Insecticidal Activity of Aqueous Extracts of Plant Origin on Mahanarva spectabilis (Distant, 1909) (Hemiptera: Cercopidae)
Abstract
1. Introduction
2. Material and Methods
2.1. Botanical Material
2.2. Processing of Botanical Material
2.3. Insects
2.4. Assessment of Insecticidal Activity
2.4.1. Comparative Bioassays between Extracts
2.4.2. Comparative Bioassay between Tobacco Concentrations
2.4.3. Comparative Bioassay between Extraction Methods
2.5. Statistical Analysis
3. Results
3.1. Comparative Bioassays between Extracts
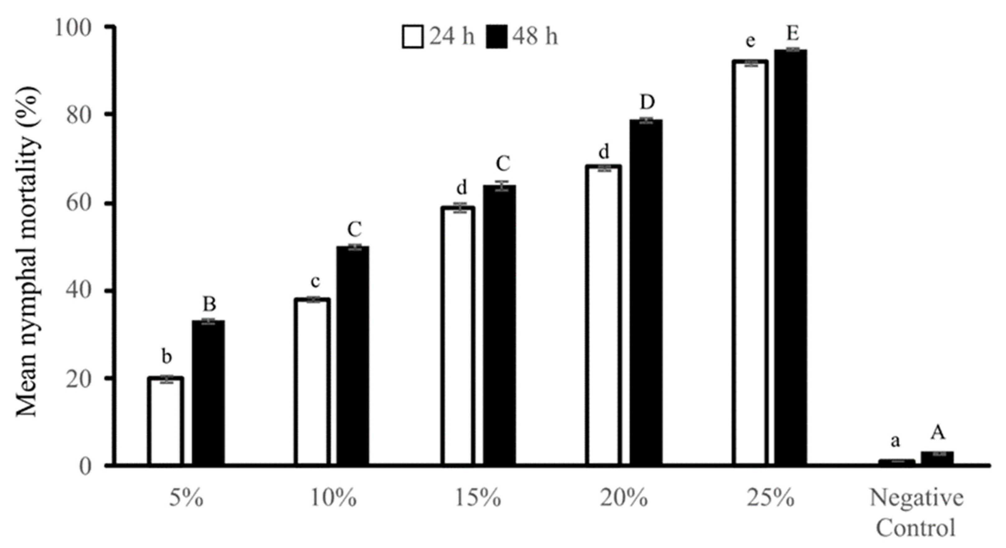
3.2. Comparative Bioassay between Tobacco Concentrations
3.3. Comparative Bioassay between Extraction Methods
4. Discussion
Author Contributions
Funding
Institutional Review Board Statement
Informed Consent Statement
Data Availability Statement
Acknowledgments
Conflicts of Interest
References
- Thompson, V. Associative nitrogen fixation, C4 photosynthesis, and the evolution of spittlebugs (Hemiptera: Cercopidae) as major pests of neotropical sugarcane and forage grasses. Bull. Entomol. Res. 2004, 94, 189–200. [Google Scholar] [CrossRef] [PubMed]
- Valério, J.R. Cigarrinhas-Das-Pastagens; Embrapa Gado e Corte: Campo Grande, MS, Brazil, 2009; pp. 1–50. [Google Scholar]
- Byers, R.A.; Wells, H.D. Phytotoxemia of coastal bermudagrass caused by the two-lined spittlebug, Prosapia bicincta (Homoptera: Cercopidae). Ann. Entomol. Soc. Am. 1966, 59, 1067–1071. [Google Scholar] [CrossRef]
- Auad, A.M.; Simões, A.D.; Pereira, A.V.; Braga, A.L.F.; Souza Sobrinho, F.; Lédo, F.J.S. Seleção de genótipos de capim-elefante quanto à resistência à cigarrinha-das-pastagens. Pesq. Agropec. Bras. 2007, 42, 1077–1081. [Google Scholar] [CrossRef]
- Souza Sobrinho, F.S.; Auad, A.M.; Lédo, F.J.S. Genetic variability in Brachiaria ruziziensis for resistance to spittlebugs. Crop Breed. Appl. Biotechnol. 2010, 10, 83–88. [Google Scholar] [CrossRef]
- Perez, B.G.; Auad, A.M.; Resende, T.T.; Dias, M.L.; Carias, L.R.D.; Lédo, F.J.S. Avaliação da resistência de genótipos de Pennisetum purpureum às cigarrinhas-das-pastagens. In Proceedings of the 24th Workshop de Iniciação Científica da Embrapa Gado de Leite, Brasil, 11 July 2019; Embrapa: Juiz de Fora, MG, Brazil, 2019. [Google Scholar]
- Veríssimo, B.A.; Auad, A.M.; Oliveira, C.M.; Paiva, I.G. Seasonality of predatory insects (Diptera: Syrphidae and Asilidae) in pasture monoculture and silvopastoral systems from Southeast Brazil. Int. J. Trop. Insect. Sci. 2021, 41, 861–872. [Google Scholar] [CrossRef]
- Dias, M.L.; Auad, A.M.; Magno, M.C.; Resende, T.T.; Fonseca, M.G.; Silva, S.E.B. Insecticidal activity of compounds of plant origin on Mahanarva spectabilis (Hemiptera: Cercopidae). Insects 2019, 10, 360. [Google Scholar] [CrossRef]
- Alvarenga, R.; Auad, A.M.; Moraes, J.C.; Silva, S.E.B.; Rodrigues, B.S. Tolerance to nymphs and adults of Mahanarva spectabilis (Hemiptera: Cercopidae) by forage plants in fertilized soils: Tolerance to Mahanarva spectabilis by forage plants in fertilized soils. Pest. Manag. Sci. 2019, 75, 2242–2250. [Google Scholar] [CrossRef]
- Brasil. Lei n. 11.326: Políticas Direcionadas à Agricultura Familiar e Empreendimentos Familiares Rurais, Presidência da República, Brasilia, DF. 2006. Available online: http://www.planalto.gov.br/ccivil_03/_ato2004-2006/2006/lei/l11326.htm (accessed on 26 August 2021). (In Portuguese)
- IBGE. Censo agropecuário: Resultados Definitivos 2017, Ibge, Rio de Janeiro. 2019. Available online: https://biblioteca.ibge.gov.br/index.php/biblioteca-catalogo?view=detalhes&id=73096 (accessed on 28 August 2021). (In Portuguese)
- Roel, A.R. Utilização de plantas com propriedades inseticidas: Uma contribuição para o desenvolvimento rural sustentável. Interações 2001, 1, 43–50. [Google Scholar]
- Pavunraj, M.; Baskar, K.; Paulkumar, K.; Janarthanan, S.; Rajendran, P. Antifeedant activity of crude extracts and fractions isolated from Catharanthus roseus leaf against spotted bollworm. Earias vittella. Phytoparasitica 2016, 44, 419–422. [Google Scholar] [CrossRef]
- Sosa, A.; Diaz, M.; Salvatore, A.; Bardon, A.; Borkosky, S.; Vera, N. Insecticidal effects of Vernonanthura nebularum against two economically important pest insects. Saudi J. Biol. Sci. 2019, 26, 881–889. [Google Scholar] [CrossRef]
- Ahmad, F.; Iqbal, N.; Zaka, S.M.; Qureshi, M.K.; Saeed, Q.; Khan, K.A. Comparative insecticidal activity of different plant materials from six common plant species against Tribolium castaneum (Herbst) (Coleoptera: Tenebrionidae). Saudi J. Biol. Sci. 2019, 26, 1804–1808. [Google Scholar] [CrossRef] [PubMed]
- Corrêa, J.C.R.; Salgado, H.R.N. Atividade inseticida das plantas e aplicações: Revisão. Rev. Bras. Plantas Med. 2011, 13, 500–506. [Google Scholar] [CrossRef]
- Dougoud, J.; Toepfer, S.; Bateman, M.; Jenner, W.H. Efficacy of homemade botanical insecticides based on traditional knowledge. A review. Agron. Sustain. Dev. 2019, 39, 37. [Google Scholar] [CrossRef]
- Levin, D.A. The chemical defenses of plants to pathogens and herbivores. Ann. Rev. Ecol. Syst. 1976, 7, 121–159. [Google Scholar] [CrossRef]
- Bezerra, R.H.S.; Sousa-Souto, L.; Santana, E.G.; Ambrogi, B.G. Indirect plant defenses: Volatile organic compounds and extrafloral nectar. Arthropod-Plant Interact. 2021, 15, 467–489. [Google Scholar] [CrossRef]
- Piesik, D.; Wenda-Piesik, A. Sitophilus Granarius responses to blends of five groups of cereal kernels and one group of plant volatiles. J. Stored Prod. Res. 2015, 62, 36–39. [Google Scholar] [CrossRef]
- Wenda-Piesik, A.; Piesik, D.; Nowak, A.; Wawrzyniak, M. Tribolium confusum Responses to Blends of Cereal Kernels and Plant Volatiles. J. Appl. Entomol. 2016, 140, 558–563. [Google Scholar] [CrossRef]
- Silva, S.E.B.; Auad, A.M.; Moraes, J.C.; Alvarenga, R.; Fonseca, M.G.; Marques, F.A.; Santos, N.C.S.; Nagata, N. Olfactory response of Mahanarva spectabilis (Hemiptera: Cercopidae) to volatile organic compounds from forage grasses. Sci. Rep. 2019, 9, 10284. [Google Scholar] [CrossRef]
- Nascimento, V.F.; Auad, A.M.; de Resende, T.T. Olfactory response of Mahanarva spectabilis (Distant, 1909) (Hemiptera: Cercopidae) to volatile aqueous extracts of plant origin applied to elephant grass plants (Pennisetum purpureum Schum). Agronomy 2021, 11, 856. [Google Scholar] [CrossRef]
- Khater, H.F. Prospects of botanical biopesticides in insect pest management. Pharmacologia 2012, 3, 641–656. [Google Scholar]
- Tlak Gajger, I.; Dar, S.A. Plant allelochemicals as sources of insecticides. Insects 2021, 12, 189. [Google Scholar] [CrossRef] [PubMed]
- Sarma, R.; Adhikari, K.; Mahanta, S.; Khanikor, B. Combinations of plant essential oil based terpene compounds as larvicidal and adulticidal agent against Aedes aegypti (Diptera: Culicidae). Sci. Rep. 2019, 9, 9471. [Google Scholar] [CrossRef] [PubMed]
- Prishanthini, M.; Vinobaba, M. Efficacy of some selected botanical extracts against the cotton mealybug Phenacoccus solenopsis (Tinsley) (Hemiptera: Pseudococcidae). Int. J. Sci. Res. 2014, 4, 1–6. [Google Scholar]
- Ali, K.; Sagheer, M.; Hasan, M.; Hanif, C.M.S.; Malik, S.; Rizwan, M.; Rashid, A. Medicinal response of Moringa oleifera and Nicotiana tabacum as as repellent and toxicant against Trogoderma granarrium and Rhyzopertha dominica. Z. Arznei-Gewuzpfla 2017, 22, 132–135. [Google Scholar]
- Javed, M.; Majeed, M.Z.; Sufyan, M.; Ali, S.; Afzal, M. Field efficacy of selected synthetic and botanical insecticides against lepidopterous borers, Earias vittella and Helicoverpa armigera (Lepidoptera: Noctuidae), on Okra (Abelmoschus esculentus (L.) Moench). Pakistan J. Zool. 2018, 50, 219–2028. [Google Scholar] [CrossRef]
- Mudrončeková, S.; Ferenčík, J.; Gruľová, D.; Barta, M. Insecticidal and repellent effects of plant essential oils against Ips typographus. J. Pest. Sci. 2019, 92, 595–608. [Google Scholar] [CrossRef]
- Benelli, G.; Pavela, R.; Giordani, C.; Casettari, L.; Curzi, G.; Cappellacci, L. Acute and sub-lethal toxicity of eight essential oils of commercial interest against the filariasis mosquito Culex quinquefasciatus and the housefly Musca domestica. Ind. Crops Prod. 2018, 112, 668–680. [Google Scholar] [CrossRef]
- Wei, L.; Hua, R.; Li, M.; Huang, Y.; Li, S.; He, Y. Chemical composition and biological activity of star anise Illicium verum extracts against maize weevil, Sitophilus zeamais adults, ed. by Huang F. J. Insect Sci. 2014, 14, 80. [Google Scholar] [CrossRef]
- Zeng, L.; Lao, C.Z.; Cen, Y.J.; Liang, G.W. Study on the insecticidal activity compounds of the essential oil from Syzygium aromaticum against stored grain insect pests. Jul. -Kühn-Arch. 2010, 425, 766–771. [Google Scholar]
- Ghafoor, H.A.; Afzal, M.; Riaz, M.A.; Majeed, M.Z. In-Vitro toxicity evaluation of some phytoextracts against mealybug Drosicha mangiferae (Hemiptera: Pseudococcidae) infesting citrus orchards in Pakistan. Pakistan J. Zool. 2019, 51, 1815–1822. [Google Scholar] [CrossRef]
- Mossi, A.J.; Astolfi, V.; Kubiak, G.; Lerin, L.; Zanella, C.; Toniazzo, G. Insecticidal and repellency activity of essential oil of Eucalyptus sp. against Sitophilus zeamais Motschulsky (Coleoptera, Curculionidae). J. Sci. Food Agric. 2011, 91, 273–277. [Google Scholar] [CrossRef] [PubMed]
- Adak, T.; Barik, N.; Patil, N.B.; Govindharaj, G.P.P.; Gadratagi, B.G.; Annamalai, M. Nanoemulsion of eucalyptus oil: An alternative to synthetic pesticides against two major storage insects (Sitophilus oryzae (L.) and Tribolium castaneum (Herbst)) of rice. Ind. Crop. Prod. 2020, 143, 111849. [Google Scholar] [CrossRef]
- Furtado, R.F.; Lima, M.G.A.; Andrade Neto, M.; Bezerra, J.N.S.; Silva, M.G.V. Atividade larvicida de óleos essenciais contra Aedes aegypti L. (Diptera: Culicidae). Neotrop. Entomol. 2005, 34, 843–847. [Google Scholar] [CrossRef]
- Alves, M.S.; Campos, I.M.; Brito, D.M.C.; Cardoso, C.M.; Pontes, E.G.; Souza, M.A.A. Efficacy of lemongrass essential oil and citral in controlling Callosobruchus maculatus (Coleoptera: Chrysomelidae), a post-harvest cowpea insect pest. Crop Prot. 2019, 119, 191–196. [Google Scholar] [CrossRef]
- Diabate, S.; Martin, T.; Murungi, L.K.; Fiaboe, K.K.M.; Subramanian, S.; Wesonga, J. Repellent activity of Cymbopogon citratus and Tagetes minuta and their specific volatiles against Megalurothrips sjostedti. J. Appl. Entomol. 2019, 143, 855–866. [Google Scholar] [CrossRef]
- Barbosa, F.S.; Leite, G.L.D.; Alves, S.M.; Nascimento, A.F.; D’Ávila, V.D.A.; Costa, C.A. Insecticide effects of Ruta graveolens, Copaifera langsdorffii and Chenopodium ambrosioides against pests and natural enemies in commercial tomato plantation. Acta Sci. Agron. 2011, 33, 37–43. [Google Scholar]
- Silva, K.F.D.; Baldin, E.L.L.; Pannuti, L.E.D.R. Use of botanical insecticides as an alternative for the management of the mexican bean weevil. Rev. Caatinga. 2016, 29, 348–357. [Google Scholar] [CrossRef]
- Chaaban, S.B.; Hamdi, S.H.; Mahjoubi, K.; Jemâa, J.M.B. Composition and insecticidal activity of essential oil from Ruta graveolens, Mentha pulegium and Ocimum basilicum against Ectomyelois ceratoniae Zeller and Ephestia kuehniella Zeller (Lepidoptera: Pyralidae). J. Plant Dis. Prot. 2019, 126, 237–246. [Google Scholar] [CrossRef]
- Garcia, J.F.; Grisoto, E.; Vendramim, J.D.; Botelho, P.S.M. Bioactivity of neem, Azadirachta indica, against spittlebug Mahanarva fimbriolata (Hemiptera: Cercopidae) on sugarcane. J. Econ. Entomol. 2006, 99, 2010–2014. [Google Scholar] [CrossRef][Green Version]
- Pistori, M.G.B.; Roel, A.R.; Valério, J.R.; Oliveira, M.C.M.; Grisoto, E.; Matias, R. Effect of Anacardium humile St. Hill (Anacardiaceae) aqueous extract on Mahanarva fimbriolata (Stal, 1854) (Hemiptera: Cercopidae). Acta Sci. Agron. 2013, 35, 413–417. [Google Scholar] [CrossRef][Green Version]
- Isman, M.B. A renaissance for botanical insecticides? Pest Manag.Sci. 2015, 71, 1587–1590. [Google Scholar] [CrossRef] [PubMed]
- Pavela, R. History, presence and perspective of using plant extracts as commercial botanical insecticides and farm products for protection against insects—A Review. Plant Protect. Sci. 2016, 52, 229–241. [Google Scholar]
- Huang, Y.; Chen, S.X.; Ho, S.H. Bioactivities of methyl allyl disulfide and diallyl trisulfide from essential oil of garlic to two species of stored-product pests, Sitophilus zeamais (Coleoptera: Curculionidae) and Tribolium castaneum (Coleoptera: Tenebrionidae). J. Econ. Entomol. 2000, 93, 537–543. [Google Scholar] [CrossRef] [PubMed]
- Samada, L.H.; Tambunan, U.S.F. Biopesticides as promising alternatives to chemical pesticides: A review of their current and future status. OnLine J. Biol. Sci. 2020, 20, 66–76. [Google Scholar] [CrossRef]
- Olivero-Verbel, J.; Nerio, L.S.; Stashenko, E.E. Bioactivity against Tribolium castaneum Herbst (Coleoptera: Tenebrionidae) of Cymbopogon citratus and Eucalyptus citriodora essential oils grown in Colombia: Repellent activity of essential oils of C. citratus and E. citriodora. Pest. Manag. Sci. 2010, 66, 664–668. [Google Scholar] [CrossRef]
- Orlanda, J.F.; Nascimento, A.R. Chemical composition and antibacterial activity of Ruta graveolens L. (Rutaceae) volatile oils, from São Luís, Maranhão, Brazil. S. Afr. J. Bot. 2015, 99, 103–106. [Google Scholar] [CrossRef]
- Park, J.H.; Jeon, Y.J.; Lee, C.H.; Chung, N.; Lee, H.S. Insecticidal toxicities of carvacrol and thymol derived from Thymus vulgaris Lin. against Pochazia shantungensis Chou & Lu., newly recorded pest. Sci. Rep. 2017, 7, srep40902. [Google Scholar]
- Ferreira, D.F. SISVAR: A computer analysis system to fixed effects split plot type designs. Rev. Bras. Biom. 2019, 37, 529–535. [Google Scholar] [CrossRef]
- LeOra Software. POLO-Plus 1.0 Probit and Logit Analysis; LeOra Software: Petaluma, CA, USA, 2006. [Google Scholar]
- Isman, M.B. Botanical insecticides, deterrents, and repellents in modern agriculture and an increasingly regulated world. Annu. Ver. Entomol. 2006, 51, 45–66. [Google Scholar] [CrossRef]
- Dequech, S.T.B.; Sausen, C.D.; Lima, C.G.; Egewarth, R. Efeito de extratos de plantas com atividade inseticida no controle de Microtheca ochroloma Stal (Col.: Chrysomelidae), em laboratório. Biotemas 2008, 21, 41–46. [Google Scholar] [CrossRef]
- Campos, E.V.R.; Proença, P.L.F.; Oliveira, J.L.; Bakshi, M.; Abhilash, P.C.; Fraceto, L.F. Use of botanical insecticides for sustainable agriculture: Future perspectives. Ecol. Indic. 2019, 105, 483–495. [Google Scholar] [CrossRef]
- Tembo, Y.; Mkindi, A.G.; Mkenda, P.A.; Mpumi, N.; Mwanauta, R.; Stevenson, P.C.; Ndakidemi, P.A.; Belmain, S.R. Pesticidal plant extracts improve yield and reduce insect pests on legume crops without harming beneficial arthropods. Front. Plant Sci. 2018, 9, 1425. [Google Scholar] [CrossRef] [PubMed]
- Coats, J.R. Risks from natural versus synthetic insecticides. Annu. Rev. Entomol. 1994, 39, 489–515. [Google Scholar] [CrossRef] [PubMed]
- Turchen, L.M.; Cosme-Júnior, L.; Guedes, R.N.C. Plant-derived insecticides under meta-analyses: Status, biases, and knowledge gaps. Insects 2020, 11, 532. [Google Scholar] [CrossRef] [PubMed]
- Isman, M.B. Botanical insecticides, deterrents, repellents and oils. In Industrial Crops and Uses, 1st ed.; Singh, B.P., Ed.; CABI: Wallingford, UK, 2010; pp. 433–444. [Google Scholar]
- Isman, M.B. Botanical Insecticides: For Richer, for Poorer. Pest. Manag. Sci. 2008, 64, 8–11. [Google Scholar] [CrossRef] [PubMed]
- Machado, L.A.; Silva, B.V.; Oliveira, M.M. Uso de extratos vegetais no controle de pragas em horticultura. Biológico 2007, 69, 103–106. [Google Scholar]
- Karunamoorthi, K.; Ilango, K. Larvicidal activity of Cymbopogon citratus (DC) Stapf. and Croton macrostachyus Del. against Anopheles arabiensis Patton, a potent malaria vector. Eur. Rev. Med. Pharmacol. Sci. 2010, 14, 57–62. [Google Scholar]
- Zhou, B.-G.; Wang, S.; Dou, T.-T.; Liu, S.; Li, M.-Y.; Hua, R.-M.; Li, S.-G.; Lin, H.-F. Aphicidal activity of Illicium verum fruit extracts and their effects on the acetylcholinesterase and glutathione s-transferases activities in Myzus persicae (Hemiptera: Aphididae). J. Insect Sci. 2016, 16, 11. [Google Scholar] [CrossRef]
- Agência Nacional de Vigilância Sanitária. Manual de Testes de Eficácia Em Produtos Desinfestantes, 3rd ed.; Anvisa: Brasilia, DF, Brasil, 2009; pp. 1–50.
- Sarker, S.; Lim, U.T. Extract of Nicotiana tabacum as a potential control agent of Grapholita molesta (Lepidoptera: Tortricidae), ed. by Lopez-Ferber M. PLoS ONE 2018, 13, e0198302. [Google Scholar] [CrossRef]
- Kanmani, S.; Kumar, L.; Raveen, R.; Tennyson, S.; Arivoli, S.; Jayakumar, M. Toxicity of tobacco Nicotiana tabacum Linnaeus (Solanaceae) leaf extracts to the rice weevil Sitophilus oryzae Linnaeus 1763 (Coleoptera:Curculionidae). J. Basic Appl. Zool. 2021, 82, 10. [Google Scholar] [CrossRef]
- Rando, J.S.S.; Lima, C.B.; Lourenço, C.C.; Feldhaus, D.C.; Malanotte, M.L.; Avila, R.R. Extratos de Nicotiana tabacum, Ocimum gratissimum e Equisetum sp. no controle do pulgão da couve Brevicoryne brassicae (L.). Rev. Bras. Agroecol. 2009, 4, 204–208. [Google Scholar]
- Kheawfu, K.; Kaewpinta, A.; Chanmahasathien, W.; Rachtanapun, P.; Jantrawut, P. Extraction of nicotine from tobacco leaves and development of fast dissolving nicotine extract film. Membranes 2021, 11, 403. [Google Scholar] [CrossRef] [PubMed]
- Silva, L.M.; Caldas, A.M.; Rodrigues, A.L.M.; Oliveira, J.S.; Simonetti, E.R.S. O uso do extrato de fumo (Nicotiana tabacum) como alternativa para o controle de pragas em hortaliças. In Proceedings of the 2nd Cointer PDVAgro, Natal, RN, Brazil, 4–8 December 2017; IIDV: Recife, PE, Brazil, 2017. [Google Scholar]
- Mendes, A.M.S.; Souza, M.M.S.; Fonseca, A.M.; Colares, R.P.; Carneiro, J.B.; Santos, F.G.N. Inseticidas naturais: Uma alternativa sustentável para o controle de pragas na agricultura familiar. In Proceedings of the 56th Congresso Brasileiro de Química, Belém, PA, Brazil, 7–11 November 2016; ABQ: Rio de Janeiro, Brazil, 2016. [Google Scholar]
- Dent, D. Insect Pest Management, 2nd ed.; CABI Publishing: Wallingford, Oxon, UK, 2000; pp. 1–362. [Google Scholar]
- Rizvi, S.A.H.; Hussain, S.; Rehman, S.U.; Jaffar, S.; Rehman, M.F.U. Efficacy of ecofriendly botanical extracts of Ginger (Zingiber officinale), Garlic (Allium sativum) and Tobacco (Nicotiana tabacum L) for the control of cabbage looper (Trichoplusia binotalis) under agroecological conditions of Peshawar, Pakistan. J. Entomol. Zool. Stud. 2016, 4, 88–90. [Google Scholar]
- Lokesh, K.V.; Kanmani, S.; Adline, J.D.; Raveen, R.; Samuel, T.; Arivoli, S.; Jayakumar, M. Adulticidal activity of Nicotiana tabacum Linnaeus (Solanaceae) leaf extracts against the sweet potato weevil Cylas formicarius Fabricius 1798 (Coleoptera: Brentidae). J. Entomol. Zool. Stud. 2017, 5, 518–524. [Google Scholar]
- Nunes, G.S.; Ribeiro, M.L. Pesticidas: Uso, legislação e controle. Pestic. Rev. De Ecotoxicologia E Meio Ambiente 1999, 9, 31–44. [Google Scholar] [CrossRef]
- Costa, E.L.N.; Silva, R.F.P.; Fiuza, L.M. Efeitos, aplicações e limitações de extratos de plantas inseticidas. Acta Biol. Leopoldensia 2004, 26, 173–185. [Google Scholar]
- Lameira, A.O.; Pinto, J.E.B.P. Plantas Medicinais: Do Cultivo, Manipulação e Uso á Recomendação Popular; Embrapa Amazônia Oriental: Belén, PA, USA, 2008; pp. 1–264. [Google Scholar]
- Niu, J.; Yu, G. Agricultural chemicals. In Point Sources of Pollution: Local Effects and Their Control; Yi, Q., Ed.; EOLSS Publications/UNESCO: Oxford, UK, 2009; pp. 43–60. [Google Scholar]
- Cuevas-Salgado, M.I.; Rodríguez-Morales, M.P.; Romero-Nápoles, C. Infusiones botánicas para el control de Leptophobia aripa elodia Boisduval (Lepidoptera: Pieridae) en brócoli (Brassica oleracea var. italica) bajo condiciones de laboratorio. Bol. Soc. Mex. Ento. (Nueva Serie) 2015, 1, 71–77. [Google Scholar]




| Plant Species | Family | Parts Used | Active Ingredients | References |
|---|---|---|---|---|
| Garlic (Allium sativum L.). | Alliaceae | Bulbs | Methyl allyl disulfide and Diallyl trisulfide | Huang et al. [47,48] |
| Tobacco (Nicotiana tabacum L.) | Solanaceae | Leaves | Nicotine | Dougoud et al. [17] |
| Lemongrass (Cymbopogon citratus Stapf.) | Poaceae | Leaves | Geranial and Neral | Olivero-Verbel et al. [49] |
| Eucalyptus (Eucalyptus globulus Labill.) | Myrtaceae | Leaves | 1,8-cineole | Mossi et al. [35] |
| Rue (Ruta graveolens L.) | Rutaceae | Leaves | 2-Nonanone and 2-Undecanone | Orlanda and Nascimento [50] |
| Thyme (Thymus vulgaris L.) | Lamiaceae | Leaves | Thymol and Carvacrol | Park et al. [51] |
| Cinnamon (Cinnamomum verum J. Presl) | Lauraceae | Bark | Cinnamaldehyde | Benelli et al. [31] |
| Star anise (Illicium verum Hook.f) | Illiciaceae | Fruits | Trans-anethole | Wei et al. [32] |
| Clove (Syzygium aromaticum, L.) | Myrtaceae | Flower bud | Eugenol and E-caryophyllene | Zeng et al. [33] |
Publisher’s Note: MDPI stays neutral with regard to jurisdictional claims in published maps and institutional affiliations. |
© 2022 by the authors. Licensee MDPI, Basel, Switzerland. This article is an open access article distributed under the terms and conditions of the Creative Commons Attribution (CC BY) license (https://creativecommons.org/licenses/by/4.0/).
Share and Cite
Nascimento, V.F.; Auad, A.M.; de Resende, T.T.; Visconde, A.J.M.; Dias, M.L. Insecticidal Activity of Aqueous Extracts of Plant Origin on Mahanarva spectabilis (Distant, 1909) (Hemiptera: Cercopidae). Agronomy 2022, 12, 947. https://doi.org/10.3390/agronomy12040947
Nascimento VF, Auad AM, de Resende TT, Visconde AJM, Dias ML. Insecticidal Activity of Aqueous Extracts of Plant Origin on Mahanarva spectabilis (Distant, 1909) (Hemiptera: Cercopidae). Agronomy. 2022; 12(4):947. https://doi.org/10.3390/agronomy12040947
Chicago/Turabian StyleNascimento, Vinícius Ferraz, Alexander Machado Auad, Tiago Teixeira de Resende, Amanda Jdenaina Mendoza Visconde, and Marcelle Leandro Dias. 2022. "Insecticidal Activity of Aqueous Extracts of Plant Origin on Mahanarva spectabilis (Distant, 1909) (Hemiptera: Cercopidae)" Agronomy 12, no. 4: 947. https://doi.org/10.3390/agronomy12040947
APA StyleNascimento, V. F., Auad, A. M., de Resende, T. T., Visconde, A. J. M., & Dias, M. L. (2022). Insecticidal Activity of Aqueous Extracts of Plant Origin on Mahanarva spectabilis (Distant, 1909) (Hemiptera: Cercopidae). Agronomy, 12(4), 947. https://doi.org/10.3390/agronomy12040947

