No Effect of Biostimulants on the Growth, Yield and Nutritional Value of Shallots Grown for Bunch Harvest
Abstract
1. Introduction
2. Materials and Methods
2.1. Plant Materials and Growing Conditions
- -
- Effective Microorganisms (EM Ogród; Greenland Technologia EM Ltd., Trzcianki, Poland): the tested EM biostimulant is certified and recognized as safe for the environment (EM Ogród certificate no. PZH/HT-2713/2012). The biostimulant based on EM contains approximately 80 species of beneficial microorganisms representing five different groups: photosynthetic bacteria (Rhodopseudomonas palustris, Rhodobacter sphaeroides), lactic acid bacteria (Lactobacillus plantarum, Lactobacillus casei, Streptococcus lactis), yeasts (Saccharomyces cerevisiae, Candida utilis), actinobacteria (Streptomyces albus, Streptomyces griseus) and molds (Aspergillus oryzae, Penicillium spp., Mucor hiemalis). This biopreparation is produced by natural fermentation and is not chemically synthesized; it is GMO-free. The exact composition of this microbiological product is unknown as it is protected by copyright.
- -
- Goëmar Goteo (GG; Arysta LifeScience Poland Ltd., Warsaw, Poland): biostimulant contains biologically active filtrate from the seaweed Ascophyllum nodosum (source of auxins, cytokinins, vitamins, macro- and microelement supporting various metabolic process and eliciting root-growth-promoting activity) with the addition of phosphorus (13% P2O5), and potassium (5% K2O).
- -
- Bonilla F1 (Bejo Zaden Poland, Konotopa, Poland): a variety with a mild taste, very fertile, medium late, with yellow, well-adhering scales and a high dry matter content. It matures 85–90 days after sowing. Useful for very long storage.
- -
- Matador F1 (Bejo Zaden Poland): medium early variety, very fertile, with a pungent flavor. Large, spherical bulbs, 4–5 cm in diameter. Strong, red-brown scales. High dry matter content. Resistant to knocking out in inflorescence shoots. The vegetation period from sowing is 115 days. Very good suitability for long storage.
2.2. Meteorological Conditions
2.3. Laboratory Analyses of Plant Materials
2.4. Statistical Analysis
3. Results and Discussion
3.1. Morphological Parameters and Marketable Yield of Shallot Plants
3.2. Chemical Composition of Shallot Plants
3.3. Macronutrient Content of Shallot Plants
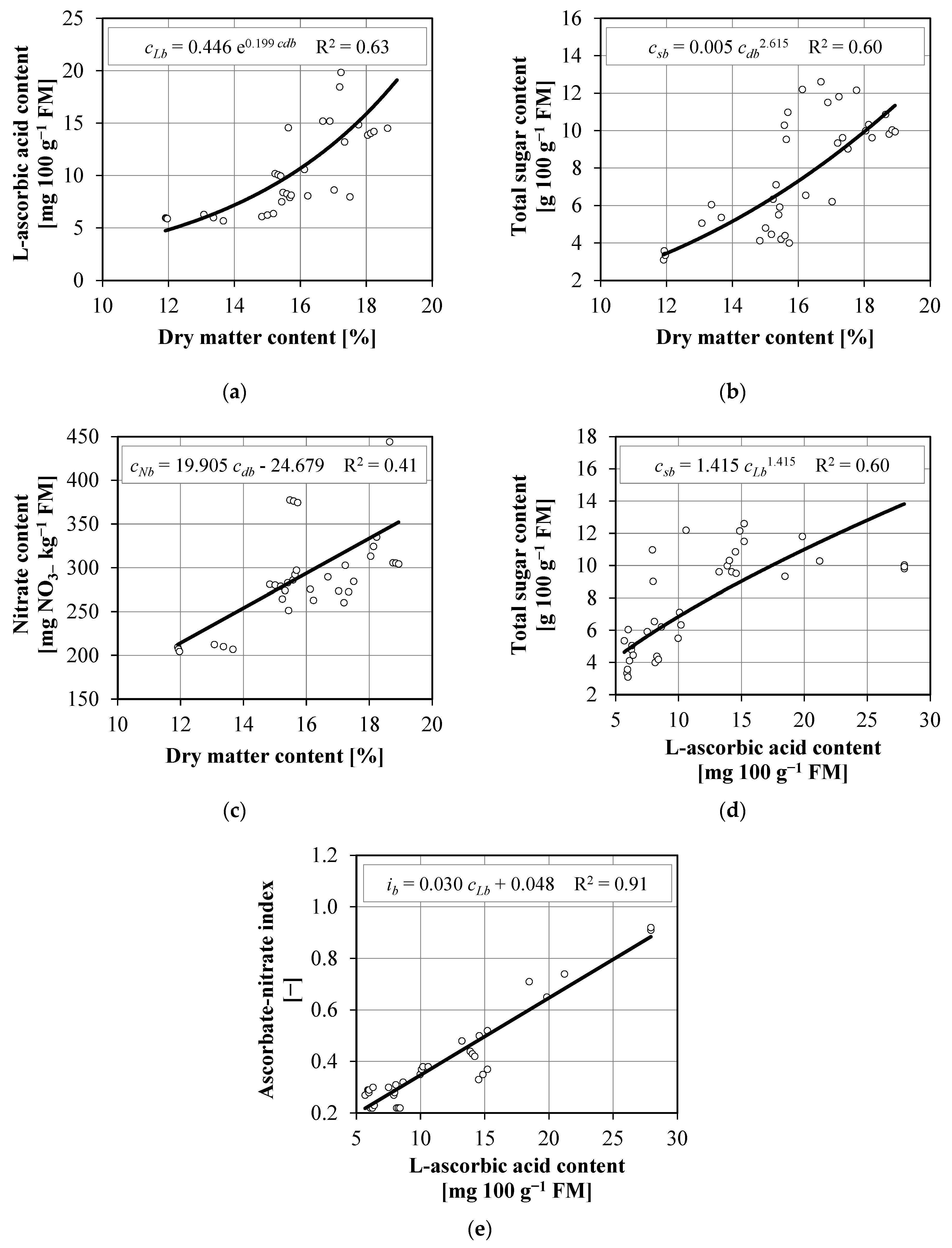
3.4. Correlations between the Analyzed Parameters
4. Conclusions
Author Contributions
Funding
Institutional Review Board Statement
Informed Consent Statement
Data Availability Statement
Conflicts of Interest
References
- Fritsch, R.M.; Friesen, N. Evolution, domestication and taxonomy. In Allium Crop Science: Recent Advances; Rabinowitch, H.D., Currah, L., Eds.; CABI: New York, NY, USA, 2002; pp. 5–30. [Google Scholar]
- Rabinowitch, I.; Kamenetsky, R. Shallot (Allium cepa, Aggregatum group). In Allium Crop Science: Recent Advances; Rabinowitch, H.D., Currah, L., Eds.; CABI: New York, NY, USA, 2002; pp. 409–430. [Google Scholar]
- FAO. World Food and Agriculture—Statistical Yearbook 2021. Available online: https://www.fao.org/3/cb4477en/cb4477en.pdf (accessed on 19 March 2022).
- Jadczak, D.; Wójcik-Stopczyńska, B. Influence of plant covering on some organic compound content and pungency of shallot grown for bunching harvest. Veget. Crops Res. Bull. 2007, 66, 25–30. [Google Scholar] [CrossRef]
- Mysiak, B.; Tendaj, M. Content of phenolic acids in edible parts of some species grown for the green bunching. Acta Sci. Pol. Hortorum Cultus 2008, 7, 57–62. [Google Scholar]
- Major, N.; Goreta Ban, S.; Urlić, B.; Ban, D.; Dumičić, G.; Perković, J. Morphological and Biochemical Diversity of Shallot Landraces Preserved Along the Croatian Coast. Front. Plant Sci. 2018, 9, 1749. [Google Scholar] [CrossRef] [PubMed]
- Putri, F.; Arifin Aziz, S.; Andarwulan, N.; Melati, M.; Suwarto, S. Leaf Pigment, Phenolic Content, and Production of Green Shallot of Five Different Shallot Varieties. Planta Tropika: Jurnal Agrosains. J. Agro Sci. 2021, 9, 48–57. [Google Scholar] [CrossRef]
- Slimestad, R.; Fossen, T.; Vågen, I.M. Onions: A source of unique dietary flavonoids. J. Agric. Food Chem. 2007, 55, 10067–10080. [Google Scholar] [CrossRef]
- Selladurai, R.; Purakayastha, T.J. Effect of humic acid multinutrient fertilizers on yield and nutrient use efficiency of potato. J. Plant Nutr. 2016, 39, 949–956. [Google Scholar] [CrossRef]
- Rouphael, Y.; Giordano, M.; Cardarelli, M.; Cozzolino, E.; Mori, M.; Kyriacou, M.C.; Bonini, P.; Colla, G. Plant- and Seaweed-Based Extracts Increase Yield but Differentially Modulate Nutritional Quality of Greenhouse Spinach through Biostimulant Action. Agronomy 2018, 8, 126. [Google Scholar] [CrossRef]
- Sible, C.N.; Seebauer, J.R.; Below, F.E. Plant Biostimulants: A Categorical Review, Their Implications for Row Crop Production, and Relation to Soil Health Indicators. Agronomy 2021, 11, 1297. [Google Scholar] [CrossRef]
- Maciejewski, T.; Szukała, J.; Jarosz, A. Influence of biostimulator Asahi SL i Atonik SL on qualitative tubers of potatoes. J. Res. Appl. Agric. Eng. 2007, 52, 109–112. [Google Scholar]
- Matysiak, K.; Kaczmarek, S.; Kierzek, R. Effect of algae Ecklonia maxima (Kelpak SL) on winter oilseed rape. Rośl. Oleiste-Oilseed Crops 2012, 33, 81–88. [Google Scholar] [CrossRef]
- Du Jardin, P. Plant biostimulants: Definition, concept, main categories and regulation. Sci. Hortic. 2015, 196, 3–14. [Google Scholar] [CrossRef]
- Higa, T. Technology application in agriculture and environment protection. In Proceedings of the 38 International. Microbiological Symposium Effective Microorganisms (EM) in Sustainable Agriculture and Environmental Protection, SGGW, Rogów, Poland, 1–3 June 2003; pp. 17–18. [Google Scholar]
- Halpern, M.; Bar-Tal, A.; Ofek, M.; Minz, D.; Muller, T.; Yermiyahu, U. The use of biostimulants for enhancing nutrient uptake. Adv. Agron. 2015, 129, 141–174. [Google Scholar]
- Goñi, O.; Quille, P.; O’Connell, S. Seaweed Carbohydrates. In The Chemical Biology of Plant Biostimulants; Geelen, D., Xu, L., Stevens, C.V., Eds.; John Wiley & Sons: Hoboken, NJ, USA, 2020; pp. 57–95. [Google Scholar]
- Stirk, W.A.; Rengasamy, K.R.R.; Kulkarni, M.G.; van Staden, J. Plant Biostimulants from Seaweed: An Overview. Chem. Biol. Plant Biostimul. 2020, 2, 31–55. [Google Scholar]
- Van Vliet, P.C.J.; Bloem, J.; De Goede, R.G.M. Microbial diversity, nitrogen loss and grass production after addition of effective microorganisms (EM) to slurry manure. Appl. Soil Ecol. 2006, 32, 188–198. [Google Scholar] [CrossRef]
- Sabeti, Z.; Armin, M.; Kakhki, M.R.V. Investigation of effective microorganisms application method on alleviation of stress effects on root morphology of sweet corn. Ratar. I Povrt. 2017, 54, 48–55. [Google Scholar] [CrossRef]
- Lack, S.; Ghooshchi, F.; Hadi, H. The effect of crop growth enhancer bacteria onyield and yield components of safflower (Carthamus tinctorius L.). Int. J. Farm. Allied Sci. 2013, 2, 809–815. [Google Scholar]
- Malik, A.; Mor, V.S.; Tokas, J.; Punia, H.; Malik, S.; Malik, K.; Sangwan, S.; Tomar, S.; Singh, P.; Singh, N.; et al. Biostimulant-Treated Seedlings under Sustainable Agriculture: A Global Perspective Facing Climate Change. Agronomy 2021, 11, 14. [Google Scholar] [CrossRef]
- WRB. World Reference Base for Soil Resources; World Soil Resources Reports No. 106; FAO: Rome, Italy, 2014; Available online: http://www.fao.org/3/i3794en/I3794en.pdf (accessed on 20 July 2021).
- PN-A-75050:1972; Fruit and Vegetable Products, Wines and Meads—Sampling. Polish Committee for Standardization: Warsaw, Poland, 1972.
- EN 12145:1996; Fruit and Vegetable Juices—Determination of Total Dry Matter—Gravimetric Method with Loss of Mass on Drying. European Committee for Standardization: Brussels, Belgium, 1996.
- PN-A-75101-07:1990; Fruit and Vegetable Products—Sample Preparation and Methods of Physicochemical Analyses—Determination of Sugar Content and Non-Sugar Extract Content. Polish Committee for Standardization: Warsaw, Poland, 1990.
- PN-A-04019:1998; Food Products—Determination of Vitamin C Content. Polish Committee for Standardization: Warsaw, Poland, 1998.
- Krauze, A.; Domska, D. Ćwiczenia Specjalistyczne z Chemii Rolnej [Specialist Exercises in Agricultural Chemistry]; ART: Olsztyn, Poland, 1991; pp. 64–65. (In Polish) [Google Scholar]
- Lachman, J.; Orsak, M.; Pivec, V. Ascorbate-nitrate index as a factor characterizing the quality of vegetables. Chem. List. 1997, 91, 708–709. [Google Scholar]
- TIBCO Software Inc. Statistica (Data Analysis Software System, Palo Alto, USA). Version 13.3. 2017. Available online: https://docs.tibco.com/products/tibco-statistica-13-3-0 (accessed on 15 May 2021).
- Gajc-Wolska, K.; Kowalczyk, K.; Nowecka, M.; Mazur, K.; Metera, A. Effect of organic-mineral fertilizers on the yield and quality of endive (Cichorium endivia L.). Acta Sci. Pol. Hortorum Cultus 2012, 11, 189–200. [Google Scholar]
- Marcinek, B.; Hetman, J. The effect of foliage feeding on the structure of yield, dry weight content and macroelements in the corms of Sparaxis tricolor Ker-Gawl. Acta Sci. Pol. Hortorum Cultus 2008, 7, 89–99. [Google Scholar]
- Grajkowski, J.; Ochmian, I. Influence of three biostymulants on yielding and fruit quality of three primocane raspberry cultivars. Acta Sci. Pol. Hortorum Cultus 2007, 6, 29–36. [Google Scholar]
- Hussein, K.A.; Joo, J.H. Effects of several Effective Microorganisms (EM) on the growth of Chinese cabbage (Brassica rapa). Korean Soc. Soil Sci. Fert. 2011, 44, 565–574. [Google Scholar] [CrossRef][Green Version]
- Shaheen, S.; Khan, M.; Khan, M.J.; Jilani, S.; Bibi, Z.; Munir, M.; Kiran, M. Effective Micro-organisms (EM) co-applied with organic wastes and NPK stimulate the growth, yield and quality of spinach (Spinacia oleracea L.). Sarhad J. Agric. 2017, 33, 30–41. [Google Scholar] [CrossRef]
- Marschner, P. Plant-microbe interactions in the rhizosphere and nutrient cycling. Soil Biol. 2007, 10, 159–182. [Google Scholar] [CrossRef]
- Xu, H.-L.; Wang, R.; Mridha, M.A.U. Effects of organic fertilizers and a microbial inoculant on leaf photosynthesis and fruit yield and quality of tomato plants. J. Crop Prod. 2001, 3, 173–182. [Google Scholar] [CrossRef]
- Michalski, P. The effect of TytanitR on the yield structure and the fruit size of strawberry ‘Senga Sengana’ and ‘Elsanta’ cv. Ann. UMCS Agric. 2008, 63, 109–118. [Google Scholar] [CrossRef]
- Mikulewicz, E.; Majkowska-Gadomska, J.; Jadwisieńczak, K.; Francke, A. Effect of selected biostimulants on the yield and quality of the common onion (Allium cepa L.). Acta Agroph. 2019, 26, 57–65. [Google Scholar] [CrossRef]
- Majkowska-Gadomska, J.; Jadwisieńczak, K.; Francke, A.; Kaliniewicz, Z. Effect of Biostimulants on the Yield and Quality of Selected Herbs. Appl. Sci. 2022, 12, 1500. [Google Scholar] [CrossRef]
- Thevanathan, R.A.; Dinamani, D.S.; Bhavani, L.G. Studies on the impact of application of marine algal manure and liquid fertiliser on the linear growth of the seedlings of some pulses. Seaweed Res. Util. 2005, 27, 125–133. [Google Scholar]
- Bai, R.N.; Banu, N.R.L.; Prakash, J.W.; Goldi, S.J. Effects of Asparagopsis taxiformis extract on the growth and yield of Phaseolus aureus. J. Basic Appl. Biol. 2007, 1, 6–11. [Google Scholar]
- Abbas, M.; Anwar, J.; Zafar-ul-Hye, M.; Iqbal Khan, R.; Saleem, M.; Rahi, A.A.; Danish, S.; Datta, R. Effect of Seaweed Extract on Productivity and Quality Attributes of Four Onion Cultivars. Horticulturae 2020, 6, 28. [Google Scholar] [CrossRef]
- Szczepanek, M.; Wszelaczyńska, E.; Pobereżny, J.; Ochmian, I. Response of onion (Allium cepa L.) to the method of sea-weed biostimulant application. Acta Sci. Pol. Hortorum Cultus 2017, 16, 113–122. [Google Scholar]
- Hidangmayum, A.; Sharma, R. Effect of different concentrations of commercial seaweed liquid extract of Ascophyllum nodosum as a plant bio stimulant on growth, yield and biochemical constituents of onion (Allium cepa L.). J. Pharmacogn. Phytochem. 2017, 6, 658–663. [Google Scholar]
- Sulakhudin, U.; Hatta, M.; Suryadi, U.D. Application of Coastal Sediments and Foliar SeaweedExtract and Its Influence to Soil Properties, Growth and Yield of Shallot in Peatland. AGRIVITA J. Agric. Sci. 2019, 42, 1–2. [Google Scholar] [CrossRef]
- Kapczyńska, A.; Kowalska, I.; Prokopiuk, B.; Pawłowska, B. Rooting Media and Biostimulator Goteo Treatment Effect the Adventitious Root Formation of Pennisetum ‘Vertigo’ Cuttings and the Quality of the Final Product. Agriculture 2020, 10, 570. [Google Scholar] [CrossRef]
- Rosłon, W.; Osińska, E.; Bączek, K.; Węglarz, Z. The influence of organic-mineral fertilizers on field and raw materials quality of chosen plants of the Lamiaceae family from organic cultivation. Acta Sci. Pol. Hortorum Cultus 2011, 10, 147–158. [Google Scholar]
- Frąszczak, B.; Kleiber, T.; Klama, J. Impact of effective microorganisms on yields and nutrition of sweet basil (Ocimum basilicum L.) and microbiological properties of the substrate. Afr. J. Agric. Res. 2012, 7, 5756–5765. [Google Scholar] [CrossRef]
- Majkowska-Gadomska, J.; Dobrowolski, A.; Jadwisieńczak, K.K.; Kaliniewicz, Z.; Francke, A. Effect of biostimulants on the growth, yield and nutritional value of Capsicum annuum grown in an unheated plastic tunnel. Sci. Rep. 2021, 11, 22335. [Google Scholar] [CrossRef]
- Chen, D.; Zhou, W.; Yang, J.; Ao, J.; Huang, Y.; Shen, D.; Jiang, Y.; Huang, Z.; Shen, H. Effects of Seaweed Extracts on the Growth, Physiological Activity, Cane Yield and Sucrose Content of Sugarcane in China. Front. Plant Sci. 2021, 12, 659130. [Google Scholar] [CrossRef]
- Kleiber, T.; Starzyk, J.; Bosiacki, M. Effect of nutrient solution, effective microorganisms (EM-A), and assimilation illumination of plants on the induction of the growth of lettuce (Lactuca sativa L.) in hydroponic cultivation. Acta Agrobot. 2013, 66, 27–38. [Google Scholar] [CrossRef][Green Version]
- Radkowski, A.; Radkowska, I. Influence of effective microorganisms on the dry matter yield and chemical composition of meadow vegetation. J. Elem. 2018, 23, 509–520. [Google Scholar] [CrossRef]
- Godlewska, K.; Pacyga, P.; Michalak, I.; Biesiada, A.; Szumny, A.; Pachura, N.; Piszcz, U. Systematic Investigation of the Effects of Seven Plant Extracts on the Physiological Parameters, Yield, and Nutritional Quality of Radish (Raphanus sativus var. sativus). Front. Plant Sci. 2021, 12, 651152. [Google Scholar] [CrossRef] [PubMed]
- Majkowska-Gadomska, J.; Mikulewicz, E.; Jadwisieńczak, K.; Francke, A.; Młyńska, K. The influence of amino acid biostimulators on the size and quality of garlic (Allium sativum L.). Acta Agroph 2019, 26, 31–38. [Google Scholar] [CrossRef]
- Commission Regulation (EU). No. 1258/2011 of 2 December 2011 amending Regulation (EC) No. 1881/2006 as regards maximum levels for nitrates in foodstuffs. Off. J. Eur. Union 2011, 12, 320. [Google Scholar]
- Jurga, B.; Kocoń, A. Czynniki wpływające na zawartość azotanów (V) i azotanów (III) w roślinach [Factors influencing the content of nitrates (V) and nitrates (III) in plant]. Studia I Rap. IUNG-PIB 2013, 34, 47–56. (In Polish) [Google Scholar]
- Pokluda, R. An assessment of the nutritional value of vegetables using an ascorbate-nitrate index. Veget. Crops Res. Bull. 2006, 64, 29–37. [Google Scholar]
- Muráriková, A.; Neugebauerová, J. Seasonal variation of ascorbic acid and nitrate levels in selected basil (Ocimum basilicum L.) varieties. Hort. Sci. 2018, 45, 47–52. [Google Scholar] [CrossRef]
- Wadas, W.; Łęczycka, T.; Borysiak-Marciniak, I. Effect of fertilization with multinutrient complex fertilizers on tuber quality of very early potato cultivars. Acta Sci. Pol. Hortorum Cultus 2012, 11, 27–41. [Google Scholar]
- Wadas, W.; Raczuk, J. Assessment of the nutritional safety of new potatoes imported to Poland using an ascorbate-nitrate index. Rocz. Panstw. Zakł Hig. 2018, 69, 243–249. [Google Scholar]
- Grusak, M.A. Enhancing mineral content in plant food products. J. Am. Coll. Nutr. 2002, 21, 178S–183S, 330. [Google Scholar] [CrossRef]
- Skubij, N.; Dzida, K.; Jarosz, Z.; Pitura, K.; Jaroszuk-Sierocińska, M. Nutritional value of savory herb (Satureja hortensis L.) and 334 plant response to variable mineral nutrition conditions in various phases of development. Plants 2020, 9, 706. [Google Scholar] [CrossRef] [PubMed]
- Kleiber, T.; Starzyk, J.; Górski, R.; Sobieralski, K.; Siwulski, M.; Rempulska, A.; Sobiak, A. The studies on applying of effective microorganisms (EM) and CRF on nutrient contents in leaves and yielding of tomato. Acta Sci. Pol. Hort. Cult. 2014, 13, 79–90. [Google Scholar]
- Majkowska-Gadomska, J.; Arcichowska-Pisarska, K. The effect of Polimag S fertilizer on the macronutrient content of the edible parts of three welsh onion (Allium fistulosum L.) cultivars. J. Elem. 2014, 19, 709–722. [Google Scholar] [CrossRef]
- Krzywy, J.; Baran, S.; Krzywy, E. The influence of fertilizers in shaping relations ion K:Mg. K:(Mg+Ca). Ca:P and N:S in cultivated plants. Zesz. Probl. Post. Nauk Rol. 2002, 484, 317–323. (In Polish) [Google Scholar]
- Jarnuszewski, G.; Meller, E. Mineral element ratios in plants grown on post-bog soils fertilised with zinc and copper. Folia Pomer. Univ. Technol. Stetin. Agric. Aliment. Piscaria Zootech. 2013, 304, 25–32, (In Polish with English summary). [Google Scholar]
- Rosanoff, A.; Capron, E.; Barak, P.; Mathews, B.; Nielsen, F. Edible plant tissue and soil calcium: Magnesium ratios: Data too sparse to assess implications for human health. Crop Pasture Sci. 2015, 66, 1265–1277. [Google Scholar] [CrossRef]
- Pitura, K.; Michałojć, Z. Influence of nitrogen doses on the chemical composition and proportions of nutrients in selected vegetable species. J. Elem. 2015, 20, 667–676. [Google Scholar]
- Francke, A.; Młyńska, K.; Majkowska-Gadomska, J. Effect of the type of substrate on concentrations of macronutrients and micronutrients in leaves of mizuna grown in containers. J. Elem. 2021, 26, 939–951. [Google Scholar] [CrossRef]










| pH H2O | Salt Concentration [g NaCl dm−3] | N-NO3 | P | K | Ca | Mg | Cl |
|---|---|---|---|---|---|---|---|
| [mg dm−3] | |||||||
| 7.81 | 0.75 | 35 | 92 | 105 | 2075 | 129 | 5 |
| Month | Temperature [°C] | Rainfall [mm] | ||||||||
|---|---|---|---|---|---|---|---|---|---|---|
| In Days of Month | Mean Monthly | Deviation from Mean 1981–2010 | In Days of Month | Sum Monthly | Deviation from Mean 1981–2010 | |||||
| 1–10 | 11–20 | 21–End | 1–10 | 11–20 | 21–End | |||||
| 2015 | ||||||||||
| April | 3.5 | 6.4 | 10.1 | 6.7 | –0.6 | 19.5 | 9.1 | 9.6 | 38.2 | 3.0 |
| May | 10.8 | 12.6 | 12.0 | 11.8 | –1.0 | 7.0 | 16.7 | 6.0 | 29.7 | –28.2 |
| June | 15.9 | 15.5 | 15.0 | 15.5 | 0.0 | 0.2 | 8.8 | 20.5 | 29.5 | –47.4 |
| 2016 | ||||||||||
| April | 8.1 | 8.6 | 5.5 | 7.4 | 0.1 | 3.8 | 16.4 | 8.6 | 28.8 | –6.4 |
| May | 12.6 | 10.7 | 17.4 | 13.7 | 0.9 | 1.3 | 32.1 | 23.5 | 56.9 | –1.0 |
| June | 15.6 | 15.5 | 20.3 | 17.1 | 1.6 | 22.9 | 15.1 | 31.3 | 69.3 | –7.6 |
| Factor | Source of Variation | Y [t ha−1] | m [g] | sl [%] | n [pcs plant−1] | l [cm] | S [-] |
|---|---|---|---|---|---|---|---|
| Treatment (I) | C | 42.7 ± 7.6 a | 65.0 ± 16.1 a | 56.5 ± 12.4 a | 24 ± 6 a | 31 ± 5 a | 88 ± 9 a |
| EM | 36.8 ± 3.6 a | 53.3 ± 10.8 a | 58.7 ± 6.4 a | 20 ± 4 a | 37 ± 5 a | 81 ± 15 a | |
| GG | 41.1 ± 8.7 a | 54.7 ± 11.4 a | 58.2 ± 9.4 a | 26 ± 6 a | 35 ± 8 a | 84 ± 17 a | |
| p-value | 0.121 | 0.068 | 0.839 | 0.059 | 0.099 | 0.468 | |
| Cultivar (II) | Bonilla F1 | 42.9 ± 8.0 b | 57.8 ± 12.6 a | 62.3 ± 7.7 b | 24 ± 6 a | 39 ± 5 b | 85 ± 13 a |
| Matador F1 | 37.5 ± 5.3 a | 57.5 ± 15.1 a | 53.3 ± 9.1 a | 23 ± 5 a | 30 ± 4 a | 83 ± 15 a | |
| p-value | 0.025 | 0.952 | 0.003 | 0.498 | <0.001 | 0.706 | |
| Year (III) | 2015 | 38.6 ± 7.7 a | 55.8 ± 15.8 a | 51.5 ± 8.0 a | 23 ± 7 a | 34 ± 7 a | 73 ± 8 a |
| 2016 | 41.8 ± 6.6 a | 59.5 ± 11.3 a | 64.1 ± 6.0 b | 23 ± 5 a | 34 ± 7 a | 96 ± 7 b | |
| p-value | 0.203 | 0.422 | <0.001 | 0.955 | 0.919 | <0.001 | |
| I × II | p-value | 0.785 | 0.003 | 0.178 | <0.001 | 0.114 | 0.964 |
| I × III | p-value | 0.190 | 0.512 | 0.220 | 0.960 | 0.995 | 0.006 |
| II × III | p-value | 0.057 | 0.715 | 0.900 | 0.869 | 0.922 | 0.278 |
| I × II × III | p-value | <0.001 | 0.896 | 0.003 | 0.664 | 0.995 | 0.349 |
| Factor | Source of Variation | cLb [mg 100 g−1 FM] | cdb [%] | csb [g 100 g−1 FM] | crb [g 100 g−1 FM] | cNb [mg NO3− kg−1 FM] | ib [-] |
|---|---|---|---|---|---|---|---|
| Treatment (I) | C | 15.0 ± 8.1 a | 17.1 ± 1.5 b | 8.1 ± 2.0 a | 1.4 ± 0.5 a | 292 ± 27 a | 0.51 ± 0.25 a |
| EM | 10.5 ± 5.8 a | 14.8 ± 1.9 a | 7.6 ± 3.9 a | 1.3 ± 0.5 a | 267 ± 37 a | 0.38 ± 0.18 a | |
| GG | 10.6 ± 4.4 a | 16.0 ± 1.9 ab | 7.6 ± 3.1 a | 1.3 ± 0.4 a | 322 ± 90 a | 0.34 ± 0.14 a | |
| p-value | 0.144 | 0.010 | 0.895 | 0.858 | 0.085 | 0.107 | |
| Cultivar (II) | Bonilla F1 | 12.7 ± 8.3 a | 16.1 ± 1.8 a | 7.6 ± 2.4 a | 1.6 ± 0.3 b | 270 ± 32 a | 0.45 ± 0.26 a |
| Matador F1 | 11.4 ± 4.0 a | 15.9 ± 2.1 a | 7.9 ± 3.6 a | 1.0 ± 0.4 a | 317 ± 74 b | 0.36 ± 0.11 a | |
| p-value | 0.562 | 0.805 | 0.765 | <0.001 | 0.021 | 0.172 | |
| Year (III) | 2015 | 16.6 ± 6.2 b | 17.4 ± 1.1 b | 10.5 ± 1.1 b | 1.0 ± 0.4 a | 319 ± 54 b | 0.53 ± 0.22 b |
| 2016 | 7.4 ± 1.6 a | 14.6 ± 1.5 a | 5.0 ± 1.2 a | 1.6 ± 0.4 b | 268 ± 58 a | 0.28 ± 0.05 a | |
| p-value | <0.001 | <0.001 | <0.001 | <0.001 | 0.011 | <0.001 | |
| I × II | p-value | 0.284 | 0.209 | 0.988 | 0.252 | <0.001 | 0.280 |
| I × III | p-value | 0.327 | 0.866 | <0.001 | 0.318 | 0.962 | 0.388 |
| II × III | p-value | 0.086 | 0.366 | 0.003 | 0.734 | 0.517 | 0.029 |
| I × II × III | p-value | 0.002 | <0.001 | <0.001 | <0.001 | <0.001 | 0.010 |
| Factor | Source of Variation | cLl [mg 100 g−1 FM] | cdl [%] | csl [g 100 g−1 FM] | crl [g 100 g−1 FM] | cNl [mg NO3− kg−1 FM] | il [-] |
|---|---|---|---|---|---|---|---|
| Treatment (I) | C | 32.3 ± 5.7 a | 9.6 ± 0.8 a | 3.7 ± 1.6 a | 2.4 ± 0.9 a | 572 ± 121 b | 0.58 ± 0.14 a |
| EM | 33.0 ± 11.9 a | 10.3 ± 0.8 ab | 3.5 ± 0.4 a | 2.2 ± 0.3 a | 643 ± 49 b | 0.52 ± 0.22 a | |
| GG | 31.9 ± 18.3 a | 10.5 ± 0.9 b | 3.0 ± 0.8 a | 2.1 ± 0.8 a | 336 ± 112 a | 1.16 ± 0.97 b | |
| p-value | 0.979 | 0.028 | 0.276 | 0.480 | <0.001 | 0.020 | |
| Cultivar (II) | Bonilla F1 | 31.7 ± 9.6 a | 10.0 ± 0.7 a | 3.6 ± 1.0 a | 2.5 ± 0.6 a | 594 ± 120 b | 0.54 ± 0.18 a |
| Matador F1 | 33.2 ± 15.4 a | 10.3 ± 1.0 a | 3.1 ± 1.1 a | 2.0 ± 0.8 a | 440 ± 169 a | 0.97 ± 0.83 b | |
| p-value | 0.722 | 0.345 | 0.205 | 0.061 | 0.003 | 0.038 | |
| Year (III) | 2015 | 41.9 ± 8.9 b | 9.8 ± 0.8 a | 2.6 ± 0.6 a | 1.8 ± 0.6 a | 498 ± 159 a | 1.05 ± 0.78 b |
| 2016 | 22.9 ± 7.6 a | 10.5 ± 0.7 b | 4.1 ± 0.9 b | 2.7 ± 0.5 b | 535 ± 172 a | 0.46 ± 0.18 a | |
| p-value | <0.001 | 0.008 | <0.001 | <0.001 | 0.513 | 0.004 | |
| I × II | p-value | 0.144 | 0.284 | 0.979 | 0.959 | <0.001 | 0.009 |
| I × III | p-value | <0.001 | 0.098 | <0.001 | 0.003 | 0.531 | 0.021 |
| II × III | p-value | 0.014 | 0.001 | 0.179 | 0.049 | 0.572 | 0.056 |
| I × II × III | p-value | <0.001 | <0.001 | 0.003 | <0.001 | 0.110 | <0.001 |
| Factor | Source of Variation | N [g kg−1 DM] | P [g kg−1 DM] | K [g kg−1 DM] | Ca [g kg−1 DM] | Mg [g kg−1 DM] |
|---|---|---|---|---|---|---|
| Treatment (I) | C | 0.87 ± 0.03 b | 0.21 ± 0.01 a | 1.30 ± 0.02 a | 0.89 ± 0.08 a | 0.05 ± 0.01 a |
| EM | 0.88 ± 0.07 b | 0.24 ± 0.01 b | 1.45 ± 0.02 b | 0.94 ± 0.02 a | 0.06 ± 0.01 b | |
| GG | 0.74 ± 0.04 a | 0.20 ± 0.02 a | 1.28 ± 0.10 a | 0.96 ± 0.11 a | 0.06 ± 0.01 b | |
| p-value | <0.001 | <0.001 | <0.001 | 0.396 | 0.007 | |
| Cultivar (II) | Bonilla F1 | 0.85 ± 0.08 a | 0.22 ± 0.02 a | 1.37 ± 0.05 a | 0.99 ± 0.05 b | 0.06 ± 0.01 a |
| Matador F1 | 0.81 ± 0.08 a | 0.21 ± 0.02 a | 1.32 ± 0.13 a | 0.86 ± 0.05 a | 0.06 ± 0.01 a | |
| p-value | 0.239 | 0.491 | 0.246 | <0.001 | 0.999 | |
| I × II | p-value | <0.001 | 0.178 | 0.007 | <0.001 | 0.493 |
| Factor | Source of Variation | N [g kg−1 DM] | P [g kg−1 DM] | K [g kg−1 DM] | Ca [g kg−1 DM] | Mg [g kg−1 DM] |
|---|---|---|---|---|---|---|
| Treatment (I) | C | 2.02 ± 0.10 a | 0.26 ± 0.02 a | 3.58 ± 0.07 ab | 1.55 ± 0.07 b | 0.17 ± 0.01 a |
| EM | 1.61 ± 0.53 a | 0.30 ± 0.03 b | 3.66 ± 0.07 b | 1.40 ± 0.07 a | 0.17 ± 0.01 a | |
| GG | 1.80 ± 0.03 a | 0.29 ± 0.02 ab | 3.25 ± 0.43 a | 1.40 ± 0.16 a | 0.16 ± 0.02 a | |
| p-value | 0.105 | 0.029 | 0.033 | 0.040 | 0.286 | |
| Cultivar (II) | Bonilla F1 | 1.73 ± 0.47 a | 0.26 ± 0.02 a | 3.52 ± 0.16 a | 1.36 ± 0.11 a | 0.16 ± 0.02 a |
| Matador F1 | 1.89 ± 0.08 a | 0.30 ± 0.02 b | 3.47 ± 0.40 a | 1.54 ± 0.07 b | 0.17 ± 0.01 a | |
| p-value | 0.336 | 0.002 | 0.745 | <0.001 | 0.170 | |
| I × II | p-value | 0.018 | 0.431 | 0.818 | <0.001 | <0.001 |
| Factor | Source of Variation | K:Ca [-] | K:Mg [-] | Ca:P [-] | Ca:Mg [-] | K:(Ca + Mg) [-] |
|---|---|---|---|---|---|---|
| Treatment (I) | C | 1.47 ± 0.11 ab | 24.55 ± 2.22 b | 4.26 ± 0.49 ab | 16.85 ± 2.22 a | 1.38 ± 0.10 ab |
| EM | 1.55 ± 0.05 b | 23.56 ± 1.46 ab | 3.95 ± 0.12 a | 15.21 ± 0.86 a | 1.45 ± 0.05 b | |
| GG | 1.35 ± 0.12 a | 20.90 ± 2.67 a | 4.78 ± 0.34 b | 15.56 ± 2.23 a | 1.27 ± 0.11 a | |
| p-value | 0.013 | 0.029 | 0.004 | 0.312 | 0.009 | |
| Cultivar (II) | Bonilla F1 | 1.39 ± 0.10 a | 23.43 ± 1.92 a | 4.55 ± 0.48 b | 16.97 ± 1.88 b | 1.31 ± 0.09 a |
| Matador F1 | 1.52 ± 0.12 b | 22.58 ± 3.18 a | 4.11 ± 0.39 a | 14.77 ± 1.23 a | 1.42 ± 0.12 b | |
| p-value | 0.019 | 0.502 | 0.045 | 0.010 | 0.029 | |
| I × II | p-value | 0.406 | 0.131 | 0.016 | 0.040 | 0.384 |
| Factor | Source of Variation | K:Ca [-] | K:Mg [-] | Ca:P [-] | Ca:Mg [-] | K:(Ca + Mg) [-] |
|---|---|---|---|---|---|---|
| Treatment (I) | C | 2.31 ± 0.13 a | 21.54 ± 1.16 a | 6.11 ± 0.28 b | 9.34 ± 0.66 a | 2.09 ± 0.11 a |
| EM | 2.62 ± 0.11 a | 22.18 ± 1.01 a | 4.76 ± 0.25 a | 8.49 ± 0.72 a | 2.34 ± 0.08 a | |
| GG | 2.36 ± 0.41 a | 21.33 ± 4.05 a | 4.83 ± 0.21 a | 9.04 ± 0.45 a | 2.12 ± 0.37 a | |
| p-value | 0.114 | 0.831 | <0.001 | 0.090 | 0.146 | |
| Cultivar (II) | Bonilla F1 | 2.60 ± 0.13 b | 22.46 ± 1.67 a | 5.27 ± 0.76 a | 8.66 ± 0.74 a | 2.33 ± 0.11 b |
| Matador F1 | 2.26 ± 0.29 a | 20.91 ± 2.81 a | 5.20 ± 0.63 a | 9.25 ± 0.50 a | 2.04 ± 0.26 a | |
| p-value | 0.005 | 0.174 | 0.817 | 0.064 | 0.007 | |
| I × II | p-value | 0.121 | 0.006 | 0.013 | 0.021 | 0.079 |
| Treatment | Parameter | Y | m | sl | n | l |
|---|---|---|---|---|---|---|
| C | m | ns | 1 | |||
| sl | 0.67 | ns | 1 | |||
| n | ns | 0.90 | ns | 1 | ||
| l | ns | ns | ns | ns | 1 | |
| S | 0.63 | ns | 0.83 | ns | ns | |
| EM | m | ns | 1 | |||
| sl | ns | ns | 1 | |||
| n | 0.58 | 0.66 | ns | 1 | ||
| l | ns | ns | ns | ns | 1 | |
| S | ns | ns | 0.84 | ns | ns | |
| GG | m | ns | 1 | |||
| sl | ns | ns | 1 | |||
| n | ns | ns | ns | 1 | ||
| l | ns | ns | 0.82 | 0.63 | 1 | |
| S | ns | ns | 0.72 | ns | ns | |
| Total | m | ns | 1 | |||
| sl | 0.40 | ns | 1 | |||
| n | ns | 0.63 | ns | 1 | ||
| l | ns | ns | 0.52 | ns | 1 | |
| S | 0.34 | ns | 0.66 | ns | ns |
| Treatm. | Parameter | cLb | cLl | cdb | cdl | csb | csl | crb | crl | cNb | cNl | ib |
|---|---|---|---|---|---|---|---|---|---|---|---|---|
| C | cLl | 0.77 | 1 | |||||||||
| cdb | 0.81 | 0.85 | 1 | |||||||||
| cdl | −0.72 | −0.73 | −0.96 | 1 | ||||||||
| csb | 0.74 | 0.67 | 0.91 | −0.97 | 1 | |||||||
| csl | −0.68 | ns | −0.84 | 0.92 | −0.91 | 1 | ||||||
| crb | ns | ns | −0.70 | 0.84 | −0.79 | 0.84 | 1 | |||||
| crl | −0.68 | ns | −0.75 | 0.85 | −0.89 | 0.97 | 0.77 | 1 | ||||
| cNb | ns | ns | 0.81 | −0.91 | 0.88 | −0.93 | −0.87 | −0.90 | 1 | |||
| cNl | ns | ns | ns | ns | ns | ns | ns | 0.60 | ns | 1 | ||
| ib | 0.99 | 0.75 | 0.76 | −0.64 | 0.68 | −0.59 | ns | −0.60 | ns | ns | 1 | |
| il | ns | ns | 0.77 | −0.92 | 0.90 | −0.92 | −0.93 | −0.89 | 0.93 | −0.66 | ns | |
| EM | cLl | 0.63 | 1 | |||||||||
| cdb | 0.65 | 0.97 | 1 | |||||||||
| cdl | ns | −0.68 | −0.79 | 1 | ||||||||
| csb | 0.76 | 0.89 | 0.83 | ns | 1 | |||||||
| csl | ns | −0.63 | ns | ns | −0.68 | 1 | ||||||
| crb | ns | ns | ns | ns | ns | 0.72 | 1 | |||||
| crl | ns | ns | ns | ns | ns | 0.74 | 0.78 | 1 | ||||
| cNb | ns | 0.87 | 0.96 | −0.84 | 0.71 | ns | ns | ns | 1 | |||
| cNl | ns | ns | ns | ns | ns | ns | ns | 0.66 | ns | 1 | ||
| ib | 0.98 | ns | ns | ns | 0.69 | ns | ns | ns | ns | ns | 1 | |
| il | 0.63 | 0.98 | 0.92 | −0.62 | 0.88 | −0.69 | ns | ns | 0.78 | −0.65 | ns | |
| GG | cLl | 0.89 | 1 | |||||||||
| cdb | 0.78 | 0.88 | 1 | |||||||||
| cdl | ns | ns | ns | 1 | ||||||||
| csb | 0.80 | 0.93 | 0.76 | ns | 1 | |||||||
| csl | −0.67 | −0.88 | −0.61 | 0.65 | −0.88 | 1 | ||||||
| crb | ns | −0.62 | −0.69 | ns | ns | ns | 1 | |||||
| crl | −0.58 | −0.82 | ns | 0.70 | −0.86 | 0.98 | ns | 1 | ||||
| cNb | ns | 0.64 | 0.66 | ns | ns | ns | −0.97 | ns | 1 | |||
| cNl | ns | ns | ns | ns | ns | ns | 0.79 | ns | −0.85 | 1 | ||
| ib | 0.77 | ns | ns | ns | ns | ns | ns | ns | ns | ns | 1 | |
| il | 0.73 | 0.90 | 0.68 | ns | 0.78 | −0.87 | −0.72 | −0.85 | 0.79 | −0.69 | ns | |
| Total | cLl | 0.57 | 1 | |||||||||
| cdb | 0.72 | 0.74 | 1 | |||||||||
| cdl | −0.53 | −0.41 | −0.55 | 1 | ||||||||
| csb | 0.67 | 0.83 | 0.74 | −0.51 | 1 | |||||||
| csl | −0.49 | −0.47 | −0.46 | 0.43 | −0.58 | 1 | ||||||
| crb | ns | −0.39 | −0.34 | ns | −0.48 | 0.63 | 1 | |||||
| crl | −0.43 | −0.56 | −0.38 | 0.45 | −0.60 | 0.92 | 0.56 | 1 | ||||
| cNb | 0.33 | 0.61 | 0.64 | ns | 0.43 | −0.45 | −0.52 | −0.43 | 1 | |||
| cNl | ns | ns | ns | ns | ns | 0.43 | 0.36 | 0.39 | −0.63 | 1 | ||
| ib | 0.95 | 0.41 | 0.57 | −0.45 | 0.57 | −0.36 | ns | ns | ns | ns | 1 | |
| il | ns | 0.73 | 0.47 | ns | 0.54 | −0.54 | −0.45 | −0.64 | 0.80 | −0.65 | ns |
Publisher’s Note: MDPI stays neutral with regard to jurisdictional claims in published maps and institutional affiliations. |
© 2022 by the authors. Licensee MDPI, Basel, Switzerland. This article is an open access article distributed under the terms and conditions of the Creative Commons Attribution (CC BY) license (https://creativecommons.org/licenses/by/4.0/).
Share and Cite
Francke, A.; Majkowska-Gadomska, J.; Kaliniewicz, Z.; Jadwisieńczak, K. No Effect of Biostimulants on the Growth, Yield and Nutritional Value of Shallots Grown for Bunch Harvest. Agronomy 2022, 12, 1156. https://doi.org/10.3390/agronomy12051156
Francke A, Majkowska-Gadomska J, Kaliniewicz Z, Jadwisieńczak K. No Effect of Biostimulants on the Growth, Yield and Nutritional Value of Shallots Grown for Bunch Harvest. Agronomy. 2022; 12(5):1156. https://doi.org/10.3390/agronomy12051156
Chicago/Turabian StyleFrancke, Anna, Joanna Majkowska-Gadomska, Zdzisław Kaliniewicz, and Krzysztof Jadwisieńczak. 2022. "No Effect of Biostimulants on the Growth, Yield and Nutritional Value of Shallots Grown for Bunch Harvest" Agronomy 12, no. 5: 1156. https://doi.org/10.3390/agronomy12051156
APA StyleFrancke, A., Majkowska-Gadomska, J., Kaliniewicz, Z., & Jadwisieńczak, K. (2022). No Effect of Biostimulants on the Growth, Yield and Nutritional Value of Shallots Grown for Bunch Harvest. Agronomy, 12(5), 1156. https://doi.org/10.3390/agronomy12051156

