Thermal Infrared Evaluation of the Influence of Arbuscular Mycorrhizal Fungus and Dark Septate Endophytic Fungus on Maize Growth and Physiology
Abstract
:1. Introduction
2. Materials and Methods
2.1. Pot Experiment
2.2. Experimental Design
2.3. Test Monitoring
2.4. Statistical Analysis
3. Results
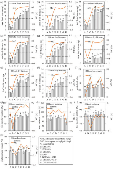
3.1. Plant Biomass
3.2. Plant Canopy Temperature
3.3. Plant Stomatal Conductance
3.4. Regression Analysis between Canopy Temperature and Stomatal Conductance
3.5. Correlation Analysis between Canopy Temperature, Stomatal Conductance and Biomass
3.6. Cluster Analysis of the Growth Index, Stomatal Conductance and Canopy Temperature
4. Discussion
4.1. Feasibility of Monitoring Physiological Status of Maize Inoculated with AMF and DSE Fungi by Thermal Infrared Imaging
4.2. Changes in the Growth Physiological Status of Maize with Inoculation
4.3. Optimum Observation Period and Time in Diurnal Cycle during the Growth Period
5. Conclusions
Author Contributions
Funding
Institutional Review Board Statement
Informed Consent Statement
Data Availability Statement
Conflicts of Interest
References
- Jumpponen, A.; Trappe, J.M. Dark septate endophytes: A review of facultative biotrophic root-colonizing fungi. New Phytol. 1998, 140, 295–310. [Google Scholar] [CrossRef] [PubMed]
- Mandyam, K.; Jumpponen, A. Seeking the elusive function of the root-colonising dark septate endophytic fungi. Stud. Mycol. 2005, 53, 173–189. [Google Scholar] [CrossRef] [Green Version]
- Smith, S.E.; Read, D.J. Mycorrhizal Symbiosis, 3rd ed.; Academic Press: London, UK, 2008; Volume 5, pp. 148–158. [Google Scholar]
- Kauppinen, M.; Raveala, K.; Wali, P.R.; Ruotsalainen, A.L. Contrasting preferences of arbuscular mycorrhizal and dark septate fungi colonizing boreal and subarctic Avenella flexuosa. Mycorrhiza 2014, 24, 171–177. [Google Scholar] [CrossRef] [PubMed]
- Bi, Y.; Wang, K.; Wang, J. Effect of different inoculation treatments on AM fungal communities and the sustainability of soil remediation in Daliuta coal mining subsidence area in northwest China. Appl. Soil Ecol. 2018, 132, 107–113. [Google Scholar] [CrossRef]
- Sarkar, A.; Asaeda, T.; Wang, Q.; Rashid, M.H. Arbuscular mycorrhizal influences on growth, nutrient uptake, and use efficiency of Miscanthus sacchariflorus growing on nutrient-deficient river bank soil. Flora 2015, 212, 46–54. [Google Scholar] [CrossRef]
- Dell’Amico, J.; Torrecillas, A.; Rodríguez, P.; Morte, A.; Sánchezblanco, M.J. Responses of tomato plants associated with the arbuscular mycorrhizal fungus Glomus clarum during drought and recovery. J. Agric. Sci. 2002, 138, 387–393. [Google Scholar] [CrossRef]
- Abdel-Fattah, G.M.; Asrar, A.A.; Al-Amri, S.M.; Abdel-Salam, E.M. Influence of arbuscular mycorrhiza and phosphorus fertilization on the gas exchange, growth and phosphatase activity of soybean (Glycine max L.) plants. Photosynthetica 2014, 52, 581–588. [Google Scholar] [CrossRef] [Green Version]
- Zhang, X.; Wang, L.; Ma, F.; Yang, J.; Su, M. Effects of arbuscular mycorrhizal fungi inoculation on carbon and nitrogen distribution and grain yield and nutritional quality in rice (Oryza sativa L.). J. Sci. Food Agric. 2017, 97, 2919–2925. [Google Scholar] [CrossRef]
- Li, X.; George, E.; Marschner, H. Extension of the phosphorus depletion zone in VA-mycorrhizal white clover in a calcareous soil. Plant Soil 1991, 136, 41–48. [Google Scholar] [CrossRef]
- Ren, A.; Zhu, Y.; Chen, Y.; Ren, H.; Li, J.; Kay Abbott, L.; Xiong, Y. Arbuscular mycorrhizal fungus alters root-sourced signal (abscisic acid) for better drought acclimation in Zea mays L. seedlings. Environ. Exp. Bot. 2019, 167, 103824. [Google Scholar] [CrossRef]
- Zhou, Y.; Li, X.; Qin, J.; Liu, H.; Chen, W.; Niu, Y.; Ren, A.; Gao, Y. Effects of simultaneous infections of endophytic fungi and arbuscular mycorrhizal fungi on the growth of their shared host grass Achnatherum sibiricum under varying N and P supply. Fungal Ecol. 2016, 20, 56–65. [Google Scholar] [CrossRef]
- Levy, M.A.; Cumming, J.R. Development of Soils and Communities of Plants and Arbuscular Mycorrhizal Fungi on West Virginia Surface Mines. Environ. Manag. 2014, 54, 1153–1162. [Google Scholar] [CrossRef] [PubMed]
- Vergara, C.; Araujo, K.E.C.; Urquiaga, S.; Santa-Catarina, C.; Schultz, N.; da Silva Araujo, E.; de Carvalho Balieiro, F.; Xavier, G.R.; Zilli, J.E. Dark Septate Endophytic Fungi Increase Green Manure-15N Recovery Efficiency, N Contents, and Micronutrients in Rice Grains. Front. Plant Sci. 2018, 9, 613. [Google Scholar] [CrossRef] [PubMed]
- Diene, O.; Wang, W.; Narisawa, K. Pseudosigmoidea ibarakiensis sp. nov., a dark septate endophytic fungus from a cedar forest in Ibaraki, Japan. Microbes Environ. 2013, 28, 381–387. [Google Scholar] [CrossRef] [Green Version]
- Knapp, D.G.; Kovacs, G.M.; Zajta, E.; Groenewald, J.Z.; Crous, P.W. Dark septate endophytic pleosporalean genera from semiarid areas. Persoonia 2015, 35, 87–100. [Google Scholar] [CrossRef] [Green Version]
- Vergara, C.; Araujo, K.E.C.; Urquiaga, S.; Schultz, N.; Balieiro, F.C.; Medeiros, P.S.; Santos, L.A.; Xavier, G.R.; Zilli, J.E. Dark Septate Endophytic Fungi Help Tomato to Acquire Nutrients from Ground Plant Material. Front. Microbiol. 2017, 8, 2437. [Google Scholar] [CrossRef] [Green Version]
- Santos, S.G.D.; Silva, P.; Garcia, A.C.; Zilli, J.E.; Berbara, R.L.L. Dark septate endophyte decreases stress on rice plants. Braz. J. Microbiol. 2017, 48, 333–341. [Google Scholar] [CrossRef]
- Vergara, C.; Araujo, K.E.C.; Alves, L.S.; Souza, S.R.; Santos, L.A.; Santa-Catarina, C.; Silva, K.D.; Pereira, G.M.D.; Xavier, G.R.; Zilli, J.E. Contribution of dark septate fungi to the nutrient uptake and growth of rice plants. Braz. J. Microbiol. 2018, 49, 67–78. [Google Scholar] [CrossRef]
- Pan, J.; Liu, Y.; He, X.; Kang, S.; Hou, Y.; An, L.; Feng, H. Arbuscular mycorrhizal and dark septate endophytic fungi at 5,500 m on a glacier forefront in the Qinghai-Tibet Plateau, China. Symbiosis 2013, 60, 101–105. [Google Scholar] [CrossRef]
- Li, J.; Meng, B.; Chai, H.; Yang, X.; Song, W.; Li, S.; Lu, A.; Zhang, T.; Sun, W. Arbuscular Mycorrhizal Fungi Alleviate Drought Stress in C3 (Leymus chinensis) and C4 (Hemarthria altissima) Grasses via Altering Antioxidant Enzyme Activities and Photosynthesis. Front. Plant Sci. 2019, 10, 499. [Google Scholar] [CrossRef] [Green Version]
- Huang, D.; Ma, M.; Wang, Q.; Zhang, M.; Jing, G.; Li, C.; Ma, F. Arbuscular mycorrhizal fungi enhanced drought resistance in apple by regulating genes in the MAPK pathway. Plant Physiol. Biochem. 2020, 149, 245–255. [Google Scholar] [CrossRef] [PubMed]
- Khorsandi, A.; Hemmat, A.; Mireei, S.A.; Amirfattahi, R.; Ehsanzadeh, P. Plant temperature-based indices using infrared thermography for detecting water status in sesame under greenhouse conditions. Agric. Water Manag. 2018, 204, 222–233. [Google Scholar] [CrossRef]
- Thapa, S.; Jessup, K.E.; Pradhan, G.P.; Rudd, J.C.; Liu, S.; Mahan, J.R.; Devkota, R.N.; Baker, J.A.; Xue, Q. Canopy temperature depression at grain filling correlates to winter wheat yield in the U.S. Southern High Plains. Field Crops Res. 2018, 217, 11–19. [Google Scholar] [CrossRef]
- Craparo, A.C.W.; Steppe, K.; Van Asten, P.J.A.; Laderach, P.; Jassogne, L.T.P.; Grab, S.W. Application of thermography for monitoring stomatal conductance of Coffea arabica under different shading systems. Sci. Total Environ. 2017, 609, 755–763. [Google Scholar] [CrossRef]
- García-Tejero, I.F.; Rubio, A.E.; Viñuela, I.; Hernández, A.; Gutiérrez-Gordillo, S.; Rodríguez-Pleguezuelo, C.R.; Durán-Zuazo, V.H. Thermal imaging at plant level to assess the crop-water status in almond trees (cv. Guara) under deficit irrigation strategies. Agric. Water Manag. 2018, 208, 176–186. [Google Scholar] [CrossRef]
- Maes, W.H.; Baert, A.; Huete, A.R.; Minchin, P.E.H.; Snelgar, W.P.; Steppe, K. A new wet reference target method for continuous infrared thermography of vegetations. Agric. For. Meteorol. 2016, 226–227, 119–131. [Google Scholar] [CrossRef]
- Santesteban, L.G.; Di Gennaro, S.F.; Herrero-Langreo, A.; Miranda, C.; Royo, J.B.; Matese, A. High-resolution UAV-based thermal imaging to estimate the instantaneous and seasonal variability of plant water status within a vineyard. Agric. Water Manag. 2017, 183, 49–59. [Google Scholar] [CrossRef]
- Ma, S.; Bi, Y.; Zhang, Y.; Wang, K.; Guo, Y.; Christie, P. Thermal infrared imaging study of water status and growth of arbuscular mycorrhizal soybean (Glycine max) under drought stress. S. Afr. J. Bot. 2022, 146, 58–65. [Google Scholar] [CrossRef]
- Xie, L.; Bi, Y.; Ma, S.; Shang, J.; Hu, Q.; Christie, P. Combined inoculation with dark septate endophytes and arbuscular mycorrhizal fungi: Synergistic or competitive growth effects on maize? BMC Plant Biol. 2021, 21, 498. [Google Scholar] [CrossRef]
- Pou, A.; Diago, M.P.; Medrano, H.; Baluja, J.; Tardaguila, J. Validation of thermal indices for water status identification in grapevine. Agric. Water Manag. 2014, 134, 60–72. [Google Scholar] [CrossRef]
- Hetherington, A.M.; Woodward, F.I. The role of stomata in sensing and driving environmental change. Nature 2003, 424, 901–908. [Google Scholar] [CrossRef] [PubMed]
- Jones, H.G. Irrigation scheduling: Advantages and pitfalls of plant-based methods. J. Exp. Bot. 2004, 55, 2427–2436. [Google Scholar] [CrossRef] [PubMed] [Green Version]
- Domokos, E.; Jakab-Farkas, L.; Darko, B.; Biro-Janka, B.; Mara, G.; Albert, C.; Balog, A. Increase in Artemisia annua Plant Biomass Artemisinin Content and Guaiacol Peroxidase Activity Using the Arbuscular Mycorrhizal Fungus Rhizophagus irregularis. Front. Plant Sci. 2018, 9, 478. [Google Scholar] [CrossRef] [PubMed] [Green Version]
- Zhang, J.; Bi, Y.; Song, Z.; Xiao, L.; Christie, P. Arbuscular mycorrhizal fungi alter root and foliar responses to fissure-induced root damage stress. Ecol. Indic. 2021, 127, 107800. [Google Scholar] [CrossRef]
- Bridge, L.J.; Franklin, K.A.; Homer, M.E. Impact of plant shoot architecture on leaf cooling: A coupled heat and mass transfer model. J. R. Soc. Interface 2013, 10, 20130326. [Google Scholar] [CrossRef] [PubMed] [Green Version]
- Jarvis, P.G.; McNaughton, K.G. Stomatal Control of Transpiration: Scaling Up from Leaf to Region. Adv. Ecol. Res. 1986, 15, 1–49. [Google Scholar]
- Scherrer, D.; Bader, K.F.; Körnera, C. Drought-sensitivity ranking of deciduous tree species based on thermal imaging of forest canopies. Agric. For. Meteorol. 2011, 151, 1632–1640. [Google Scholar] [CrossRef]
- Bi, Y.; Zhou, H. Changes in peanut canopy structure and photosynthetic characteristics induced by an arbuscular mycorrhizal fungus in a nutrient-poor environment. Sci. Rep. 2021, 11, 14832. [Google Scholar] [CrossRef]
- Biju, S.; Fuentes, S.; Gupta, D. The use of infrared thermal imaging as a non-destructive screening tool for identifying drought-tolerant lentil genotypes. Plant Physiol. Bioch. 2018, 127, 11–24. [Google Scholar] [CrossRef]
- Deery, D.M.; Rebetzke, G.J.; Jimenez-Berni, J.A.; Bovill, W.D.; James, R.A.; Condon, A.G.; Furbank, R.T.; Chapman, S.C.; Fischer, R.A. Evaluation of the Phenotypic Repeatability of Canopy Temperature in Wheat Using Continuous-Terrestrial and Airborne Measurements. Front. Plant Sci. 2019, 10, 875. [Google Scholar] [CrossRef]
- Gholamhoseini, M.; Ghalavand, A.; Dolatabadian, A.; Jamshidi, E.; Khodaei-Joghan, A. Effects of arbuscular mycorrhizal inoculation on growth, yield, nutrient uptake and irrigation water productivity of sunflowers grown under drought stress. Agric. Water Manag. 2013, 117, 106–114. [Google Scholar] [CrossRef]
- Al-Karaki, G.; McMichael, B.; Zak, J. Field response of wheat to arbuscular mycorrhizal fungi and drought stress. Mycorrhiza 2004, 14, 263–269. [Google Scholar] [CrossRef] [PubMed]
- Liu, H.; Song, F.; Liu, S.; Li, X.; Liu, F.; Zhu, X. Arbuscular mycorrhiza improves nitrogen use efficiency in soybean grown under partial root-zone drying irrigation. Arch. Agron. Soil Sci. 2019, 65, 269–279. [Google Scholar] [CrossRef]
- Fernández, F.; Vicente-Sánchez, J.; Maestre-Valero, J.F.; Bernabé, A.J.; Nicolás, E.; Pedrero, F.; Alarcón, J.J. Physiological and growth responses of young tomato seedlings to drip-irrigation containing two low doses of the arbuscular mycorrhizal fungus Glomus iranicum var. tenuihypharum sp. nova. J. Hortic. Sci. Biotechnol. 2015, 89, 679–685. [Google Scholar] [CrossRef]
- Hou, M.; Tian, F.; Zhang, T.; Huang, M. Evaluation of canopy temperature depression, transpiration, and canopy greenness in relation to yield of soybean at reproductive stage based on remote sensing imagery. Agric. Water Manag. 2019, 222, 182–192. [Google Scholar] [CrossRef]
- Thapa, S.; Stewart, B.A.; Xue, Q.; Rhoades, M.B.; Angira, B.; Reznik, J. Canopy temperature, yield, and harvest index of corn as affected by planting geometry in a semi-arid environment. Field Crops Res. 2018, 227, 110–118. [Google Scholar] [CrossRef]
- Costa, J.M.; Egipto, R.; Sánchez-Virosta, A.; Lopes, C.M.; Chaves, M.M. Canopy and soil thermal patterns to support water and heat stress management in vineyards. Agric. Water Manag. 2019, 216, 484–496. [Google Scholar] [CrossRef]







| AMF | DSE Fungus | |
|---|---|---|
| Latin name | Diversispora epigaea (formerly Glomus versiforme) | Alternaria sp. |
| Source | Institute of Plant Nutrition and Resources, Beijing Academy of Agriculture and Forestry Sciences | Stipa krylovii Roshev roots isolated from Beidian Shengli mine, China, and deposited in the China General Microbiological Culture Collection Center |
| Deposit number | BGC NM04B | CGMCC No. 17463 |
| Propagation | Laboratory of Microbial Reclamation, China University of Mining and Technology, Beijing | Laboratory of Microbial Reclamation, China University of Mining and Technology, Beijing |
| Cultivation specification | Spore density 26 g− 1, colonization rate 87%, and hyphal length 3.12 m g− 1 | 3.11 g dry matter mL−1 (1 × 106 CFU mL−1) |
| Treatment | AMF(g) | DSE (mL) | MMN Medium (mL) | ||
|---|---|---|---|---|---|
| Non-Inactivated | Inactivated | Non- Inactivated | Inactivation | ||
| Control (CK) | - | 50 | - | 50 | - |
| DSE20% | - | 50 | 10 | - | 40 |
| DSE40% | - | 50 | 20 | - | 30 |
| DSE80% | - | 50 | 40 | - | 10 |
| AMF | 50 | - | - | 50 | - |
| DSE20% + AMF | 50 | - | 10 | - | 40 |
| DSE40% + AMF | 50 | - | 20 | - | 30 |
| DSE80% + AMF | 50 | - | 40 | - | 10 |
Publisher’s Note: MDPI stays neutral with regard to jurisdictional claims in published maps and institutional affiliations. |
© 2022 by the authors. Licensee MDPI, Basel, Switzerland. This article is an open access article distributed under the terms and conditions of the Creative Commons Attribution (CC BY) license (https://creativecommons.org/licenses/by/4.0/).
Share and Cite
Bi, Y.; Ma, S.; Gao, Y.; Shang, J.; Zhang, Y.; Xie, L.; Guo, Y.; Christie, P. Thermal Infrared Evaluation of the Influence of Arbuscular Mycorrhizal Fungus and Dark Septate Endophytic Fungus on Maize Growth and Physiology. Agronomy 2022, 12, 912. https://doi.org/10.3390/agronomy12040912
Bi Y, Ma S, Gao Y, Shang J, Zhang Y, Xie L, Guo Y, Christie P. Thermal Infrared Evaluation of the Influence of Arbuscular Mycorrhizal Fungus and Dark Septate Endophytic Fungus on Maize Growth and Physiology. Agronomy. 2022; 12(4):912. https://doi.org/10.3390/agronomy12040912
Chicago/Turabian StyleBi, Yinli, Shaopeng Ma, Yakun Gao, Jianxuan Shang, Yanxu Zhang, Linlin Xie, Yun Guo, and Peter Christie. 2022. "Thermal Infrared Evaluation of the Influence of Arbuscular Mycorrhizal Fungus and Dark Septate Endophytic Fungus on Maize Growth and Physiology" Agronomy 12, no. 4: 912. https://doi.org/10.3390/agronomy12040912
APA StyleBi, Y., Ma, S., Gao, Y., Shang, J., Zhang, Y., Xie, L., Guo, Y., & Christie, P. (2022). Thermal Infrared Evaluation of the Influence of Arbuscular Mycorrhizal Fungus and Dark Septate Endophytic Fungus on Maize Growth and Physiology. Agronomy, 12(4), 912. https://doi.org/10.3390/agronomy12040912

