Herbicidal Effect of Different Alternative Compounds to Control Conyza bonariensis in Vineyards
Abstract
:1. Introduction
2. Material and Methods
2.1. Characterisation of the Herbicide Resistance
2.2. Bioherbicide Field Trials
2.3. Dose–Response Experiment
2.4. Weather Conditions
2.5. Statistical Analyses
3. Results
3.1. Field Efficacy Trials
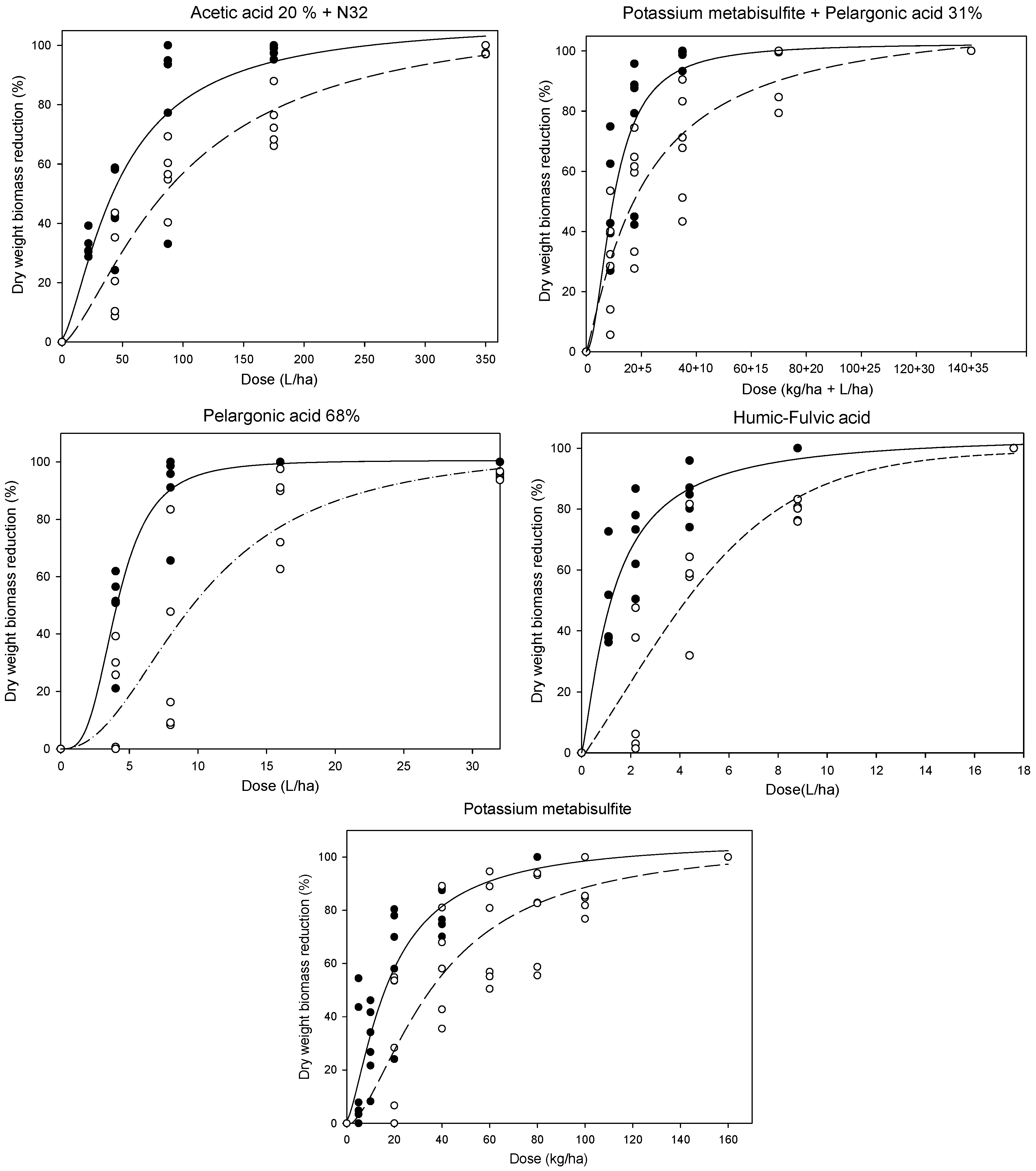
3.2. Dose–Response Curves
4. Discussion
5. Conclusions
Author Contributions
Funding
Acknowledgments
Conflicts of Interest
References
- Bajwa, A.A.; Sadia, S.; Ali, H.H.; Jabran, K.; Peerzada, A.M.; Chauhan, B.S. Biology and management of two important Conyza weeds: A global review. Environ. Sci. Pollut. Res. 2016, 23, 24694–24710. [Google Scholar] [CrossRef] [PubMed]
- Zambrano-Navea, C.; Bastida, F.; Gonzalez-Andujar, J.L. A hydrothermal seedling emergence model for Conyza bonariensis. Weed Res. 2013, 53, 213–220. [Google Scholar] [CrossRef] [Green Version]
- Davis, V.M.; Johnson, W.G. Glyphosate-resistant Horseweed (Conyza canadensis) emergence, survival, and fecundity in no-till soybean. Weed Sci. 2008, 56, 231–236. [Google Scholar] [CrossRef]
- Urbano, J.M.; Borrego, A.; Torres, V.; Leon, J.M.; Jimenez, C.; Dinelli, G.; Barnes, J. Glyphosate-resistant Hairy Fleabane (Conyza bonariensis) in Spain. Weed Technol. 2007, 21, 396–401. [Google Scholar] [CrossRef]
- Wu, H.; Walker, S.; Rollin, M.J.; Tan, D.K.Y.; Robinson, G.; Werth, J. Germination, persistence, and emergence of flaxleaf fleabane (Conyza bonariensis [L.] Cronquist). Weed Biol. Manag. 2007, 7, 192–199. [Google Scholar] [CrossRef]
- Storrie, A. Distribution and Identification of Conyza bonariensis Species. In Proceedings of 2nd Fleabane Workshop; Walker, S., Werth, J., Widderick, M., Eds.; Department of Primary Industries and Fisheries: Toowoomba, Australia, 2007; pp. 10–11. [Google Scholar]
- Shrestha, A.; Hembree, K.; Wright, S. Biology and Management of Horseweed and Hairy Fleabane in California; University of California, ARN Publication: Davis, CA, USA, 2008; Volume 8314, pp. 1–9. [Google Scholar]
- Heap, I. The International Herbicide-Resistant Weed Database. 2008. Available online: http://weedscience.org/Home.aspx (accessed on 1 December 2021).
- González-Torralva, F.; Cruz-Hipolito, H.; Bastida, F.; Mülleder, N.; Smeda, R.J.; Prado, R. De Differential Susceptibility to Glyphosate among the Conyza weed Species in Spain. J. Agric. Food Chem. 2010, 58, 4361–4366. [Google Scholar] [CrossRef]
- González-Torralva, F.; Gil-Humanes, J.; Barro, F.; Domínguez-Valenzuela, J.A.; Prado, R. De First evidence for a target site mutation in the EPSPS2 gene in glyphosate-resistant Sumatran fleabane from citrus orchards. Agron. Sustain. Dev. 2014, 34, 553–560. [Google Scholar] [CrossRef] [Green Version]
- Heap, I.; Duke, S.O. Overview of glyphosate-resistant weeds worldwide. Pest Manag. Sci. 2018, 74, 1040–1049. [Google Scholar] [CrossRef]
- Peters, B.; Strek, H.J. Herbicide discovery in light of rapidly spreading resistance and ever-increasing regulatory hurdles. Pest Manag. Sci. 2018, 74, 2211–2215. [Google Scholar] [CrossRef]
- Wu, H.; Walker, S. Fleabane biology and control. In Proceedings of Fleabane Workshop; Walker, S., Widderick, M., Wu, H., Eds.; Queensland DPI: Toowoomba, Australia, 2004; pp. 5–610. [Google Scholar]
- Wu, H.; Walker, S.; Robinson, G.; Coombes, N. Control of flaxleaf fleabane (Conyza bonariensis) in Wheat and Sorghum. Weed Tech. 2010, 24, 102–107. [Google Scholar] [CrossRef]
- Oerke, E.C. Crop losses to pests. J. Agric. Sci. 2006, 144, 31–43. [Google Scholar] [CrossRef]
- Alcorta, M.; Fidelibus, M.W.; Steenwerth, K.L.; Shrestha, A. Competitive Effects of Glyphosate-Resistant and Glyphosate-Susceptible Horseweed (Conyza canadensis) on Young Grapevines (Vitis vinifera). Weed Sci. 2011, 59, 489–494. [Google Scholar] [CrossRef]
- Prosdocimi, M.; Cerdà, A.; Tarolli, P. Soil water erosion on Mediterranean vineyards: A review. CATENA 2016, 141, 1–21. [Google Scholar] [CrossRef]
- Smart, D.R.; Schwass, E.; Lakso, A.; Morano, L. Grapevine rooting patterns: A comprehensive analysis and a review. Am. J. Enology Vitic. 2006, 57, 89–104. [Google Scholar]
- Smith, R.; Bettiga, L.; Cahn, M.; Baumgartner, K.; Jackson, L.E.; Bensen, T. Vineyard floor management affects soil, plant nutrition, and grape yield and quality. Calif. Agric. 2008, 62, 184–190. [Google Scholar] [CrossRef] [Green Version]
- Jradi, S.; Chameeva, T.B.; Delhomme, B.; Jaegler, A. Tracking carbon footprint in French vineyards: A DEA performance assessment. J. Clean. Prod. 2018, 192, 43–54. [Google Scholar] [CrossRef]
- Lechenet, M.; Bretagnolle, V.; Bockstaller, C.; Boissinot, F.; Petit, M.S.; Petit, S.; Munier-Jolain, N.M. Reconciling Pesticide Reduction with Economic and Environmental Sustainability in Arable Farming. PLoS ONE 2014, 9, e97922. [Google Scholar] [CrossRef] [PubMed]
- Bailey, K.L. The Bioherbicide Approach to Weed Control Using Plant Pathogens, Integrated Pest Management: Current Concepts and Ecological Perspective; Abrol Dharam, P., Ed.; Elsevier (Academic Press): New Delhi, India, 2014; pp. 245–266. [Google Scholar]
- Bordin, E.R.; Frumi Camargo, A.; Stefanski, F.S.; Scapini, T.; Bonatto, C.; Zanivan, J.; Preczeski, K.; Modkovski, T.A.; ReichertJúnior, F.; Mossi, A.J.; et al. Current production of bioherbicides: Mechanisms of action and technical and scientific challenges toimprove food and environmental security. Biocatal. Biotransform. 2021, 39, 1–14. [Google Scholar] [CrossRef]
- Cordeau, S.; Triolet, M.; Wayman, S.; Steinberg, C.; Guillemin, J.P. Bioherbicides: Dead in the water? A review of the existing products for integrated weed management. Crop Prot. 2016, 87, 44–49. [Google Scholar] [CrossRef]
- Seiber, J.N.; Coats, J.; Duke, S.O.; Gross, A.D. Biopesticides: State of the art and future opportunities. J. Agric. Food Chem. 2014, 62, 11613–11619. [Google Scholar] [CrossRef] [PubMed] [Green Version]
- Bolda, M.P.; Tourte, L.; Klonsky, K.M.; De Moura, R.L. University of California Cooperative Extension; Bulletin ST-CC-06-O; Davis, CA, USA, 2016. [Google Scholar]
- Pavela, R.; Benelli, G. Essential oils as ecofriendly biopesticides? Challenges and constraints. Trends Plant Sci. 2016, 21, 1000–1007. [Google Scholar] [PubMed]
- Bakkali, F.; Averbeck, S.; Averbeck, D.; Idaomar, M. Biological effects of essential oils—A review. Food Chem. Toxicol. 2008, 46, 446–475. [Google Scholar] [CrossRef] [PubMed]
- European Food Safety Authority. Conclusion on the peer review of the pesticide risk assessment of the activesubstance Fatty acids C7 to C18 (approved under Regulation (EC) No 1107/2009 as Fatty acids C7 to C20). EFSA J. 2013, 11, 3023. [Google Scholar] [CrossRef]
- Kottek, M.; Grieser, J.; Beck, C.; Rudolf, B.; Rubel, F. World Map of the Köppen-Geiger climate classification updated. Meteorol. Z. 2006, 15, 259–263. [Google Scholar] [CrossRef]
- Henderson, C.F.; Tilton, E. Test with acaricides against the brown wheat mite. J. Econ. Ent. 1995, 48, 157–161. [Google Scholar] [CrossRef]
- Travlos, I.S.; Chachalis, D. Glyphosate-Resistant Hairy Fleabane (Conyza bonariensis) Is Reported in Greece. Weed Technol. 2010, 24, 569–573. [Google Scholar] [CrossRef]
- Okumu, M.N.; Vorster, B.J.; Reinhardt, C.F. Growth-stage and temperature influence glyphosate resistance in Conyza bonariensis (L.) Cronquist. South African J. Bot. 2019, 121, 248–256. [Google Scholar] [CrossRef]
- Pline, W.A.; Hatzios, K.K.; Hagood, E.S. Weed and Herbicide-Resistant Soybean (Glycine max) Response to Glufosinate and Glyphosate Plus Ammonium Sulfate and Pelargonic Acid1. Weed Tech. 2000, 14, 667–674. [Google Scholar] [CrossRef]
- Travlos, I.S.; Rapti, E.; Gazoulis, I.; Kanatas, P.; Tataridas, A.; Kakabouki, I.; Papastylianou, P. The herbicidal potential of different pelargonic acid products and essential oils against several important weed species. Agronomy 2020, 10, 1687. [Google Scholar] [CrossRef]
- Webber, C.L., III; Merritt, J.T.; Shrefler, J.W. Weed control in yellow squash using sequential postdirected applications of pelargonic acid. Hort Tech. 2014, 24, 25–29. [Google Scholar] [CrossRef] [Green Version]
- Kanatas, P.; Antonopoulos, N.; Gazoulis, I.; Travlos, I.S. Screening glyphosate-alternative weed control options in important perennial crops. Weed Sci. 2021, 69, 704–718. [Google Scholar] [CrossRef]
- Wu, H. The biology of Australian weeds 49. Conyza bonariensis (L.) Cronquist. Plant Prot. Q. 2007, 22, 122–131. [Google Scholar]
- Webber, C.L., III; White, P.M.; Shrefler, J.W.; Spaunhorst, D.J.; Webber, C.L. Impact of Acetic Acid Concentration, Application Volume, and Adjuvants on Weed Control Efficacy. J. Agric. Sci. 2018, 10, 1. [Google Scholar] [CrossRef]
- Ghorbani, R.; Seel, W.; Hassan Rashed, M.; Leifert, C. Effect of Plant Age, Temperature and Humidity on Virulence of Ascochyta Caulina on Common Lambsquarters (Chenopodium Album). Weed Sci. 2006, 54, 526–531. Available online: http://www.jstor.org/stable/4539425 (accessed on 10 December 2021). [CrossRef]
- Hallett, S.G. Where are the bioherbicides? Weed Sci. 2005, 53, 404–415. [Google Scholar] [CrossRef]
- Stewart, C.; Nurse, R.; Sikkema, P. Time of Day Impacts Postemergence Weed Control in Corn. Weed Tech. 2009, 23, 346–355. [Google Scholar] [CrossRef]
- Waltz, A.L.; Martin, A.R.; Roeth, F.W.; Lindquist, J.L. Glyphosate Efficacy on Velvetleaf Varies with Application Time of Day. Weed Technol. 2004, 18, 931–939. [Google Scholar] [CrossRef] [Green Version]
- Zambrano-Navea, C.; Bastida, F.; Gonzalez-Andujar, J.L. A cohort-based stochastic model of the population dynamic and long-term management of Conyza bonariensis in fruiting tree crops. Crop Prot. 2016, 80, 15–20. [Google Scholar] [CrossRef]
- Valencia-Gredilla, F.; Supiciche, M.L.; Chantre, G.R.; Recasens, J.; Royo-Esnal, A. Germination behaviour of Conyza bonariensis to constant and alternating temperatures across different populations. Ann. Appl. Biol. 2020, 176, 36–46. [Google Scholar] [CrossRef]
- Zambrano-Navea, C.; Bastida, F.; Gonzalez-Andujar, J.L. Demography of Conyza bonariensis (Asteraceae) in a ruderal Mediterranean habitat. Phytoparasitica 2018, 46, 263–272. [Google Scholar] [CrossRef]
- Webber, C.L., III; Shrefler, J.W.; Brandenberger, L.P. Organic Weed Control. In Herbicides—Environmental Impact Studies and Management Approaches; IntechOpen: London, UK, 2012. [Google Scholar] [CrossRef] [Green Version]
- Dayan, F.E.; Cantrell, C.L.; Duke, S.O. Natural products in crop protection. Bioorg. Med. Chem. 2009, 17, 4022–4034. [Google Scholar] [CrossRef] [PubMed]
- Charudattan, R.; Dinoor, A. Biological control of weeds using plant pathogens: Accomplishments and limitations. Crop Prot. 2000, 19, 691–695. [Google Scholar] [CrossRef]


| Vine | Coordinates ETRS89 | Spacing (m) | Soil Texture (%) | (%) | Initial | ||||||
|---|---|---|---|---|---|---|---|---|---|---|---|
| Season | Variety | Lat. | Long. | Between | Within | Sand | Silt | Clay | pH | O.M. | Infestation |
| 2019 | Caber | 41°39′26.8″ N | 0°31′10.3″ E | 2.7 | 1.7 | 59.5 | 28.1 | 12.4 | 8.4 | 3.18 | Low |
| 2020 | Caber | 41°39′16.5″ N | 0°30′51.3″ E | 2.7 | 1.7 | 28.4 | 47.7 | 24.2 | 8.4 | 1.61 | High |
| 2021 | Chard | 41°40′42.9″ N | 0°27′51.0″ E | 3 | 1.5 | 27.9 | 38.9 | 33.2 | 8.2 | 2.32 | Medium |
| Treatment | Compounds | Application Dose | Application Volume (L/ha) |
|---|---|---|---|
| T1 | Acetic Acid 20% (1) +N32 (2) | (1) 122.5 L/ha | 175 |
| (2) 52.5 L/ha | |||
| T2 | Potassium metabisulfite (1) +Pelargonic acid 31% (2) | (1) 70 kg/ha | 500 |
| (2) 17.5 L/ha | |||
| T3 | Pelargonic acid 68% | 16 L/ha | 200 |
| T4 | Humic-Fulvic acid | 35 L/ha | 700 |
| T5 | Hydroxy phosphate complex | 15 L/ha | 150 |
| T6 | Potassium metabisulfite | 60 kg/ha | 250 |
| Date | F/H | p | |
|---|---|---|---|
| 2019 | February | 4185 | 0.014 |
| April | 20,963 | <0.001 | |
| May | 1962 | <0.001 | |
| June | 21,448 | <0.001 | |
| 2020 | March | 4358 | <0.001 |
| April | 70,444 | <0.001 | |
| May | 69,285 | <0.001 | |
| June | 21,488 | <0.001 | |
| 2021 | April | 31,403 | <0.001 |
| May | 20,329 | <0.001 | |
| June | 22,273 | <0.001 | |
| 2019 | 2020 | 2021 | |||||||||
|---|---|---|---|---|---|---|---|---|---|---|---|
| Applic. Date/BBCH | Treat. | Pre-Spray Cover (%) | Cover Reduction (%) | Applic. Date/BBCH | Treat. | Pre-Spray Cover (%) | Cover Reduction (%) | Applic. Date/BBCH | Treat. | Pre-Spray Cover (%) | Cover Reduction (%) |
| 7 February | Control | 0.6 | 0.0 ± 0.0 b | 11 March | Control | 26 | 0.0 ± 0.0 c | 15 April | Control | 5 | 0.0 ± 0.0 b |
| BBCH 11–12 | T1 | 0.5 | 64.3 ± 20.6 ab | BBCH 11–12 | T1 | 21 | 30.4 ± 7.4 b | BBCH 11–12 | T1 | 3 | 11.3 ± 6.6 b |
| T2 | 1 | 76.8 ± 16.3 ab | T2 | 20 | 37.5 ± 7.9 b | T2 | 4 | 89.6 ± 3.6 a | |||
| T3 | 2 | 76.8 ± 14.1 ab | T3 | 19 | 15.4 ± 3.1 b | T3 | 4 | 13.4 ± 7.7 b | |||
| T4 | 2.4 | 91.7 ± 4.5 a | T4 | 21 | 66.9 ± 7.3 a | T4 | 4 | 90.6 ± 3.6 a | |||
| T5 | 1.9 | 34.5 ± 5.6 ab | T5 | 33 | 2.1 ± 2.5 c | T6 | 4 | 74.6 ± 7.8 a | |||
| 16 April | Control | 3 | 0.0 ± 0.0 b | 15 April | Control | 51 | 0.0 ± 0.0 d | 11 May | Control | 9 | 0.0 ± 0.0 c |
| BBCH 11–15 | T1 | 2 | 87.5 ± 7.5 ab | BBCH 11–15 | T1 | 34 | 56.4 ± 12.6 b | BBCH 11–15 | T1 | 8 | 28.3 ± 6.4 b |
| T2 | 2.3 | 100 ± 0.0 a | T2 | 26 | 91.4 ± 3.0 a | T2 | 1 | 60.0 ± 10.0 ab | |||
| T3 | 5.5 | 73.8 ± 4.7 ab | T3 | 36 | 31.8 ± 9.6 bc | T3 | 6 | 34.7 ± 8.3 b | |||
| T4 | 2 | 100 ± 0.0 a | T4 | 32 | 85.6 ± 6.1 a | T4 | 2 | 75.4 ± 10.5 a | |||
| T5 | 4 | 23.8 ± 10.3 ab | T5 | 59 | 7.2 ± 2.8 cd | T6 | 3 | 85.3 ± 4.0 a | |||
| 23 May | Control | 7 | 0.0 ± 0.0 b | 7 May | Control | 64 | 0.0 ± 0.0 c | 1 June | Control | 23 | 0.0 ± 0.0 d |
| BBCH 11–31 | T1 | 1.9 | 98.3 ± 1.7 a | BBCH 11–18 | T1 | 38 | 39.7 ± 13.0 b | BBCH 11–31 | T1 | 12 | 10.7 ± 4.3 cd |
| T2 | 1.1 | 86.7 ± 8.1 ab | T2 | 16 | 85.5 ± 5.4 a | T2 | 2 | 87.1 ± 5.3 a | |||
| T3 | 9.5 | 53.2 ± 8.1 ab | T3 | 34 | 26.5 ± 6.9 bc | T3 | 11 | 36.3 ± 15.8 bc | |||
| T4 | 1.9 | 97.5 ± 2.5 a | T4 | 26 | 78.5 ± 7.2 a | T4 | 3 | 88.1 ± 4.7 a | |||
| T5 | 7.4 | 36.2 ± 14.7 ab | T5 | 66 | 7.6 ± 0.4 c | T6 | 5 | 64.4 ± 8.9 ab | |||
| 13 June | Control | 10.8 | 0.0 ± 0.0 c | 20 May | Control | 83 | 0.0 ± 0.0 c | ||||
| BBCH 11–31 | T1 | 0.4 | 92.5 ± 7.5 a | BBCH 11–32 | T1 | 49 | 24.7 ± 12.0 abc | ||||
| T2 | 0.3 | 90.0 ± 5.8 a | T2 | 11 | 81.4 ± 1.6 a | ||||||
| T3 | 3 | 52.1 ± 12 b | T3 | 44 | 26.4 ± 4.7 abc | ||||||
| T4 | 0.9 | 100 ± 0.0 a | T4 | 26 | 69 ± 8.5 ab | ||||||
| T5 | 4 | 13.1 ± 9.4 c | T5 | 76 | 6.6 ± 0.2 bc | ||||||
| Treatment | g/Plot | |
|---|---|---|
| 2020 | 2021 | |
| Control | 308.8 ± 14.4 | 393.8 ± 106.5 a |
| T1 | 271.8 ± 10.0 | 161.9 ± 65.5 abc |
| T2 | 216.9 ± 18.9 | 10.4 ± 5.2 c |
| T3 | 262.2 ± 41.5 | 244.0 ± 103.5 ab |
| T4 | 231.5 ± 30.3 | 45.6 ± 18.7 bc |
| T5 | 278.1 ± 47.7 | - |
| T6 | - | 53.2 ± 23.6 bc |
| Treatment | Compounds | BBCH | r2 | EC50 | Slope (b) |
|---|---|---|---|---|---|
| T1 | Acetic Acid 20% + N32 | 12–13 | 0.900 | 47.62 (L/ha) | 1.44 |
| 14–15 | 0.940 | 96.92 (L/ha) | 1.45 | ||
| T2 | Potassium metabisulfite + Pelargonic acid 31% | 12–13 | 0.909 | 10.06 + 2.52 (kg/ha + L/ha) | 1.92 |
| 14–15 | 0.887 | 21.02 + 5.26 kg/ha + L/ha) | 1.15 | ||
| T3 | Pelargonic acid 68% | 12–13 | 0.954 | 4.10 (L/ha) | 3.25 |
| 14–15 | 0.827 | 10.07 (L/ha) | 2.2 | ||
| T4 | Humic-Fulvic acid | 12–13 | 0.939 | 1.30 (L/ha) | 1.25 |
| 14–15 | 0.906 | 4.12 (L/ha) | 2.01 | ||
| T6 | Potassium metabisulfite | 12–13 | 0.892 | 17.84 (L/ha) | 1.43 |
| 14–15 | 0.812 | 37.32 (L/ha) | 1.64 |
Publisher’s Note: MDPI stays neutral with regard to jurisdictional claims in published maps and institutional affiliations. |
© 2022 by the authors. Licensee MDPI, Basel, Switzerland. This article is an open access article distributed under the terms and conditions of the Creative Commons Attribution (CC BY) license (https://creativecommons.org/licenses/by/4.0/).
Share and Cite
Cabrera-Pérez, C.; Royo-Esnal, A.; Recasens, J. Herbicidal Effect of Different Alternative Compounds to Control Conyza bonariensis in Vineyards. Agronomy 2022, 12, 960. https://doi.org/10.3390/agronomy12040960
Cabrera-Pérez C, Royo-Esnal A, Recasens J. Herbicidal Effect of Different Alternative Compounds to Control Conyza bonariensis in Vineyards. Agronomy. 2022; 12(4):960. https://doi.org/10.3390/agronomy12040960
Chicago/Turabian StyleCabrera-Pérez, Carlos, Aritz Royo-Esnal, and Jordi Recasens. 2022. "Herbicidal Effect of Different Alternative Compounds to Control Conyza bonariensis in Vineyards" Agronomy 12, no. 4: 960. https://doi.org/10.3390/agronomy12040960
APA StyleCabrera-Pérez, C., Royo-Esnal, A., & Recasens, J. (2022). Herbicidal Effect of Different Alternative Compounds to Control Conyza bonariensis in Vineyards. Agronomy, 12(4), 960. https://doi.org/10.3390/agronomy12040960

