Wax Extracted from Waste Cauliflower Leaves Shows Potential Antitranspirant Efficacy When Applied to Rapeseed Plants
Abstract
:1. Introduction
- To extract wax using supercritical CO2 from cauliflower (Brassica oleracea L.) leaf waste and to formulate the wax for spraying as a film antitranspirant.
- To evaluate the efficacy of this wax formulation in comparison with a current commercial film antitranspirant (di-1-p-menthene) for reducing stomatal conductance and water use of young glasshouse-grown plants of rapeseed (Brassica napus L.) in three experiments.
- To compare the cost of the extracted wax with the cost of di-1-p-menthene.
2. Materials and Methods
2.1. Supercritical CO2 Extraction of Wax and Its Characterization
2.2. Plant Material and Experimental Design
2.3. Water Management and Treatment Application
2.4. Physiological Assessments
2.5. Statistical Analysis
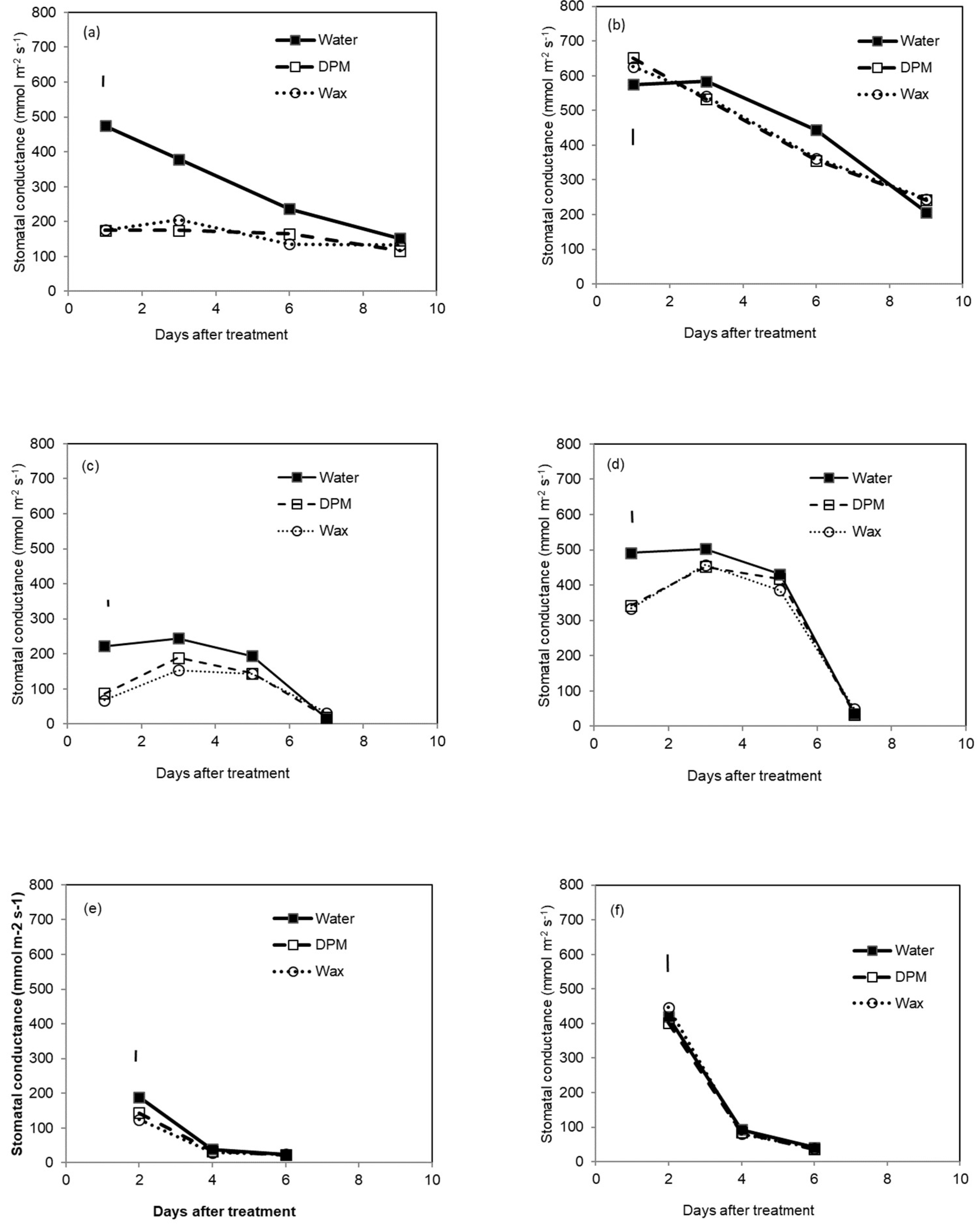
3. Results
4. Discussion
- Another plant component co-extracted with the wax may have had antitranspirant activity, e.g., if abscisic acid was co-extracted, as this hormone is a metabolic antitranspirant [3].
Author Contributions
Funding
Institutional Review Board Statement
Informed Consent Statement
Data Availability Statement
Acknowledgments
Conflicts of Interest
References
- Farooq, M.; Hussain, M.; Ul-Allah, S.; Siddique, K.H.M. Physiological and agronomic approaches for improving water-use efficiency in crop plants. Agric. Water Manag. 2019, 219, 95–108. [Google Scholar] [CrossRef]
- Jovanovic, N.; Pereira, L.S.; Paredes, P.; Pôças, I.; Cantore, V.; Todorovic, M. A review of strategies, methods and technologies to reduce non-beneficial consumptive water use on farms considering the FAO56 methods. Agric. Water Manag. 2020, 239, 106267. [Google Scholar] [CrossRef]
- Mphande, W.; Kettlewell, P.S.; Grove, I.G.; Farrell, A.D. The potential of antitranspirants in drought management of arable crops: A review. Agric. Water Manag. 2020, 236, 106143. [Google Scholar] [CrossRef]
- Abdullah, A.S.; Aziz, M.M.; Siddique, K.H.M.; Flower, K.C. Film antitranspirants increase yield in drought-stressed wheat plants by maintaining high grain number. Agric. Water Manag. 2015, 159, 11–18. [Google Scholar] [CrossRef]
- Weerasinghe, M.M.; Kettlewell, P.S.; Grove, I.G.; Hare, M.C. Evidence for improved pollen viability as the mechanism for film antitranspirant mitigation of drought damage to wheat yield. Crop Pasture Sci. 2016, 67, 137–146. [Google Scholar] [CrossRef] [Green Version]
- Faralli, M.; Grove, I.G.; Hare, M.C.; Kettlewell, P.S. In-field film antitranspirant application shows potential yield protection from flowering stage drought periods in winter canola Brassica napus L. Crop Pasture Sci. 2017, 68, 243–253. [Google Scholar] [CrossRef]
- Palliotti, A.; Panara, F.; Famiani, F.; Sabbatini, P.; Howell, G.S.; Silvestroni, O.; Poni, S. Postveraison application of antitranspirant di-1-p-menthene to control sugar accumulation in Sangiovese grapevines. Am. J. Enol Vitic 2013, 64, 378–385. [Google Scholar] [CrossRef] [Green Version]
- Di Vaio, C.; Marallo, N.; Di Lorenzo, R.; Pisciotta, A. Anti-transpirant effects on vine physiology, berry and wine composition of cv. Aglianico (Vitis vinifera L.) grown in South Italy. Agronomy 2019, 9, 244. [Google Scholar] [CrossRef] [Green Version]
- Tassone, E.E.; Lipka, A.E.; Tomasi, P.; Lohrey, G.T.; Qian, W.; Dyer, J.M.; Gore, M.A.; Jenks, M.A. Chemical variation for leaf cuticular waxes and their levels revealed in a diverse panel of Brassica napus L. Ind. Crop. Prod. 2016, 79, 77–83. [Google Scholar] [CrossRef]
- Xue, D.; Zhang, X.; Lu, X.; Chen, G.; Chen, Z.H. Molecular and evolutionary mechanisms of cuticular wax for plant drought tolerance. Front. Plant Sci. 2017, 8, 621. [Google Scholar] [CrossRef] [PubMed]
- RHS John Innes potting compost. Available online: https://www.rhs.org.uk/soil-composts-mulches/john-innes-compost (accessed on 5 January 2022).
- Saeed, H. Investigation of Partial Rootzone Drying in Potatoes Solanum tuberosum L. Ph.D. Thesis, Harper Adams University, Newport, Shropshire, UK, 2008. Available online: https://ethos.bl.uk/OrderDetails.do?uin=uk.bl.ethos.492006 (accessed on 26 January 2021).
- Baker, E.A. The influence of environment on leaf wax development in Brassica oleracea var. Gemmieera. New Phytol. 1974, 73, 955–966. [Google Scholar] [CrossRef]
- Laila, R.; Robin, A.H.K.; Yang, K.; Park, J.; Suh, M.C.; Kim, J.; Nou, I. Developmental and genotypic variation in leaf wax content and composition, and in expression of wax biosynthetic genes in Brassica oleracea var. capitate. Front. Plant Sci. 2017, 7, 1972. [Google Scholar] [CrossRef] [PubMed] [Green Version]
- Major, D.J. Stomatal frequency and distribution in rape. Can. J. Plant Sci. 1975, 55, 1077–1078. [Google Scholar] [CrossRef]
- Faralli, M.; Grove, I.G.; Hare, M.C.; Boyle, R.D.; Williams, K.S.; Corke, F.M.; Kettlewell, P.S. Canopy application of film antitranspirants over the reproductive phase enhances yield and yield-related physiological traits of water-stressed oilseed rape (Brassica napus). Crop Pasture Sci. 2016, 67, 751–765. [Google Scholar] [CrossRef]
- Ticha, I. Photosynthetic characteristics during ontogenesis of leaves. VII: Stomata density and sizes. Photosynthetica 1982, 16, 375–471. [Google Scholar]
- Jones, H.G. Plants and Microclimate, 2nd ed.; Cambridge University Press: Cambridge, UK, 1992. [Google Scholar]
- Xiang, J.; Hare, M.; Vickers, L.; Kettlewell, P.S. Estimation of film antitranspirant spray coverage on rapeseed (Brassica napus L.) leaves using titanium dioxide. Crop Prot. 2021, 142, 105531. [Google Scholar] [CrossRef]
- Davies, W.J.; Kozlowski, T.T. Short- and long-term effects of antitranspirants on water relations and photosynthesis of woody plants. J. Am. Soc. Hortic. Sci. 1974, 99, 207–304. [Google Scholar]
- Anderson, J.E.; Kreith, F. Effects of film-forming and silicone antitranspirants on four herbaceous plant species. Plant Soil 1978, 49, 161–173. [Google Scholar] [CrossRef]
- Shanan, N.T.; Shalaby, E.A. Influence of some chemical compounds as antitranspirant agents on vase life of Monstera deliciosa leaves. Afr. J. Agric. Res. 2011, 6, 132–139. [Google Scholar]
- Palis, R.K. Effect of Some Antitranspiration Chemicals on Photosynthesis and Respiration of Corn and Soybean Seedlings. Ph.D. Thesis, Kansas State University, Manhattan, KS, USA, 1970. Available online: https://krex.k-state.edu/dspace/bitstream/handle/2097/10161/LD2668T41970P348.pdf?sequence=1 (accessed on 8 December 2020).
- SeedRanch Millers Vapor Gard Anti-Transpirant Concentrate—1 Gallon. Available online: https://www.seedranch.com/Millers-Vapor-Gard-Concentrate-1-Gallon-p/vapor-gard-gallon.htm (accessed on 5 January 2022).




Publisher’s Note: MDPI stays neutral with regard to jurisdictional claims in published maps and institutional affiliations. |
© 2022 by the authors. Licensee MDPI, Basel, Switzerland. This article is an open access article distributed under the terms and conditions of the Creative Commons Attribution (CC BY) license (https://creativecommons.org/licenses/by/4.0/).
Share and Cite
Faralli, M.; Weerasinghe, M.; Leung, G.-S.; Marriott, R.; Miles, M.; Kettlewell, P. Wax Extracted from Waste Cauliflower Leaves Shows Potential Antitranspirant Efficacy When Applied to Rapeseed Plants. Agronomy 2022, 12, 455. https://doi.org/10.3390/agronomy12020455
Faralli M, Weerasinghe M, Leung G-S, Marriott R, Miles M, Kettlewell P. Wax Extracted from Waste Cauliflower Leaves Shows Potential Antitranspirant Efficacy When Applied to Rapeseed Plants. Agronomy. 2022; 12(2):455. https://doi.org/10.3390/agronomy12020455
Chicago/Turabian StyleFaralli, Michele, Minuka Weerasinghe, Gee-Sian Leung, Ray Marriott, Melville Miles, and Peter Kettlewell. 2022. "Wax Extracted from Waste Cauliflower Leaves Shows Potential Antitranspirant Efficacy When Applied to Rapeseed Plants" Agronomy 12, no. 2: 455. https://doi.org/10.3390/agronomy12020455
APA StyleFaralli, M., Weerasinghe, M., Leung, G.-S., Marriott, R., Miles, M., & Kettlewell, P. (2022). Wax Extracted from Waste Cauliflower Leaves Shows Potential Antitranspirant Efficacy When Applied to Rapeseed Plants. Agronomy, 12(2), 455. https://doi.org/10.3390/agronomy12020455

