Tall Fescue (Festuca arundinacea Schreb.) Shows Intraspecific Variability in Response to Temperature during Germination
Abstract
:1. Introduction
2. Materials and Methods
2.1. Plant Material
2.2. Germination Experiments
2.3. Calculations and Germination Model
2.4. Statistical Analyses
3. Results
3.1. Maximum Germinability
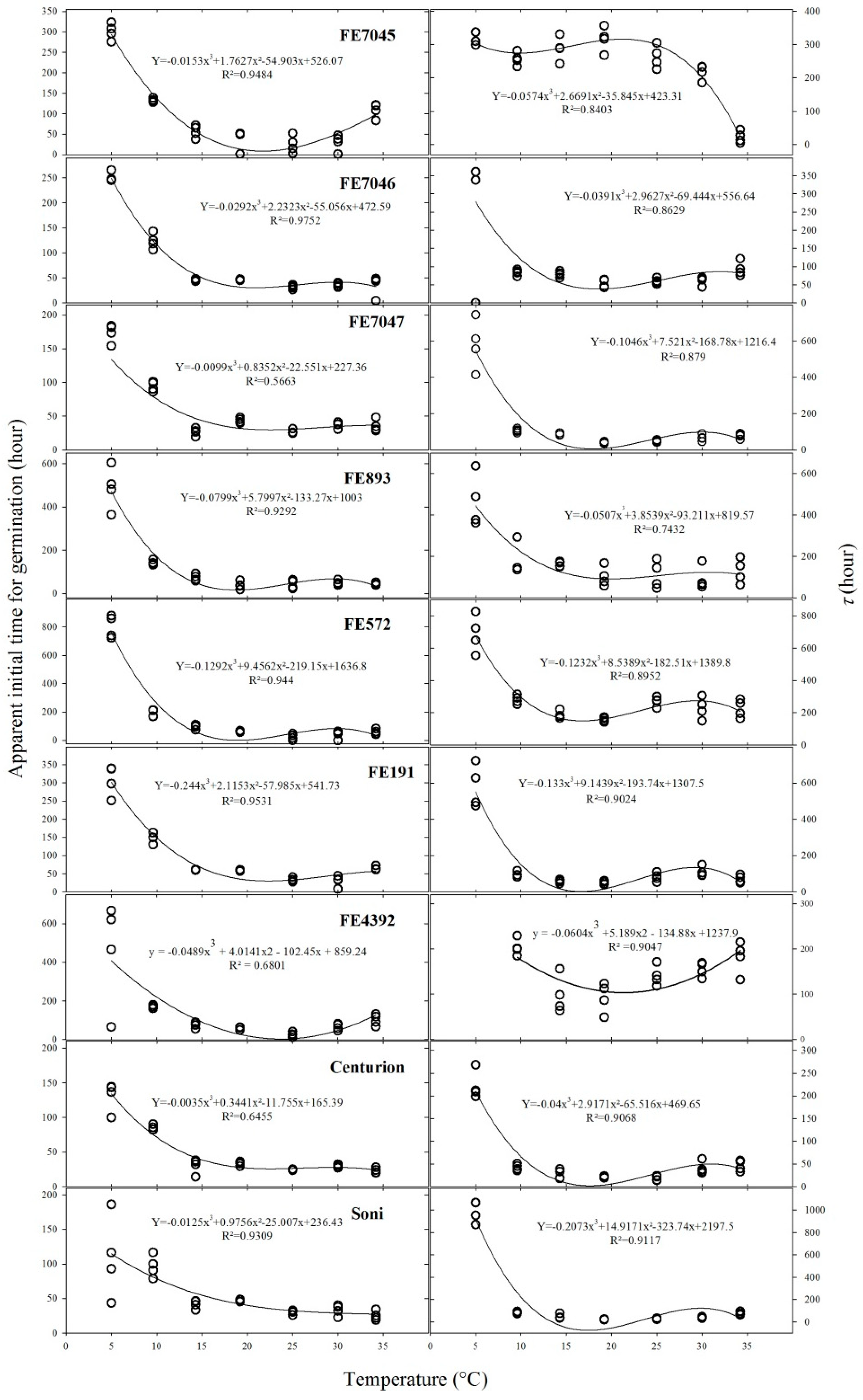
3.2. Time Related Parameters
3.3. Germination Rates
3.4. Seed Dry Weight and Size
4. Discussion
5. Conclusions
Author Contributions
Funding
Acknowledgments
Conflicts of Interest
References
- Ranal, M.A.; Santana, D.G. How and Why to Measure the Germination Process? Rev. Bras. Bot. 2006, 29, 1–11. [Google Scholar] [CrossRef] [Green Version]
- Baskin, C.C.; Baskin, J.M. Seeds: Ecology, Biogeography, and Evolution of Dormancy and Germination, 2nd ed.; Elsevier/AP: San Diego, CA, USA, 2014; ISBN 978-0-12-416677-6. [Google Scholar]
- Shafii, B.; Price, W.J. Estimation of Cardinal Temperatures in Germination Data Analysis. J. Agric. Biol. Environ. Stat. 2001, 6, 356–366. [Google Scholar] [CrossRef]
- Koornneef, M.; Bentsink, L.; Hilhorst, H. Seed Dormancy and Germination. Curr. Opin. Plant Biol. 2002, 5, 33–36. [Google Scholar] [CrossRef] [Green Version]
- Ghaleb, W.; Ahmed, L.Q.; Escobar-Gutiérrez, A.J.; Julier, B. The History of Domestication and Selection of Lucerne: A New Perspective From the Genetic Diversity for Seed Germination in Response to Temperature and Scarification. Front. Plant Sci. 2021, 11, 578121. [Google Scholar] [CrossRef]
- Ahmed, L.Q.; Escobar-Gutierrez, A.J. Unexpected Intraspecific Variability of Perennial Ryegrass (Lolium Perenne L.) in Response to Constant Temperature during Germination and Initial Heterotrophic Growth. Front. Plant Sci. Plant Breed. 2022, 13, 856099. [Google Scholar] [CrossRef]
- Zaka, S.; Ahmed, L.Q.; Escobar-Gutiérrez, A.J.; Gastal, F.; Julier, B.; Louarn, G. How Variable Are Non-Linear Developmental Responses to Temperature in Two Perennial Forage Species? Agric. For. Meteorol. 2017, 232, 433–442. [Google Scholar] [CrossRef]
- Bewley, J.D.; Black, M. Seeds: Physiology of Development and Germination; Springer: Boston, MA, USA, 1994; ISBN 978-0-306-44748-8. [Google Scholar]
- Ahmad, L.Q.; Escobar-Gutierrez, A.J. Analysis of Intra-Specific Variability of Cocksfoot (Dactylis Glomerata L.) in Response to Temperature during Germination. Acta Physiol. Plant. 2022, in press. [Google Scholar]
- Batlla, D.; Benech-Arnold, R.L. A Framework for the Interpretation of Temperature Effects on Dormancy and Germination in Seed Populations Showing Dormancy. Seed Sci. Res. 2015, 25, 147–158. [Google Scholar] [CrossRef]
- Bewley, J.D. Seed Germination and Dormancy. Plant Cell 1997, 9, 1055–1066. [Google Scholar] [CrossRef] [Green Version]
- Ghaleb, W.; Barre, P.; Teulat, B.; Ahmed, L.Q.; Escobar-Gutiérrez, A.J. Divergent Selection for Seed Ability to Germinate at Extreme Temperatures in Perennial Ryegrass (Lolium Perenne L.). Front. Plant Sci. 2022, 12, 794488. [Google Scholar] [CrossRef]
- Peeters, A.; Vanbellinghen, C.; Frame, J. Wild and Sown Grasses: Profiles of a Temperate Species Selection, Ecology, Biodiversity and Use; Wiley-Blackwell: Rome, Italy, 2004. [Google Scholar]
- Hand, M.L.; Cogan, N.O.; Forster, J.W. Molecular Characterisation and Interpretation of Genetic Diversity within Globally Distributed Germplasm Collections of Tall Fescue (Festuca Arundinacea Schreb.) and Meadow Fescue (F. Pratensis Huds.). Theor. Appl. Genet. 2012, 124, 1127–1137. [Google Scholar] [CrossRef] [PubMed]
- Sleper, D.A.; West, C.P. Tall Fescue. Cool Seas. Forage Grasses 1996, 34, 471–502. [Google Scholar] [CrossRef]
- Bonos, S.A.; Rush, D.; Hignight, K.; Meyer, W.A. Selection for Deep Root Production in Tall Fescue and Perennial Ryegrass. Crop Sci. 2004, 44, 1770–1775. [Google Scholar] [CrossRef]
- Deru, J.; van Eekeren, N.; de BoerStypiński, H. (Eds.) Grassland—A European Resource? Proceedings of the 24th General Meeting of the European Grassland Federation, Lublin, Poland, 3–7 June 2012; Grassland science in Europe; Garmond Oficyna Wydawnicza: Poznań, Poland, 2012; ISBN 978-83-89250-77-3. [Google Scholar]
- Palazzo, A.J.; Brar, G.S. The Effects of Temperature on Germination of Eleven Festuca Cultivars; DTIC: Washington, DC, USA, 1997; pp. 1–11.
- Moot, D.; Scott, W.; Roy, A.; Nicholls, A. Base Temperature and Thermal Time Requirements for Germination and Emergence of Temperate Pasture Species. N. Z. J. Agric. Res. 2000, 43, 15–25. [Google Scholar] [CrossRef] [Green Version]
- Black, A.D.; Moot, D.J.; Lucas, R.J. Development and Growth Characteristics of Caucasian and White Clover Seedlings, Compared with Perennial Ryegrass. Grass Forage Sci. 2006, 61, 442–453. [Google Scholar] [CrossRef]
- Lu, H.; Shen, J.; Jin, X.; Hannaway, D.B.; Daly, C.; Halbleib, M.D. Determining Optimal Seeding Times for Tall Fescue Using Germination Studies and Spatial Climate Analysis. Agric. For. Meteorol. 2008, 148, 931–941. [Google Scholar] [CrossRef]
- Shen, J.B.; Xu, L.Y.; Jin, X.Q.; Chen, J.H.; Lu, H.F. Effect of Temperature Regime on Germination of Seed of Perennial Ryegrass (Lolium Perenne). Grass Forage Sci. 2008, 63, 249–256. [Google Scholar] [CrossRef]
- Monks, D.P.; SadatAsilan, K.; Moot, D.J. Cardinal Temperatures and Thermal Time Requirements for Germination of Annual and Perennial Temperate Pasture Species. Agron. N. Z. 2009, 39, 95–109. [Google Scholar]
- Zhang, H.; McGill, C.R.; Irving, L.J.; Kemp, P.D.; Zhou, D. A Modified Thermal Time Model to Predict Germination Rate of Ryegrass and Tall Fescue at Constant Temperatures. Crop Sci. 2013, 53, 240–249. [Google Scholar] [CrossRef]
- Ahmed, L.Q.; Durand, J.-L.; Escobar-Gutiérrez, A.J. Genetic Diversity of Alfalfa ( Medicago Sativa ) in Response to Temperature during Germination. Seed Sci. Technol. 2019, 47, 351–356. [Google Scholar] [CrossRef]
- Volaire, F.; Ahmed, L.Q.; Barre, P.; Bourgoin, T.; Escobar-Gutiérrez, A.; Fakiri, M.; Ghesquière, M.; Julier, B.; Kallida, R.; Louarn, G.; et al. Quelle est la variabilité intra- et interspécifique des caractères d’adaptation des espèces prairiales pérennes aux variables du changement climatique? Fourrages 2016, 225, 1–9. [Google Scholar]
- Probert, R.J.; Smit, R.D.; Birch, P. Germination Response to Light and Alternating Temperatures in European Populations of Dactylis Glomerata L. II. The Genetic and Environemental Componenets of Germination. New Phytol. 1985, 99, 317–322. [Google Scholar] [CrossRef]
- Probert, R.; Smith, R.; Birch, P. Germination Responses to Light and Alternating Temperatures in European Populations of Dactylis Glomerata L. I. Variablity in Relation to Origin. New Phytol. 1985, 99, 305–316. [Google Scholar] [CrossRef]
- Yin, X.; Kropff, M.J.; McLaren, G.; Visperas, R.M. A Nonlinear Model for Crop Development as a Function of Temperature. Agric. For. Meteorol. 1995, 77, 1–16. [Google Scholar] [CrossRef] [Green Version]
- R Software. R-Development Core Team. R: A Language and Environment for Statistical Computing; R Foundation for Statistical Computing: Vienna, Austria, 2018. [Google Scholar]
- Blanco-Pastor, J.L.; Manel, S.; Barre, P.; Roschanski, A.M.; Willner, E.; Dehmer, K.J.; Hegarty, M.; Muylle, H.; Ruttink, T.; Roldán-Ruiz, I.; et al. Pleistocene Climate Changes, and Not Agricultural Spread, Accounts for Range Expansion and Admixture in the Dominant Grassland Species Lolium Perenne L. J. Biogeogr. 2019, 46, 1–15. [Google Scholar] [CrossRef]
- Lonati, M.; Moot, D.J.; Aceto, P.; Cavallero, A.; Lucas, R.J. Thermal Time Requirements for Germination, Emergence and Seedling Development of Adventive Legume and Grass Species. N. Z. J. Agric. Res. 2009, 52, 17–29. [Google Scholar] [CrossRef]
- Larsen, S.U.; Andreasen, C. Light and Heavy Turfgrass Seeds Differ in Germination Percentage and Mean Germination Thermal Time. Crop Sci. 2004, 44, 1710–1720. [Google Scholar] [CrossRef]





| Accession | Taxon | Collection Site | Latitude and Longitude | Altitude Above Sea Level (m) | Mean Temperature Warmest Quarter (°C) | Mean Temperature Coldest Quarter (°C) | Precipitation Warmest Quarter (mm) | Precipitation Coldest Quarter (mm) |
|---|---|---|---|---|---|---|---|---|
| FE7045 | subsp. arundinacea var. genuina Schreb. (6×) | Khenifra, Morocco | 32°56′00.89″ N, 5°39′41.85″ W | 864 | 23.5 | 8.8 | 28 | 224 |
| FE7046 | subsp. arundinacea var. atlantigena sensu Markgr.Dann. (8×) | Idem | Idem | Idem | Idem | Idem | Idem | Idem |
| FE7047 | subsp. arundinacea var. letourneuxiana (10×) | Idem | Idem | Idem | Idem | Idem | Idem | Idem |
| FE893 | subsp. arundinacea var. genuina Schreb. (6×) | Saouaf, Tunisia | 36°13′41.75″ N, 10°10′18.22″ E | 151 | 25.8 | 10.5 | 53 | 179 |
| FE572 | subsp. arundinacea Schreb. | Quinger, France | 47°06′11.26″ N, 5°52′59.65″ E | 341 | 18.4 | 2.2 | 260 | 240 |
| FE191 | subsp. arundinacea Schreb. | Lusignan, France | 46°24′04.96″ N, 0°07′20.84″ E | 129 | 18.3 | 4.4 | 246 | 226 |
| FE4392 | subsp. arundinacea Schreb. | Alcobaça, Portugal | 39°32′55.20″ N, 8°58′46.74″ W | 53 | 20 | 11.2 | 42 | 304 |
| Centurion | subsp. arundinacea Schreb. | NA | 43°39′00.45″ N, 3°51′58.30″ E | 47 | NA | NA | NA | NA |
| Soni | subsp. arundinacea Schreb. | NA | 48°38′42.21″ N, 2°50′08.93″ E | 101 | NA | NA | NA | NA |
| Temperature Treatment (°C) | Temperature Actual (°C) | Relative Humidity (%) | VPD (kPa) | Sampling Frequency (h) | Duration of the Observe (h) |
|---|---|---|---|---|---|
| 5 | 5.0 | 74 | 0.23 | 48 | 3024 |
| 10 | 9.6 | 84 | 0.20 | 16 | 1584 |
| 15 | 14.3 | 76 | 0.41 | 12 | 900 |
| 20 | 19.2 | 74 | 0.61 | 8 | 1072 |
| 25 | 25.0 | 80 | 0.63 | 8 | 1072 |
| 30 | 30.0 | 50 | 2.12 | 8 | 1008 |
| 35 | 34.2 | 65 | 1.97 | 12 | 756 |
| 40 | 40.0 | 55–100 | 3.32–0.00 | 168 | 1680 |
Publisher’s Note: MDPI stays neutral with regard to jurisdictional claims in published maps and institutional affiliations. |
© 2022 by the authors. Licensee MDPI, Basel, Switzerland. This article is an open access article distributed under the terms and conditions of the Creative Commons Attribution (CC BY) license (https://creativecommons.org/licenses/by/4.0/).
Share and Cite
Ahmed, L.Q.; Escobar-Gutiérrez, A.J. Tall Fescue (Festuca arundinacea Schreb.) Shows Intraspecific Variability in Response to Temperature during Germination. Agronomy 2022, 12, 1245. https://doi.org/10.3390/agronomy12051245
Ahmed LQ, Escobar-Gutiérrez AJ. Tall Fescue (Festuca arundinacea Schreb.) Shows Intraspecific Variability in Response to Temperature during Germination. Agronomy. 2022; 12(5):1245. https://doi.org/10.3390/agronomy12051245
Chicago/Turabian StyleAhmed, Lina Q., and Abraham J. Escobar-Gutiérrez. 2022. "Tall Fescue (Festuca arundinacea Schreb.) Shows Intraspecific Variability in Response to Temperature during Germination" Agronomy 12, no. 5: 1245. https://doi.org/10.3390/agronomy12051245
APA StyleAhmed, L. Q., & Escobar-Gutiérrez, A. J. (2022). Tall Fescue (Festuca arundinacea Schreb.) Shows Intraspecific Variability in Response to Temperature during Germination. Agronomy, 12(5), 1245. https://doi.org/10.3390/agronomy12051245

