Investigation of Soils and Pine Needles Using WDXRF and TXRF Techniques for Assessment of the Environmental Pollution of Shelekhov District, Eastern Siberia, by the Aluminum Industry and Heat Power Engineering
Abstract
:1. Introduction
2. Materials and Methods
2.1. Field Description, Sampling, and Preliminary Preparation
2.2. Reference Materials
2.3. WDXRF
2.3.1. Instrumentation
2.3.2. Sample Preparation Approaches
2.3.3. Quantitative Analysis
2.4. TXRF
2.4.1. Instrumentation
2.4.2. Sample Preparation Approaches
2.4.3. Quantitative Analysis
2.5. Data Processing
3. Results and Discussion
3.1. XRF Spectra and Quantitative Analysis
3.1.1. WDXRF and TXRF Spectra
3.1.2. Quantitative WDXRF Analysis and Statistical Processing
3.1.3. Validation of the Methods
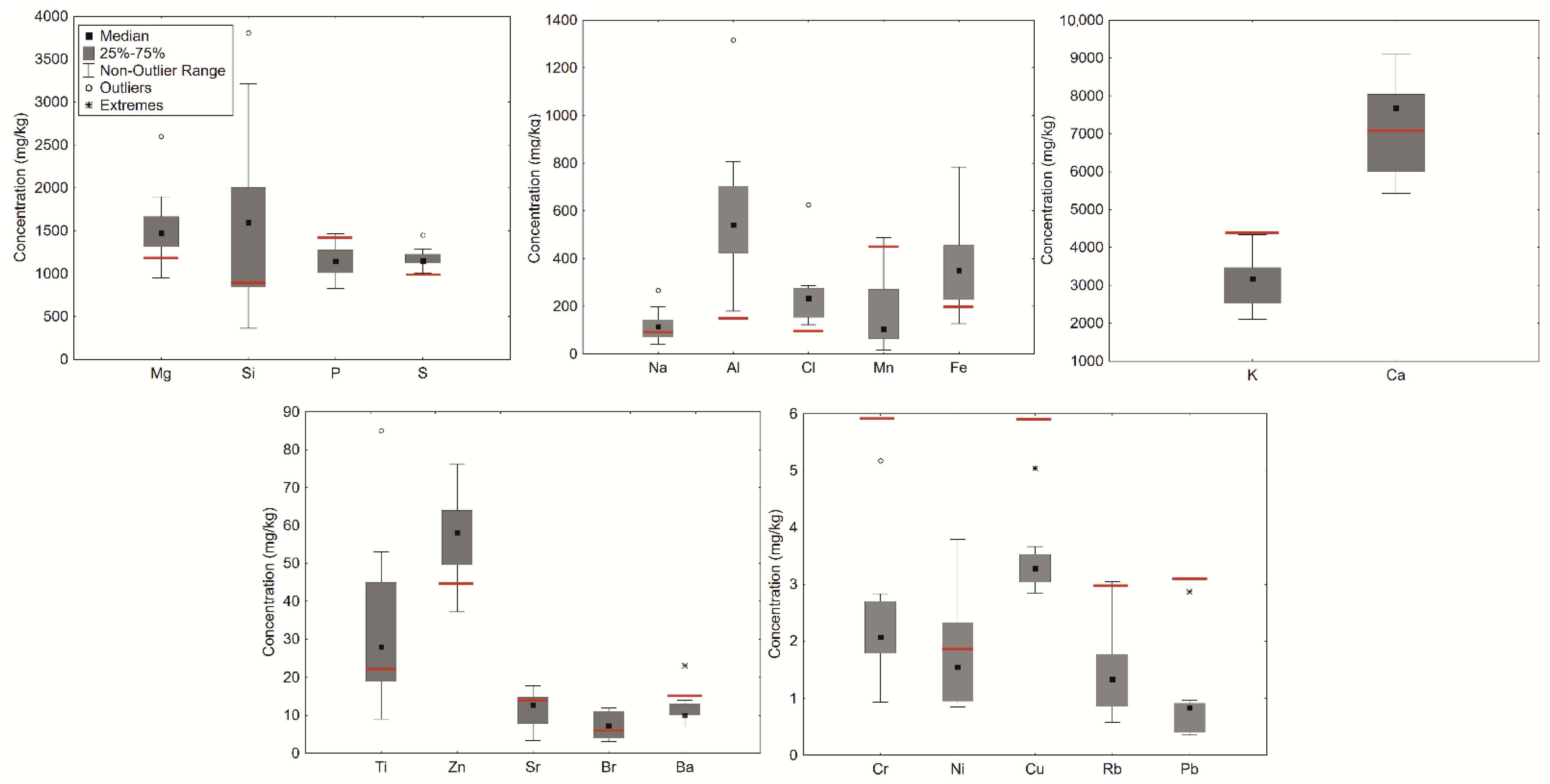
3.2. Distribution of the Elements Examined in Soils and Pine Needles
3.3. Assessment of the Soil Pollution Level in the Study Area
4. Conclusions
Supplementary Materials
Author Contributions
Funding
Data Availability Statement
Acknowledgments
Conflicts of Interest
References
- Revenko, A.G. X-ray fluorescence analysis of rocks, soils and sediments. X-ray Spectrom. 2002, 31, 264–273. [Google Scholar] [CrossRef]
- Potts, P.J.; Webb, P.C.; Watson, J.S. Energy-dispersive X-ray fluorescence analysis of silicate rocks: Comparisons with wavelength-dispersive performance. Analyst 1985, 110, 507–513. [Google Scholar] [CrossRef]
- Giertych, M.J.; De Temmerman, L.O.; Rachwal, L. Distribution of elements along the length of Scots pine needles in a heavily polluted and a control environment. Tree Physiol. 1997, 17, 697–703. [Google Scholar] [CrossRef] [PubMed] [Green Version]
- Chung, D.; Lee, J.-H.; Lee, S.-Y.; Park, K.-W.; Shim, K.Y. Efficacy of pine needles as bioindicators of air pollution in Incheon, South Korea. Atmos. Pollut. Res. 2021, 12, 101063. [Google Scholar] [CrossRef]
- Juranović Cindrić, I.; Zeiner, M.; Starčević, A.; Stingeder, G. Metals in pine needles: Characterisation of bio-indicators depending on species. Int. J. Environ. Sci. Technol. 2019, 16, 4339–4346. [Google Scholar] [CrossRef] [Green Version]
- Pöykiö, R.; Torvela, H. Pine Needles (Pinus sylvestris) as a Bioindicator of Sulphur and Heavy Metal Deposition in the Area Around a Pulp and Paper Mill Complex at Kemi, Northern Finland. Int. J. Environ. Anal. Chem. 2001, 79, 143–154. [Google Scholar] [CrossRef]
- Wei, B.; Yang, L. A review of heavy metal contaminations in urban soils, urban road dusts and agricultural soils from China. Microchem. J. 2010, 94, 99–107. [Google Scholar] [CrossRef]
- Parzych, A.; Jonczak, J. Pine needles (Pinus sylvestris L.) as bioindicators in the assessment of urban environment contamination with heavy metals. J. Ecol. Eng. 2014, 15, 29–38. [Google Scholar] [CrossRef]
- Shin, J.H.; Yu, J.; Wang, L.; Kim, J.; Koh, S. Investigation of Spectral Variation of Pine Needles as an Indicator of Arsenic Content in Soils. Minerals 2019, 9, 498. [Google Scholar] [CrossRef] [Green Version]
- Fedotov, P.S.; Dzhenloda, R.K.; Dampilova, B.V.; Doroshkevich, S.G.; Karandashev, V.K. Unexpected behavior of Zn, Cd, Cu, and Pb in soils contaminated by ore processing after 70 years of burial. Environ. Chem. Lett. 2018, 16, 637–645. [Google Scholar] [CrossRef]
- Kord, B.; Kord, B. Heavy metal levels in pine (Pinus eldarica Medw.) tree barks as indicators of atmospheric pollution. Bioresources 2011, 6, 927–935. [Google Scholar]
- Tavares, T.R.; Molin, J.P.; Nunes, L.C.; Wei, M.C.F.; Krug, F.J.; de Carvalho, H.W.P.; Mouazen, A.M. Multi-Sensor Approach for Tropical Soil Fertility Analysis: Comparison of Individual and Combined Performance of VNIR, XRF, and LIBS Spectroscopies. Agronomy 2021, 11, 1028. [Google Scholar] [CrossRef]
- Menšík, L.; Hlisnikovský, L.; Nerušil, P.; Kunzová, E. Comparison of the Concentration of Risk Elements in Alluvial Soils Determined by pXRF In Situ, in the Laboratory, and by ICP-OES. Agronomy 2021, 11, 938. [Google Scholar] [CrossRef]
- Lemière, B. A review of pXRF (field portable X-ray fluorescence) applications for applied geochemistry. J. Geochem. Explor. 2018, 188, 350–363. [Google Scholar] [CrossRef] [Green Version]
- Ravansari, R.; Wilson, S.C.; Tighe, M. Portable X-ray fluorescence for environmental assessment of soils: Not just a point and shoot method. Environ. Int. 2020, 134, 105250. [Google Scholar] [CrossRef] [PubMed]
- Kalnicky, D.J.; Singhvi, R. Field portable XRF analysis of environmental samples. J. Hazard. Mater. 2001, 83, 93–122. [Google Scholar] [CrossRef] [Green Version]
- Gutierrez-Gines, M.J.; Pastor, J.; Hernandez, A.J. Assessment of field portable X-ray fluorescence spectrometry for the in situ determination of heavy metals in soils and plants. Environ. Sci. Process Impacts 2013, 15, 1545–1552. [Google Scholar] [CrossRef] [PubMed] [Green Version]
- Gunicheva, T.N.; Aisueva, T.S.; Afonin, V.P. Non-destructive X-ray fluorescence analysis of soils and friable and marine sediments. X-ray Spectrom. 1995, 24, 187–192. [Google Scholar] [CrossRef]
- Cherkashina, T.Y.; Pellinen, V.A. Applicability of X-ray fluorescence spectrometry for assessing geochemical features and heavy metal contamination of soils: Primary data. Int. J. Environ. Anal. Chem. 2020, 101, 1–16. [Google Scholar] [CrossRef]
- Cherkashina, T.Y.; Pellinen, V.A. Assessment of soil pollution level using environmental indices in Olkhon Island, Lake Baikal, Russia: Primary data. Int. J. Environ. Anal. Chem. 2020, 1–12. [Google Scholar] [CrossRef]
- Pellinen, V.A.; Cherkashina, T.Y.; Gustaytis, M.A. Assessment of metal pollution and subsequent ecological risk in the coastal zone of the Olkhon Island, Lake Baikal, Russia. Sci. Total Environ. 2021, 786, 147441. [Google Scholar] [CrossRef] [PubMed]
- Pellinen, V.A.; Cherkashina, T.Y.; Ukhova, N.N.; Komarova, A.V. Role of Gravirational Processes in the Migration of Heavy Metals in Soils of the Priolkhonye Mountain-Steppe LandScapes, lake Baikal: Methodology of Research. Agronomy 2021, 11, 2007. [Google Scholar] [CrossRef]
- Zambello, F.B.; Enzweiler, J. Multi-element analysis of soils and sediments by wavelength-dispersive X-ray fluorescence spectrometry. J. Soils Sediment. 2002, 2, 29–36. [Google Scholar] [CrossRef]
- Krishna, A.K.; Murthy, N.N.; Govil, P.K. Multielement Analysis of Soils by Wavelength-Dispersive X-ray Fluorescence Spectrometry. At. Spectrosc. 2007, 28, 202–214. [Google Scholar]
- Belykh, O.A.; Chuparina, E.V.; Mokryy, A.V. Elemental composition of needles of the family pinaceae in the territory with accumulated environmental damage, southern Baikal region. Russ. J. Gen. Chem. 2020, 90, 2622–2626. [Google Scholar] [CrossRef]
- Belykh, O.A.; Chuparina, E.V. Elemental Composition of Needle Foliage of Pinaceae Forest Forming Species in the Territory with Cumulative Environmental Damage (South Baikal Region). Bull. Baikal State Univ. 2021, 31, 103–108. [Google Scholar] [CrossRef]
- Chuparina, E.V.; Gunicheva, T.N. Nondestructive X-ray fluorescence determination of some elements in plant materials. J. Anal. Chem. 2003, 58, 856–861. [Google Scholar] [CrossRef]
- Sanina, N.B.; Filipova, L.A.; Yurkova, I.V.; Chuparina, E.V. Features of the chemical composition of coniferous vegetation of the Priolkhonye. Geogr. Nat. Resour. 2008, 1, 75–83. (In Russian) [Google Scholar]
- Viksna, A.; Selin Lindgren, E.; Standzenieks, P. Analysis of pine needles by XRF scanning techniques. X-ray Spectrom. 2001, 30, 260–266. [Google Scholar] [CrossRef]
- Morgan, T.J.; George, A.; Boulamanti, A.K.; Alvarez, P.; Adanouj, I.; Dean, C.; Vassilev, S.V.; Baxter, D. Quantitative X-ray Fluorescence Analysis of Biomass (Switchgrass, Corn Stover, Eucalyptus, Beech, and Pine Wood) with a Typical Commercial Multi-Element Method on a WD-XRF Spectrometer. Energy Fuels 2015, 29, 1669–1685. [Google Scholar] [CrossRef]
- Ichikawa, S.; Nakamura, T. Solid Sample Preparations and Applications for X-ray Fluorescence Analysis. In Encyclopedia of Analytical Chemistry; Meyers, R.A., Ed.; John Wiley and Sons, Inc.: Hoboken, NJ, USA, 2017; pp. 1–22. [Google Scholar] [CrossRef]
- Nakayama, K.; Wagatsuma, K. Glass Bead Sample Preparation for XRF. In Encyclopedia of Analytical Chemistry; Mayers, R.A., Ed.; John Wiley and Sons, Inc.: Hoboken, NJ, USA, 2017; pp. 1–19. [Google Scholar] [CrossRef]
- Klockenkämper, R.; von Bohlen, A. Total-Reflection X-ray Fluorescence Analysis and Related Methods, 2nd ed.; John Wiley and Sons, Inc.: Hoboken, NJ, USA, 2015. [Google Scholar]
- Cherkashina, T.Y.; Panteeva, S.V.; Pashkova, G.V. Applicability of direct total reflection X-ray fluorescence spectrometry for multielement analysis of geological and environmental objects. Spectrochim. Acta B 2014, 99, 59–66. [Google Scholar] [CrossRef]
- Towett, E.K.; Shepherd, K.D.; Cadisch, G. Quantification of total element concentrations in soils using total X-ray fluorescence spectroscopy (TXRF). Sci. Total Environ. 2013, 463, 374–388. [Google Scholar] [CrossRef] [PubMed] [Green Version]
- Towett, E.K.; Shepherd, K.D.; Sila, A.; Aynekulu, E.; Cadisch, G. Mid-infrared and total X-ray fluorescence spectroscopy complementarity for assessment of soil properties. Soil Sci. Soc. Am. J. 2015, 79, 1375–1385. [Google Scholar] [CrossRef] [Green Version]
- Park, J.; Park, R.; Han, S.H.; Lim, S.; Lee, C.G.; Song, K. Improvement of accuracy in quantitative TXRF analysis of soil sample by applying external standard method. Anal. Sci. Technol. 2016, 29, 261–268. [Google Scholar] [CrossRef] [Green Version]
- Bilo, F.; Borgese, L.; Cazzago, D.; Zacco, A.; Bontempi, E.; Guarneri, R.; Bernardello, M.; Attuati, S.; Lazo, P.; Depero, L.E. TXRF analysis of soils and sediments to assess environmental contamination. Environ. Sci. Pollut. Res. 2014, 21, 13208–13214. [Google Scholar] [CrossRef] [PubMed]
- Bilo, F.; Borgese, L.; Pardini, G.; Marguí, E.; Zacco, A.; Dalipi, R.; Federici, S.; Bettinelli, M.; Volante, M.; Bontempi, E.; et al. Evaluation of different quantification modes for a simple and reliable determination of Pb, Zn and Cd in soil suspensions by total reflection X-ray fluorescence spectrometry. J. Anal. At. Spectrom. 2019, 34, 930–939. [Google Scholar] [CrossRef]
- Marguí, E.; Quralt, I.; Hidalgo, M. Application of X-ray fluorescence spectrometry to determination and quantification of metals in vegetal material. Trends Anal. Chem. 2009, 28, 362–372. [Google Scholar] [CrossRef]
- De La Calle, I.; Costas, M.; Cabaleiro, N.; Lavilla, I.; Bendicho, S. Fast method for the multielemental analysis of plants and discrimination according to the anatomical part by total reflection X-ray fluorescence spectrometry. Food Chem. 2013, 138, 234–241. [Google Scholar] [CrossRef] [PubMed]
- Gallardo, H.; Queralt, I.; Tapias, J.; Candela, L.; Margui, E. Bromine and bromide content in soils: Analytical approach from total reflection X-ray fluorescence spectrometry. Chemosphere 2016, 156, 294–301. [Google Scholar] [CrossRef] [Green Version]
- Marguí, E.; Floor, G.H.; Hidalgo, M.; Kregsamer, P.; Román-Ross, G.; Streli, C.; Queralt, I. Analytical possibilities of total reflection X-ray spectrometry (TXRF) for trace selenium determination in soils. Anal. Chem. 2010, 82, 7744–7751. [Google Scholar] [CrossRef]
- Allegretta, I.; Porfido, C.; Martin, M.; Barberis, E.; Terzano, R.; Spagnuolo, M. Characterization of As-polluted soils by laboratory X-ray-based techniques coupled with sequential extractions and electron microscopy: The case of Crocette gold mine in the Monte Rosa mining district (Italy). Environ. Sci. Pollut. Res. 2018, 25, 25080–25090. [Google Scholar] [CrossRef]
- Maltsev, A.S.; Chuparina, E.V.; Pashkova, G.V.; Sokol’nikova, J.V.; Zarubina, O.V.; Shuliumova, A.N. Features of sample preparation techniques in the total-reflection X-ray fluorescence analysis of tea leaves. Food Chem. 2021, 343, 128502. [Google Scholar] [CrossRef]
- Bilo, F.; Borgese, L.; Dalipi, R.; Zacco, A.; Federici, S.; Masperi, M.; Leonesio, P.; Bontempi, E.; Depero, L.E. Elemental analysis of tree leaves by total reflection X-ray fluorescence: New approaches for air quality monitoring. Chemosphere 2017, 178, 504–512. [Google Scholar] [CrossRef] [PubMed]
- Kumar, R.; Devanathan, A.; Mishra, N.L.; Rai, A.K. Quantification of Heavy Metal Contamination in Soil and Plants Near a Leather Tanning Industrial Area Using Libs and TXRF. J. Appl. Spectrosc. 2019, 86, 942–947. [Google Scholar] [CrossRef]
- Dalipi, R.; Marguí, E.; Borgese, L.; Depero, L.E. Multi-element analysis of vegetal foodstuff by means of low power total reflection X-ray fluorescence (TXRF) spectrometry. Food Chem. 2017, 218, 348–355. [Google Scholar] [CrossRef] [PubMed]
- Olsson, M.; Viksna, A.; Helmisaari, H.S. Multi-element analysis of fine roots of Scots pine by total reflection X-ray fluorescence spectrometry. X-ray Spectrom. 1999, 28, 335–338. [Google Scholar] [CrossRef]
- Viksna, A.; Znotina, V.; Boman, J. Concentrations of some elements in and on Scots pine needles. X-ray Spectrom. 1999, 28, 275–281. [Google Scholar] [CrossRef]
- Grebenshchikova, V.I.; Kuzmin, M.I.; Rukavishnikov, V.S.; Efimova, N.V.; Donskikh, I.V.; Doroshkov, A. Chemical Contamination of Soil on Urban Territories With Aluminum Production in the Baikal Region, Russia. Air Soil Water Res. 2021, 14, 1–11. [Google Scholar] [CrossRef]
- Grebenshchikova, V.I.; Lustenberg, E.E.; Kitayev, N.A.; Lomonosov, I.S. Geochemistry of the Environment of the Baikal Region (Baikal Geoecological Polygon); Academic Publishing House “GEO”: Novosibirsk, Russia, 2008; p. 234. (In Russian) [Google Scholar]
- Belozertseva, I.A. Chemical element composition of the snow cover in the influence zone of the Irkutsk Aluminum Production Plant. Geochem. Int. 2003, 41, 614–618. [Google Scholar]
- Belykh, L.; Maksimova, M. Eco-Technological Modernization of the Irkutsk Aluminum Plant and its Impact on Carcinogenic Hazard to Shelekhov. Ecol. Ind. Russ. 2018, 22, 8–13. [Google Scholar] [CrossRef]
- Belykh, L.I.; Shaimanova, K.A. Sources of carcinogenic risks for atmosphere of Irkutsk Region cities. IOP Conf. Ser. Mater. Sci. Eng. 2019, 687, 066010. [Google Scholar] [CrossRef]
- Belykh, L.I.; Maksimova, M.A. Thermal sources of low power and their caricena hazard to the atmosphere of the cities of the Irkutsk region. IOP Conf. Ser. Earth Environ. Sci. 2020, 408, 012028. [Google Scholar] [CrossRef] [Green Version]
- Belogolova, G.A.; Koval, P.V. Environmental geochemical mapping and assessment of anthropogenic chemical changes in the Irkutsk-Shelekhov region, southern Siberia, Russia. J. Geochem. Explor. 1995, 55, 193–201. [Google Scholar] [CrossRef]
- Prosekin, S.N.; Bychinsky, V.A.; Chudnenko, K.V.; Amosova, A.A.; Znamenskaya, T.I. Physicochemical Features of Soil-Forming Processes in Conditions of Technogenic Load. Geogr. Nat. Res. 2020, 41, 159–165. [Google Scholar] [CrossRef]
- Jarvis, A.; Reuter, H.I.; Nelson, A.; Guevara, E. Hole-Filled Seamless SRTM Data V4, International Centre for Tropical Agriculture (CIAT). 2008. Available online: https://srtm.csi.cgiar.org (accessed on 15 December 2021).
- Il’in, V.B. Heavy Metals in Soil-Plant System; Nauka Press: Novosibirsk, Russia, 1991; p. 151. (In Russian) [Google Scholar]
- Kuz’min, V.A. Soil Geochemistry of the South of the Eastern Siberia; Geography Institute SB RAS: Irkutsk, Russia, 2005; p. 137. (In Russian) [Google Scholar]
- Industrial Standard 41-08-212-04. Quality Control of Analytical Works. 2005. Available online: https://standartgost.ru/g/%D0%9E%D0%A1%D0%A2_41-08-212-04 (accessed on 15 December 2021). (In Russian).
- Jochum, K.P.; Weis, U.; Schwager, B.; Stoll, B.; Wilson, S.A.; Haug, G.H.; Andreae, M.O.; Enzweiler, J. Reference Values Following ISO Guidelines for Frequently Requested Rock Reference Materials. Geostand. Geoanalyt. Res. 2015, 40, 333–350. [Google Scholar] [CrossRef]
- Xie, X.; Yan, M.; Li, L.; Shen, H. Usable Values for Chinese Standard Reference Samples of Stream Sediments, Soils, and Rocks: GSD 9-12, GSS 1-8 and GSR 1-6. Geostand. Geoanalyt. Res. 2007, 9, 277–280. [Google Scholar] [CrossRef]
- Petrov, L.L.; Kornakov, Y.N.; Persikova, L.A.; Anchutina, E.A.; Susloparova, V.E.; Fedorova, I.N.; Shibanov, V.A. Collection of reference samples with composition of natural environments developed at institute of geochemistry. Conditions, problems, prospects. Anal. Control 2003, 7, 74–82. [Google Scholar]
- Berkovits, L.A.; Obolyaninova, V.G.; Parshin, A.P.; Romanovskaya, A.R. A System of Sediment Reference Samples: Oo. Geostand. Newsl. 1991, 15, 85–109. [Google Scholar] [CrossRef]
- Vazhenin, I.G.; Egorov, V.V.; Lontzikh, S.V.; Shafrinsky, Y.S. Standard samples of soil masses, their preparation and use. Sov. Soil Sci. 1977, 7, 111–117. (In Russian) [Google Scholar]
- Shabanova, E.V.; Vasil’eva, I.E.; Tausenev, D.S.; Scherbarth, S.; Pierau, U. Features of “plants” cluster from the reference materials collection IGC SB RAS. Measurement standards. Ref. Mater. 2021, 17, 45–61. (In Russian) [Google Scholar] [CrossRef]
- Polkowska-Motrenko, H.; Dybczyński, R.S.; Chajduk, E.; Danko, B.; Kulisa, K.; Samczyński, Z.; Sypuła, M.; Szopa, Z. New Polish certified reference materials for inorganic trace analysis: Corn Flour (INCT-Cf-3) and Soya Bean Flour (INCT-SBF-4). Chem. Analityczna 2007, 52, 361–376. [Google Scholar]
- Dybczyński, R.S.; Danko, B.; Kulisa, K.; Maleszewska, E.; Polkowska-Motrenko, H.; Samczyński, Z.; Szopa, Z. Preparation and preliminary certification of two new Polish CRMs for inorganic trace analysis. J. Radioanal. Nucl. Chem. 2004, 259, 409–413. [Google Scholar] [CrossRef]
- Shafrinsky, Y.S. Elemental Chemical composition of reference materials of plants. Sib. Her. Agric. Sci. 1984, 83, 88–55. (In Russian) [Google Scholar]
- Certificate of Certified Reference Material Human Hair, Bush Twigs and Leaves, Poplar Leaves and Tea (GSV-1,2,3,4 and GSH-1). Institute of Geophysical and Geochemical Exploration. Langfang China. 1990. Available online: https://www.ncrm.org.cn/English/CRM/pdf/GBW07605_20160301_141229758_1692408.pdf (accessed on 15 December 2021).
- Govindaraju, K. Compilation of Working Value sand Sample Description for 383 Geostandards. Geostand. Geoanalyt. Res. 1994, 18, 1–158. [Google Scholar] [CrossRef]
- Jochum, K.P.; Nohl, U.; Herwig, K.; Lammel, E.; Stoll, B.; Hoffman, A.W. GeoReM: A New Geochemical Database for Reference Materials and Isotopic Standards. Geostand. Geoanalyt. Res. 2005, 29, 333–338. [Google Scholar] [CrossRef]
- SPECTRAplus, version 2.2.3.1. Software Package for X-ray Spectrometers. Bruker AXS GmbH: Karlsruhe, Germany, 2008.
- Amosova, A.A.; Panteeva, S.V.; Tatarinov, V.V.; Chubarov, V.M.; Finkelshtein, A.L. X-ray fluorescence determination of major rock forming elements in small samples 50 and 110 mg. Anal. Control 2015, 19, 130–138. (In Russian) [Google Scholar] [CrossRef] [Green Version]
- Magnusson, B.; Örnemark, U. Eurachem Guide: The Fitness for Purpose of Analytical Methods—A Laboratory Guide to Method Validation and Related Topics, 2nd ed.; Eurachem Press: London, UK, 2014; p. 70. [Google Scholar]
- Barwick, V. Eurachem/CITAC Guide: Guide to Quality in Analytical Chemistry: An Aid to Accreditation, 3rd ed.; CITAC: London, UK, 2016; p. 66. [Google Scholar]
- SPECTRA, version 7.8.2. Software Package for TXRF Spectrometers. Bruker AXS Microanalysis GmbH: Berlin, Germany, 2007.
- Wei, B.; Jiang, F.; Li, X.; Mu, S. Spatial distribution and contamination assessment of heavy metals in urban road dusts from Urumgi, NW China. Microchem. J. 2009, 93, 147–152. [Google Scholar] [CrossRef]
- Sutherland, R.A. Bed sediment-associated trace metals in an urban stream, Oahu, Havaii. Environ. Geol. 2000, 39, 611–627. [Google Scholar] [CrossRef]
- Magiera, T.; Zawadzki, J.; Szuszkiewicz, M.; Fabijanczyk, P.; Steinnes, E.; Fabian, K.; Miszczak, E. Impact of an iron and a nickel smelter at the Norwegian/Russian border close to the Barents Sea on surface soil magnetic susceptibility and content of potentially toxic elements. Chemosphere 2018, 195, 48–62. [Google Scholar] [CrossRef]
- World Health Organization Classifications. IARC. 2018. Available online: https://monographs.iarc.who.int/list-of-classifications/ (accessed on 15 December 2021).
- Lin, Y.; Meng, F.; Du, Y.; Tan, Y. Distribution, speciation, and ecological risk assessment of heavy metals in surface sediments of Jiaozhou Bay, China. Hum. Ecol. Risk. Assess. 2016, 22, 1253–1267. [Google Scholar] [CrossRef]
- Saraee, K.R.E.; Abdi, M.R.; Naghavi, K.; Saion, E.; Shafaei, M.A.; Soltani, N. Distribution of heavy metals in surface sediments from the South China Sea ecosystem, Malaysia. Environ. Monit. Assess. 2011, 183, 545–554. [Google Scholar] [CrossRef] [PubMed]
- Hakanson, L. An ecological risk index for aquatic pollution control. A sedimentological approach. Water Res. 1980, 14, 975–1001. [Google Scholar] [CrossRef]
- El Zrelli, R.; Courjault-Rade, P.; Rabaoui, L.; Castet, S.; Michel, S.; Bejaoui, N. Heavy metal contamination and ecological risk assessment in the surface sediments of the coastal area surrounding the industrial complex of Gabes city, Gulf of Gabes, SE Tunisia. Mar. Pollut. Bull. 2015, 101, 922–929. [Google Scholar] [CrossRef] [PubMed]
- Simex, S.A.; Helz, G.R. Regional geochemistry of trace elements in Checapeake Bay. Environ. Geol. 1981, 3, 315–323. [Google Scholar] [CrossRef]
- Ergin, M.; Saydam, C.; Basturk, O.; Erdem, E.; Yoruk, R. Heavy metal concentrations in surface sediments from the two coastal inlets (Golden Horn Estuary and Izmit Bay) of the northeastern Sea of Marmara. Chem. Geol. 1991, 91, 269–285. [Google Scholar] [CrossRef]
- Zhang, J.; Liu, C.L. Riverine composition and estuarine geochemistry of particulate metals in China—Weathering features, anthropogenic impact and chemical fluxes. Estuar. Coast Shelf Sci. 2002, 54, 1051–1070. [Google Scholar] [CrossRef]
- Tomlinson, D.L.; Wilson, J.G.; Harris, C.R.; Jeffrey, D.W. Problems in the assessment of heavy-metal levels in estuaries and the formation of a pollution index. Helgol. Mar. Res. 1980, 33, 566–575. [Google Scholar] [CrossRef] [Green Version]
- Liu, G.; Tao, L.; Liu, X.; Hou, J.; Wang, A.; Li, R. Heavy metal speciation and pollution of agricultural soils along Jishui River in non-ferrous metal mine area in Jiangxi Province, China. J. Geochem. Explor. 2013, 132, 156–163. [Google Scholar] [CrossRef]
- Muller, G. Index of geo-accumulation in sediments of the Rhine River. Geojournal 1969, 2, 108–118. [Google Scholar]
- Yaqin, J.I.; Yinchang, F.E.N.G.; Jianhui, W.U.; Tan, Z.H.U.; Zhipeng, B.A.I.; Chiqing, D.U.A.N. Using geoaccumulation index to study sources profiles of soil dusts in China. J. Environ. Sci. 2008, 20, 571–578. [Google Scholar] [CrossRef]
- Onishchenko, G.G. Maximum Permissible Concentrations (MACs) of Chemicals in Soil: Hygienic Standards 2.1.7.2042-06 Federal Center for Hygiene and Epidemiology of Rospotrebnadzor, Moscow. 2006. Available online: https://files.stroyinf.ru/Data2/1/4293850/4293850510.htm (accessed on 15 December 2021).
- CCME, Canadian Council of Ministers of the Environment. Canadian Soil Quality Guidelines for the Protection of Environmental and Human Health. 2017. Available online: http://esdat.net/Environmental%20Standards/Canada/SOIL/rev_soil_summary_tbl_7.0_e.pdf (accessed on 15 December 2021).
- Letter from the Ministry of Natural Resources of the Russian Federation No. 04-25, Roskomzem No. 61-5678 from 27.12.1993. On the Procedure for Determining the Amount of Damage from Land Pollution by Chemical Substances. Available online: http://www.referent.ru/1/6352 (accessed on 15 December 2021).






| Analytical Line | kV/mA | Crystal/Detector | Counting Time, s |
|---|---|---|---|
| Soils (prepared as fused beads) | |||
| NaKα1,2 | 30/80 | OVO-55/GFPC | 60 |
| MgKα1,2 | 30/80 | OVO-55/GFPC | 30 |
| AlKα1,2 | 30/80 | PET/GFPC | 30 |
| SiKα1,2 | 30/80 | PET/GFPC | 15 |
| PKα1,2 | 30/80 | PET/GFPC | 60 |
| KKα1,2 | 30/80 | LiF200/GFPC | 30 |
| CaKα1,2 | 30/80 | LiF200/GFPC | 30 |
| TiKα1,2 | 30/80 | LiF200/GFPC | 30 |
| MnKα1,2 | 50/40 | LiF200/GFPC | 30 |
| FeKα1,2 | 50/40 | LiF200/SC | 15 |
| Pine needles (prepared as pressed pellets) | |||
| NaKα1,2 | 30/60 | OVO-55/GFPC | 30 |
| MgKα1,2 | 30/60 | OVO-55/GFPC | 10 |
| PKα1,2 | 30/60 | PET/GFPC | 10 |
| KKα1,2 | 30/60 | PET/GFPC | 10 |
| SKα1,2 | 30/60 | PET/GFPC | 10 |
| ClKα1,2 | 30/50 | PET/GFPC | 30 |
| CaKα1,2 | 40/50 | LiF200/GFPC | 10 |
| TiKα1,2 | 40/50 | LiF200/GFPC | 20 |
| MnKα1,2 | 50/40 | LiF200/SC | 20 |
| FeKα1,2 | 50/40 | LiF200/SC | 10 |
| ZnKα1,2 | 50/40 | LiF200/SC | 20 |
| BrKα1,2 | 50/40 | LiF200/SC | 30 |
| BaLα1,2 | 40/50 | LiF200/GFPC | 30 |
| Oxide | Calibration Range, wt% | RMS, wt% | LOD, wt% |
|---|---|---|---|
| Na2O | 0.035–9.96 | 0.1 | 0.02 |
| MgO | 0.079–49.59 | 0.2 | 0.02 |
| Al2O3 | 0.19–31.89 | 0.3 | 0.01 |
| SiO2 | 39.58–73.80 | 0.7 | 0.04 |
| P2O5 | 0.01–1.03 | 0.02 | 0.01 |
| K2O | 0.01–18.0 | 0.02 | 0.006 |
| CaO | 0.17–11.40 | 0.3 | 0.002 |
| TiO2 | 0.018–2.73 | 0.03 | 0.009 |
| MnO | 0.009–1.77 | 0.01 | 0.003 |
| Fe2O3 | 0.94–12.30 | 0.2 | 0.005 |
| Element | Calibration Range, µg/g | RMS, µg/g | LOD, µg/g |
|---|---|---|---|
| Na | 44–750 | 80 | 30 |
| Mg | 950–4400 | 170 | 20 |
| Al | 20–3000 | 40 | 10 |
| Si | 65–5500 | 90 | 20 |
| P | 1050–6500 | 310 | 20 |
| K | 4200–24,200 | 1200 | 10 |
| Ca | 540–16,000 | 700 | 20 |
| Ti | 3–59 | 3 | 3 |
| Mn | 7–1240 | 8.8 | 2 |
| Fe | 54–970 | 7 | 10 |
| S | 1000–4200 | 170 | 10 |
| Cl | 450–3600 | 170 | 100 |
| Zn | 23–93.7 | 4.8 | 3 |
| Br | 2.4–9.0 | 3.7 | 2 |
| Ba | 7–230 | 7.8 | 5 |
| Oxide | SP-1 | SP-3 | GSS-6 | ||||||
|---|---|---|---|---|---|---|---|---|---|
| Ccert, wt% | CWDXRF, wt% | Ri, % | Ccert, wt% | CWDXRF, wt% | Ri, % | Ccert, wt% | CWDXRF, wt% | Ri, % | |
| Na2O | 0.80 ± 0.03 | 0.8 ± 0.1 | 100 | 1.16 ± 0.05 | 1.2 ± 0.1 | 103 | 0.19 ± 0.02 | 0.2 ± 0.1 | 105 |
| MgO | 1.02 ± 0.03 | 1.0 ± 0.1 | 98 | 1.95 ± 0.04 | 2.0 ± 0.1 | 103 | 0.34 ± 0.05 | 0.4 ± 0.1 | 118 |
| Al2O3 | 10.37 ± 0.08 | 10.5 ± 0.3 | 101 | 12.61 ± 0.07 | 12.5 ± 0.3 | 99 | 21.23 ± 0.16 | 21.1 ± 0.3 | 99 |
| SiO2 | 69.73 ± 0.21 | 70.8 ± 0.9 | 102 | 65.72 ± 0.08 | 65.9 ± 0.9 | 100 | 56.93 ± 0.18 | 57.1 ± 0.8 | 100 |
| P2O5 | 0.17 ± 0.01 | 0.16 ± 0.01 | 94 | 0.21 ± 0.01 | 0.21 ± 0.01 | 100 | 0.069 ± 0.007 | 0.07 ± 0.01 | 101 |
| K2O | 2.29 ± 0.06 | 2.33 ± 0.02 | 102 | 2.51 ± 0.13 | 2.63 ± 0.02 | 105 | 1.70 ± 0.06 | 1.70 ± 0.03 | 100 |
| CaO | 1.63 ± 0.05 | 1.6 ± 0.1 | 98 | 2.86 ± 0.06 | 2.8 ± 0.1 | 98 | 0.22 ± 0.03 | 0.2 ± 0.1 | 91 |
| TiO2 | 0.75 ± 0.02 | 0.77 ± 0.03 | 103 | 0.73 ± 0.01 | 0.76 ± 0.03 | 104 | 0.73 ± 0.02 | 0.74 ± 0.03 | 101 |
| MnO | 0.077 ± 0.002 | 0.08 ± 0.01 | 104 | 0.092 ± 0.002 | 0.09 ± 0.01 | 98 | 0.19 ± 0.01 | 0.19 ± 0.01 | 100 |
| Fe2O3 | 3.81 ± 0.05 | 4.0 ± 0.1 | 105 | 4.91 ± 0.04 | 5.1 ± 0.1 | 104 | 8.09 ± 0.13 | 8.1 ± 0.2 | 100 |
| INCT-MPH-2 | HSS-1 | |||||
|---|---|---|---|---|---|---|
| Element | Ccert, µg/g | CWDXRF, µg/g | Ri, % | Ccert, µg/g | CWDXRF, µg/g | Ri, % |
| Na | 350 a | 336 ± 42 | 96 | 44 ± 4 | 42 ± 14 | 95 |
| Mg | 2920 ± 180 | 2970 ± 380 | 102 | 1200 ± 200 | 1220 ± 60 | 102 |
| Al | 670 ± 111 | 570 ± 70 | 85 | 190 ± 30 | 197 ± 3 | 104 |
| Si | n/cert b | 4330 ± 210 | n/calc c | 1100 ± 400 | 1110 ± 300 | 101 |
| P | 2500 | 2920 ± 180 | 117 | 1400 ± 200 | 1470 ± 110 | 105 |
| K | 19,100 ± 1200 | 18,800 ± 400 | 98 | 4600 ± 300 | 4820 ± 90 | 105 |
| Ca | 10,800 ± 700 | 11,300 ± 200 | 104 | 4200 ± 200 | 4700 ± 300 | 112 |
| Ti | 34 | 47 ± 10 | 138 | 11 ± 3 | 13 ± 4 | 118 |
| Mn | 191 ± 12 | 179 ± 7 | 94 | 215 ± 12 | 243 ± 24 | 113 |
| Fe | 460 | 476 ± 40 | 103 | 470 ± 60 | 570 ± 70 | 121 |
| S | 2410 ± 140 | 2190 ± 170 | 91 | 1020 ± 100 | 910 ± 100 | 112 |
| Cl | 2840 ± 200 | 2710 ± 173 | 95 | 370 | n/d d | n/calc |
| Br | 7.7 ± 0.6 | 5.2 ± 2.8 | 67 | 1.2 | n/d | n/calc |
| Ba | 32.5 ± 2.5 | 39.0 ± 6.2 | 120 | 4.8 ± 0.4 | 5.5 ± 2.0 | 115 |
| SP-1 | SP-3 | GSS-6 | INCT-MPH-2 | HSS-1 | |||||||||||
|---|---|---|---|---|---|---|---|---|---|---|---|---|---|---|---|
| Ccert, µg/g | CTXRF, µg/g | Ri, % | Ccert, µg/g | CTXRF, µg/g | Ri, % | Ccert, µg/g | CTXRF, µg/g | Ri, % | Ccert, µg/g | CTXRF, µg/g | Ri, % | Ccert, µg/g | CTXRF, µg/g | Ri, % | |
| V | 77 ± 8 | 51 ± 15 | 68 | 110 ± 10 | 88 ± 7.0 | 80 | 130 ± 7 | 51 ± 6.7 | 39 | 0.95 ± 0.16 | n/d a | n/calc b | 0.27 ± 0.04 | n/d | n/calc |
| Cr | 82 ± 5 | 115 ± 19 | 140 | 140 ± 10 | 165 ± 83 | 118 | 75 ± 6 | 116 ± 3 | 154 | 1.70 ± 0.13 | n/d | n/calc | 3.6 ± 0.3 | n/d | n/calc |
| Mn | 596 ± 15 | 624 ± 32 | 105 | 705 ± 15 | 699 ± 28 | 99 | 1470 ± 82 | 1820 ± 56 | 124 | 191 ± 12 | 161 ± 5 | 84 | 215 ± 12 | 267 ± 11 | 124 |
| Ni | 33 ± 3 | 30 ± 2 | 91 | 56 ± 4 | 49 ± 5 | 88 | 53 ± 4 | 51 ± 1 | 96 | 1.60 ± 0.16 | 1.1 ± 0.2 | 70 | 2.0 ± 0.1 | 1.5 ± 0.1 | 75 |
| Cu | 22 ± 1 | 27 ± 3 | 123 | 30 ± 1 | 30 ± 3 | 100 | 390 ± 14 | 445.0 ± 0.1 | 114 | 7.80 ± 0.53 | 8.1 ± 0.7 | 104 | 3.8 ± 0.2 | 3.8 ± 0.3 | 100 |
| Zn | 52 ± 2 | 67 ± 5 | 129 | 73 ± 2 | 82 ± 6 | 112 | 97 ± 6 | 115 ± 3 | 118 | 33.0 ± 2.1 | 29 ± 1 | 87 | 45 ± 3 | 55 ± 0.9 | 124 |
| As | n/cert c | 7 ± 2 | n/calc | n/cert | 9 ± 1 | n/calc | 220 ± 14 | 250 ± 10 | 114 | n/cert | n/d | n/calc | (0.2) | n/d | n/calc |
| Br | n/cert | 12 ± 3 | n/calc | n/cert | 14 ± 4 | n/calc | 8.0 ± 0.7 | 8.6 ± 0.4 | 108 | 7.7 ± 0.6 | n/d | n/calc | (1.2) | n/d | n/calc |
| Rb | 84 ± 15 | 103 ± 13 | 123 | 85 ± 5 | 90 ± 7 | 106 | 237 ± 8 | 263 ± 5 | 111 | 11.0 ± 0.7 | 10 ± 1 | 94 | 2.3 ± 0.2 | 2.3 ± 0.1 | 99 |
| Sr | 130 ± 20 | 107 ± 9 | 82 | 160 ± 3 | 120 ± 4 | 75 | 39 ± 4 | 46 ± 2 | 119 | 38.0 ± 2.7 | 38 ± 2 | 100 | 11 ± 1 | 15 ± 0.04 | 136 |
| Y | 39a | 35 ± 22 | 90 | 28 ± 2 | 26 ± 10 | 93 | 19 ± 2 | 14 ± 4 | 74 | n/cert | n/d | n/calc | 0.067 ± 0.005 | n/d | n/calc |
| W | n/cert | n/d | n/calc | n/cert | n/d | n/calc | 90 ± 7 | 94 ± 3.2 | 105 | n/cert | n/d | n/calc | n/cert | n/d | n/calc |
| Ba | 430 ± 70 | 440 ± 120 | 103 | 470 ± 60 | 256 ± 45 | 54 | 118 ± 4 | n/d | n/calc | 33.0 ± 2.5 | 26 ± 10 | 79 | 4.8 ± 0.4 | n/d | n/calc |
| Pb | 16 ± 3 | 20 ± 4 | 125 | 16 ± 3 | 14 ± 1 | 88 | 314 ± 13 | 389 ± 26 | 124 | 2.2 ± 0.2 | 2.1 ± 0.9 | 95 | 0.38 ± 0.05 | n/d | n/calc |
Publisher’s Note: MDPI stays neutral with regard to jurisdictional claims in published maps and institutional affiliations. |
© 2022 by the authors. Licensee MDPI, Basel, Switzerland. This article is an open access article distributed under the terms and conditions of the Creative Commons Attribution (CC BY) license (https://creativecommons.org/licenses/by/4.0/).
Share and Cite
Chubarov, V.; Cherkashina, T.; Maltsev, A.; Chuparina, E.; Amosova, A.; Prosekin, S. Investigation of Soils and Pine Needles Using WDXRF and TXRF Techniques for Assessment of the Environmental Pollution of Shelekhov District, Eastern Siberia, by the Aluminum Industry and Heat Power Engineering. Agronomy 2022, 12, 454. https://doi.org/10.3390/agronomy12020454
Chubarov V, Cherkashina T, Maltsev A, Chuparina E, Amosova A, Prosekin S. Investigation of Soils and Pine Needles Using WDXRF and TXRF Techniques for Assessment of the Environmental Pollution of Shelekhov District, Eastern Siberia, by the Aluminum Industry and Heat Power Engineering. Agronomy. 2022; 12(2):454. https://doi.org/10.3390/agronomy12020454
Chicago/Turabian StyleChubarov, Victor, Tatiana Cherkashina, Artem Maltsev, Elena Chuparina, Alena Amosova, and Sergey Prosekin. 2022. "Investigation of Soils and Pine Needles Using WDXRF and TXRF Techniques for Assessment of the Environmental Pollution of Shelekhov District, Eastern Siberia, by the Aluminum Industry and Heat Power Engineering" Agronomy 12, no. 2: 454. https://doi.org/10.3390/agronomy12020454
APA StyleChubarov, V., Cherkashina, T., Maltsev, A., Chuparina, E., Amosova, A., & Prosekin, S. (2022). Investigation of Soils and Pine Needles Using WDXRF and TXRF Techniques for Assessment of the Environmental Pollution of Shelekhov District, Eastern Siberia, by the Aluminum Industry and Heat Power Engineering. Agronomy, 12(2), 454. https://doi.org/10.3390/agronomy12020454

