The Effects of Rabbit-Manure-Derived Biochar Co-Application with Compost on the Availability and Heavy Metal Uptake by Green Leafy Vegetables
Abstract
1. Introduction
2. Materials and Methods
2.1. Soil and Compost Collection
2.2. Biochar Preparation
2.3. Substrate Analysis
2.4. Experimental Design
2.5. Chemical Analysis of Samples after the Experiments
2.6. Data Analysis
3. Results
3.1. Effect of Biochar Amendment on Compost and Soil Psychochemical Properties
3.2. Sequential Extraction of Heavy Metals in Compost Amended with Rabbit Manure Biochar
3.3. Sequential Extraction of Heavy Metals in Soil Amended with Rabbit Manure Biochar and Compost Mix
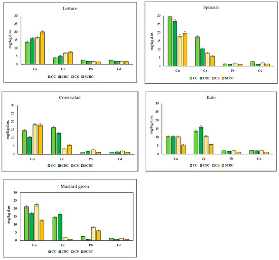
3.4. Heavy Metals Accumulation in Leafy Vegetables Grown on Compost with Biochar Amendment
3.5. Heavy Metals Accumulation in Leafy Vegetables Grown in Soil with Biochar–Compost Amendment
3.6. Heavy Metal Accumulation Coefficient
4. Discussion
4.1. Heavy Metal Immobilization by Rabbit Manure Biochar
4.2. Effect of Biochar Co-Application with Compost
4.3. Heavy Metal Accumulation in Green Leafy Vegetables Grown with Organic Amendments
4.4. Negative Impact of Organic Amendments Application on Heavy Metal Uptake by Vegetables
5. Conclusions
- The results of the study showed that rabbit-manure-derived biochar and its co-application with compost can reduce the uptake of Cd and Pb by leafy vegetables, reducing the risk related to food contamination with potentially toxic elements
- The application of compost and biochar to soil significantly improved physicochemical properties, e.g., pH, cation exchange capacity and carbon content and plant growth, decreasing the availability of Cu, Cr, Cd and Pb and toxicity of metals for plants
- The application of rabbit-manure-derived biochar to compost and co-application of organic amendments to soil may also have some adverse effects, and increased uptake of chromium and copper for some of the tested vegetable species was observed. This finding can pose a potential health concern related to organic amendment application in urban horticulture.
Author Contributions
Funding
Data Availability Statement
Acknowledgments
Conflicts of Interest
References
- Eigenbrod, C.; Gruda, N. Urban Vegetable for Food Security in Cities. A Review. Agron. Sustain. Dev. 2015, 35, 483–498. [Google Scholar] [CrossRef]
- Geiger, T.; Norton, U. Effects of Garden Amendments on Soil Available Lead and Plant Uptake in a Contaminated Calcareous Soil. Appl. Sci. 2021, 11, 5777. [Google Scholar] [CrossRef]
- Meuser, H. Contaminated Urban Soils; Environmental Pollution; Springer: Dordrecht, The Netherlands, 2010; Volume 18, ISBN 978-90-481-9327-1. [Google Scholar]
- Pan, L.; Wang, Y.; Ma, J.; Hu, Y.; Su, B.; Fang, G.; Wang, L.; Xiang, B. A Review of Heavy Metal Pollution Levels and Health Risk Assessment of Urban Soils in Chinese Cities. Environ. Sci. Pollut. Res. 2018, 25, 1055–1069. [Google Scholar] [CrossRef] [PubMed]
- Jolly, Y.N.; Islam, A.; Akbar, S. Transfer of Metals from Soil to Vegetables and Possible Health Risk Assessment. SpringerPlus 2013, 2, 385. [Google Scholar] [CrossRef]
- Choe, U.; Yu, L.L.; Wang, T.T.Y. The Science behind Microgreens as an Exciting New Food for the 21st Century. J. Agric. Food Chem. 2018, 66, 11519–11530. [Google Scholar] [CrossRef]
- Nikolić, M.; Tomašević, V. Implication of the Plant Species Belongingto the Brassicaceae Family in the Metabolizationof Heavy Metal Pollutants in Urban Settings. Pol. J. Environ. Stud. 2020, 30, 523–534. [Google Scholar] [CrossRef]
- Mourato, M.; Moreira, I.; Leitão, I.; Pinto, F.; Sales, J.; Martins, L. Effect of Heavy Metals in Plants of the Genus Brassica. Int. J. Mol. Sci. 2015, 16, 17975–17998. [Google Scholar] [CrossRef]
- Gruda, N. Do Soilless Culture Systems Have an Influence on Product Quality of Vegetables? Available online: https://edoc.hu-berlin.de/handle/18452/10085 (accessed on 25 July 2022). [CrossRef]
- Jamroz, E.; Bekier, J.; Medynska-Juraszek, A.; Kaluza-Haladyn, A.; Cwielag-Piasecka, I.; Bednik, M. The Contribution of Water Extractable Forms of Plant Nutrients to Evaluate MSW Compost Maturity: A Case Study. Sci. Rep. 2020, 10, 12842. [Google Scholar] [CrossRef]
- De Corato, U. Agricultural Waste Recycling in Horticultural Intensive Farming Systems by On-Farm Composting and Compost-Based Tea Application Improves Soil Quality and Plant Health: A Review under the Perspective of a Circular Economy. Sci. Total Environ. 2020, 738, 139840. [Google Scholar] [CrossRef]
- Bekier, J.; Jamroz, E.; Kałuża-Haładyn, A.; Sowiński, J.; Adamczewska-Sowińska, K. Effect of Differently Matured Compost Produced from Willow (Salix viminalis L.) on Growth and Development of Lettuce (Lactuca sativa L.). Biol. Life Sci. Forum 2021, 3, 7. [Google Scholar] [CrossRef]
- Azim, K.; Soudi, B.; Boukhari, S.; Perissol, C.; Roussos, S.; Thami Alami, I. Composting Parameters and Compost Quality: A Literature Review. Org. Agr. 2018, 8, 141–158. [Google Scholar] [CrossRef]
- Gomez, A. The Evaluation of Compost Quality. TrAC Trends Anal. Chem. 1998, 17, 310–314. [Google Scholar] [CrossRef]
- Epelde, L.; Jauregi, L.; Urra, J.; Ibarretxe, L.; Romo, J.; Goikoetxea, I.; Garbisu, C. Characterization of Composted Organic Amendments for Agricultural Use. Front. Sustain. Food Syst. 2018, 2, 44. [Google Scholar] [CrossRef]
- Karanasios, E.; Tsiropoulos, N.G.; Karpouzas, D.G.; Ehaliotis, C. Degradation and Adsorption of Pesticides in Compost-Based Biomixtures as Potential Substrates for Biobeds in Southern Europe. J. Agric. Food Chem. 2010, 58, 9147–9156. [Google Scholar] [CrossRef] [PubMed]
- Yang, X.; Li, Q.; Tang, Z.; Zhang, W.; Yu, G.; Shen, Q.; Zhao, F.-J. Heavy Metal Concentrations and Arsenic Speciation in Animal Manure Composts in China. Waste Manag. 2017, 64, 333–339. [Google Scholar] [CrossRef]
- Godlewska, P.; Schmidt, H.P.; Ok, Y.S.; Oleszczuk, P. Biochar for Composting Improvement and Contaminants Reduction. A Review. Bioresour. Technol. 2017, 246, 193–202. [Google Scholar] [CrossRef]
- Medyńska-Juraszek, A.; Bednik, M.; Chohura, P. Assessing the Influence of Compost and Biochar Amendments on the Mobility and Uptake of Heavy Metals by Green Leafy Vegetables. Int. J. Environ. Res. Public Health 2020, 17, 7861. [Google Scholar] [CrossRef]
- Lehmann, J.; Joseph, S. (Eds.) Biochar for Environmental Management: Science, Technology and Implementation, 2nd ed.; Routledge, Taylor & Francis Group: Abingdon, UK, 2015. [Google Scholar] [CrossRef]
- Medyńska-Juraszek, A.; Ćwieląg-Piasecka, I. Effect of Biochar Application on Heavy Metal Mobility in Soils Impacted by Copper Smelting Processes. Pol. J. Environ. Stud. 2020, 29, 1749–1757. [Google Scholar] [CrossRef]
- Karami, N.; Clemente, R.; Moreno-Jiménez, E.; Lepp, N.W.; Beesley, L. Efficiency of Green Waste Compost and Biochar Soil Amendments for Reducing Lead and Copper Mobility and Uptake to Ryegrass. J. Hazard. Mater. 2011, 191, 41–48. [Google Scholar] [CrossRef]
- Aung, A.; Seo, J.M.; Han, S.H.; An, J.Y.; Dao, H.T.T.; Youn, W.B.; Park, B.B. Effects of Torrefied Wood Chip and Vermicompost Application on Vegetation Growth and Nutrient Uptake in the Saemangeum Reclaimed Land. Ecol Process. 2020, 9, 7. [Google Scholar] [CrossRef]
- Beesley, L.; Moreno-Jiménez, E.; Gomez-Eyles, J.L.; Harris, E.; Robinson, B.; Sizmur, T. A Review of Biochars’ Potential Role in the Remediation, Revegetation and Restoration of Contaminated Soils. Environ. Pollut. 2011, 159, 3269–3282. [Google Scholar] [CrossRef] [PubMed]
- Godlewska, P.; Ok, Y.S.; Oleszczuk, P. THE DARK SIDE OF BLACK GOLD: Ecotoxicological Aspects of Biochar and Biochar-Amended Soils. J. Hazard. Mater. 2021, 403, 123833. [Google Scholar] [CrossRef] [PubMed]
- Białowiec, A.; Micuda, M.; Szumny, A.; Łyczko, J.; Koziel, J. Waste to Carbon: Influence of Structural Modification on VOC Emission Kinetics from Stored Carbonized Refuse-Derived Fuel. Sustainability 2019, 11, 935. [Google Scholar] [CrossRef]
- Reeuwijk, L. Procedures for Soil Analysis; Technical Paper; ISRIC-Word Soil Information: Wageningen, The Netherlands, 2002. [Google Scholar]
- Medyńska-Juraszek, A.; Ćwieląg-Piasecka, I.; Jerzykiewicz, M.; Trynda, J. Wheat Straw Biochar as a Specific Sorbent of Cobalt in Soil. Materials 2020, 13, 2462. [Google Scholar] [CrossRef]
- Li, M.S.; Luo, Y.P.; Su, Z.Y. Heavy Metal Concentrations in Soils and Plant Accumulation in a Restored Manganese Mineland in Guangxi, South China. Environ. Pollut. 2007, 147, 168–175. [Google Scholar] [CrossRef]
- Malik, R.N.; Husain, S.Z.; Nazir, I. Heavy Metal Contamination and Accumulation in Soil and Wild Plant Species from Industrial Area of Islamabad, Pakistan. Pak. J. Bot. 2010, 42, 291–301. [Google Scholar]
- Mesa, I.M.; Situmeang, Y.P.; Wirajaya, A.A.N.M.; Udayana, I.G.B.; Yuliartini, M.S. Utilization of Rabbit Manure and Biochar Chicken Manure and Its Effect on the Growth and Yield of Pakchoy Plants. J. Phys. Conf. Ser. 2021, 1869, 12045. [Google Scholar] [CrossRef]
- Cárdenas- Aguiar, E.; Gascó, G.; Paz-Ferreiro, J.; Méndez, A. The Effect of Biochar and Compost from Urban Organic Waste on Plant Biomass and Properties of an Artificially Copper Polluted Soil. Int. Biodeterior. Biodegrad. 2017, 124, 223–232. [Google Scholar] [CrossRef]
- Cárdenas-Aguiar, E.; Gascó, G.; Paz-Ferreiro, J.; Méndez, A. Thermogravimetric Analysis and Carbon Stability of Chars Produced from Slow Pyrolysis and Hydrothermal Carbonization of Manure Waste. J. Anal. Appl. Pyrolysis 2019, 140, 434–443. [Google Scholar] [CrossRef]
- Cárdenas-Aguiar, E.; Méndez, A.; Paz-Ferreiro, J.; Gascó, G. The Effects of Rabbit Manure-Derived Biochar on Soil Health and Quality Attributes of Two Mine Tailings. Sustainability 2022, 14, 1866. [Google Scholar] [CrossRef]
- Cárdenas-Aguiar, E.; Suárez, G.; Paz-Ferreiro, J.; Askeland, M.P.J.; Méndez, A.; Gascó, G. Remediation of Mining Soils by Combining Brassica Napus Growth and Amendment with Chars from Manure Waste. Chemosphere 2020, 261, 127798. [Google Scholar] [CrossRef] [PubMed]
- Huang, W.; Chen, J.; Zhang, J. Removal of Ciprofloxacin from Aqueous Solution by Rabbit Manure Biochar. Environ. Technol. 2020, 41, 1380–1390. [Google Scholar] [CrossRef]
- Xu, R.; Ferrante, L.; Hall, K.; Briens, C.; Berruti, F. Thermal Self-Sustainability of Biochar Production by Pyrolysis. J. Anal. Appl. Pyrolysis 2011, 91, 55–66. [Google Scholar] [CrossRef]
- Inyang, M.; Gao, B.; Pullammanappallil, P.; Ding, W.; Zimmerman, A.R. Biochar from Anaerobically Digested Sugarcane Bagasse. Bioresour. Technol. 2010, 101, 8868–8872. [Google Scholar] [CrossRef]
- Zama, E.F.; Zhu, Y.-G.; Reid, B.J.; Sun, G.-X. The Role of Biochar Properties in Influencing the Sorption and Desorption of Pb(II), Cd(II) and As(III) in Aqueous Solution. J. Clean. Prod. 2017, 148, 127–136. [Google Scholar] [CrossRef]
- Beesley, L.; Moreno-Jiménez, E.; Gomez-Eyles, J.L. Effects of Biochar and Greenwaste Compost Amendments on Mobility, Bioavailability and Toxicity of Inorganic and Organic Contaminants in a Multi-Element Polluted Soil. Environ. Pollut. 2010, 158, 2282–2287. [Google Scholar] [CrossRef]
- Uchimiya, M.; Lima, I.M.; Klasson, K.T.; Wartelle, L.H. Contaminant Immobilization and Nutrient Release by Biochar Soil Amendment: Roles of Natural Organic Matter. Chemosphere 2010, 80, 935–940. [Google Scholar] [CrossRef]
- Beesley, L.; Trakal, L.; Hough, R.; Mitchell, K. Mobility and crop uptake of Zn in a legacy sludge-enriched agricultural soil amended with biochar or compost: Insights from a pot and recirculating column leaching test. Environ. Sci. Pollut. Res. Int. 2022. [Google Scholar] [CrossRef]
- Yuan, J.-H.; Xu, R.-K.; Zhang, H. The Forms of Alkalis in the Biochar Produced from Crop Residues at Different Temperatures. Bioresour. Technol. 2011, 102, 3488–3497. [Google Scholar] [CrossRef] [PubMed]
- Park, J.H.; Lamb, D.; Paneerselvam, P.; Choppala, G.; Bolan, N.; Chung, J.-W. Role of Organic Amendments on Enhanced Bioremediation of Heavy Metal(Loid) Contaminated Soils. J. Hazard. Mater. 2011, 185, 549–574. [Google Scholar] [CrossRef] [PubMed]
- Uchimiya, M.; Klasson, K.T.; Wartelle, L.H.; Lima, I.M. Influence of Soil Properties on Heavy Metal Sequestration by Biochar Amendment: 2. Copper Desorption Isotherms. Chemosphere 2011, 82, 1438–1447. [Google Scholar] [CrossRef] [PubMed]
- Cui, L.; Pan, G.; Li, L.; Yan, J.; Zhang, A.; Bian, R.; Chang, A. The reduction of wheat cd uptake in contaminated soil via biochar amendment: A two-year field experiment. BioResources 2012, 7, 5666–5676. [Google Scholar] [CrossRef]
- Xu, G.; Wei, L.L.; Sun, J.N.; Shao, H.B.; Chang, S.X. What Is More Important for Enhancing Nutrient Bioavailability with Biochar Application into a Sandy Soil: Direct or Indirect Mechanism? Ecol. Eng. 2013, 52, 119–124. [Google Scholar] [CrossRef]
- Kołtowski, M.; Charmas, B.; Skubiszewska-Zięba, J.; Oleszczuk, P. Effect of Biochar Activation by Different Methods on Toxicity of Soil Contaminated by Industrial Activity. Ecotoxicol. Environ. Saf. 2017, 136, 119–125. [Google Scholar] [CrossRef]
- Xu, Y.; Qi, F.; Bai, T.; Yan, Y.; Wu, C.; An, Z.; Luo, S.; Huang, Z.; Xie, P. A Further Inquiry into Co-Pyrolysis of Straws with Manures for Heavy Metal Immobilization in Manure-Derived Biochars. J. Hazard. Mater. 2019, 380, 120870. [Google Scholar] [CrossRef]
- Huang, M.; Zhu, Y.; Li, Z.; Huang, B.; Luo, N.; Liu, C.; Zeng, G. Compost as a Soil Amendment to Remediate Heavy Metal-Contaminated Agricultural Soil: Mechanisms, Efficacy, Problems, and Strategies. Water Air Soil Pollut. 2016, 227, 359. [Google Scholar] [CrossRef]
- Guo, X.; Liu, H.; Zhang, J. The Role of Biochar in Organic Waste Composting and Soil Improvement: A Review. Waste Manag. 2020, 102, 884–899. [Google Scholar] [CrossRef]
- Jones, S.; Bardos, R.P.; Kidd, P.S.; Mench, M.; de Leij, F.; Hutchings, T.; Cundy, A.; Joyce, C.; Soja, G.; Friesl-Hanl, W.; et al. Biochar and Compost Amendments Enhance Copper Immobilisation and Support Plant Growth in Contaminated Soils. J. Environ. Manag. 2016, 171, 101–112. [Google Scholar] [CrossRef]
- Agegnehu, G.; Srivastava, A.K.; Bird, M.I. The Role of Biochar and Biochar-Compost in Improving Soil Quality and Crop Performance: A Review. Appl. Soil Ecol. 2017, 119, 156–170. [Google Scholar] [CrossRef]
- Rossi, G.; Figliolia, A.; Socciarelli, S.; Pennelli, B. Capability of Brassica Napus to Accumulate Cadmium, Zinc and Copper from Soil. Acta Biotechnol. 2002, 22, 133–140. [Google Scholar] [CrossRef]
- Bilal Shakoor, M.; Ali, S.; Hameed, A.; Farid, M.; Hussain, S.; Yasmeen, T.; Najeeb, U.; Aslam Bharwana, S.; Hasan Abbasi, G. Citric Acid Improves Lead (Pb) Phytoextraction in Brassica Napus L. by Mitigating Pb-Induced Morphological and Biochemical Damages. Ecotoxicol. Environ. Saf. 2014, 109, 38–47. [Google Scholar] [CrossRef] [PubMed]
- Zaheer, I.E.; Ali, S.; Rizwan, M.; Farid, M.; Shakoor, M.B.; Gill, R.A.; Najeeb, U.; Iqbal, N.; Ahmad, R. Citric Acid Assisted Phytoremediation of Copper by Brassica Napus L. Ecotoxicol. Environ. Saf. 2015, 120, 310–317. [Google Scholar] [CrossRef] [PubMed]
- Bluskov, S.; Arocena, J.M.; Omotoso, O.O.; Young, J.P. Uptake, Distribution, and Speciation of Chromium in Brassica Juncea. Int. J. Phytoremediat. 2005, 7, 153–165. [Google Scholar] [CrossRef] [PubMed]
- Terzi, H.; Yıldız, M. Variations in Chromium Tolerance and Accumulation among Canola (Brassica Napus L.) Cultivars. Bull. Environ. Contam. Toxicol. 2014, 93, 113–119. [Google Scholar] [CrossRef]
- Puga, A.P.; Abreu, C.A.; Melo, L.C.A.; Beesley, L. Biochar Application to a Contaminated Soil Reduces the Availability and Plant Uptake of Zinc, Lead and Cadmium. J. Environ. Manag. 2015, 159, 86–93. [Google Scholar] [CrossRef]
- Van Poucke, R.; Ainsworth, J.; Maeseele, M.; Ok, Y.S.; Meers, E.; Tack, F.M.G. Chemical Stabilization of Cd-Contaminated Soil Using Biochar. Appl. Geochem. 2018, 88, 122–130. [Google Scholar] [CrossRef]
- Netherway, P.; Reichman, S.M.; Laidlaw, M.; Scheckel, K.; Pingitore, N.; Gascó, G.; Méndez, A.; Surapaneni, A.; Paz-Ferreiro, J. Phosphorus-Rich Biochars Can Transform Lead in an Urban Contaminated Soil. J. Environ. Qual. 2019, 48, 1091–1099. [Google Scholar] [CrossRef]
- Clemente, J.S.; Beauchemin, S.; MacKinnon, T.; Martin, J.; Johnston, C.T.; Joern, B. Initial Biochar Properties Related to the Removal of As, Se, Pb, Cd, Cu, Ni, and Zn from an Acidic Suspension. Chemosphere 2017, 170, 216–224. [Google Scholar] [CrossRef]
- Rodríguez-Vila, A.; Atuah, L.; Abubakari, A.H.; Atorqui, D.W.; Abdul-Karim, A.; Coole, S.; Hammond, J.; Robinson, S.; Sizmur, T. Effect of Biochar on Micronutrient Availability and Uptake Into Leafy Greens in Two Urban Tropical Soils with Contrasting Soil PH. Front. Sustain. Food Syst. 2022, 6, 821397. [Google Scholar] [CrossRef]
- Shahid, M.; Shamshad, S.; Rafiq, M.; Khalid, S.; Bibi, I.; Niazi, N.K.; Dumat, C.; Rashid, M.I. Chromium Speciation, Bioavailability, Uptake, Toxicity and Detoxification in Soil-Plant System: A Review. Chemosphere 2017, 178, 513–533. [Google Scholar] [CrossRef] [PubMed]
- Park, J.H.; Choppala, G.K.; Bolan, N.S.; Chung, J.W.; Chuasavathi, T. Biochar Reduces the Bioavailability and Phytotoxicity of Heavy Metals. Plant Soil 2011, 348, 439–451. [Google Scholar] [CrossRef]
- Sehrish, A.K.; Aziz, R.; Hussain, M.M.; Rafiq, M.T.; Rizwan, M.; Muhammad, N.; Rafiq, M.K.; Sehar, A.; Al-Wabel, M.I.; Ali, S. Effect of Poultry Litter Biochar on Chromium (Cr) Bioavailability and Accumulation in Spinach (Spinacia Oleracea) Grown in Cr-Polluted Soil. Arab. J. Geosci. 2019, 12, 57. [Google Scholar] [CrossRef]
- Zakir, H.M.; Aysha, M.I.J.; Mallick, S.; Sharmin, S.; Quadir, Q.F.; Hossain, M.A. Heavy Metals and Major Nutrients Accumulation Pattern in Spinach Grown in Farm and Industrial Contaminated Soils and Health Risk Assessment. Arch. Agri. Environ. Sci. 2018, 3, 95–102. [Google Scholar] [CrossRef]
- Yang, J.; Guo, H.; Ma, Y.; Wang, L.; Wei, D.; Hua, L. Genotypic Variations in the Accumulation of Cd Exhibited by Different Vegetables. J. Environ. Sci. 2010, 22, 1246–1252. [Google Scholar] [CrossRef]
- Gupta, N.; Yadav, K.K.; Kumar, V.; Prasad, S.; Cabral-Pinto, M.M.S.; Jeon, B.-H.; Kumar, S.; Abdellattif, M.H.; Alsukaibia, A.K.D. Investigation of Heavy Metal Accumulation in Vegetables and Health Risk to Humans From Their Consumption. Front. Environ. Sci. 2022, 10, 791052. [Google Scholar] [CrossRef]
- Guerra, F.; Trevizam, A.R.; Muraoka, T.; Marcante, N.C.; Canniatti-Brazaca, S.G. Heavy Metals in Vegetables and Potential Risk for Human Health. Sci. Agric. 2012, 69, 54–60. [Google Scholar] [CrossRef]
- Iyama, W.; Okpara, K.; Techato, K. Assessment of Heavy Metals in Agricultural Soils and Plant (Vernonia Amygdalina Delile) in Port Harcourt Metropolis, Nigeria. Agriculture 2021, 12, 27. [Google Scholar] [CrossRef]




| Characteristics | Value | |
|---|---|---|
| Texture | Soil | Loamy sand (78% sand, 23% silt, 3% clay) |
| pHH2O | 5.36 ± 0.16 * | |
| Total organic carbon (TOC, %) | 1.18 ± 0.06 | |
| Total nitrogen (TN, %) | 0.081 ± 0.05 | |
| Cation exchange capacity | 1.71 | |
| (CEC, cmol(+)/kg) | ||
| Substrate | Compost | Urban green and municipal waste |
| Composting time | 90 days | |
| Composting method | Composting reactor | |
| pHH2O | 7.56 ± 0.12 | |
| Total organic carbon (TOC, %) | 9.31 ± 0.08 | |
| Total nitrogen (TN, %) | 0.71 ± 0.05 | |
| Cation exchange capacity | 181.2 ± 0.03 | |
| (CEC, cmol(+)/kg) | ||
| Substrate | Biochar | Rabbit droppings |
| Pyrolysis time | 1 h | |
| Pyrolysis temperature | 550 °C | |
| pHH2O | 6.98 ± 0.04 | |
| Total organic carbon (TOC, %) | 72.67 ± 0.12 | |
| Total nitrogen (TN, %) | 2.28 ± 0.08 | |
| Cation exchange capacity | 23.1 ± 0.1 | |
| (CEC, cmol(+)/kg) | ||
| Specific surface area (BET) g/m2 | 95.6 |
| Metal (Oid) (mg/kg) | Soil | Compost | Biochar |
|---|---|---|---|
| Pbtotal | 24.79 a ± 0.03 (100) b | 45.51 ± 0.03 (140) | 0.44 ± 0.012 |
| Cdtotal | 5.20 ± 0.02 (2) | 5.51 ± 0.03 (5) | <0.008 ± 0.01 |
| Cutotal | 39.63 ± 0.04 (100) | 101.43 ± 0.12 (n.r.) c | 9.5 ± 0.04 |
| Crtotal | 21.26 ± 0.03 (150) | 36.84 ± 0.08 (100) | 1.3 ± 0.03 |
| Nitotal | 3.5 ± 0.03 (100) | 10.38 ± 0.02(60) | 0.2 ± 0.05 |
| Hgtotal | 0.062 ± 0.012 | 0.10 ± 0.012(2) | <0.002 ± 0.004 |
| Astotal | 0.15 ± 0.08 (10) | 1.39 ± 0.08 (n.r.) | 0.03 ± 0.01 |
| Experiment Setup | Description | Abbreviation |
|---|---|---|
| Experiment 1 (EX 1) | Control compost without organic amendments | CC |
| Experiment 1 (EX 1) | Compost with 10% (v/w) of rabbit manure biochar | CBC |
| Experiment 2 (EX 2) | Control soil without organic amendments | CS |
| Experiment 2 (EX 2) | Soil with 30% (v/w) rabbit manure biochar and compost MIX * | SCBC |
| Treatment | pH in H2O | CEC 1 cmol(+)/kg | TOC 2 % | TN 3 (%) | C:N |
|---|---|---|---|---|---|
| CC | 7.62 a | 181.24 ± 0.12 a | 9.31 ± 0.06 a | 0.71 ± 0.04 a | 12 |
| CBC | 7.82 b | 182.94 ± 0.16 a | 9.54 ± 0.04 b | 0.69 ± 0.03 a | 14 |
| CS | 5.36 ± 0.02 a | 1.71 ± 0.12 a | 1.18 ± 0.08 a | 0.081 ± 0.04 a | 22 |
| SCBC | 6.10 ± 0.03 b | 17.38 ± 0.14 b | 1.57 ± 0.09 b | 0.090 ± 0.05 b | 20 |
| Treatment | Cu | Cr | Pb | Cd | Treatment | Cu | Cr | Pb | Cd |
|---|---|---|---|---|---|---|---|---|---|
| Lettuce | Lettuce | ||||||||
| CS | 0.81 | 0.94 | 0.09 | 0.38 | CC | 0.50 | 0.11 | 0.08 | 0.74 |
| SBCB | 0.73 | 0.72 | 0.06 | 0.38 | CBC | 0.49 | 0.17 | 0.05 | 0.41 |
| Spinach | Spinach | ||||||||
| CS | 0.86 | 1.06 | 0.09 | 0.38 | CS | 0.77 | 0.49 | 0.04 | 0.73 |
| SBCB | 0.71 | 0.56 | 0.05 | 0.28 | SBCB | 0.70 | 0.29 | 0.03 | 0.28 |
| Corn salad | Corn salad | ||||||||
| CS | 0.88 | 0.46 | 0.14 | 0.40 | CS | 0.38 | 0.46 | 0.03 | 0.30 |
| SBCB | 0.65 | 0.53 | 0.05 | 0.26 | SBCB | 0.32 | 0.54 | 0.05 | 0.33 |
| Kale | Kale | ||||||||
| CS | 0.50 | 1.45 | 0.10 | 0.40 | CS | 0.27 | 0.38 | 0.06 | 0.60 |
| SBCB | 0.20 | 0.54 | 0.05 | 0.27 | SBCB | 0.32 | 0.52 | 0.05 | 0.44 |
| Mustard greens | Mustard greens | ||||||||
| CS | 1.09 | 0.24 | 0.41 | 0.28 | CS | 0.55 | 0.41 | 0.08 | 0.40 |
| SBCB | 0.45 | 0.07 | 0.25 | 0.15 | SBCB | 0.52 | 0.54 | 0.02 | 0.17 |
Publisher’s Note: MDPI stays neutral with regard to jurisdictional claims in published maps and institutional affiliations. |
© 2022 by the authors. Licensee MDPI, Basel, Switzerland. This article is an open access article distributed under the terms and conditions of the Creative Commons Attribution (CC BY) license (https://creativecommons.org/licenses/by/4.0/).
Share and Cite
Medyńska-Juraszek, A.; Marcinkowska, K.; Gruszka, D.; Kluczek, K. The Effects of Rabbit-Manure-Derived Biochar Co-Application with Compost on the Availability and Heavy Metal Uptake by Green Leafy Vegetables. Agronomy 2022, 12, 2552. https://doi.org/10.3390/agronomy12102552
Medyńska-Juraszek A, Marcinkowska K, Gruszka D, Kluczek K. The Effects of Rabbit-Manure-Derived Biochar Co-Application with Compost on the Availability and Heavy Metal Uptake by Green Leafy Vegetables. Agronomy. 2022; 12(10):2552. https://doi.org/10.3390/agronomy12102552
Chicago/Turabian StyleMedyńska-Juraszek, Agnieszka, Katarzyna Marcinkowska, Dariusz Gruszka, and Kamila Kluczek. 2022. "The Effects of Rabbit-Manure-Derived Biochar Co-Application with Compost on the Availability and Heavy Metal Uptake by Green Leafy Vegetables" Agronomy 12, no. 10: 2552. https://doi.org/10.3390/agronomy12102552
APA StyleMedyńska-Juraszek, A., Marcinkowska, K., Gruszka, D., & Kluczek, K. (2022). The Effects of Rabbit-Manure-Derived Biochar Co-Application with Compost on the Availability and Heavy Metal Uptake by Green Leafy Vegetables. Agronomy, 12(10), 2552. https://doi.org/10.3390/agronomy12102552

