, A. Termiticidal activity of wood vinegar, its components and their homologues. J. Wood Sci. 2002, 48, 338–342. [Google Scholar] [CrossRef]
- Spencer, D.F.; Ksander, G.G. Influence of dilute acetic acid treatments on survival of monoecious hydrilla tubers in the Oregon House Canal, California. J. Aquat. Plant Manag. 1999, 37, 67–71. [Google Scholar]
- Chalermsan, Y.; Peerapan, S. Wood-vinegar: By-product from rural charcoal kiln and its roles in plant protection. Asian J. Food. Agro-Ind. 2009, 189, 195. [Google Scholar]
- Mahmud, K.N.; Yahayu, M.; Sarip, S.H.M.; Rizan, N.H.; Min, C.B.; Mustafa, N.F.; Ngadiran, S.; Ujang, S.; Zakaria, Z.A. Evaluation on Efficiency of Pyroligneous Acid from Palm Kernel Shell as Antifungal and Solid Pineapple Biomass as Antibacterial and Plant Growth Promoter. Sains Malays. 2016, 45, 1423–1434. [Google Scholar]
- Jung, K.-H. Growth inhibition effect of pyroligneous acid on pathogenic fungus, Alternaria mali, the agent of Alternaria blotch of apple. Biotechnol. Bioprocess Eng. 2007, 12, 318–322. [Google Scholar] [CrossRef]
- Chen, S.; Feng, Y.; Li, S.; Mu, J. Research on Inhibition Effect of MDF Pyrolysis Condensate Liquids against Two Kinds of Fungi. In Proceedings of the 55th International Convention of Society of Wood Science and Technology, Beijing, China, 27–31 August 2012; pp. 1–7. [Google Scholar]
- Saberi, M.; Sarpeleh, A.; Askary, H.; Rafiei, F. The effectiveness of wood vinegar in controlling Rhizoctonia solani and Sclerotinia sclerotiorum in green house cucumber. Int. J. Agric. Res. Nat. Resour. 2013, 1, 39–43. [Google Scholar]
- Saberi, M.; Sarpeleh, A.; Askary, H. Management of damping-off and increasing of dome growth traits of cucumber in greenhouse culture using citrus wood vinegar. Appl. Res. Plant Prot. 2015, 4, 99–111, (In Persian with English Abstract). [Google Scholar]
- Chuaboon, W.; Ponghirantanachoke, N.; Athinuwat, D. Application of wood vinegar for fungal disease controls in paddy rice. Appl. Environ. Res. 2016, 38, 77–85. [Google Scholar] [CrossRef]
- Xu, H.; Zhao, J.; Jing, Y.; Xie, J.; Zhang, N.; Jiang, J. Effects of apple and pear wood vinegar components on Pleurotus ostreatus mycelium growth. Bioresources 2020, 15, 2961–2970. [Google Scholar] [CrossRef]
- Helander, M.; Ahlholm, J.; Sieber, T.N.; Hinneri, S.; Saikkonen, K. Fragmented environment affects birch leaf endophytes. New Phytol. 2007, 175, 547–553. [Google Scholar] [CrossRef]
- Chenari Bouket, A.; Arzanlou, M.; Tojo, M.; Babai-Ahari, A. Pythium kandovanense sp. nov., a fungus-like eukaryotic micro-organism (Stramenopila, Pythiales) isolated from snow-covered ryegrass leaves. Int. J. Syst. Evol. Microbiol. 2015, 65, 2500–2506. [Google Scholar] [CrossRef]
- Möller, E.M.; Bahnweg, G.; Sandermann, H.; Geiger, H.H. A simple and efficient protocol for isolation of high molecular weight DNA from filamentous fungi, fruit bodies, and infected plant tissues. Nucleic Acids Res. 1992, 20, 6115–6116. [Google Scholar] [CrossRef]
- White, T.J.; Bruns, T.; Lee, S.; Taylor, J. Amplification and direct sequencing of fungal ribosomal RNA genes for phylogenetics. In PCR Protocols, a Guide to Methods and Applications; Innis, M.A., Gelfand, D.H., Sninsky, J.J., White, T.J., Eds.; Academic Press: San Diego, CA, USA, 1990; pp. 315–322. [Google Scholar]
- Belbahri, L.; Calmin, G.; Sanchez-Hernandez, E.; Oszako, T.; Lefort, F. Pythium sterilum sp. nov. isolated from Poland, Spain and France: Its morphology and molecular phylogenetic position. FEMS Microbiol. Lett. 2006, 255, 209–214. [Google Scholar] [CrossRef]
- Tamura, K.; Stecher, G.; Peterson, D.; Filipski, A.; Kumar, S. Mega6: Molecular evolutionary genetics analysis version 6.0. Mol. Biol. Evol. 2013, 30, 2725–2729. [Google Scholar] [CrossRef]
- Saitou, N.; Nei, M. The neighbor-joining method: A new method for re-constructing phylogenetic trees. Mol. Biol. Evol. 1987, 4, 406–425. [Google Scholar] [PubMed]
- Kimura, M. A simple method for estimating evolutionary rates of base substitutions through comparative studies of nucleotide sequences. J. Mol. Evol. 1980, 16, 111–120. [Google Scholar] [CrossRef] [PubMed]
- Moralejo, E.; Clemente, A.; Descals, E.; Belbahri, L.; Calmin, G.; Lefort, F.; Spies, C.F.; McLeod, A. Pythium recalcitrans sp. nov. revealed by multigene phylogenetic analysis. Mycologia 2008, 100, 310–319. [Google Scholar] [CrossRef] [PubMed][Green Version]
- Bridgwater, A.V. Renewable fuels and chemicals by thermal processing of biomass. Chem. Eng. J. 2003, 91, 87–102. [Google Scholar] [CrossRef]
- Bridgewater, A.V. Biomass fast pyrolysis. Thermal Sci. 2004, 8, 21–50. [Google Scholar] [CrossRef]
- Baimark, Y.; Threeprom, J.; Dumrongchai, N. Utilization of wood vinegars as sustainable coagulating and antifungal agents in the production of natural rubber sheets. J. Environ. Sci. Technol. 2008, 1, 157–163. [Google Scholar] [CrossRef][Green Version]
- Kadota, M.; Niimi, Y. Effects of charcoal with pyroligneous acid and barnyard manure on bedding plants. Sci. Hort. 2004, 101, 327–332. [Google Scholar] [CrossRef]
- Cowan, M.M. Plant products as antimicrobial agents. Clin. Microbiol. Rev. 1999, 12, 564–582. [Google Scholar] [CrossRef]
- Ikergami, F.; Sekin, T.; Fuji, Y. Antidemaptophyte activity of phenolic compounds in Mokusaku-eki. Yakugaku Zasshi 1992, 118, 27–30. [Google Scholar] [CrossRef]
- Kartal, S.N.; Imamura, Y.; Tsuchiya, F.; Ohsato, K. Preliminary evaluation of fungicidal and termiticidal activities of filtrate form biomass slurry fuel production. Bioresour. Technol. 2004, 95, 41–47. [Google Scholar] [CrossRef]
- Yildizli, G.; Coral, G.; Ayaz, F. Anti-bacterial, anti-fungal, and anti-inflammatory activities of wood vinegar: A potential remedy for major plant diseases and inflammatory reactions. Biomass Convers. Biorefin. 2022, 1–10. [Google Scholar] [CrossRef]
- Becagli, M.; Santin, M.; Cardelli, R. Co-application of wood distillate and biochar improves soil quality and plant growth in basil (Ocimum basilicum). J. Plant Nutr. Soil Sci. 2022, 185, 120–131. [Google Scholar] [CrossRef]
- Ofoe, R.; Qin, D.; Gunupuru, L.R.; Thomas, R.H.; Abbey, L. Effect of pyroligneous acid on the productivity and nutritional quality of greenhouse tomato. Plants 2022, 11, 1650. [Google Scholar] [CrossRef]
- Zhu, K.M.; Gu, S.C.; Liu, J.H.; Luo, T.; Khan, Z.; Zhang, K.K.; Hu, L.Y. Wood Vinegar as a Complex Growth Regulator Promotes the Growth, Yield, and Quality of Rapeseed. Agronomy 2021, 11, 510. [Google Scholar] [CrossRef]
- Zeng, L.S.; Sun, X.M.; Zhou, W.W.; Li, J.L.; Guo, Y.C.; Liu, X.W.; Cui, D.J. Combined Treatment of a Pyroligneous Solution and Soluble Calcium Enhances Cotton Growth Through Improving Soil Quality in Saline-Alkali Soils. J. Soil Sci. Plant Nutr. 2022, 22, 25–35. [Google Scholar] [CrossRef]
- Nakayama, F.S.; Vinyard, S.H.; Chow, P.; Bajwa, D.S.; Youngquist, J.A.; Muehl, J.H.; Krzysik, A.M. Guayule as a wood preservative. Ind. Crop Prod. 2001, 14, 105–111. [Google Scholar] [CrossRef]
- Saberi, M.; Askary, H.; Sarpeleh, A. Integrated effects of wood vinegar and tea compost on root rot and vine decline and charcoal root rot diseases of muskmelon. Biocontrol Plant Protect. 2013, 1, 91–101. [Google Scholar]
- Nurhayati, T.; Roliadi, H.; Bermawie, N. Production of Mangium (Acacia mangium) wood vinegar and its utilization. J. For. Res. 2005, 2, 13–25. [Google Scholar] [CrossRef]
- Taiz, L.; Zeiger, E. Plant Physiology, 4th ed.; Sinauer Associates, Inc. Publishers: Sunderland, MA, USA, 2006; p. 676. [Google Scholar]
- Najafi-Ghiri, M.; Boostani, H.R.; Hardie, A.G. Investigation of biochars application on potassium forms and dynamics in a calcareous soil under different moisture conditions. Arch. Agron. Soil Sci. 2022, 68, 325–339. [Google Scholar] [CrossRef]
- Sivaram, A.K.; Panneerselvan, L.; Mukunthan, K.; Megharaj, M. Effect of Pyroligneous Acid on the Microbial Community Composition and Plant Growth-Promoting Bacteria (PGPB) in Soils. Soil Syst. 2022, 6, 10. [Google Scholar] [CrossRef]





Publisher’s Note: MDPI stays neutral with regard to jurisdictional claims in published maps and institutional affiliations. |
© 2022 by the authors. Licensee MDPI, Basel, Switzerland. This article is an open access article distributed under the terms and conditions of the Creative Commons Attribution (CC BY) license (https://creativecommons.org/licenses/by/4.0/).
Share and Cite
Bouket, A.C.; Narmani, A.; Tavasolee, A.; Elyasi, G.; Abdi, A.; Naeimi, S.; Sharifi, K.; Oszako, T.; Alenezi, F.N.; Belbahri, L. In Vitro Evaluation of Wood Vinegar (Pyroligneous Acid) VOCs Inhibitory Effect against a Fungus-like Microorganism Ovatisporangium (Phytopythium) Isolate Recovered from Tomato Fields in Iran. Agronomy 2022, 12, 1609. https://doi.org/10.3390/agronomy12071609
Bouket AC, Narmani A, Tavasolee A, Elyasi G, Abdi A, Naeimi S, Sharifi K, Oszako T, Alenezi FN, Belbahri L. In Vitro Evaluation of Wood Vinegar (Pyroligneous Acid) VOCs Inhibitory Effect against a Fungus-like Microorganism Ovatisporangium (Phytopythium) Isolate Recovered from Tomato Fields in Iran. Agronomy. 2022; 12(7):1609. https://doi.org/10.3390/agronomy12071609
Chicago/Turabian StyleBouket, Ali Chenari, Abolfazl Narmani, Alireza Tavasolee, Ghorban Elyasi, Akbar Abdi, Shahram Naeimi, Kasra Sharifi, Tomasz Oszako, Faizah N. Alenezi, and Lassaad Belbahri. 2022. "In Vitro Evaluation of Wood Vinegar (Pyroligneous Acid) VOCs Inhibitory Effect against a Fungus-like Microorganism Ovatisporangium (Phytopythium) Isolate Recovered from Tomato Fields in Iran" Agronomy 12, no. 7: 1609. https://doi.org/10.3390/agronomy12071609
APA StyleBouket, A. C., Narmani, A., Tavasolee, A., Elyasi, G., Abdi, A., Naeimi, S., Sharifi, K., Oszako, T., Alenezi, F. N., & Belbahri, L. (2022). In Vitro Evaluation of Wood Vinegar (Pyroligneous Acid) VOCs Inhibitory Effect against a Fungus-like Microorganism Ovatisporangium (Phytopythium) Isolate Recovered from Tomato Fields in Iran. Agronomy, 12(7), 1609. https://doi.org/10.3390/agronomy12071609

