Nitrogen Sources in Young Peach Trees in the Presence and Absence of Paspalum notatum Co-Cultivation
Abstract
1. Introduction
2. Materials and Methods
2.1. Soil
2.2. Peach Tree and Treatments
2.3. Physiological Parameters
2.4. Dry Matter and N in the Soil and Tissue
2.5. Statistical Analysis
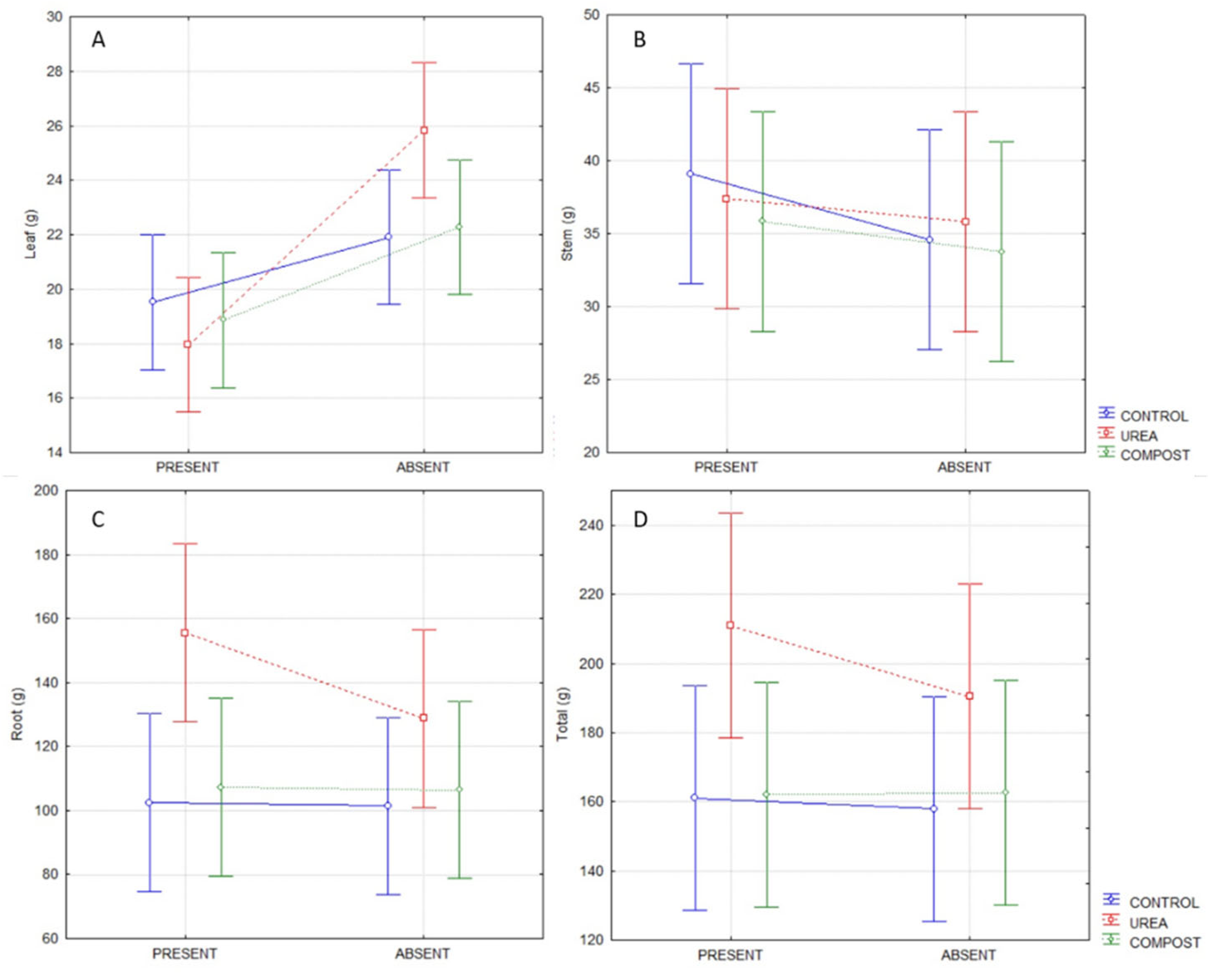
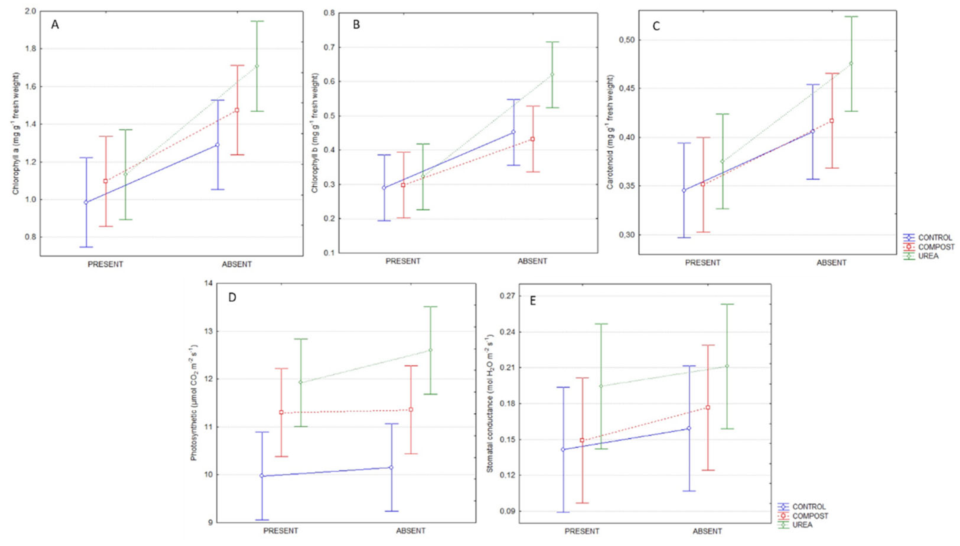
3. Results
4. Discussion
5. Conclusions
Supplementary Materials
Author Contributions
Funding
Conflicts of Interest
References
- Ferreira, L.V.; Picolotto, L.; Gonçalves, M.A.; Valgas, R.A.; Antunes, L.E.C. Fertilizer Maintenance Nitrogen in Vegetative Development and Production of Peach. Braz. J. Agric. Rev. Agric. 2018, 93, 80. [Google Scholar] [CrossRef]
- Nava, G.; Reisser Júnior, C.; Parent, L.-É.; Brunetto, G.; Moura-Bueno, J.M.; Navroski, R.; Benati, J.A.; Barreto, C.F. Esmeralda Peach (Prunus persica) Fruit Yield and Quality Response to Nitrogen Fertilization. Plants 2022, 11, 352. [Google Scholar] [CrossRef] [PubMed]
- Barreto, C.F.; Antunes, L.E.C.; Ferreira, L.V.; Navroski, R.; Benati, J.A.; Nava, G. Nitrogen Fertilization and Genotypes of Peaches in High-Density. Rev. Bras. Frutic. 2020, 42, e629. [Google Scholar] [CrossRef]
- Barreto, C.F.; Antunes, L.E.C.; Navroski, R.; Benati, J.A.; Ferreira, L.V.; Nava, G. Potassium Fertilization and Its Impact on Production and Mineral Composition of Peach Trees. Rev. Bras. Frutic. 2022, 44, e208. [Google Scholar] [CrossRef]
- Comissão de Quimica e Fertilidade do Rio Grande do Sul e Santa Catarina (CQFS-RS/SC). Manual de Calagem e Adubação Para Os Estados de Rio Grande Do Sul e de Santa Catarina, 11th ed.; Sociedade Brasileira de Ciência do Solo: Porto Alegre, Brazil, 2016. [Google Scholar]
- De Paula, B.V.; Vitto, B.B.; Sete, P.B.; Trapp, T.; Zalamena, J.; de Melo, G.W.B.; Baldi, E.; Toselli, M.; Rozane, D.E.; Brunetto, G. Annual and Residual Urea Nitrogen Contribution to the Nutrition of Peach Trees (Prunus persica L.) Grown under Subtropical Climate. Sci. Hortic. 2021, 284, 110099. [Google Scholar] [CrossRef]
- Roccuzzo, G.; Scandellari, F.; Allegra, M.; Torrisi, B.; Stagno, F.; Mimmo, T.; Zanotelli, D.; Gioacchini, P.; Millard, P.; Tagliavini, M. Seasonal Dynamics of Root Uptake and Spring Remobilisation of Nitrogen in Field Grown Orange Trees. Sci. Hortic. 2017, 226, 223–230. [Google Scholar] [CrossRef]
- Baldi, E.; Marcolini, G.; Quartieri, M.; Sorrenti, G.; Toselli, M. Effect of Organic Fertilization on Nutrient Concentration and Accumulation in Nectarine (Prunus persica Var. Nucipersica) Trees: The Effect of Rate of Application. Sci. Hortic. 2014, 179, 174–179. [Google Scholar] [CrossRef]
- Hagemann, N.; Kammann, C.I.; Schmidt, H.-P.; Kappler, A.; Behrens, S. Nitrate Capture and Slow Release in Biochar Amended Compost and Soil. PLoS ONE 2017, 12, e0171214. [Google Scholar] [CrossRef] [PubMed]
- Hernández, T.; Chocano, C.; Moreno, J.-L.; García, C. Use of Compost as an Alternative to Conventional Inorganic Fertilizers in Intensive Lettuce (Lactuca Sativa L.) Crops—Effects on Soil and Plant. Soil Tillage Res. 2016, 160, 14–22. [Google Scholar] [CrossRef]
- Bravo, K.; Toselli, M.; Baldi, E.; Marcolini, G.; Sorrenti, G.; Quartieri, M.; Marangoni, B. Effect of Organic Fertilization on Carbon Assimilation and Partitioning in Bearing Nectarine Trees. Sci. Hortic. 2012, 137, 100–106. [Google Scholar] [CrossRef]
- Betemps, D.L.; de Paula, B.V.; Parent, S.-É.; Galarça, S.P.; Mayer, N.A.; Marodin, G.A.B.; Rozane, D.E.; Natale, W.; Melo, G.W.B.; Parent, L.E.; et al. Humboldtian Diagnosis of Peach Tree (Prunus persica) Nutrition Using Machine-Learning and Compositional Methods. Agronomy 2020, 10, 900. [Google Scholar] [CrossRef]
- Brunetto, G.; Oliveira, B.S.; Ambrosini, V.G.; da Couto, R.; Sete, P.B.; dos Santos Junior, E.; Loss, A.; da Silva, L.O.S.; Gatiboni, L.C.; Brunetto, G.; et al. Nitrogen Availability in an Apple Orchard with Weed Management. Ciênc. Rural 2018, 48, e20160895. [Google Scholar] [CrossRef]
- Andrade, B.O.; Bonilha, C.L.; Ferreira, P.M.A.; Boldrini, I.I.; Overbeck, G.E. Highland Grasslands at the Southern Tip of the Atlantic Forest Biome: Management Options and Conservation Challenges. Oecologia Aust. 2016, 20, 175–199. [Google Scholar] [CrossRef]
- Fachinetto, J.M.; Dall’Agnol, M.; de Souza, C.H.L.; Weiler, R.L.; Simioni, C. Genetic Diversity of a Paspalum Notatum Flügge Germplasm Collection. Rev. Bras. Zootec. 2017, 46, 714–721. [Google Scholar] [CrossRef][Green Version]
- Basche, A.D.; Archontoulis, S.V.; Kaspar, T.C.; Jaynes, D.B.; Parkin, T.B.; Miguez, F.E. Simulating Long-Term Impacts of Cover Crops and Climate Change on Crop Production and Environmental Outcomes in the Midwestern United States. Agric. Ecosyst. Environ. 2016, 218, 95–106. [Google Scholar] [CrossRef]
- Kunz, C.; Sturm, D.J.; Varnholt, D.; Walker, F.; Gerhards, R. Allelopathic Effects and Weed Suppressive Ability of Cover Crops. Plant Soil Environ. 2016, 62, 60–66. [Google Scholar] [CrossRef]
- Masilionyte, L.; Maiksteniene, S.; Kriauciuniene, Z.; Jablonskyte-Rasce, D.; Zou, L.; Sarauskis, E. Effect of Cover Crops in Smothering Weeds and Volunteer Plants in Alternative Farming Systems. Crop Prot. 2017, 91, 74–81. [Google Scholar] [CrossRef]
- Oliveira, B.S.; Ambrosini, V.G.; Trapp, T.; dos Santos, M.A.; Sete, P.B.; Lovato, P.E.; Loss, A.; Comin, J.J.; Lourenzi, C.R.; da Rosa Couto, R.; et al. Nutrition, Productivity and Soil Chemical Properties in an Apple Orchard under Weed Management. Nutr. Cycl. Agroecosyst. 2016, 104, 247–258. [Google Scholar] [CrossRef]
- Forey, O.; Metay, A.; Wery, J. Differential Effect of Regulated Deficit Irrigation on Growth and Photosynthesis in Young Peach Trees Intercropped with Grass. Eur. J. Agron. 2016, 81, 106–116. [Google Scholar] [CrossRef]
- Soil Survey Staff. Soil survey staff—Keys to soil taxonomy. In United States Department of Agriculture Handbook, 12th ed.; United States Department of Agriculture. Natural Resources Conservation Service: Washington, DC, USA, 2017. [Google Scholar]
- Tedesco, M.J.; Gianello, C.; Bissani, C.A.; Bohnen, H. Análises de Solo, Plantas e Outros Materiais; UFRGS: Porto Alegre, Brazil, 1995. [Google Scholar]
- Arıkan, Ş.; Eşitken, A.; İpek, M.; Aras, S.; Şahin, M.; Pırlak, L.; Dönmez, M.F.; Turan, M. Effect of Plant Growth Promoting Rhizobacteria on Fe Acquisition in Peach (Prunus persica L) Under Calcareous Soil Conditions. J. Plant Nutr. 2018, 41, 2141–2150. [Google Scholar] [CrossRef]
- Hendry, G.A.F.; Price, A.H. Stress indications: Chlorophylls and carotenoids. In Methods in Comparative Plant Ecology; Chapman & Hall: London, UK, 1993; pp. 148–152. [Google Scholar]
- Lichtenthaler, H.K. Chlorophylls and carotenoids: Pigments of photosynthetic biomembranes. In Methods in Enzymology; Academic Press: Cambridge, MA, USA, 1987; pp. 350–382. [Google Scholar]
- Brunetto, G.; Ceretta, C.A.; de Melo, G.W.B.; Girotto, E.; Ferreira, P.A.A.; Lourenzi, C.R.; da Rosa Couto, R.; Tassinaria, A.; Hammerschmitt, R.K.; da Silva, L.O.S.; et al. Contribution of Nitrogen from Urea Applied at Different Rates and Times on Grapevine Nutrition. Sci. Hortic. 2016, 207, 1–6. [Google Scholar] [CrossRef]
- Marzi, M.; Shahbazi, K.; Kharazi, N.; Rezaei, M. The Influence of Organic Amendment Source on Carbon and Nitrogen Mineralization in Different Soils. J. Soil Sci. Plant Nutr. 2020, 20, 177–191. [Google Scholar] [CrossRef]
- Demestihas, C.; Plénet, D.; Génard, M.; Raynal, C.; Lescourret, F. Ecosystem Services in Orchards. A Review. Agron. Sustain. Dev. 2017, 37, 12. [Google Scholar] [CrossRef]
- Scandellari, F.; Caruso, G.; Liguori, G.; Meggio, F.; Palese Assunta, M.; Zanotelli, D.; Celano, G.; Gucci, R.; Inglese, P.; Pitacco, A.; et al. A Survey of Carbon Sequestration Potential of Orchards and Vineyards in Italy. Eur. J. Hortic. Sci. 2016, 81, 106–114. [Google Scholar] [CrossRef]
- Favarato, L.F.; Souza, J.L.; Galvão, J.C.C.; de Souza, C.M.; Guarconi, R.C.; de Souza Balbino, J.M.; Favarato, L.F.; Souza, J.L.; Galvão, J.C.C.; de Souza, C.M.; et al. Crescimento e Produtividade Do Milho-Verde Sobre Diferentes Coberturas de Solo No Sistema Plantio Direto Orgânico. Bragantia 2016, 75, 497–506. [Google Scholar] [CrossRef]
- Pescie, M.A.; Borda, M.P.; Ortiz, D.P.; Landriscini, M.R.; Lavado, R.S. Absorption, Distribution and Accumulation of Nitrogen Applied at Different Phenological Stages in Southern Highbush Blueberry (Vaccinium Corymbosum Interspecific Hybrid). Sci. Hortic. 2018, 230, 11–17. [Google Scholar] [CrossRef]
- Rivera, R.; Bañados, P.; Ayala, M. Distribution of 15N Applied to the Soil in the ‘Bing’/‘Gisela®6’ Sweet Cherry (Prunus avium L.) Combination. Sci. Hortic. 2016, 210, 242–249. [Google Scholar] [CrossRef]
- Jordan, M.-O.; Vercambre, G.; Gomez, L.; Pages, L. The Early Spring N Uptake of Young Peach Trees (Prunus persica) Is Affected by Past and Current Fertilizations and Levels of C and N Stores. Tree Physiol. 2014, 34, 61–72. [Google Scholar] [CrossRef]
- de Medeiros Corrêa, M.C.; Natale, W.; de Mello Prado, R.; Banzatto, D.A.; Queiroz, R.F.; da Silva, M.A.C. Surface Application of Lime on a Guava Orchard in Production. Rev. Bras. Ciênc. Solo 2018, 42, e0170203. [Google Scholar] [CrossRef]
- Gómez-Muñoz, B.; Hatch, D.J.; Bol, R.; García-Ruiz, R. Nutrient Dynamics during Decomposition of the Residues from a Sown Legume or Ruderal Plant Cover in an Olive Oil Orchard. Agric. Ecosyst. Environ. 2014, 184, 115–123. [Google Scholar] [CrossRef]
- Karl, A.; Merwin, I.A.; Brown, M.G.; Hervieux, R.A.; Heuvel, J.E. Vanden Impact of Undervine Management on Vine Growth, Yield, Fruit Composition, and Wine Sensory Analyses in Cabernet Franc. Am. J. Enol. Vitic. 2016, 67, 269–280. [Google Scholar] [CrossRef]
- Sharifi, M.; Reekie, J.; Hammermeister, A.; Alam, M.Z.; MacKey, T. Effect of Cover Crops on Yield and Leaf Nutrient Concentrations in an Organic Honeycrisp Apple (Malus Domestica ’Honeycrisp) Orchard in Nova Scotia, Canada. HortScience 2016, 51, 1378–1383. [Google Scholar] [CrossRef]
- Bechaieb, R.; Lakhdar, Z.B.; Gérard, H. DFT and TD-DFT Studies of Mg-Substitution in Chlorophyll by Cr(II), Fe(II) and Ni(II). Chem. Afr. 2018, 1, 79–86. [Google Scholar] [CrossRef]
- Cruz, J.L.; Pelacani, C.R.; de Carvalho, J.E.B.; Souza Filho, L.F.D.S.; Queiroz, D.C. Níveis de Nitrogênio e a Taxa Fotossintética Do Mamoeiro “Golden”. Ciênc. Rural 2007, 37, 64–71. [Google Scholar] [CrossRef]
- Gao, P.; Zuo, Z.; Zhang, R.; Qiu, Y.; He, R.; Gao, R.; Gui, R. Optimum Nitrogen Fertilization for Productivity and Photosynthetic Response. Agron. J. 2016, 108, 448. [Google Scholar] [CrossRef]





Publisher’s Note: MDPI stays neutral with regard to jurisdictional claims in published maps and institutional affiliations. |
© 2022 by the authors. Licensee MDPI, Basel, Switzerland. This article is an open access article distributed under the terms and conditions of the Creative Commons Attribution (CC BY) license (https://creativecommons.org/licenses/by/4.0/).
Share and Cite
Paula, B.V.d.; Rozane, D.E.; Santos, E.M.H.d.; Vitto, B.B.; Hindersmann, J.; Antunes, L.E.C.; Nava, G.; Loss, A.; Melo, G.W.B.d.; Nicoloso, F.T.; et al. Nitrogen Sources in Young Peach Trees in the Presence and Absence of Paspalum notatum Co-Cultivation. Agronomy 2022, 12, 2669. https://doi.org/10.3390/agronomy12112669
Paula BVd, Rozane DE, Santos EMHd, Vitto BB, Hindersmann J, Antunes LEC, Nava G, Loss A, Melo GWBd, Nicoloso FT, et al. Nitrogen Sources in Young Peach Trees in the Presence and Absence of Paspalum notatum Co-Cultivation. Agronomy. 2022; 12(11):2669. https://doi.org/10.3390/agronomy12112669
Chicago/Turabian StylePaula, Betania Vahl de, Danilo Eduardo Rozane, Eduardo Maciel Haitzmann dos Santos, Beatriz Baticini Vitto, Jacson Hindersmann, Luis Eduardo Correa Antunes, Gilberto Nava, Arcângelo Loss, George Wellington Bastos de Melo, Fernando Teixeira Nicoloso, and et al. 2022. "Nitrogen Sources in Young Peach Trees in the Presence and Absence of Paspalum notatum Co-Cultivation" Agronomy 12, no. 11: 2669. https://doi.org/10.3390/agronomy12112669
APA StylePaula, B. V. d., Rozane, D. E., Santos, E. M. H. d., Vitto, B. B., Hindersmann, J., Antunes, L. E. C., Nava, G., Loss, A., Melo, G. W. B. d., Nicoloso, F. T., & Brunetto, G. (2022). Nitrogen Sources in Young Peach Trees in the Presence and Absence of Paspalum notatum Co-Cultivation. Agronomy, 12(11), 2669. https://doi.org/10.3390/agronomy12112669

