A Comparative Study on the Nutritional, Antioxidant, Thermal, Morphological and Diffraction Properties of Selected Cucurbit Seeds
Abstract
:1. Introduction
2. Materials and Methods
2.1. Material
2.1.1. Sample Collection and Preparation
2.1.2. Chemicals and Reagents Used
2.2. Methods
2.2.1. Determination of Nutritional Composition
2.2.2. Determination of Water Activity
2.2.3. Determination of PH
2.2.4. Determination of Color
2.2.5. Determination of Minerals
2.2.6. Determination of Vitamin Content
2.2.7. Determination of Amino Acids
2.2.8. Fatty Acid Profiling
2.2.9. Determination of Antinutritional Properties
2.2.10. Determination of Total Antioxidant Activity, Phenolic and Flavonoids Content
2.2.11. Functional Group Analysis
2.2.12. Thermal Characterization
2.2.13. Morphological Analysis
2.2.14. X-ray Diffraction Properties
2.2.15. Statistical Analysis
3. Results and Discussion
3.1. Nutritional Composition
3.2. PH
3.3. Color
3.4. Mineral Content
3.5. Vitamin Content
3.6. Amino Acid Content
3.7. Fatty Acid Profile
3.8. Antinutritional Factors
3.9. Antioxidant Activity, TPC and TFC
3.10. Functional Group Analysis
3.11. Thermal Properties
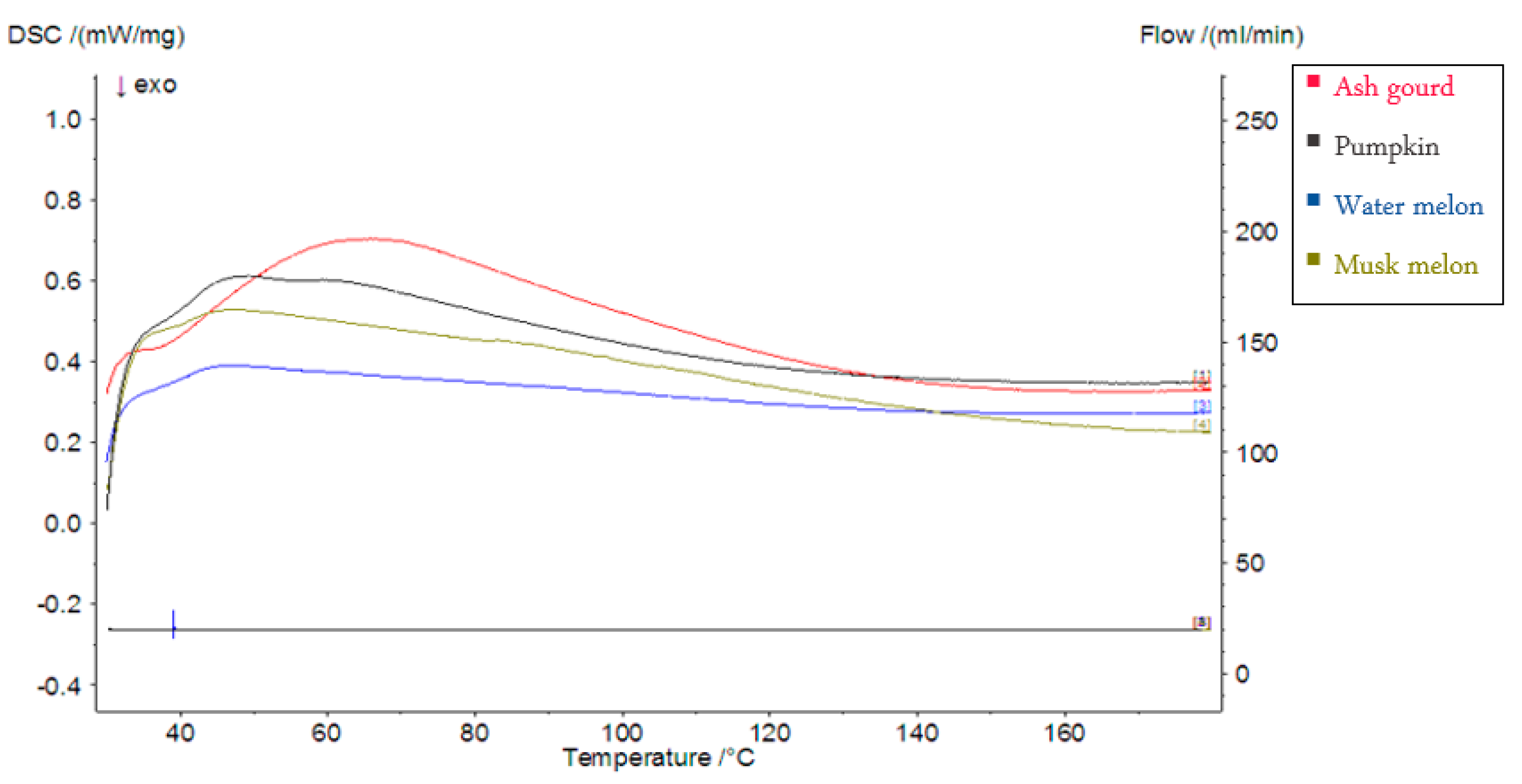
3.11.1. Thermal Transition Behavior
3.11.2. Thermal Degradation Profile by Thermogravimetric and Derivative Thermogravimetric Analysis (TGA and DTG)
3.12. Morphological Analysis
3.13. X-ray Diffraction Properties
4. Conclusions
Author Contributions
Funding
Acknowledgments
Conflicts of Interest
Abbreviations
| ANOVA | Analysis of Variance |
| AOAC | Association of Official Agricultural Chemist |
| Aw | Water Activity |
| C | Chroma |
| CI | Color Index |
| ΔE | Total Color Difference |
| DTG | Derivative Thermogravimetric |
| DSC | Differential Scanning Calorimetry |
| DPPH | 1,1-diphenyl-2-picrylhydrazyl |
| FAO | Food and Agriculture Organization |
| FAOSTAT | Food and Agriculture Organization Corporate Statistical Database |
| FLW | Food Losses and Waste |
| FTIR | Fourier Transform Infrared |
| HPLC | High-Performance Liquid Chromatography |
| H° | Hue Angle |
| RH | Relative Humidity |
| SEM | Scanning Electron Microscope |
| SD | Standard Deviation |
| TFC | Total Flavonoid Content |
| TGA | Thermogravimetric Analysis |
| TPC | Total Phenolic Content |
| US$ | United States of America Dollar |
| USF | Unsaturated Fatty Acids |
| XRD | X-ray Diffraction |
References
- Akuamoah, F.; Odamtten, G.T.; Kortei, N.K. Influence of gamma irradiation on the colour parameters of dry smoked shrimps (Penaeus notialis). Food Res. 2018, 2, 350–355. [Google Scholar] [CrossRef]
- Armesto, J.; Rocchetti, G.; Senizza, B.; Pateiro, M.; Barba, F.J.; Domínguez, R.; Lorenzo, J.M. Nutritional characterization of Butternut squash (Cucurbita moschata D.): Effect of variety (Ariel vs. Pluto) and farming type (conventional vs. organic). Food Res. Int. 2020, 132, 109052. [Google Scholar] [CrossRef] [PubMed]
- Barbi, R.C.T.; Hornung, P.S.; Avila, S.; Alves, F.E.D.S.B.; Beta, T.; Ribani, R.H. Ripe and unripe inaja (Maximilia maripa) fruit: A new high source of added value bioactive compounds. Food Chem. 2020, 331, 127333. [Google Scholar] [CrossRef]
- Dhen, N.; Rejeb, I.B.; Martínez, M.M.; Román, L.; Gómez, M.; Gargouri, M. Effect of apricot kernels flour on pasting properties, pastes rheology and gels texture of enriched wheat flour. Eur. Food Res. Technol. 2017, 243, 419–428. [Google Scholar] [CrossRef]
- Dhiman, A.K.; Bavita, K.; Attri, S.; Ramachandran, P. Preparation of pumpkin powder and pumpkin seed kernel powder for supplementation in weaning mix and cookies. Int. J. Chem. Stud. 2018, 6, 167–175. [Google Scholar]
- Ebert, A.W.; Drummond, E.; Giovannini, P.; van Zonneveld, M. A Global Conservation Strategy for Crops in the Cucurbitaceae Family; (No. BOOK); Global Crop Diversity Trust: Bonn, Germany, 2021. [Google Scholar]
- Emmanuel, A.M.; Phatlane, W.M.; Phetole, M. Comparative analysis of the chemical compositions of indigenous watermelon (Citrullus lanatus) seeds from two districts in Limpopo Province, South Africa. Afr. J. Biotechnol. 2018, 17, 1001–1006. [Google Scholar] [CrossRef]
- Falade, O.S.; Otemuyiwa, I.O.; Adekunle, A.S.; Adewusi, S.A.; Oluwasefunmi, O. Nutrient composition of watermelon (Citrullus lanatus (Thunb.) Matsum. &Nakai) and egusi melon (Citrullus colocynthis (L.) Schrad.) seeds. Agric. Consp. Sci. 2020, 85, 43–49. [Google Scholar]
- Gade, S.R.; Meghwal, M.; Prabhakar, P.K. Engineering properties of dried ash gourd (Benincasa hispida Cogn) seeds: Mass modeling and its analysis. J. Food Process Eng. 2020, 43, e13545. [Google Scholar] [CrossRef]
- Gomez-Garcia, R.; Campos, D.A.; Aguilar, C.N.; Madureira, A.R.; Pintado, M. Valorisation of food agro-industrial by-products: From the past to the present and perspectives. J. Environ. Manag. 2021, 299, 113571. [Google Scholar] [CrossRef]
- Habib, A.; Biswas, S.; Siddique, A.H.; Manirujjaman, M.; Uddin, B.; Hasan, S.; Asaduzzaman, M. Nutritional and lipid composition analysis of pumpkin seed (Cucurbita maxima Linn.). J. Nutr. Food Sci. 2015, 5, 374. [Google Scholar] [CrossRef]
- Ibukun, E.O.; Anyasi, O.J. Changes in antinutrient and nutritional values of fermented sesame (Sesamum indicum), musk melon (Cucumis melo) and white melon (Cucumeropsis mannii). Int. J. Adv. Biotechnol. 2013, 4, 131–214. [Google Scholar]
- Irnawati, I.; Riyanto, S.; Martono, S.; Rohman, A. The employment of FTIR spectroscopy and chemometrics for the classification and prediction of antioxidant activities of pumpkin seed oils from different origins. J. Appl. Pharm. Sci. 2021, 11, 100–107. [Google Scholar] [CrossRef]
- Ismail, H.I.; Chan, K.W.; Mariod, A.A.; Ismail, M. Phenolic content and antioxidant activity of cantaloupe (Cucumis melo) methanolic extracts. Food Chem. 2010, 119, 643–647. [Google Scholar] [CrossRef]
- Jacob, A.G.; Etong, D.I.; Tijjani, A. Proximate, mineral and anti-nutritional compositions of melon (Citrullus lanatus) seeds. Br. J. Res. 2015, 2, 142–151. [Google Scholar]
- Ji, J.; Liu, Y.; Shi, L.; Wang, N.; Wang, X. Effect of roasting treatment on the chemical composition of sesame oil. LWT 2019, 101, 191–200. [Google Scholar] [CrossRef]
- Kamble, D.B.; Singh, R.; Rani, S.; Kaur, B.P.; Upadhyay, A.; Kumar, N. Optimization and characterization of antioxidant potential, in vitro protein digestion and structural attributes of microwave processed multigrain pasta. J. Food Process. Preserv. 2019, 43, e14125. [Google Scholar] [CrossRef]
- Karrar, E.; Sheth, S.; Wei, W.; Wang, X. Gurum (Citrullus lanatus var. Colocynthoide) seed: Lipid, amino acid, mineral, proximate, volatile compound, sugar, vitamin composition and functional properties. J. Food Meas. Charact. 2019, 13, 2357–2366. [Google Scholar] [CrossRef]
- Keshani, S.; Daud, W.R.W.; Woo, M.W.; Nourouzi, M.M.; Talib, M.Z.M.; Chuah, A.L.; Russly, A.R. Reducing the deposition of fat and protein covered particles with low energy surfaces. J. Food Eng. 2013, 116, 737–748. [Google Scholar] [CrossRef]
- Lima, B.N.B.; Lima, F.F.; Tavares, M.I.B.; Costa, A.M.M.; Pierucci, A.P.T.R. Determination of the centesimal composition and characterization of flours from fruit seeds. Food Chem. 2014, 151, 293–299. [Google Scholar] [CrossRef]
- Madhukar, B.S.; Gowda, D.B.; Madhukar, B.S.; Somashekar, R. Evaluation of Mechanical, Thermal, and Morphological Behaviors of Polyurethane/Mahua Seed Cake Green Composite. Adv. Polym. Technol. 2015, 36, 186–195. [Google Scholar] [CrossRef]
- Mallek-Ayadi, S.; Bahloul, N.; Kechaou, N. Phytochemical profile, nutraceutical potential and functional properties of Cucumis melo L. seeds. J. Sci. Food Agric. 2018, 99, 1294–1301. [Google Scholar] [CrossRef] [PubMed]
- Mallek-Ayadi, S.; Bahloul, N.; Kechaou, N. Chemical composition and bioactive compounds of Cucumis melo L. seeds: Potential source for new trends of plant oils. Process Saf. Environ. Prot. 2018, 113, 68–77. [Google Scholar] [CrossRef]
- Mohaammed, S.S.; Paiko, Y.B.; Mann, A.; Ndamitso, M.M.; Mathew, J.T.; Maaji, S. Proximate, mineral and anti-nutritional composition of Cucurbita maxima fruits parts. Niger. J. Chem. Res. 2014, 19, 37–49. [Google Scholar]
- Montesano, D.; Blasi, F.; Simonetti, M.S.; Santini, A.; Cossignani, L. Chemical and nutritional characterization of seed oil from Cucurbita maxima L.(var. Berrettina) pumpkin. Foods 2018, 7, 30. [Google Scholar] [CrossRef] [PubMed]
- Nyakuma, B.; Oladokun, O.; Dodo, Y.; Wong, S.; Uthman, H.; Halim, M. Fuel characterization and thermogravimetric analysis of melon (Citrullus colocynthis L.) seed husk. Chem. Chem. Technol. 2016, 10, 493–497. [Google Scholar] [CrossRef]
- Olawoye, B.; Gbadamosi, S.O. Influence of processing on the physiochemical, functional and pasting properties of Nigerian Amaranthus viridis seed flour: A multivariate analysis approach. SN Appl. Sci. 2020, 2, 1–13. [Google Scholar] [CrossRef]
- Pruksasri, S.; Novalin, S. A comprehensive processing of rice bran as a multicomponent resource. Waste Biomass Valoriz. 2018, 9, 1597–1606. [Google Scholar] [CrossRef]
- Rayees, B.; Dorcus, M.; Chitra, S. Nutritional composition and oil fatty acids of Indian winter melon Benincasa hispida (Thunb.) seeds. Int. Food Res. J. 2013, 20, 1151–1155. [Google Scholar]
- Redrouthu, R.; Venkatesa, P.S.; Zergu, B. Extraction of Essential Oils from Pumpkin Seeds: RSM Based Process Modeling, Optimization and Oil Characterization. Int. J. Eng. Adv. Technol. 2020, 9, 1787–1797. [Google Scholar] [CrossRef]
- Rezig, L.; Chouaibi, M.; Meddeb, W.; Msaada, K.; Hamdi, S. Chemical composition and bioactive compounds of Cucurbitaceae seeds: Potential sources for new trends of plant oils. Process Saf. Environ. Prot. 2019, 127, 73–81. [Google Scholar] [CrossRef]
- Ricci, L.; Umilta, E.; Righetti, M.C.; Messina, T.; Zurlini, C.; Montanari, A.; Bronco, S.; Bertoldo, M. On the thermal behavior of protein isolated from different legumes investigated by DSC and TGA. J. Sci. Food Agric. 2018, 98, 5368–5377. [Google Scholar] [CrossRef] [PubMed]
- Rico, X.; Gullon, B.; Alonso, J.L.; Yanez, R. Recovery of high value-added compounds from pineapple, melon, watermelon and pumpkin processing by-products: An overview. Food Res. Int. 2020, 132, 109086. [Google Scholar] [CrossRef]
- Rolnik, A.; Olas, B. Vegetables from the Cucurbitaceae family and their products: Positive effect on human health. Nutrition 2020, 78, 110788. [Google Scholar] [CrossRef]
- Sanchez-Arteaga, H.M.; Urías-Silvas, J.E.; Espinosa-Andrews, H.; García-Márquez, E. Effect of chemical composition and thermal properties on the cooking quality of common beans (Phaseolus vulgaris). CyTA-J. Food 2015, 13, 385–391. [Google Scholar] [CrossRef]
- Sonawane, S.K.; Bagul, M.B.; LeBlanc, J.G.; Arya, S.S. Nutritional, functional, thermal and structural characteristics of Citrullus lanatus and Limonia acidissima seed flours. J. Food Meas. Charact. 2016, 10, 72–79. [Google Scholar] [CrossRef]
- Seal, T.; Chaudhuri, K.; Pillai, B. A rapid high-performance liquid chromatography method for the simultaneous estimation of water-soluble vitamin in ten wild edible plants consumed by the tribal people of North-eastern Region in India. Pharmacogn. Mag. 2018, 14, 72–77. [Google Scholar] [CrossRef]
- Senrayan, J.; Venkatachalam, S. Solvent-assisted extraction of oil from papaya (Carica papaya L.) seeds: Evaluation of its physiochemical properties and fatty-acid composition. Sep. Sci. Technol. 2018, 53, 2852–2859. [Google Scholar] [CrossRef]
- Seymen, M.; Uslu, N.; Turkmen, O.; Al Juhaimi, F.; Ozcan, M.M. Chemical compositions and mineral contents of some hull-less pumpkin seed and oils. J. Am. Oil Chem. Soc. 2016, 93, 1095–1099. [Google Scholar] [CrossRef]
- Singh, R.; Das, R.; Sangwan, S.; Rohatgi, B.; Khanam, R.; Peera, S.K.; Misra, S. Utilisation of agro-industrial waste for sustainable green production: A review. Environ. Sustain. 2021, 4, 619–636. [Google Scholar] [CrossRef]
- Sonawane, A.; Pathak, S.S.; Pradhan, R.C. Physical, thermal, and mechanical properties of bael fruit. J. Food Process Eng. 2020, 43, e13393. [Google Scholar] [CrossRef]
- Swer, T.L.; Chauhan, K.; Mukhim, C.; Bashir, K.; Kumar, A. Application of anthocyanins extracted from Sohiong (Prunus nepalensis L.) in food processing. LWT 2019, 114, 108360. [Google Scholar] [CrossRef]
- Syed, Q.A.; Akram, M.; Shukat, R. Nutritional and therapeutic importance of the pumpkin seeds. Biomed. J. Sci. Technol. Res. 2019, 21, 15798–15803. [Google Scholar] [CrossRef]
- Trigui, I.; Yaich, H.; Zouari, A.; Cheikh-Rouhou, S.; Blecker, C.; Attia, H.; Ayadi, M.A. Structure-function relationship of black cumin seeds protein isolates: Amino-acid profiling, surface characteristics, and thermal properties. Food Struct. 2021, 29, 100203. [Google Scholar] [CrossRef]
- Uzombah, T.A.; Awonorin, S.O.; Shittu, T.A.; Adewumi, B.A. Effect of processing parameters on the proximate and antinutritive properties of mango kernel flour processed for food applications. J. Food Process. Preserv. 2019, 43, e14131. [Google Scholar] [CrossRef]
- Wang, H.; Li, D.; Wan, C.; Luo, Y.; Yang, Q.; Gao, X.; Feng, B. Improving the functionality of proso millet protein and its potential as a functional food ingredient by applying nitrogen fertiliser. Foods 2021, 10, 1332. [Google Scholar] [CrossRef]
- Zaini, N.A.M.; Anwar, F.; Hamid, A.A.; Saari, N. Kundur [Benincasa hispida (Thunb.) Cogn.]: A potential source for valuable nutrients and functional foods. Food Res. Int. 2011, 44, 2368–2376. [Google Scholar] [CrossRef]






| Component | Ash Gourd | Pumpkin | Watermelon | Musk Melon |
|---|---|---|---|---|
| Proximate Composition (%) | ||||
| Moisture | 5.2 ± 0.020 c | 5.6 ± 0.010 b | 5.1 ± 0.010 d | 5.85 ± 0.010 a |
| Protein | 18 ± 0.026 d | 23.55 ± 0.030 b | 35.43 ± 0.020 a | 19.14 ± 0.020 c |
| Fat | 56.66 ± 0.003 a | 26.4 ± 0.020 d | 39.8 ± 0.020 c | 42 ± 0.010 b |
| Ash | 6.28 ± 0.010 a | 3.83 ± 0.017 d | 5.31 ± 0.020 b | 4.46 ±0.010 c |
| Fiber | 10.96 ± 0.010 c | 18.4 ± 0.010 a | 6.69 ± 0.010 d | 15.67 ± 0.020 b |
| Carbohydrate | 2.89 ± 0.030 d | 22.22 ± 0.026 a | 7.67 ± 0.034 c | 12.88 ± 0.026 b |
| Calorific Value (Kcal/100 g) | 593.55 ± 0.093 a | 420.68 ± 0.053 d | 530.6 ± 0.156 b | 506.08 ± 0.115 c |
| Water activity | 0.349 ± 0.001 b | 0.353 ± 0.003 a | 0.347 ± 0.001 b | 0.356 ± 0.002 a |
| pH | 6.52 ± 0.030 a | 6.28 ± 0.036 c | 6.11 ± 0.026 d | 6.41 ± 0.020 b |
| Minerals (mg/100 g) | ||||
| Potassium | 1286± 0.050 a | 1146.46 ±0.0173 b | 920 ± 0.026 d | 994.73 ±0.020 c |
| Phosphorus | 1198 ± 0.045 a | 93.69 ± 0.025 c | 769 ± 0.050 b | 65 ± 0.030 d |
| Calcium | 87.60 ± 0.020 a | 75.15 ± 0.020 b | 40.58 ± 0.010 d | 61.73 ± 0.020 c |
| Magnesium | 1330.95 ± 0.038 a | 1012.73 ± 0.026 b | 282 ± 0.030 d | 528.15 ± 0.045 c |
| Sulphur | 319.71 ± 0.097 a | 120.63 ± 0.020 b | 116.35 ± 0.030 c | 81.3 ± 0.020 d |
| Sodium | 98.2 ± 0.020 a | 82.2 ± 0.036 b | 22.03 ± 0.040 d | 53.36 ± 0.037 c |
| Iron | 13.06 ± 0.015 b | 20 ± 0.030 a | 10.22 ± 0.017 c | 5.51 ± 0.015 d |
| Zinc | 29.49 ± 0.037 a | 10.25 ± 0.020 b | 7.65 ± 0.030 c | 6.73 ± 0.015 d |
| Manganese | 4.17 ± 0.025 c | 7 ± 0.037 a | 3.49 ± 0.020 d | 5.24 ± 0.030 b |
| Cupper | 0.49 ± 0.010 d | 2.13 ± 0.026 b | 1.36 ± 0.017 c | 3.57 ± 0.026 a |
| Vitamins (mg/100 g) | ||||
| Vitamin C | 80.62 ± 0.025 a | 79.38 ± 0.040 b | 61.17 ± 0.075 d | 75.37 ± 0.075 c |
| B1 | 0.21 ± 0.040 c | 0.28 ± 0.010 b,c | 2.26 ± 0.079 a | 0.33 ± 0.040 b |
| B2 | 0.19 ± 0.020 c | 0.16 ± 0.010 c | 1.07 ± 0.052 a | 1 ± 0.043 b |
| B3 | 4.8 ± 0.020 b | 5.10 ± 0.086 a | 3.29 ± 0.070 d | 4.11 ± 0.030 c |
| B5 | 0.68 ± 0.030 a | 0.75 ± 0.050 a | 0.12 ± 0.017 b | 0.17 ± 0.050 b |
| B6 | 1.4 ± 0.040 c | 1.42 ± 0.043 c | 11.29 ± 0.072 a | 1.6 ± 0.040 b |
| B9 | 1.1 ± 0.040 c | 2.1 ± 0.050 b | 10.1 ± 0.050 a | 1.12 ± 0.035 c |
| Vitamin A | 86.34 ± 0.060 c | 80.17 ± 0.070 d | 89.11 ± 0.070 b | 98.47 ± 0.070 a |
| Vitamin E | 496.72 ±0.080 c | 517.66 ± 0.060 b | 470.26 ± 0.047 d | 523.14 ± 0.045 a |
| Color | ||||
| L* | 70.81 ± 0.149 c | 38.33 ± 0.280 d | 72.54 ± 0.231 b | 73.41 ± 0.298 a |
| a* | 2.44 ± 0.110 b | −1.39 ± 0.153 c | 2.38 ± 0.207 b | 2.97 ± 0.227 a |
| b* | 20.09 ± 0.578 a | 12.67 ± 0.159 b | 20.11 ± 0.132 a | 20.24 ± 0.199 a |
| Chroma | 20.44 ± 0.586 a | 12.75 ± 0.175 b | 20.24 ± 0.150 a | 20.45 ± 0.192 a |
| ) | 83.06 ± 0.155 a | −83.71 ± 0.601 c | 83.23 ± 0.548 a | 81.63 ± 0.654 b |
| ΔE | 7.37 ± 0.103 b | 7.87 ± 0.038 a | 7.07 ± 0.052 c | 6.94 ± 0.083 c |
| Color Index | 1.71 ± 0.041 a,b | −2.87 ± 0.293 c | 1.63 ± 0.132 b | 2 ± 0.158 a |
| Amino Acids | Ash Gourd | Pumpkin | Watermelon | Musk Melon |
|---|---|---|---|---|
| Alanine | 2.47 ± 0.080 d | 4.76 ± 0.070 a | 3.17 ± 0.060 c | 3.51 ± 0.050 b |
| Arginine | 4.79 ± 0.055 d | 6.28 ± 0.052 c | 8.73 ± 0.050 a | 7.24 ± 0.050 b |
| Aspartic acid | 6.14 ± 0.050 a | 2.17 ± 0.036 d | 2.23 ± 0.036 c | 5.71 ± 0.040 b |
| Cystine | 1.06 ± 0.036 c | 2.54 ± 0.062 b | 1.13 ± 0.040 c | 3.43 ± 0.052 a |
| Glutamic acid | 9.48 ± 0.040 a | 3.93 ± 0.052 d | 4.91 ± 0.040 c | 8.77 ± 0.065 b |
| Glycine | 1.11 ± 0.026 c | 3.27 ± 0.036 a | 1.16 ± 0.050 c | 2.68 ± 0.06 b |
| Histidine | 1.16 ± 0.020 c | 1.69 ± 0.050 a | 1.43 ± 0.050 b | 1.14 ± 0.040 c |
| Isoleucine | 2.57 ± 0.055 d | 3.18 ± 0.040 c | 4.37 ± 0.060 a | 3.76 ± 0.060 b |
| Leucine | 3.86 ± 0.030 c | 5.75 ± 0.050 a | 4.41 ± 0.050 b | 3.38 ± 0.070 d |
| Lysine | 1.14 ± 0.030 d | 3.62 ± 0.0655 a | 1.81 ± 0.040 b | 1.53 ± 0.050 c |
| Methionine | 1.01 ± 0.010 b | 1.08 ± 0.026 b | 1.23 ± 0.060 a | 1.04 ± 0.030 b |
| Phenylalanine | 3.17 ± 0.036 d | 5.39 ± 0.051 a | 3.27 ± 0.060 c | 3.84 ± 0.050 b |
| Proline | 2.11 ± 0.020 d | 3.51 ± 0.051 a | 3.14 ± 0.052 b | 2.73 ± 0.52 c |
| Serine | 2.41 ± 0.055 d | 4.68 ± 0.045 a | 3.21 ± 0.030 c | 4.18 ± 0.030 b |
| Threonine | 1.17 ± 0.034 d | 2.46 ± 0.062 b | 1.42 ± 0.050 c | 2.86 ± 0.030 a |
| Tryptophan | 1.01 ± 0.010 b | 1.03 ± 0.020 b | 1.03 ± 0020 b | 1.12 ± 0.017 a |
| Tyrosine | 1.13 ± 0.030 d | 2.86 ± 0.045 c | 3.41 ± 0.055 a | 3.16 ± 0.060 b |
| Valine | 2.71 ± 0.036 d | 4.13 ± 0.036 b | 4.87 ± 0.070 a | 3.24 ± 0.045 c |
| Fatty Acids | Ash Gourd | Pumpkin | Watermelon | Musk Melon | |
|---|---|---|---|---|---|
| Myristic acid | C14:0 | 0.01 ± 0.052 d | 0.21 ± 0.070 a | 0.13 ± 0.030 c | 0.16 ± 0.048 b |
| Palmitic acid | C16:0 | 8.59 ± 0.027 b | 12.78 ± 0.010 a | 10.37 ± 0.034 d | 11.26 ± 0.020 c |
| Palmitoleic acid | C16:1 | 0.7 ±0.030 a | 0.66 ± 0.050 c | 0.34 ± 0.010 b | 0.11 ± 0.048 c |
| Margaric acid | C17:0 | 0.09 ± 0.020 c | 0.13 ± 0.061 a | 0.14 ± 0.060 a | 0.8 ± 0.010 b |
| Stearic acid | C18:0 | 4.63 ± 0.028 d | 7.21 ± 0.054 a | 5.33 ± 0.060 c | 6.28 ±0.071 b |
| Oleic acid | C18:1 | 12.26 ± 0.024 d | 12.38 ±0.015 b | 17.12 ± 0.045 a | 10 ± 0.036 c |
| Linoleic acid | C18:2 | 72.75 ± 0.054 a | 65.77 ±0.060 d | 65.7 ± 0.021 b | 70.69 ± 0.040 c |
| Linolenic acid | C18:3 α − 3 | 0.73 ± 0.036 a | 0.14 ± 0.010 d | 0.26 ± 0.046 b | 0.21 ± 0.031 c |
| Arachidic acid | C20:0 | 0.21 ± 0.026 c | 0.31 ± 0.070 a | 0.29 ± 0.040 b | 0.3 ± 0.010 d |
| Eicosanoic acid | C20:1 | 0.01 ± 0.057 d | 0.16 ± 0.040 b | 0.24 ± 0.010 a | 0.09 ± 0.070 c |
| Behenic acid | C22:0 | 0.01 ± 0.056 d | 0.14 ± 0.048 a | 0.03 ± 0.073 b | 0.02 ± 0.054 c |
| Lignoceric acid | C24:0 | 0.01± 0.015 d | 0.11 ± 0.023 a | 0.05 ± 0.045 c | 0.08 ± 0.060 b |
| Total saturated fatty acid | ∑SFA | 13.55 ± 0.031 c | 20.89 ± 0.024 a | 16.34 ± 0.054 d | 18.9 ± 0.026 b |
| Total unsaturated fatty acid | ∑UFA | 86.45 ± 0.012 a | 79.11 ± 0.054 b | 83.66 ± 0.026 b | 81.1 ± 0.031 b |
| Total monosaturated fatty acid | ∑MUFA | 12.97 ± 0.032 d | 13.2 ± 0.015 a | 17.7 ± 0.053 b | 10.2 ± 0.030 c |
| Total polysaturated fatty acid | ∑PUFA | 73.48 ± 0.054 a | 65.91 ± 0.025 d | 65.96 ± 0.028 c | 70.9 ± 0.031 b |
| Component | Ash Gourd | Pumpkin | Watermelon | Musk Melon |
|---|---|---|---|---|
| Phytates | 2.15 ± 0.050 d | 2.48 ± 0.045 c | 9 ± 0.040 a | 3.17 ± 0.045 b |
| Saponins | 7.13 ± 0.026 b | 2.18 ± 0.030 d | 3.16 ± 0.060 c | 8.18 ± 0.050 a |
| Alkaloids | 65 ± 0.030 a | 31.16 ± 0.050 d | 43 ± 0.050 c | 52 ± 0.040 b |
| Tannins | 1.11 ± 0.020 b | 1.46 ± 0.040 a | 0.82 ± 0.030 c | 0.7 ± 0.026 d |
| Oxalate | 0.13 ± 0.062 b | 0.21 ± 0.060 a,b | 0.18 ± 0.020 a,b | 0.24 ± 0.045 a |
| Cyanide | 0.015 ± 0.004 a | 0.019 ± 0.004 a | 0.021 ± 0.006 a | 0.018 ± 0.004 a |
| Component | Ash Gourd | Pumpkin | Watermelon | Musk Melon | Ascorbic Acid |
|---|---|---|---|---|---|
| Antioxidant activity (% DPPH) | 85.11 ± 0.062 b | 81.55 ± 0.003 d | 80.02 ± 0.036 e | 82.31 ± 0.055 c | 98.09 ± 0.053 a |
| TPC (mg GAE/100 g) | 176.07 ± 0.010 a | 175.11 ± 0.020 c | 170.86 ± 0.030 d | 175.28 ± 0.030 b | |
| TFC (mg QE/100 g) | 159.16 ± 0.020 a | 142.82 ± 0.030 c | 140.12 ± 0.035 d | 148.57 ± 0.040 b |
| Name of Samples | Onset (TO) °C | Peak (TP) °C | End (TC) °C | Enthalpy ΔH (J/g) |
|---|---|---|---|---|
| Ash gourd | 40.5 | 66.2 | 110.1 | 345.5217 |
| Pumpkin | 30.8 | 49.4 | 103.3 | 120.4836 |
| Watermelon | 29.8 | 47.0 | 93.3 | 111.4839 |
| Musk melon | 42.4 | 47.1 | 109.7 | 106.6942 |
| Name of Samples | Stage | TGA Peak Temperature °C (Tp) | Mass Loss during Decomposition Stage (%) | Residue Mass at 800 °C (%) | DTG Peak Temperature °C (Tp) |
|---|---|---|---|---|---|
| Ash gourd | 1 | 210 | 7.02 | 29 | 406.4 |
| 2 | 390 | 55.61 | |||
| 3 | 700 | 8.37 | |||
| Pumpkin | 1 | 214 | 7.41 | 11.02 | 386.5 |
| 2 | 395 | 57.07 | |||
| 3 | 700 | 24.50 | |||
| Watermelon | 1 | 218 | 6.66 | 27 | 385.4 |
| 2 | 390 | 54.58 | |||
| 3 | 700 | 11.76 | |||
| Musk melon | 1 | 210 | 7.81 | 19 | 393.7 |
| 2 | 390 | 53.73 | |||
| 3 | 700 | 19.46 |
| Sample | 2θ (Degree) | θ (Degree) | θ (Radians) | Cos θ (Radians) | β = FWHM (Degree) | β = FWHM (Radians) | D = 0.9λ/βcos θ (Radians) | Degree of Crystallinity |
|---|---|---|---|---|---|---|---|---|
| Ash gourd | 20.8143 | 10.4071 | 0.18164 | 0.98355 | 11.2243 | 0.1959 | 0.7198 | 41.2415 |
| Pumpkin | 19.9067 | 9.95334 | 0.17372 | 0.98495 | 12.7034 | 0.22172 | 0.63509 | 36.3878 |
| Watermelon | 20.2507 | 10.1254 | 0.17672 | 0.98443 | 12.8226 | 0.2238 | 0.62952 | 36.0688 |
| Musk melon | 19.7523 | 9.87617 | 0.17237 | 0.98518 | 12.6097 | 0.22008 | 0.63966 | 36.6496 |
Publisher’s Note: MDPI stays neutral with regard to jurisdictional claims in published maps and institutional affiliations. |
© 2022 by the authors. Licensee MDPI, Basel, Switzerland. This article is an open access article distributed under the terms and conditions of the Creative Commons Attribution (CC BY) license (https://creativecommons.org/licenses/by/4.0/).
Share and Cite
Gade, S.R.; Meghwal, M.; Prabhakar, P.K.; Giuffrè, A.M. A Comparative Study on the Nutritional, Antioxidant, Thermal, Morphological and Diffraction Properties of Selected Cucurbit Seeds. Agronomy 2022, 12, 2242. https://doi.org/10.3390/agronomy12102242
Gade SR, Meghwal M, Prabhakar PK, Giuffrè AM. A Comparative Study on the Nutritional, Antioxidant, Thermal, Morphological and Diffraction Properties of Selected Cucurbit Seeds. Agronomy. 2022; 12(10):2242. https://doi.org/10.3390/agronomy12102242
Chicago/Turabian StyleGade, Sanghmitra R., Murlidhar Meghwal, Pramod K. Prabhakar, and Angelo Maria Giuffrè. 2022. "A Comparative Study on the Nutritional, Antioxidant, Thermal, Morphological and Diffraction Properties of Selected Cucurbit Seeds" Agronomy 12, no. 10: 2242. https://doi.org/10.3390/agronomy12102242
APA StyleGade, S. R., Meghwal, M., Prabhakar, P. K., & Giuffrè, A. M. (2022). A Comparative Study on the Nutritional, Antioxidant, Thermal, Morphological and Diffraction Properties of Selected Cucurbit Seeds. Agronomy, 12(10), 2242. https://doi.org/10.3390/agronomy12102242

