The Effects of Winter Cover Crops on Maize Yield and Crop Performance in Semiarid Conditions—Artificial Neural Network Approach
Abstract
1. Introduction
2. Materials and Methods
2.1. Experimental Site Description—Location, Climate and Soil Characteristics
Weather Conditions during the Research Period
2.2. Experimental Design
2.3. Measurements and Analytical Determination
2.4. ANN Modelling
2.5. Global Sensitivity Analysis
2.6. Error Analysis
2.7. Multi-Objective Optimization
3. Results
3.1. Dry Matter Yield of Cover Crops
3.2. ANN Model
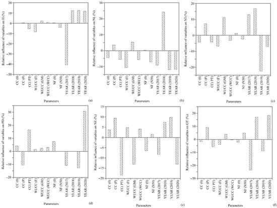
3.3. Global Sensitivity Analysis—Yoon’s Interpretation Method
3.4. Multi-Objective Optimization (MOO) of the Outputs of ANN
4. Discussion
5. Conclusions
Author Contributions
Funding
Institutional Review Board Statement
Informed Consent Statement
Data Availability Statement
Acknowledgments
Conflicts of Interest
References
- Foley, A.; Ramankutty, N.; Brauman, A.; Cassidy, S.; Gerber, S.; Johnston, M.; Mueller, N.D.; O’Connell, C.; Ray, D.K.; West, P.C.; et al. Solutions for a cultivated planet. Nature 2011, 478, 337–342. [Google Scholar] [CrossRef] [PubMed]
- Wittwer, A.; Dorn, B.; Jossi, W.; van der Heijden, M.G. Cover crops support ecological intensification of arable cropping systems. Sci. Rep. 2017, 7, 41911. [Google Scholar] [CrossRef]
- Obalum, S.E.; Chibuike, G.U.; Peth, S.; Ouyang, Y. Soil organic matter as sole indicator of soil degradation. Environ. Monit. Assess. 2017, 189, 176. [Google Scholar] [CrossRef] [PubMed]
- Schrama, M.; De Haan, J.J.; Kroonen, M.; Verstegen, H.; Van der Putten, W.H. Crop yield gap and stability in organic and conventional farming systems. Agric. Ecosyst. Environ. 2018, 256, 123–130. [Google Scholar] [CrossRef]
- Ličina, V.; Nešić, L.; Belić, M.; Hadžić, V.; Sekulić, P.; Vasin, J.; Ninkov, J. The soils of Serbia and their degradation. Ratar. I Povrt. Field Veg. Crops Res. 2011, 48, 285–290. [Google Scholar] [CrossRef]
- Šeremešić, S.; Ćirić, V.; Milošev, D.; Vasin, J.; Djalovic, I. Changes in soil carbon stock under the wheat-based cropping systems at Vojvodina province of Serbia. Arch. Agron. Soil Sci. 2017, 63, 388–402. [Google Scholar] [CrossRef]
- Grujić, G.; Vasin, J.; Belić, M. Soil salinisation in Vojvodina-the Republic of Serbia. Curr. Opin. Environ. Sustain. 2021, 50, 149–158. [Google Scholar] [CrossRef]
- Ćupina, B.; Manojlović, M.; Krstić, D.; Čabilovski, R.; Mikić, A.; Ignjatović-Ćupina, A.; Erić, P. Effect of winter cover crops on the dynamics of soil mineral nitrogen and yield and quality of Sudan grass (Sorghum bicolor (L.) Moench). Aust. J. Crop Sci. 2011, 5, 839–845. [Google Scholar]
- Ćupina, B.; Erić, P.; Mihailović, V.M.; Mikić, A.M. The importance and role of cover crops in sustainable agriculture. Zb. Rad. Inst. Za Ratar. I Povrt. 2004, 40, 419–430. [Google Scholar]
- Blanco-Canqui, H. Cover crops and water quality. Agron. J. 2018, 110, 1633–1647. [Google Scholar] [CrossRef]
- Ruffo, M.; Bullock, D.; Bollero, G. Soybean yield as affected by biomass and nitrogen uptake of cereal rye in winter cover crop rotations. Agron. J. 2004, 96, 800–805. [Google Scholar] [CrossRef]
- Clark, A. Managing Cover Crops Profitably; DIANE Publishing: Collingdale, PA, USA, 2008. [Google Scholar]
- Blanco-Canqui, H.; Shaver, M.; Lindquist, L.; Shapiro, A.; Elmore, W.; Francis, A.; Hergert, W. Cover crops and ecosystem services: Insights from studies in temperate soils. Agron. J. 2015, 107, 2449–2474. [Google Scholar] [CrossRef]
- Yang, H.; Niu, J.; Tao, J.; Gu, Y.; Zhang, C.; She, S.; Yin, H. The Impacts of Different Green Manure on Soil Microbial Communities and Crop Health. Preprints 2016. [Google Scholar] [CrossRef]
- Marcillo, G.; Miguez, F. Corn yield response to winter cover crops: An updated meta-analysis. J. Soil Water Conserv. 2017, 72, 226–239. [Google Scholar] [CrossRef]
- Klonsky, K. Comparison of production costs and resource use for organic and conventional production systems. Am. J. Agric. Econ. 2012, 94, 314–321. [Google Scholar] [CrossRef]
- Bedoussac, L.; Journet, E.P.; Hauggaard-Nielsen, H.; Naudin, C.; Corre-Hellou, G.; Jensen, E.S.; Justes, E. Ecological principles underlying the increase of productivity achieved by cereal-grain legume intercrops in organic farming. A review. Agron. Sustain. Dev. 2015, 35, 911–935. [Google Scholar] [CrossRef]
- Blesh, J. Functional traits in cover crop mixtures: Biological nitrogen fixation and multifunctionality. J. Appl. Ecol. 2018, 55, 38–48. [Google Scholar] [CrossRef]
- Gabriel, J.L.; Munoz-Carpena, R.; Quemada, M. The role of cover cropsin irrigated systems: Water balance, nitrate leaching and soil mineral nitrogen accumulation. Agric. Ecosyst. Environ. 2012, 155, 50–61. [Google Scholar] [CrossRef]
- Shah, S.; Hookway, S.; Pullen, H.; Clarke, T.; Wilkinson, S.; Reeve, V.; Fletcher, J. The role of cover crops in reducing nitrate leaching and increasing soil organic matter. Asp. Appl. Biol. 2017, 134, 243–251. [Google Scholar]
- Kaspar, C.; Radke, K.; Laflen, M. Small grain cover crops and wheel traffic effects on infiltration, runoff, and erosion. J. Soil Water Conserv. 2001, 56, 160–164. [Google Scholar]
- Mazzoncini, M.; Sapkota, B.; Barberi, P.; Antichi, D.; Risaliti, R. Long-term effect of tillage, nitrogen fertilization and cover crops on soil organic carbon and total nitrogen content. Soil Tillage Res. 2011, 114, 165–174. [Google Scholar] [CrossRef]
- McDaniel, D.; Tiemann, K.; Grandy, S. Does agricultural crop diversity enhance soil microbial biomass and organic matter dynamics? A meta-analysis. Ecol. Appl. 2014, 24, 560–570. [Google Scholar] [CrossRef]
- Blanco-Canqui, H.; Jasa, P.J. Do grass and legume cover crops improve soil properties in the long term? Soil Sci. Soc. Am. J. 2019, 83, 1181–1187. [Google Scholar] [CrossRef]
- Lehman, M.; Ducey, T.; Jin, V.; Acosta-Martinez, V.; Ahlschwede, C.; Jeske, E.; Drijber, R.A.; Cantrell, K.B.; Frederick, J.R.; Fink, D.; et al. Soil microbial community response to corn stover harvesting under rain-fed, no-till conditions at multiple US locations. BioEnergy Res. 2014, 7, 540–550. [Google Scholar] [CrossRef]
- Golawski, A.; Kasprzykowski, Z.; Jobda, M.; Duer, I. The importance of winter catch crops compared with other farmland habitats to birds wintering in Poland. Pol. J. Ecol. 2013, 61, 357–364. [Google Scholar]
- Ugrenović, V.; Filipović, V. Cover crops: Achievement of sustainability in the ecological systems of agriculture. In Sustainable Entrepreneurship and Investments in the Green Economy; Vasile, A.J., Nicolò, D., Eds.; IGI Global: Hershey, PA, USA, 2017; pp. 257–281. [Google Scholar]
- Daničić, M.; Pejić, B.; Mačkić, K.; Lalić, B.; Maksimović, I.; Putnik-Delić, M. The predicted impact of climate change on maize production in Northern Serbia. Maydica 2020, 65, 1–10. Available online: https://journals-crea.4science.it/index.php/maydica/article/view/2218 (accessed on 29 September 2021).
- Nielsen, D.C.; Lyon, D.J.; Hergert, G.W.; Higgins, R.K.; Calderón, F.J.; Vigil, M.F. Cover crop mixtures do not use water differently than single-species plantings. Agron. J. 2015, 107, 1025–1038. [Google Scholar] [CrossRef]
- Ćupina, B.; Vujić, S.; Krstić, Đ.; Djurić, B.; Aliu, S.; Manojlović, M.; Čabilovski, R.; Lombnaes, P. Performance of legume–grass mixtures in the West Balkan region. Acta Agric. Scand. Sect. B—Soil Plant Sci. 2017, 67, 1–11. [Google Scholar] [CrossRef]
- Ketterings, Q.M.; Swink, S.N.; Duiker, S.W.; Czymmek, K.J.; Beegle, D.B.; Cox, W.J. Integrating cover crops for nitrogen management in corn systems on northeastern US dairies. Agron. J. 2015, 107, 1365–1376. [Google Scholar] [CrossRef]
- Ćupina, B.; Vujić, S.; Krstić, D.; Radanović, Z.; Čabilovski, R.; Manojlović, M.; Latković, D. Winter cover crops as green manure in a temperate region: The effect on nitrogen budget and yield of silage maize. Crop Pasture Sci. 2017, 68, 1060–1069. [Google Scholar] [CrossRef]
- Florentín, A.; Peñalva, M.; Calegari, A.; Derpsch, R. Green manure/cover crops and crop rotation in conservation agriculture on small farms. In Integrated Crop Management; Food and Agriculture Organization: Rome, Italy, 2011; Volume 12-2010, pp. 1–97. Available online: http://www.fao.org/fileadmin/user_upload/agp/icm12.pdf (accessed on 26 May 2021).
- Baddeley, J.A.; Pappa, V.A.; Pristeri, A.; Bergkvist, G.; Monti, M.; Reckling, M.; Schläfke, N.; Watson, C.A. Legume-based green manure crops. In Legumes in Cropping Systems; Murphy-Bokern, D., Stoddard, F.L., Watson, C.A., Eds.; CABI International: Wallingford, UK, 2017; pp. 125–138. [Google Scholar] [CrossRef]
- Thorup-Kristensen, K.; Magid, J.; Jensen, L.S. Catch crops and green manures as biological tools in nitrogen management in temperate zones. Adv. Agron. 2003, 79, 227–302. [Google Scholar]
- Diekow, J.; Mielniczuk, J.; Knicker, H.; Bayer, C.; Dick, D.P.; Kogel-Knabner, I. Soil C and N stocks as affected by cropping systems and nitrogen fertilization in a Southern Brazil Acrisol managed under no-tillage for 17 years. Soil Tillage Res. 2005, 81, 87–95. [Google Scholar] [CrossRef]
- Kramberger, B.; Gselman, A.; Janzekovic, M.; Kaligaric, M.; Bracko, B. Effects of cover crops on soil mineral nitrogen and on the yield and nitrogen content of maize. Eur. J. Agron. 2009, 31, 103–109. [Google Scholar] [CrossRef]
- Vojnov, B.; Ćupina, B.; Krstić, D.; Vujić, S.; Babec, B.; Vasiljević, S.; Šeremešić, S. Doprinos međuuseva poboljšanju kvaliteta zemljišta u sistemima organske poljoprivrede. Ann. Agron. 2020, 44, 1–10. [Google Scholar]
- Voća, N.; Pezo, L.; Peter, A.; Šuput, D.; Loncar, B.; Kricka, T. Modelling of corn kernel pre-treatment, drying and processing for ethanol production using artificial neural networks. Ind. Crops Prod. 2021, 162, 113293. [Google Scholar] [CrossRef]
- Zhang, C.; Di, L.; Hao, P.; Yang, Z.; Lin, L.; Zhao, H.; Guo, L. Rapid in-season mapping of corn and soybeans using machine-learned trusted pixels from Cropland Data Layer. Int. J. Appl. Earth Obs. 2021, 102, 102374. [Google Scholar] [CrossRef]
- Javanmardi, S.; Ashtiani, S.H.M.; Verbeek, F.J.; Martynenko, A. Computer-vision classification of corn seed varieties using deep convolutional neural network. J. Stored Prod. Res. 2021, 92, 101800. [Google Scholar] [CrossRef]
- Zhang, J.J.; Ma, Q.; Cui, X.; Guo, H.; Wang, K.; Zhu, D.H. High-throughput corn ear screening method based on two-pathway convolutional neural network. Comput. Electron. Agric. 2020, 175, 105525. [Google Scholar] [CrossRef]
- Chouaibi, M.; Daoued, K.B.; Riguane, K.; Rouissi, T.; Ferrari, G. Production of bioethanol from pumpkin peel wastes: Comparison between response surface methodology (RSM) and artificial neural networks (ANN). Ind. Crops Prod. 2020, 155, 112822. [Google Scholar] [CrossRef]
- Silitonga, A.S.; Mahlia, T.M.I.; Shamsuddin, A.H.; Ong, H.C.; Milano, J.; Kusumo, F.; Sebayang, A.H.; Dharma, S.; Ibrahim, H.; Husin, H.; et al. Optimization of Cerbera manghas biodiesel production using artificial neural networks integrated with ant colony optimization. Energies 2019, 12, 3811. [Google Scholar] [CrossRef]
- Kojić, J.S.; Ilić, N.M.; Kojić, P.S.; Pezo, L.L.; Banjac, V.V.; Krulj, J.A.; Solarov, M.I.B. Multiobjective process optimization for betaine enriched spelt flour based extrudates. J. Food Process Eng. 2018, 42, e12942. [Google Scholar] [CrossRef]
- Silitonga, A.S.; Masjuki, H.H.; Ong, H.C.; Sebayang, A.H.; Dharma, S.; Kusumo, F.; Siswantoro, J.; Milano, J.; Daud, K.; Mahlia, T.M.I.; et al. Evaluation of the engine performance and exhaust emissions of biodiesel-bioethanol-diesel blends using kernel-based extreme learning machine. Energy 2018, 159, 1075–1087. [Google Scholar] [CrossRef]
- Simakov, V.N.; Tsyplenkov, V.P. Procedures for the simultaneous determination of carbon, nitrogen, and oxidation degree in soil. Agrokhimiya 1969, 6, 127–134. [Google Scholar]
- Bremner, J.M. Nitrogen availability indexes. In Methods of Soil Analysis. Part 2.; Black, C.A., Ed.; American Society of Agronomy: Madison, WI, USA, 1965; pp. 1324–1345. [Google Scholar]
- Enger, H.; Riehm, H.; Domingo, W.R. Untersuchungen über die shemische bodenanalyse als grundlage für die beurteilung des nährstoffzustandes der böden. II Chemische extrationsmethoden zur phosphur- und kaliumbestimmung. Kungl. Lantbr. Högsk. Ann. 1960, 26, 199–215. [Google Scholar]
- Bakhshipour, A.; Zare, D. A generalized artificial neural network model for deep-bed drying of paddy. Agric. Eng. 2017, 20, 05. [Google Scholar] [CrossRef]
- Hosseinizand, H.; Sokhansanj, S.; Lim, C.J. Studying the drying mechanism of microalgae Chlorella vulgaris and the optimum drying temperature to preserve quality characteristics. Dry. Technol. 2018, 36, 1049–1060. [Google Scholar] [CrossRef]
- Oliveira, S.M.; Brandão, T.R.S.; Silva, C.L.M. Influence of drying processes and pretreatments on nutritional and bioactive characteristics of dried vegetables: A review. Food Eng. Rev. 2016, 8, 134–163. [Google Scholar] [CrossRef]
- Turanyi, T.; Tomlin, A.S. Analysis of Kinetics Reaction Mechanisms; Springer: Berlin/Heidelberg, Germany, 2014. [Google Scholar]
- Pezo, L.; Curcic, B.; Filipovic, V.; Nicetin, M.; Koprivica, G.; Misljenovic, N.; Levic, L. Artificial neural network model of pork meat cubes osmotic dehydration. Hem. Ind. 2013, 67, 465–475. [Google Scholar] [CrossRef]
- Helgadóttir, Á.; Suter, M.; Gylfadóttir, T.Ó.; Kristjánsdóttir, T.A.; Lüscher, A. Grass–legume mixtures sustain strong yield advantage over monocultures under cool maritime growing conditions over a period of 5 years. Ann. Bot. 2018, 122, 337–348. [Google Scholar] [CrossRef]
- Anwar, Z.; Gulfraz, M.; Irshad, M. Agro-industrial lignocellulosic biomass a key to unlock the future bio-energy: A brief review. J. Radiat. Res. Appl. Sci. 2014, 7, 163–173. [Google Scholar] [CrossRef]
- Dakanalis, A.; Carrà, G.; Calogero, R.; Fida, R.; Clerici, M.; Zanetti, M.A.; Riva, G. The developmental effects of media-ideal internalization and self-objectification processes on adolescents’ negative body-feelings, dietary restraint, and binge eating. Eur. Child Adolesc. Psychiatry 2015, 24, 997–1010. [Google Scholar] [CrossRef] [PubMed]
- Adiredjo, A.L.; Navaud, O.; Muños, S.; Langlade, N.B.; Lamaze, T.; Grieu, P. Genetic control of water use efficiency and leaf carbon isotope discrimination in sunflower (Helianthus annuus L.) subjected to two drought scenarios. PLoS ONE 2014, 9, e101218. [Google Scholar] [CrossRef] [PubMed]
- Kollo, T.; Von Rosen, D. Advanced Multivariate Statistics with Matrices; Springer: Dordrecht, The Netherlands, 2005. [Google Scholar]
- Trelea, I.C.; Raoult-Wack, A.L.; Trystram, G. Application of neural network modelling for the control of dewatering and impregnation soaking process (osmotic dehydration). Food Sci. Technol. Int. 1997, 3, 459–465. [Google Scholar] [CrossRef]
- Mohieddin, J.; Yinyin, W.; Ali, A.; Jing, T. Unsupervised Learning and Multipartite Network Models: A Promising Approach for Understanding Traditional Medicine. Front. Pharmacol. 2020, 11, 1319. [Google Scholar] [CrossRef]
- Basheer, I.A.; Hajmeer, M. Artificial neural networks: Fundamentals, computing, design, and application. J. Microbiol. Meth. 2000, 43, 3–31. [Google Scholar] [CrossRef]
- Yoon, Y.; Swales, G.; Margavio, T.M. A Comparison of Discriminant Analysis versus Artificial Neural Networks. J. Oper. Res. Soc. 2017, 44, 51–60. [Google Scholar] [CrossRef]
- Arsenovic, M.; Pezo, L.; Stankovic, S.; Radojevic, Z. Factor space differentiation of brick clays according to mineral content: Prediction of final brick product quality. Appl. Clay Sci. 2015, 115, 108–114. [Google Scholar] [CrossRef]
- Goldberg, D.E. Genetic Algorithms in Search, Optimization and Machine Learning, 1st ed.; Addison-Wesley Longman Publishing Co., Inc.: Boston, MA, USA, 1989. [Google Scholar]
- Wang, S.; Chen, G.; Yang, Y.; Zeng, Z.; Hu, Y.; Zang, H. Sowing ratio determines forage yields and economic benefits of oat and common vetch intercropping. Agron. J. 2021, 113, 2607–2617. [Google Scholar] [CrossRef]
- Thapa, R.; Poffenbarger, H.; Tully, K.L.; Ackroyd, V.J.; Kramer, M.; Mirsky, S.B. Biomass production and nitrogen accumulation by hairy vetch–cereal rye mixtures: A meta-analysis. Agron. J. 2018, 110, 1197–1208. [Google Scholar] [CrossRef]
- Haruna, S.I.; Anderson, S.H.; Udawatta, R.P.; Gantzer, C.J.; Phillips, N.C.; Cui, S.; Gao, Y. 2020. Improving soil physical properties through the use of cover crops: A review. Agrosystems Geosci. Environ. 2020, 3, e20105. [Google Scholar] [CrossRef]
- Chen, G.; Weil, R.R. Root growth and yield of maize as affected by soil compaction and cover crops. Soil Tillage Res. 2011, 117, 17–27. [Google Scholar] [CrossRef]
- Mahama, G.Y.; Prasad, P.V.; Roozeboom, K.L.; Nippert, J.B.; Rice, C.W. Response of maize to cover crops, fertilizer nitrogen rates, and economic return. Agron. J. 2016, 108, 17–31. [Google Scholar] [CrossRef]
- Meyer, N.; Bergez, J.E.; Justes, E.; Constantin, J. Influence of cover crop on water and nitrogen balances and cash crop yield in a temperate climate: A modelling approach using the STICS soil-crop model. Eur. J. Agron. 2022, 132, 126416. [Google Scholar] [CrossRef]
- Khoshnevisan, B.; Rafiee, S.; Omid, M.; Mousazadeh, H. Development of an intelligent system based on ANFIS for predicting wheat grain yield on the basis of energy inputs. Inf. Process. Agric. 2014, 1, 14–22. [Google Scholar] [CrossRef]
- Krulj, J.; Markov, S.; Bočarov-Stančić, A.; Pezo, L.; Kojić, J.; Ćurčić, N.; Janić-Hajnal, E.; Bodroža-Solarov, M. The effect of storage temperature and water activity on aflatoxin B1 accumulation in hull-less and hulled spelt grains. J. Sci. Food Agric. 2019, 99, 3703–3710. [Google Scholar] [CrossRef] [PubMed]
- Rupp, D.E.; Schmidt, J.; Woods, R.A.; Bidwell, V.J. Analytical assessment and parameter estimation of a low-dimensional groundwater model. J. Hydrol. 2009, 377, 143–154. [Google Scholar] [CrossRef]
- Šovljanski, O.; Tomić, A.; Pezo, L.; Ranitović, A.; Markov, S. Prediction of denitrification capacity of alkalotolerant bacterial isolates from soil—An artificial neural network model. J. Serb. Chem. Soc. 2020, 85, 1417–1427. [Google Scholar] [CrossRef]
- Krstić, Đ.; Vujić, S.; Jaćimović, G.; D’Ottavio, P.; Radanović, Z.; Erić, P.; Ćupina, B. The effect of cover crops on soil water balance in rain-fed conditions. Atmosphere 2018, 9, 492. [Google Scholar] [CrossRef]
- Li, J.; Xie, R.Z.; Wang, K.R.; Ming, B.; Guo, Y.Q.; Zhang, G.Q.; Li, S.K. Variations in maize dry matter, harvest index, and grain yield with plant density. Agron. J. 2015, 107, 829–834. [Google Scholar] [CrossRef]
- Assefa, Y.; Carter, P.; Hinds, M.; Bhalla, G.; Schon, R.; Jeschke, M.; Paszkiewicz, S.; Smith, S.; Ciampitti, I.A. Analysis of long term study indicates both agronomic optimal plant density and increase maize yield per plant contributed to yield gain. Sci. Rep. 2018, 8, 4937. [Google Scholar] [CrossRef]
- Bekavac, G.; Purar, B.; Jocković, Đ.; Stojaković, M.; Ivanović, M.; Malidža, G.; Đalović, I. Proizvodnja kukuruza u uslovima globalnih klimatskih promena. Ratar. I Povrt. 2010, 47, 443–450. [Google Scholar]
- Vujić, S.; Krstić, D.; Mačkić, K.; Čabilovski, R.; Radanović, Z.; Zhan, A.; Ćupina, B. Effect of winter cover crops on water soil storage, total forage production, and quality of silage corn. Eur. J. Agron. 2021, 130, 126366. [Google Scholar] [CrossRef]
- Rosa, A.T.; Creech, C.F.; Elmore, R.W.; Rudnick, D.R.; Lindquist, J.L.; Fudoling, M.; Butts, L.; Werle, R. Implications of cover crop planting and termination timing on rainfed maize production in semi-arid cropping systems. Field Crops Res. 2021, 271, 108251. [Google Scholar] [CrossRef]
- Hunter, M.C.; Kemanian, A.R.; Mortensen, D.A. Cover crop effects on maize drought stress and yield. Agric. Ecosyst. Environ. 2021, 311, 107294. [Google Scholar] [CrossRef]
- Rosa, A.T.; Creech, C.F.; Elmore, R.W.; Rudnick, D.R.; Lindquist, J.L.; Fudoling, M.; Butts, L.; Werle, R. Contributions of individual cover crop species to rainfed maize production in semi-arid cropping systems. Field Crops Res. 2021, 271, 108245. [Google Scholar] [CrossRef]
- Wittwer, R.A.; van der Heijden, M.G. Cover crops as a tool to reduce reliance on intensive tillage and nitrogen fertilization in conventional arable cropping systems. Field Crops Res. 2020, 249, 107736. [Google Scholar] [CrossRef]
- Shankar, T.; Malik, G.C.; Banerjee, M.; Dutta, S.; Praharaj, S.; Lalichetti, S.; Mohanty, S.; Bhattacharyay, D.; Maitra, S.; Gaber, A.; et al. Prediction of the Effect of Nutrients on Plant Parameters of Rice by Artificial Neural Network. Agronomy 2022, 12, 2123. [Google Scholar] [CrossRef]
- Hara, P.; Piekutowska, M.; Niedbała, G. Selection of independent variables for crop yield prediction using artificial neural network models with remote sensing data. Land 2021, 10, 609. [Google Scholar] [CrossRef]







| Field/Year | 2016–17 | 2017–18 | 2018–19 | 2019–20 |
|---|---|---|---|---|
| Cover Crops | Cover Crop Seeding Rates (kg ha−1) | |||
| Winter Pea | 120 | |||
| Winter Pea + Triticale | 90 + 30 | |||
| Field Operation | Date | |||
| Cover crop sowing | 28 October | 8 November | 7 November | 15 November |
| Cover crops plowing | 5 May | 18 May | 22 May | 18 May |
| Maize sowing | 1 June | 15 June | 11 June | 25 May |
| Fertilization (Urea, 46%) | 15 June | 1 July | 25 June | 10 June |
| Maize harvest | 26 October | 18 October | 23 October | 16 October |
| Soil sampling | 29 October | 20 October | 25 October | 20 October |
| Year | pH (KCl) | pH (H2O) | CaCO3 (%) | Humus (%) | N (%) | (mg 100 g−1 of Soil) | |
|---|---|---|---|---|---|---|---|
| P2O5 | K2O | ||||||
| 2016 * | 7.21 ± 0.10 | 7.95 ± 0.14 | 8.57 ± 0.19 | 2.61 ± 0.19 | 0.13 ± 0.01 | 16.65 ± 3.04 | 20.31 ± 2.01 |
| 2017 | 7.48 ± 0.06 | 8.14 ± 0.07 | 8.96 ± 1.42 | 2.59 ± 0.08 | 0.19 ± 0.01 | 17.13 ± 1.05 | 23.67 ± 0.52 |
| 2018 | 7.43 ± 0.10 | 8.11 ± 0.06 | 8.68 ± 2.64 | 2.53 ± 0.15 | 0.19 ± 0.01 | 18.41 ± 3.03 | 23.43 ± 2.21 |
| 2019 | 7.23 ± 0.03 | 8.12 ± 0.05 | 9.48 ± 2.01 | 2.69 ± 0.19 | 0.20 ± 0.01 | 14.54 ± 1.95 | 23.21 ± 2.05 |
| 2020 | 7.33 ± 0.05 | 8.21 ± 0.05 | 9.11 ± 1.73 | 2.54 ± 0.13 | 0.18 ± 0.01 | 14.62 ± 1.88 | 23.02 ± 1.53 |
| Variable | Network Name | Performance | Error | Training Algorithm | Hidden Activation | Output Activation | ||||
|---|---|---|---|---|---|---|---|---|---|---|
| Training | Testing | Validation | Training | Testing | Validation | |||||
| H | MLP 12-7-1 | 0.966 | 0.949 | 0.953 | 41.583 | 41.372 | 41.244 | BFGS 179 | Tanh | Exponential |
| NL | MLP 12-9-1 | 0.487 | 0.495 | 0.485 | 0.124 | 0.121 | 0.120 | BFGS 127 | Logistic | Identity |
| NI | MLP 12-9-1 | 0.508 | 0.501 | 0.502 | 0.116 | 0.114 | 0.112 | BFGS 135 | Tanh | Tanh |
| PD | MLP 12-5-1 | 0.793 | 0.796 | 0.808 | 397.146 | 395.384 | 389.697 | BFGS 315 | Tanh | Exponential |
| NE | MLP 12-10-1 | 0.508 | 0.515 | 0.518 | 0.001 | 0.001 | 0.001 | BFGS 139 | Logistic | Tanh |
| GY | MLP 12-10-1 | 0.891 | 0.902 | 0.890 | 0.309 | 0.305 | 0.301 | BFGS 237 | Exponential | Exponential |
| TGW | MLP 12-7-1 | 0.838 | 0.825 | 0.828 | 168.655 | 171.050 | 168.741 | BFGS 122 | Tanh | Logistic |
| HW | MLP 12-6-1 | 0.713 | 0.710 | 0.723 | 7.391 | 7.516 | 7.588 | BFGS 248 | Logistic | Identity |
| DMHR | MLP 12-7-1 | 0.855 | 0.854 | 0.841 | 0.421 | 0.421 | 0.414 | BFGS 185 | Tanh | Logistic |
| HI | MLP 12-9-1 | 0.698 | 0.689 | 0.694 | 0.001 | 0.001 | 0.001 | BFGS 103 | Tanh | Tanh |
| L | MLP 12-5-1 | 0.855 | 0.850 | 0.840 | 3.489 | 3.439 | 3.501 | BFGS 383 | Logistic | Tanh |
| S | MLP 12-8-1 | 0.773 | 0.764 | 0.775 | 3.259 | 3.214 | 3.196 | BFGS 129 | Logistic | Exponential |
| E | MLP 12-10-1 | 0.621 | 0.628 | 0.626 | 8.281 | 8.370 | 8.277 | BFGS 173 | Exponential | Tanh |
| Variable | χ2 | RMSE | MPE | SSE | AARD | R2 | Skew. | Kurt. | St.Dev. | Var. |
|---|---|---|---|---|---|---|---|---|---|---|
| H | 91.419 | 9.120 | 3.695 | 11,975.867 | 1075.800 | 0.966 | −0.202 | 0.916 | 9.151 | 83.747 |
| NL | 0.272 | 0.497 | 3.876 | 35.588 | 115.667 | 0.486 | 0.124 | 0.176 | 0.499 | 0.249 |
| NI | 0.255 | 0.482 | 3.729 | 33.452 | 132.667 | 0.505 | 0.269 | 0.805 | 0.484 | 0.234 |
| PD | 8.7 × 106 | 2.8 × 103 | 4.662 | 1.1 × 109 | 8.2 × 105 | 0.788 | −0.127 | −0.197 | 2.8 × 103 | 8.0 × 106 |
| NE | 0.003 | 0.053 | 3.529 | 0.400 | 14.667 | 0.507 | 0.075 | 0.788 | 0.053 | 0.003 |
| GY | 0.679 | 0.786 | 12.653 | 88.940 | 184.400 | 0.885 | −0.165 | 1.726 | 0.789 | 0.622 |
| TGW | 370.784 | 18.366 | 6.015 | 48,572.767 | 3704.667 | 0.835 | 0.169 | 0.964 | 18.430 | 339.670 |
| HW | 16.249 | 3.845 | 5.155 | 2128.660 | 607.000 | 0.716 | −0.075 | 1.012 | 3.858 | 14.886 |
| DMHR | 0.925 | 0.918 | 13.658 | 121.240 | 105.400 | 0.854 | −0.087 | 0.632 | 0.921 | 0.848 |
| HI | 0.002 | 0.040 | 6.905 | 0.228 | 5.287 | 0.699 | −0.199 | 0.210 | 0.040 | 0.002 |
| L | 7.671 | 2.642 | 7.517 | 1004.840 | 197.867 | 0.853 | 2.369 | 26.149 | 2.651 | 7.027 |
| S | 7.165 | 2.553 | 6.873 | 938.633 | 287.467 | 0.773 | 0.061 | 0.959 | 2.562 | 6.564 |
| E | 18.206 | 4.070 | 6.482 | 2384.947 | 356.467 | 0.621 | −1.929 | 20.442 | 4.084 | 16.678 |
Publisher’s Note: MDPI stays neutral with regard to jurisdictional claims in published maps and institutional affiliations. |
© 2022 by the authors. Licensee MDPI, Basel, Switzerland. This article is an open access article distributed under the terms and conditions of the Creative Commons Attribution (CC BY) license (https://creativecommons.org/licenses/by/4.0/).
Share and Cite
Vojnov, B.; Jaćimović, G.; Šeremešić, S.; Pezo, L.; Lončar, B.; Krstić, Đ.; Vujić, S.; Ćupina, B. The Effects of Winter Cover Crops on Maize Yield and Crop Performance in Semiarid Conditions—Artificial Neural Network Approach. Agronomy 2022, 12, 2670. https://doi.org/10.3390/agronomy12112670
Vojnov B, Jaćimović G, Šeremešić S, Pezo L, Lončar B, Krstić Đ, Vujić S, Ćupina B. The Effects of Winter Cover Crops on Maize Yield and Crop Performance in Semiarid Conditions—Artificial Neural Network Approach. Agronomy. 2022; 12(11):2670. https://doi.org/10.3390/agronomy12112670
Chicago/Turabian StyleVojnov, Bojan, Goran Jaćimović, Srđan Šeremešić, Lato Pezo, Biljana Lončar, Đorđe Krstić, Svetlana Vujić, and Branko Ćupina. 2022. "The Effects of Winter Cover Crops on Maize Yield and Crop Performance in Semiarid Conditions—Artificial Neural Network Approach" Agronomy 12, no. 11: 2670. https://doi.org/10.3390/agronomy12112670
APA StyleVojnov, B., Jaćimović, G., Šeremešić, S., Pezo, L., Lončar, B., Krstić, Đ., Vujić, S., & Ćupina, B. (2022). The Effects of Winter Cover Crops on Maize Yield and Crop Performance in Semiarid Conditions—Artificial Neural Network Approach. Agronomy, 12(11), 2670. https://doi.org/10.3390/agronomy12112670

