Next Article in Journal
Development of a Co-Dominant Cleaved Amplified Polymorphic Sequences Assay for the Rapid Detection and Differentiation of Two Pathogenic Clarireedia spp. Associated with Dollar Spot in Turfgrass
Next Article in Special Issue
Ectopic Expression of Os-miR408 Improves Thermo-Tolerance of Perennial Ryegrass
Previous Article in Journal
Modeling of Durum Wheat Yield Based on Sentinel-2 Imagery
 
 
Font Type:
Arial Georgia Verdana
Font Size:
Aa Aa Aa
Line Spacing:
Column Width:
Background:
Article

Evaluation of Salt Tolerance in Italian Ryegrass at Different Developmental Stages

1
CAS Key Laboratory of Plant Germplasm Enhancement and Specialty Agriculture, Wuhan Botanical Garden, Chinese Academy of Sciences, Wuhan 430074, China
2
Center of Economic Botany, Core Botanical Gardens, Chinese Academy of Sciences, Wuhan 430074, China
3
School of Resources and Environmental Engineering, Ludong University, Yantai 264025, China
4
Jiangxi Engineering and Technology Research Center for Ecological Remediation of Heavy Metal Pollution, Institute of Microbe, Jiangxi Academy of Sciences, Nanchang 330096, China
*
Authors to whom correspondence should be addressed.
These authors contributed equally to this work.
Agronomy 2021, 11(8), 1487; https://doi.org/10.3390/agronomy11081487
Submission received: 7 May 2021 / Revised: 17 July 2021 / Accepted: 20 July 2021 / Published: 27 July 2021
(This article belongs to the Special Issue Recent Advances in Turfgrass Responses to Abiotic and Biotic Stresses)

Abstract

:
Soil salinity is one of the major abiotic stresses that continues to threaten plant growth and agricultural productivity. Screening germplasm with salinity tolerance is therefore necessary. This study was designed to evaluate salt tolerance based on the integrated tolerance index. Fifteen Italian ryegrass cultivars were used to evaluate the degree of genotypic variation in salt tolerance at the germination and vegetative growth stages of plant development. Evident variations in salt tolerance were observed at the germination stage under 255 mM NaCl treatment. Root growth rate, chlorophyll content, and germination rates played a vital role in determining salt tolerance. Based on combined attributes at the germination and vegetative growth stages, Gongniu, Chuangnong, Splendor, and Abundant were identified as the most tolerant cultivars. Furthermore, the constant crude protein, lower neutral detergent fiber, and acid detergent fiber contents were measured under salinity. Compared to the control, the cultivars Tetragold, Abundant, Splendor, Muyao, Harukaze, Tegao, Dongmu 70, and Doraian were identified to have high forage quality under salt stress. Finally, we selected Splendor and Abundant as the cultivars that expressed the highest degree of salt tolerance based on combined attributes related to germination, salt tolerance, and overall forage quality. In addition, gene expression analysis between salinity tolerant and sensitive cultivars revealed that the gene response to photosystem and carbohydrate synthesis may have played a mediating role in providing tolerance to salt stress.

1. Introduction

The salinity of soil or water is a major abiotic stress that hinders plant growth and limits the production capabilities of agricultural soils worldwide [1]. Salinity issues are caused by a variety of factors, such as climatic conditions, human activity, and landforms. Soils are classified as saline when the effective concentration value (ECe) reaches 4 dS/m (40 mM NaCl) or more, which significantly reduces the yield of most crops. Globally, more than 800 million hectares of land are affected by salt, equating to more than 6% of the world’s total land area [2]. In China, 100 million hectares of soil are affected by salt and the area of saline land is increasing every year [3].
The identification of salt-tolerant plants and their cultivation could be a promising solution for land reclamation with saline soils. Therefore, screening of salt-tolerant germplasm is important for determining the existence of a genetic basis for breeding purposes [4]. Collecting and assessing germplasm that is suitable for saline soils is the first step in finding genetic variation in salt tolerance. Recently, research on salt tolerance in forage species has become increasingly important in saline soils. In China, only marginal land, such as saline soils, is available for planting forage species due to competition between the increasing population and decreasing farmland. Therefore, there is an increasingly high need for genetic improvement of salt-tolerant forage species.
Italian ryegrass (Lolium multiflorum L.) is an annual, outcrossing, and mainly self-incompatible commercially important forage crop. It is widely cultivated for the production of hay and silage worldwide including southern China due to its high forage production and digestibility. The yield of Italian ryegrass in alkaline soil is higher than that in acid soil [5,6]. Therefore, Italian ryegrass has been considered to be one of the most promising grasses for moderately saline environments.
Previous studies have demonstrated that variances in salt tolerance exist among different Italian ryegrass cultivars [7,8]. Germination is the first stage in the plant life cycle for all crops. The ability to germinate quickly is critical to generate a high yield in saline soils. However, the germination behavior of Italian ryegrass can also be modified at low concentrations of salt in the substrate, which in turn results in reductions in growth rate and forage crop yields [7]. To date, due to the lack of a comprehensive evaluation system, only a few Italian ryegrass genotypes have been screened for salt tolerance at the seed germination stage [7,8,9,10]. Developing an effective evaluation system would be highly helpful for screening salinity-tolerant genotypes of Italian ryegrass [1,11].
In addition to rapid growth, high dry matter production and high forage quality are desirable characteristics for promising forage varieties. In grass species, saline environments induce adaptive changes in morphological, physiological, and biochemical traits of plants, including changes in growth rate, osmotic adjustment, photosynthesis efficiency, and nutrition value [12,13,14]. Plant adaptation to salt is a complex phenomenon. Previous studies have shown that plant growth rate is an important index for evaluating salt stress tolerance since photosynthesis, cell expansion, and cell division are greatly inhibited at high salt concentrations [15,16]. The reduced growth and use of cellular organelles and other resources is an adaptive strategy for the plant to survive in undesirable conditions [17]. Additionally, salt injury to plants has been attributed to lower osmotic potential [18]. Lower osmotic potential also reduces the ability of the plant to absorb water [2]. Salt stress can also decrease chlorophyll content and leaf water content [2].
Forage quality is related to the animals’ effective and efficient conversion of feed into nutrients. Digestibility and nitrogen content of grasses are principal determinants of forage quality. Previous studies have indicated that abiotic stress, such as salt, would alter the quality of forage [19]. The development of integrated indices of forage quality evaluation is clearly a worthy goal. Some integrated indices, such as relative feed value and relative forage quality, have been used widely in the United States. However, these indices are not sufficiently accurate in the assessment of practical differences between forages of similar classifications, especially for grasses [20]. Grading index (GI) is a forage grading integrative index proposed by Zheng et al. [20] and was defined as the forage voluntary intake of available energy after being corrected by crude protein and neutral detergent fiber contents. GI serves as an easy and effective method to comprehensively evaluate forage quality [20,21].
To develop an effective evaluating system under salinity stresses, 15 Italian ryegrass cultivars were evaluated for their morpho-physiological and gene expression changes under salt stress conditions at different developmental stages. The objectives of this study were: (1) to determine the characteristics of seed germination under degrees of NaCl stress; (2) to evaluate salt tolerance based on the integrated tolerance index calculated with fuzzy subordinate functions; (3) to determine the forage quality-related traits under NaCl stress; and (4) to identify suitable salt-tolerant cultivars of Italian ryegrass.

2. Materials and Methods

2.1. Plant Materials and Growth Condition

Fifteen cultivars, Tetragold, Angus No. 1, Abundant, Splendor, Double Barrel, Chuangjiang No. 2, Chuangnong No. 1, Muyao, Harukaze, Gongniu, Chuangnong, Tegao, Dongmu 70, Doraian, and Big Boss of Italian ryegrass were used in this study. Seeds were surface-sterilized with 75% ethanol for 1 min followed by 10% sodium hypochlorite (NaClO) for 3 min and then rinsed five times with distilled water. All experiments were carried out in a greenhouse at standard conditions (25/20 °C for day/night, 14 h light/10 h dark, 60% relative humidity, and average photosynthetically active radiation of 720 μmol m−2 s−1).

2.2. Experiment 1: Seed Germination

Fifty sterilized seeds with uniform size were selected and sown evenly in a Petri dish (9 cm in diameter) filled with three layers of filter paper. The filter paper was moistened with 4 mL distilled water containing 0 mM (control, no NaCl added to the distilled water), 85 mM, 170 mM, or 255 mM NaCl. The treatment for each cultivar had four replicates (200 seeds total). During the seed germination stage, the moisture in the Petri dishes was maintained by adding the treatment solution accordingly. All the Petri dishes were placed in an incubator and maintained for 12 days under dark conditions.
The germination percentage or rate (%) was recorded on the 3rd, 5th, 7th, 9th, and 12th days, and seeds were considered to have germinated when the emerging shoot was approximately 50% of the length of the seed. The germination rates (GR) were used for subsequent analysis on the 12th day. The shoot length of ten uniform seedlings in each Petri dish was measured on the 7th day. The GR was calculated as the total number of seeds germinated. The inhibition rate of shoot elongation was calculated according to the following equation (Equation (1)) [22]:
I = ( Dc Dt ) Dc
where I is the inhibition of elongation in %; Dc is the average length of shoot under control conditions (mm); and Dt is the average length of shoot grown under the tested NaCl concentration (mm). The germination energy was calculated according to the method described by Wang et al. [23].
Germination energy (GE, %) = (number of germinating seeds/number of total seeds per treatment after
germination for 5 days) × 100
Germination index (GEI, %) was calculated as described in the Association of Official Seed Analysis (1983), using the following equation:
GEI = Number   of   germinated   seeds Days   of   first   count + + Numder   of   germinated   seeds Days   of   final   count

2.3. Experiment 2: Evaluation Test

2.3.1. Plant Materials and Growth Conditions

To obtain seedlings, sterilized seeds were germinated in Petri dishes (9 cm in diameter) filled with filter paper under conditions of constant darkness. After 5 days of incubation, uniformly germinated seeds were selected and raised in plastic pots (15 cm in diameter and 20 cm deep) filled with sand. The pots were put into the greenhouse. During the growth period, plants were watered twice a week and fertilized weekly with half-strength Hoagland’s solution. After 30 days of establishment, the roots of the plants (15 plants per pot) were rinsed thoroughly with distilled water, and then the plants were transplanted into new plastic pots (10 cm diameter and 18 cm tall) filled with coarse silica sand as the plant anchor medium. Pot bottoms consisted of a coarse nylon screen allowing roots to freely grow into the solutions. Pots were suspended over tubs containing 35 L of constantly aerated half-strength Hoagland’s solution. The tubs were refilled every other day and renewed weekly. All plants were maintained in the greenhouse at the standard conditions described previously for 2 weeks to allow the adaptation to hydroponic culture conditions and the recovery of uptake capabilities of roots and leaves. At the beginning of the salt treatment, the plant shoots were hand-clipped at 20 cm height, and roots were clipped back to the bottoms of the pots to allow the plants to reach full maturity and develop uniform and equal sized roots and shoots.

2.3.2. Treatment and Experimental Design

Through a pre-experiment, we found that 255 mM NaCl concentration is too high for screening Italian ryegrass, and 85 mM NaCl concentration is too low. Therefore, we chose two NaCl concentrations (100 mM and 200 mM) between 85–255 mM to evaluate salt tolerance. After pre-adaptation, plants were subjected to three salinity levels: 0 mM (control, CK), 100 mM, and 200 mM NaCl. Salinity was increased by daily increments of 50 mM NaCl until a final salinity level was reached. After the final salinity level (200 mM) was reached (4 d after the initiation of the salt treatment), the plants were exposed to final salinity concentrations for 3 weeks. During the period of salt exposure, the culture solutions were aerated with an air pump and changed twice a week to maintain the desired nutrient levels. The experiment was arranged in a randomized complete block design with three replicates for each treatment and the pots were re-randomized every two days. At the end of the experiment, shoot growth rate (SGR), root growth rate (RGR), chlorophyll content (Chl), leaf relative water content (LWC), electrolyte leakage (EL), and ion contents (Na and K) were determined.

2.3.3. Measurements

Canopy height was measured in four positions in each pot using a ruler and was averaged. SGR was the difference in canopy height before and after the 3 week treatment period. RGR was determined only for roots elongating from the nylon screen at the pot bottom.
Chl was recorded using the chlorophyll meter (SPAD-502, Minolta, Camera Co. Ltd., Osaka, Japan). The content of each individual treatment was recorded from seven fully expanded leaves with three measurements taken for each leaf.
LWC was measured according to the method of Sun et al. [24]. Leaf EL was measured according to Hu et al. [25].
Crude protein (CP) was evaluated according to the Kjeldahl method (AOAC 1999) [26]. Crude fat (CF) was measured by extracting samples in petroleum ether using the Soxherm apparatus based on the Soxhlet method [27]. Crude ash (CA) and water-soluble carbohydrate (WSS) were measured according to Zhang [28]. Neutral detergent fiber excluding residual ash (NDF) was determined according to the method of Palmonari et al. [29]. Sodium sulfite was not used and amylase was used only with wheat bran in the determination of NDF. Acid detergent fiber excluded residual ash (ADF) was measured using the method of AOAC [27]. GI was estimated according to the following equations adapted from Hu et al. [20]:
GI = ( NE L × CP × VDMI ) / NDF
where:
NE L ( net   energy   for   lactation , MJ / kg ) = [ 1.085 ( 0.0150 × ADF ) ] × 9.29
VDMI   ( voluntary   dry   matter   intake , kg / d ) = 1.2 × BW / NDF
Ion contents (Na and K) were measured according to Li et al. [14].

2.3.4. Evaluation of Salt Tolerance by an Integrated Evaluation System

For a single parameter, salt injury index (SI) was calculated as:
SI = ( Control Treatment ) Control × 100 %
Salt-tolerant comprehensive evaluation of all cultivars was accessed by subordinate function and standard deviation coefficient methods using the SI under 200 mM (because the effects of salt stress on different traits varied markedly under 200 mM NaCl concentration at the vegetative growth stage) or 255 mM NaCl (because the threshold for impaired germination was 255 mM for Italian ryegrass) concentrations [30,31]. The value of each evaluation index was calculated by the following equations:
X ( u ) = X X m i n X m a x X m i n
X ( u ) = 1 X X m i n X m a x X m i n
X j ¯ = 1 / n i = 1 n X i j
V j = i = 1 n ( X i j X j ¯ ) 2 X j ¯
W j = V j j = 1 m V j
D = j = 1 n [ u ( x j ) * W j ]
Firstly, data of indexes were standardized by using the subordinate function [Equations (8) and (9)]. If an index was negatively correlated with NaCl tolerance, the membership value was estimated by the anti-membership function [Equation (9)]. Otherwise, it was calculated by Equation (8). Here, X( u ) is the subordinate function value of the μth indicator, X is the observed value of an indicator, and Xmax and Xmin represent the maximum and minimum value of the indicator, respectively. X j ¯ is the mean of the jth evaluation index, n is the number of cultivars, and Xij represents the jth evaluation index of the ith cultivar [Equation (10)]. Vj is the coefficient of the standard deviation of the jth evaluation index, and Xj represents the jth evaluation index of cultivars [Equation (11)]. Wj is the weighted coefficient of the jth evaluation index [Equation (12)]. u (xj) is the subordinate function value of the jth evaluation index. D indicates the integrated values for salt tolerance in Italian ryegrass [Equation (13)]. The lower the value of D, the higher the salt tolerance.

2.4. Experiment 3: Gene Expression Analysis

2.4.1. Plant Materials and Treatment

The salt-tolerant (Abundant) and salt-sensitive (Angus No. 1) cultivars were used for transcriptome analysis. Treatments and growing conditions were the same as in Experiment 2. After 2 weeks of hydroculture, all plants of each cultivar were divided into two groups. One group was transferred to a fresh half-strength Hoagland’s solution (CK), while the other was moved into an identical solution but containing 200 mM NaCl (salt treatment). The leaf samples were harvested for transcriptome analysis at 12 h after the salt treatment began, immediately placed in liquid nitrogen, and stored at −80 °C until analyzed.

2.4.2. RNA-Seq and Data Analysis

We selected sensitive cultivar Angus No. 1 and tolerant cultivar Abundant to investigate the differences of gene expression upon salt stress with RNA-seq. For each cultivar, three biological replicates of salt-treated and control plants were sequenced. Leaves of selected cultivars were ground to fine powder in liquid nitrogen and total RNA was extracted with Trizol reagent according to the manufacturer’s instructions (Invitrogen). Sequencing libraries were generated using NEBNext® Ultra™ RNA Library Prep Kit for Illumina® (NEB, Illumina, San Diego, CA, USA) following the manufacturer’s recommendations. Briefly, mRNA was purified from total RNA using poly-T oligo-attached magnetic beads. Fragmentation was carried out using divalent cations under elevated temperature in NEBNext First Strand Synthesis Reaction Buffer (5X). First-strand cDNA was synthesized using random hexamer primer and M-MuLV Reverse Transcriptase (RNase H-). Second strand cDNA synthesis was subsequently performed using DNA Polymerase I and RNase H. Remaining overhangs were converted into blunt ends via exonuclease/polymerase activities. After adenylation of 3′ ends of DNA fragments, NEBNext Adaptors with hairpin loop structures were ligated to prepare for hybridization. To select cDNA fragments of preferentially 250~300 bp in length, the library fragments were purified with AMPure Xp system (Beckman Coulter, Beverly, MA, USA). Then 3 uL USER Enzyme (NEB, USA) was used with size-selected, adaptor-ligated cDNA at 37 °C for 15 min followed by 5 min at 95 °C before PCR. Then PCR was performed with Phusion High-Fidelity DNA polymerase, Universal PCR primers, and Index (X) Primer. PCR products were purified (AMPure Xp < system) and library quality was assessed on the Agilent Bioanalyzer 2100 system.
After removing the adapter sequence from all reads, Transcriptome was assembled using Trinity [32] with min_kmer_cov set to 2 and all other parameters set to default. Differential gene expression was quantified using DESeq package against the assembled transcript and the assembled transcripts were annotated by NCBI BLAST tools against Swiss-Prot, GO, and KEGG databases. Gene Ontology (GO) enrichment analysis of the differentially expressed genes (DEGs) was implemented by the GOseq R packages based on Wallenius’ non-central hypergeometric distribution which can adjust for gene length bias in DEGs, and KEGG pathways enrichment analysis was performed using KOBAS software to test the statistical enrichment of the differentially expressed genes.

2.5. Statistical Analysis

Data were expressed as the means ± SD (standard deviation). Statistical analyses were performed using SPSS Version 20.0 software. Data of cultivars under different treatments were subjected to a one-way analysis of variance (ANOVA) and mean separations were performed using least significant difference multiple range tests, with p < 0.05 as the significance criteria. For comparison between cultivars, the Tukey test was performed with p < 0.05 as the significance criteria. Repeated measures analysis was used to analyze seed germination rate response to NaCl concentration in different periods.

3. Results

3.1. Variation of Seed Germination Indexes under NaCl Treatment

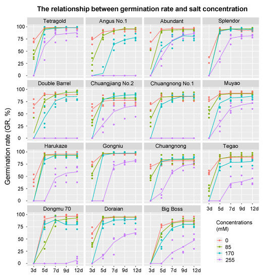
The GR for each cultivar under different NaCl concentrations are shown in Figure 1 and Figure S1. Compared with the control, there are no significant differences in GR for all 15 cultivars when exposed to 85 mM NaCl (Figure 1, Figure S1). However, when the NaCl concentration reached 170 mM, 9 of 15 cultivars (Angus No. 1, Abundant, Double Barrel, Muyao, Harukaze, Tegao, Dongmu 70, Doraian, and Big Boss) showed evident CGR reductions, while all the other cultivars were not significantly different. When treated with 255 mM NaCl, the CGR was severely inhibited and even completely inhibited in four cultivars (Angus No. 1, Double Barrel, Chuangnong No. 1, and Dongmu 70). The final GRs of cultivars Tegao and Big Boss dropped below 50% under 255 mM NaCl treatment. Unexpectedly, the GR of cultivar Abundant appeared to not be affected by 255 mM NaCl treatment, via this cultivar displaying a strong salinity tolerance at the germination stage (Figure 1, Figure S1).
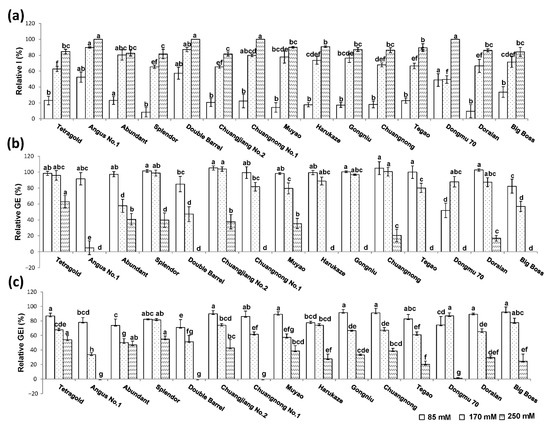
The highest relative I and lowest relative GE and GEI were observed in cultivars Angus No. 1 and Double Barrel regardless of NaCl level (Figure 2b,c). When NaCl concentration reached 255 mM, the maximum values of relative GE and GEI were observed in cultivar Tetragold among the 15 cultivars. The relative GE and GEI in cultivars Angus No. 1, Double Barrel, Chuangnong No. 1, and Dongmu 70 was lower than those in the cultivars under 255 mM NaCl concentration (Figure 2a,b), while the relative I for those cultivars was nearly 100% (Figure 2c).

3.2. Salt Effects and Trait Variation

To evaluate the injury introduced by salinity exposure, we measured the SI for each cultivar under different NaCl concentrations (Figure 3). Under the treatment of 100 mM NaCl, the highest SI for SGR (52.8%) and RGR (28.5%) were observed in cultivar Tegao (Figure 3a,b). The SI for SGR for cultivars Abundant and Doraian were lower than those in the other assessed cultivars at the 100 mM NaCl treatment regime. When NaCl concentration was up to 200 mM, cultivar Chuangnong had the lowest SI for SGR and RGR. The minimum SI for Chl was found in cultivars Double Barrel or Chuangnong No. 1 regardless of NaCl level. The relatively low SI for EL was observed in cultivar Tegao regardless of NaCl level. The SI for LWC in cultivars Chuangnong No. 1 and Muyao was higher than that of other cultivars, under two NaCl concentrations.
Significant treatment and genotype effects were observed for SGR, RGR, Chl, EL, and GR (Table S1). However, no significant genotype effect on LWC was observed. There was a significant interaction effect between genotype and treatment on RGR, EL, and GR (Table S1). When treated with 200 mM NaCl, the SGR, RGR, and LWC were significantly reduced by 47.5%, 46.0%, and 31.2%, respectively. The SGR and LWC were also significantly reduced under 100 mM NaCl concentration compared to the control, although the reduction was not as large as 200 mM NaCl. However, 100 mM NaCl significantly increased RGR by 36.6% compared to the control. The EL was significantly increased by 476.9% when treated with 200 mM NaCl. In addition, compared with the control, there was no obvious reduction in GR when the seeds were treated with 170 mM NaCl, while 255 mM significantly reduced it by 50.1%. Large variations in SGR, RGR, Chl, LWC, EL, and GR values were observed in response to NaCl treatments among the accessions (Table S2, Figure 3).
The Na and K concentrations and Na/K ratio for each cultivar is provided in Table 1. The accumulation of Na in the leaves of 15 cultivars significantly increased, while K concentration significantly decreased under NaCl treatment. Salt treatment significantly increased the Na/K ratio in the leaves of the 15 assessed cultivars as compared to the control. The Na/K ratio in cultivars Harukaze, Tegao, Doraian, and Chuangnong was higher than that of other cultivars under NaCl treatment. The remaining other cultivars had a similar Na/K ratio.

3.3. Evaluation and Cluster Analysis of Salt Tolerance in Cultivars of Italian Ryegrass

To further evaluate the salt tolerance of the 15 assessed cultivars, the subordinate function value, index weights, and D were calculated (Table 2). Based on our data described above, the effects of salt stress on different traits varied markedly under 200 mM NaCl concentration (Table S2). In addition, 255 mM NaCl stress led to a high significant difference in GR among 15 Italian ryegrass cultivars (Table S2). Therefore, the subordinate function value of the SGR, RGR, Chl, EL, and LWC under 200 mM NaCl concentration and the GR under 255 mM NaCl concentration was used to evaluate salt tolerance of different cultivars. The values of Wj in RGR, Chl, and GR were higher than that of the other parameters. The sum of these three weights was more than 70% of the total weights, indicating that the indexes of RGR, Chl, and GR might be used as key indexes in the evaluation system. The minimum amount of Wj was found in SGR, LWC, and EL. According to the D value, the trend of salt tolerance among the 15 cultivars was as follows: Gongniu > Chuangnong > Splendor > Abundant > Tetragold > Muyao > Doraian > Chuangjiang No. 2, Harukaze, Tegao > Double Barrel > Big Boss > Dongmu 70 > Angus No. 1 > Chuangnong No. 1, suggesting that Gongniu has the highest salt tolerance and Chuangnong No. 1 has the lowest tolerance to salt stress.
Cluster analysis of tolerance was performed among the cultivars, which was based on their D values. Thus, 15 Italian ryegrass cultivars were clustered into three groups at a squared Euclidean distance of 5 (Figure S2). Cultivars Gongniu, Chuangnong, Splendor, and Abundant were clustered in group I, with salt tolerance. Four cultivars were in group II, including Big Boss, Dongmu, Angus No. 1, and Chuangnong No. 1, with low salt tolerance. Others were clustered in group III, with medium salt tolerance.

3.4. Forage Quality of Italian Ryegrass under Salt Stress

To determine the effect of NaCl on forage quality, the metrics of CP, CF, ADF, NDF, CA, and WSS were analyzed. As shown in Figure 4, NaCl-treatment did not significantly alter CP, CF, and WSS for most cultivars in comparison to the control. As expected, the CP in cultivars Angus No. 1, Muyao, Tegao, and Dongmu 70, were significantly reduced under NaCl treatment. The CF in cultivars Abundant, Chuangnong No. 1, and Chuangnong and the WSS in cultivar Chuangnong were significantly increased under NaCl treatment. Generally, salt stress decreased the content of ADF and NDF, but increased CA content, compared to the control. As a result, a significant increase in GI for most cultivars was observed under the NaCl treatment. The GI in cultivars Tetragold, Abundant, Splendor, Harukaze, Gongniu, Chuangnong, and Doraian were significantly increased by 44.5%, 34.9%, 52.5%, 36.5%, 37.5%, 44.6%, and 46.7%, respectively. A significant positive correlation was found between CP and D, and CF and SGR, whereas CA was negatively correlated with SGR and D. Furthermore, ADF was determined to show a significant negative correlation, and GI showed a significant positive correlation to GR (Table S3).

3.5. Gene Expression Alteration in Salt Stress-Sensitive and Tolerant Cultivars

To understand the gene expression differences between salinity stress-sensitive and tolerant cultivars, we profiled gene expression by RNA-seq before and after salinity stress using cultivar Abundant as the stress-tolerant and Angus No. 1 as the stress-sensitive cultivars. RNA-seq data analysis revealed differential gene expression in both cultivars after being exposed to salinity stress and there were remarkable differences in gene expression after salinity stress between the two assessed cultivars (Figure 5). There were more differentially expressed genes (DEGs) in the tolerant cultivar than in the sensitive cultivar. Moreover, most DEGs detected in sensitive cultivar Angus No. 1 were also differentially expressed in the tolerant cultivar (Figure 5a,b). Hierarchy clustering analysis of all DEGs found in both cultivars showed that, although there was a significant difference in the number of DEGs, both cultivars exhibit a similar response pattern to salinity stress as the samples were clustered into groups by their treatment condition rather than their genetic background (Figure 5c). Furthermore, we performed GO enrichment analysis for DEGs in both cultivars and the results showed that their biological response to salinity stress is similar, although their phenotypes differed under salinity stress. We found that the genes that respond to water deficiency, abiotic stress, and oxidant reduction were remarkably altered (Figure 6). Furthermore, the expression of genes that participate in photosystem regulation and carbohydrate metabolism were largely down-regulated. These findings are in line with our physical measurements. Cation/ion bindings capacity are critical for plants to survive under salinity stress [11]. To explore the possible gene expression differences between two cultivars, we further compared the GO terms that were enriched under salinity stress (Figure 6b) and this analysis showed that genes associated with the functions of cation/ion binding are more significantly enriched in DEGs identified in cultivar Abundant. The differences in GO terms enrichment may imply a different tolerance to salinity stress between the two cultivars.

4. Discussion

Many biological processes in plants are affected by salt stress [18]. In particular, different cultivars showed significant differences in growth parameters under saline conditions. It was reported that salt tolerance in early growth stages is not always related to that in mature stages [11]. Different salt tolerance at different growth stages has been observed in many species, such as corn (Zea mays L.), rice (Oryza sativa), and cowpeas (Vigna unguiculata L.) [11,33,34,35]. For Italian ryegrass, it was found that the NaCl tolerance during vegetative growth was lower than perennial ryegrasses (Lolium perenne cv. Vic. Cert.) and Wimmera ryegrass (Lolium rigidum) in contrast to the results of the germination experiment [7]. This finding suggests the need for assessment of salt tolerance at different stages of development in a screening program to understand salt tolerance. Therefore, in this study, cultivars were evaluated for salt tolerance at different developmental stages.
Seed germination is the beginning of plant life. When salt-sensitive cultivars were planted in saline soils, the germination rate was significantly inhibited and this led to low plant density and low yields [1,36]. In this study, the GR for most cultivars was significantly reduced, but still maintained 50% germination at the very high NaCl concentration (255 mM), thus indicating that the threshold for impaired germination was 255 mM for Italian ryegrass. This threshold was higher than Marcar and Li [7,9], who reported that the threshold for impaired germination was 200 mM and 150 mM, respectively. Among the 15 Italian ryegrass cultivars, 5 cultivars displayed salt tolerance (including Tetragold, Abundant, Splendor, Chuangnong, and Tegao), 6 cultivars displayed moderate salt tolerance, and 4 cultivars displayed salt sensitivity (including Angus No. 1, Double Barrel, Chuangnong No. 1, and Doraian) during the germination stage. Moreover, the GEI and GE reflect the seed germination ability. For GE and GEI, the decrease in most of the 15 cultivars was less than 50% under the 255 mM NaCl treatment. These results indicated that GE and GEI under 255 mM NaCl treatment could be used as one of the most reliable indicators for salt tolerance screening in Italian ryegrass during the germination stage.
Root and shoot growth reduction are common responses to salt stress [13]. Our results indicated that SGR of Italian ryegrass is more sensitive and RGR is less affected or even stimulated by salt stress (Table S1). It seems that the need to find deeper nutrients and water exceeds the need to increase the shoot growth for photosynthetic carbon gain under salinity. Munns and Tester have reported that a reduction in leaf area development relative to root growth would decrease the water use, thus allowing it to conserve moisture taken up from the soil and prevent an escalation in the salt concentration in plant cells [2]. Previous research indicated that the reduction in shoot growth rate was associated with the increasing Na, Na/K ratio, and reduction of K under salt stress [25]. Our results suggested that growth inhibition could be related to the osmotic and ionic effects (nutritional deficiency and/or imbalance). Interestingly, when treated with 200 mM NaCl, the Chl was significantly increased by 7.4% compared with the control. This paradox is explained by the changes in cell anatomy that give rise to smaller, thicker leaves and result in a higher chloroplast density per unit leaf area [2].
In general, salt stress may cause a series of phenotypic, physiological, and biochemical changes in plants. However, not all parameters have the same contribution to salt tolerance, hence the use of a single index to evaluate salt tolerance would be biased. In conventional salt tolerance breeding, the lack of a suitable and reliable evaluation index of salt tolerance is one of the reasons for the limited success [11]. Therefore, it is necessary to identify a reliable evaluation index to determine the salt tolerance of Italian ryegrass during the different developmental stages. In this study, the sum of Wj in RGR, Chl, and GR was more than 70% of the total weights. These results indicated that these three traits might be useful as key indexes in the evaluation system for the identification of salt-resistant cultivars of Italian ryegrass. Previous research combined with our results show that the D value is a better index on the evaluation of salt tolerance [30]. In the study, a cluster analysis was used based on the D value to facilitate the evaluation of salt tolerance among cultivars. It was clearly shown in the present study that all the cultivars could be grouped into three groups. The group I including Gongniu, Chuangnong, Splendor, and Abundant, with salt tolerance may be a good set of materials to be cultivated in saline land.
A favorable combination of salt tolerance at the germination stage and vegetative growth stages was identified in Chuangnong, Splendor, and Abundant with these three cultivars possessing a good germination rate. Our research suggests that Chuangnong, Splendor, and Abundant should be introduced in a crossbreeding program as elite salt-tolerant cultivars to incorporate different desirable agronomic traits. The other cultivars were either less tolerant or failed to display a favorable combination of salt tolerance characteristics at different growth stages.
High forage yield along with salt tolerance is important for forage for livestock. Salt stress could also impair forage quality [37]. CP content of forage grass is a vital criterion for quality evaluation [38]. Impaired protein synthesis under salt stress conditions by other grass species has previously been reported by many investigators [14,37]. While the effect of salinity on CP content of Italian ryegrass in the current study was not consistent with previous research, 200 mM NaCl treatment did not significantly alter CP in comparison to the control for most cultivars. ADF and NDF are other important quality characteristics for forage grasses [39]. The intake and digestibility of plant vegetative biomass will generally increase with the decrease of NDF and ADF percentages. Considerable reduction in NDF and ADF percentages of Italian ryegrass under saline conditions in our study indicates more intake and digestibility of forage grass by the animal. The higher CP and lower NDF and ADF contents of the Italian ryegrass under salinity in this study, compared to the control, could be due to the stage of maturity of grasses at harvest, as maturity is one of the major factors influencing forage quality [37]. A similar trend was observed for the GI which was much higher under salinity than in the control. The GI is also used to predict the voluntary intake of available energy of the forages [20]. The forage grass is considered superior and first level when the GI value > 53.68 and 33.51 < GI < 53.68, respectively. In the present study, the GI value was higher than 53.68 in cultivar Muyao under control conditions. However, the GI value was higher than 60.00 in cultivars Tetragold, Abundant, Splendor, Muyao, Harukaze, Tegao, Dongmu 70, and Doraian under salt stress. These cultivars were identified as high forage quality under salt stress.
Gene expression analysis by RNA-seq revealed that cultivars of different salinity tolerance capacities shared certain degrees of similarity in their molecular response to stress, compared to their corresponding controls. We also noted that genes involved in photosystem and carbohydrate synthesis were affected by salinity stress according to their GO enrichments. We suggest that the enrichment of these specific gene cohorts is due to the water supply deficiency which slows down the reactions in photosystem and carbohydrate processes. Combining RNA-seq results with our physiological indices measurements, we believe that our findings provide a highly useful resource in salinity-tolerant ryegrass screening.

5. Conclusions

In conclusion, the 15 Italian ryegrass cultivars performed differently in terms of GR under 255 mM NaCl treatment, indicating that the threshold for impaired germination was 255 mM. Salt tolerance of Italian ryegrass cultivars was evaluated objectively by subordinate function and standard deviation coefficient methods. Three parameters, RGR, Chl, and GR, provided insightful metrics in determining salt tolerance. Not only based on those parameters but also the D value, Gongniu, Chuangnong, Splendor, and Abundant were identified as the most tolerant cultivars. However, based on combined attributes at the germination and vegetative growth stages, Gongniu, Chuangnong, Splendor, and Abundant emerged the most tolerant of the 15 cultivars assessed. The method demonstrated in this study, i.e., cluster group ranking of cultivars based on multiple characters and D value, can be applied in salt-tolerance breeding to evaluate salt tolerance among cultivars with great advantage over conventional methods. In addition, the constant CP and lower NDF and ADF contents of the Italian ryegrass were observed under salinity, compared to the control. Together, these assessments indicate that the intake and digestibility of Italian ryegrass under salinity are higher compared to the control. Combining CP and GI value, the cultivar Tetragold, Abundant, Splendor, Muyao, Harukaze, Tegao, Dongmu 70, and Doraian were identified as high forage quality under salt stress. Based on these findings, we conclude that Splendor and Abundant emerge as the ideal candidates based on combined attributes related to germination, salt tolerance, and overall forage quality.

Supplementary Materials

The following are available online at https://www.mdpi.com/article/10.3390/agronomy11081487/s1, Figure S1: Repeated measures analysis of seed germination rate response to NaCl concentration in different periods. Comparisons between different concentrations within accession were performed with a paired t-test and p-value was adjusted by the Bonferroni method. The numbers from 1 to 15 indicated cultivars Tetragold, Angus No. 1, Abundant, Splendor, Double Barrel, Chuangjiang No. 2, Chuangnong No. 1, Muyao, Harukaze, Gongniu, Chuangnong, Tegao, Dongmu 70, Doraian, and Big Boss respectively. ‘*’: p < 0.05; ‘**’: p < 0.01; ‘***’: p < 0.001; ‘****’: p < 0.0001. Figure S2: Cluster analysis of 15 Italian ryegrass cultivars based on integrated value (D). Table S1: Analysis of variances with mean squares and treatment significance levels. Table S2: Range of shoot growth rate (SGR), root growth rate (RGR), chlorophyll content (Chl), leaf relative water content (LWC), electrical conductivity (EL), and germination rate (GR, on the 12th day) for 15 cultivars of Italian ryegrass under control (CK) and NaCl treatment. Table S3: Correlation analysis of the shoot growth rate (SGR), root growth rate (RGR), chlorophyll content (Chl), leaf relative water content (LWC), and electrical conductivity (EL) under 200 mM NaCl stress and germination rate (GR, on the 12th day) under 255 mM NaCl stress with the crude protein (CP), crude fat (CF), crude ash (CA), neutral detergent fiber (NDF), acid detergent fiber (ADF), water-soluble carbohydrate (WSC), and grading index (GI) of 15 Italian ryegrass cultivars.

Author Contributions

Conceptualization, Y.X., J.F. and X.S.; methodology, Y.X.; software, H.Y. and Y.H.; validation, Y.X. and L.C.; investigation, X.L. (Xiaoning Li) and X.L. (Xiaoying Liu); resources, Y.X., J.F. and X.S.; data curation, Y.X.; writing—original draft preparation, Y.X.; writing—review and editing, X.L. (Xiaoying Liu), M.A., H.Y. and Y.H.; visualization, Y.X.; supervision, J.F. and X.S.; project administration, L.C. and J.F. All authors have read and agreed to the published version of the manuscript.

Funding

This research was funded by the key research and development program of Jiangxi province (grant number: 20171BBG70047), excellent young talents funding plan of Jiangxi province (grant number: 20192BCB23026), and ‘Thousand Talents Plan’ of Jiangxi province (grant number: jxsq2019201086).

Institutional Review Board Statement

Not applicable.

Informed Consent Statement

Not applicable.

Data Availability Statement

The data presented in this study are available on request from the corresponding author. The data are not publicly available due to privacy.

Conflicts of Interest

The authors declare no conflict of interest.

References

  1. Ding, T.; Yang, Z.; Wei, X.; Yuan, F.; Yin, S.; Wang, B. Evaluation of salt-tolerant germplasm and screening of the salt-tolerance traits of sweet sorghum in the germination stage. Funct. Plant Biol. 2018, 45, 1073–1081. [Google Scholar] [CrossRef] [PubMed]
  2. Munns, R.; Tester, M. Mechanisms of salinity tolerance. Annu. Rev. Plant Biol. 2008, 59, 651–681. [Google Scholar] [CrossRef] [PubMed] [Green Version]
  3. Song, J.; Wang, B. Using euhalophytes to understand salt tolerance and to develop saline agriculture: Suaeda salsa as a promising model. Ann. Bot. 2015, 115, 541. [Google Scholar] [CrossRef] [Green Version]
  4. Johnson, D.W.; Smith, S.E.; Dobrenz, A.K. Genetic and phenotypic relationships in response to NaCl at different developmental stages in alfalfa. Theor. Appl. Genet. 1992, 83, 833–838. [Google Scholar] [CrossRef] [PubMed]
  5. Li, M.; Sheng, G.P.; Wu, Y.J.; Yu, Z.L.; Bañuelos, G.S.; Yu, H.Q. Enhancement of nitrogen and phosphorus removal from eutrophic water by economic plant annual ryegrass (Lolium multiflorum) with ion implantation. Environ. Sci. Pollut. Res. 2014, 21, 9617–9625. [Google Scholar] [CrossRef]
  6. Beddows, A.R. Lolium Multiflorum Lam. J. Ecol. 1973, 61, 587–600. [Google Scholar] [CrossRef]
  7. Marcar, N.E. Salt tolerance in the genus Lolium (ryegrass) during germination and growth. Aust. J. Agric. Res. 1987, 38, 297–307. [Google Scholar] [CrossRef]
  8. Alonso, S.I.; Guma, I.R.; Clausen, A.M. Variability for salt tolerance during germination in Lolium multiflorum Lam. naturalized in the pampean grasslands. Genet. Resour. Crop Evol. 1999, 46, 87–94. [Google Scholar] [CrossRef]
  9. Li, K.C.; Jiangyun, H.; Lu, X.S. Salt tolerance evaluation of 10 varieties of Lolium multiflorum Lam. at germination period. Acta Agrestia Sin. 2010, 18, 388–398. [Google Scholar]
  10. Zhang, Z.X.; Liu, P.; Yang, Z.Y. Salt tolerance of 25 Lolium perenne varieties at germination stage. Pratacultural Sci. 2007, 24, 14–19. [Google Scholar]
  11. Zeng, L.; Shannon, M.C.; Grieve, C.M. Evaluation of salt tolerance in rice genotypes by multiple agronomic parameters. Euphytica 2002, 127, 235–245. [Google Scholar] [CrossRef]
  12. Meloni, D.A.; Oliva, M.A.; Martinez, C.A.; Cambraia, J. Photosynthesis and activity of superoxide dismutase, peroxidase and glutathione reductase in cotton under salt stress. Environ. Exp. Bot 2003, 49, 69–76. [Google Scholar] [CrossRef]
  13. Hu, T.; Zhang, X.Z.; Sun, J.M.; Li, H.Y.; Fu, J.M. Leaf functional trait variation associated with salt tolerance in perennial ryegrass. Plant Biol. 2014, 16, 107–116. [Google Scholar] [CrossRef]
  14. Li, X.; Han, S.; Wang, G.; Liu, X.; Amombo, E.; Xie, Y.; Fu, J. The Fungus Aspergillus aculeatus Enhances Salt-Stress Tolerance, Metabolite Accumulation, and Improves Forage Quality in Perennial Ryegrass. Front. Microbiol. 2017, 8, 1664. [Google Scholar] [CrossRef] [PubMed] [Green Version]
  15. Li, R.; Shi, F.; Fukuda, K. Interactive effects of various salt and alkali stresses on growth, organic solutes, and cation accumulation in a halophyte Spartina alterniflora (Poaceae). Environ. Exp. Bot. 2010, 68, 66–74. [Google Scholar] [CrossRef]
  16. Xie, Y.; Han, S.; Li, X.; Amombo, E.; Fu, J. Ameliorates of salt stress on bermudagrass by the fungus Aspergillus aculeatus. Mol. Plant-Microbe Interact. MPMI 2017, 30, 245–254. [Google Scholar] [CrossRef] [PubMed] [Green Version]
  17. Zhu, J.K. Plant salt tolerance. Trends Plant Sci. 2001, 6, 66–71. [Google Scholar] [CrossRef]
  18. Munns, R. Comparative physiology of salt and water stress. Plant Cell Environ. 2010, 25, 239–250. [Google Scholar] [CrossRef] [PubMed]
  19. Zheng, K.; Hong-Ru, G.U.; Shen, Y.X.; Ding, C.L. Evaluation system of forage quality and research advances in forage quality breeding. Pratacultural Sci. 2006, 23, 57–61. [Google Scholar]
  20. Hu, H.L.; Gao, M.; Lu, D.X. Grading Index (GI): A New Integrated Technique for Evaluation of Forage Quality. Anim. Husb. Feed. Sci. 2011, 32, 150–151. [Google Scholar]
  21. Jikun, Z.; Kaiwen, C.; Jinfang, X.; Xunlu, D.; Ming, H. A Comparison of Grading Index and Relative Feed Value in Forage Quality Evaluation. Feed Livest. 2008, 1, 30–32. [Google Scholar]
  22. Soudek, P.; Katruáková, A.; Sedláek, L.; Petrová, Š.; Koí, V.; Marík, P.; Griga, M.; Vaněk, T. Effect of Heavy Metals on Inhibition of Root Elongation in 23 Cultivars of Flax ( Linum usitatissimum L.). Arch. Environ. Contam. Toxicol. 2010, 59, 194–203. [Google Scholar] [CrossRef] [PubMed]
  23. Wang, Y.; Le, L.; Cui, W.; Sheng, X.; Shen, W.; Ren, W. Hydrogen sulfide enhances alfalfa (Medicago sativa) tolerance against salinity during seed germination by nitric oxide pathway. Plant Soil 2012, 351, 107–119. [Google Scholar] [CrossRef]
  24. Sun, J.; Luo, H.; Fu, J.; Huang, B. Classification of Genetic Variation for Drought Tolerance in Tall Fescue using Physiological Traits and Molecular Markers. Crop Sci. 2013, 53, 647–654. [Google Scholar] [CrossRef]
  25. Hu, L.; Li, H.; Pang, H.; Fu, J. Responses of antioxidant gene, protein and enzymes to salinity stress in two genotypes of perennial ryegrass (Lolium perenne) differing in salt tolerance. J. Plant Physiol. 2012, 169, 146–156. [Google Scholar] [CrossRef] [PubMed]
  26. AOAC. Official Methods of Analysis, 16th ed.; (930.15); Association of Official Analytical Chemists: Washington, DC, USA, 1999. [Google Scholar]
  27. AOAC. Ash of Animal Feed: (942.05) Official Methods of Analysis, 15th ed.; Association of Official Analytical Chemists: Washington, DC, USA, 1990. [Google Scholar]
  28. Zhang, L.Y. Feed Analysis and Quality Test Technique; China Agricultural University Press: Beijing, China, 2007. [Google Scholar]
  29. Palmonari, A.; Fustini, M.; Canestrari, G.; Grilli, E.; Formigoni, A. Influence of maturity on alfalfa hay nutritional fractions and indigestible fiber content. J. Dairy Sci. 2014, 97, 7729–7734. [Google Scholar] [CrossRef] [Green Version]
  30. Fang, Z.; Hu, Z.; Zhao, H.; Yang, L.; Ding, C.; Lou, L.; Cai, Q. Screening for cadmium tolerance of 21 cultivars from Italian ryegrass (Lolium multiflorum Lam) during germination. Grassl. Sci. 2017, 63, 36–45. [Google Scholar] [CrossRef]
  31. Xie, Y.; Luo, H.; Hu, L.; Sun, X.; Lou, Y.; Fu, J. Classification of genetic variation for cadmium tolerance in bermudagrass [cynodon dactylon (L.) pers.] using physiological traits and molecular markers. Ecotoxicology 2014, 23, 1030–1043. [Google Scholar] [CrossRef]
  32. Grabherr, M.G.; Haas, B.J.; Yassour, M.; Levin, J.Z.; Thompson, D.A.; Amit, I.; Adiconis, X.; Fan, L.; Raychowdhury, R.; Zeng, Q.; et al. Full-length transcriptome assembly from RNA-Seq data without a reference genome. Nat. Biotechnol. 2011, 29, 644–652. [Google Scholar] [CrossRef] [Green Version]
  33. Maas, E.V.; Hoffman, G.J.; Chaba, G.D.; Poss, J.A.; Shannon, M.C. Salt sensitivity of corn at various growth stages. Irrig. Sci. 1983, 4, 45–57. [Google Scholar] [CrossRef]
  34. Lutts, S.; Kinet, J.M.; Bouharmont, J. Changes in plant response to NaCl during development of rice (Oryza sativa L.) varieties differing in salinity resistance. J. Exp. Bot. 1995, 46, 1843–1852. [Google Scholar] [CrossRef]
  35. Maas, E.V.; Poss, J.A. Salt sensitivity of cowpea at various growth stages. Irrig. Sci. 1989, 10, 313–320. [Google Scholar] [CrossRef]
  36. Hakim, M.A.; Juraimi, A.S.; Begum, M.; Hanafi, M.M.; Ismail, M.R.; Selamat, A. Effect of salt stress on germination and early seedling growth of rice (Oryza sativa L.). Afr. J. Biotechnol. 2010, 9, 1911–1918. [Google Scholar]
  37. Robinson, P.H.; Grattan, S.G.; Grieve, C.M.; Poss, J.A.; Suarez, D.L. Biomass accumulation and potential nutritive value of some forages irrigated with saline-sodic drainage water. Anim. Feed. Sci. Technol. 2004, 111, 175–189. [Google Scholar] [CrossRef]
  38. Kumar, D.B. Exogenous Application of Bio-regulators Improves Grain Yield and Nutritional Quality of Forage Cowpea (Vigna unguiculata). Int. J. Agric. Biol. 2014, 16, 759–765. [Google Scholar]
  39. Assefa, G.; Ledin, I. Effect of variety, soil type and fertiliser on the establishment, growth, forage yield, quality and voluntary intake by cattle of oats and vetches cultivated in pure stands and mixtures. Anim. Feed. Sci. Technol. 2001, 92, 95–111. [Google Scholar] [CrossRef]
Figure 1. The germination rate (%) on the 3rd, 5th, 7th, 9th, and 12th day responses to different NaCl concentrations in 15 Italian ryegrass cultivars.
Figure 1. The germination rate (%) on the 3rd, 5th, 7th, 9th, and 12th day responses to different NaCl concentrations in 15 Italian ryegrass cultivars.
Agronomy 11 01487 g001
Figure 2. The relative inhibition rate of shoot elongation (I), germination energy (GE), and germination index (GEI) for each cultivar under different NaCl treatment; (a) relative inhibition rate of shoot elongation response to different NaCl concentrations in 15 Italian ryegrass cultivars; (b) relative germination energy response to different NaCl concentrations in 15 Italian ryegrass cultivars; (c) relative germination index response to different NaCl concentrations in 15 Italian ryegrass cultivars. For a single trait, relative value was the ratio of observed value in treatment relative to the control. Error bars are ± standard deviation. Columns marked by the same lower-case letters for a given NaCl concentration are not significant at p < 0.05 (Tukey’s test) for the comparison of different cultivars.
Figure 2. The relative inhibition rate of shoot elongation (I), germination energy (GE), and germination index (GEI) for each cultivar under different NaCl treatment; (a) relative inhibition rate of shoot elongation response to different NaCl concentrations in 15 Italian ryegrass cultivars; (b) relative germination energy response to different NaCl concentrations in 15 Italian ryegrass cultivars; (c) relative germination index response to different NaCl concentrations in 15 Italian ryegrass cultivars. For a single trait, relative value was the ratio of observed value in treatment relative to the control. Error bars are ± standard deviation. Columns marked by the same lower-case letters for a given NaCl concentration are not significant at p < 0.05 (Tukey’s test) for the comparison of different cultivars.
Agronomy 11 01487 g002
Figure 3. The salt injury index (SI) for each cultivar under different NaCl treatment; (a) the SI for shoot growth rate (SGR); (b) the SI for root growth rate (RGR); (c) the SI for chlorophyll content (Chl); (d) the SI for electrical conductivity (EL); (e) the SI for leaf relative water content (LWC). Error bars are ± standard deviation. Columns marked by the same lower-case letters for a given NaCl concentration are not significant at p < 0.05 (Tukey’s test) for the comparison of different cultivars.
Figure 3. The salt injury index (SI) for each cultivar under different NaCl treatment; (a) the SI for shoot growth rate (SGR); (b) the SI for root growth rate (RGR); (c) the SI for chlorophyll content (Chl); (d) the SI for electrical conductivity (EL); (e) the SI for leaf relative water content (LWC). Error bars are ± standard deviation. Columns marked by the same lower-case letters for a given NaCl concentration are not significant at p < 0.05 (Tukey’s test) for the comparison of different cultivars.
Agronomy 11 01487 g003
Figure 4. Effect of salt on the forage quality of Italian ryegrass; (a) crude protein (CP); (b) crude fat (CF); (c) acid detergent fiber (ADF); (d) neutral detergent fiber (NDF); (e) crude ash (CA); (f) water-soluble carbohydrate (WSS); and (g) grading index (GI). Error bars are ± standard deviation. Asterisk means significantly different between control (CK) and salt stress (Salt) at the 0.05 level. The numbers from 1 to 15 indicate cultivars Tetragold, Angus No. 1, Abundant, Splendor, Double Barrel, Chuangjiang No. 2, Chuangnong No. 1, Muyao, Harukaze, Gongniu, Chuangnong, Tegao, Dongmu 70, Doraian, and Big Boss, respectively.
Figure 4. Effect of salt on the forage quality of Italian ryegrass; (a) crude protein (CP); (b) crude fat (CF); (c) acid detergent fiber (ADF); (d) neutral detergent fiber (NDF); (e) crude ash (CA); (f) water-soluble carbohydrate (WSS); and (g) grading index (GI). Error bars are ± standard deviation. Asterisk means significantly different between control (CK) and salt stress (Salt) at the 0.05 level. The numbers from 1 to 15 indicate cultivars Tetragold, Angus No. 1, Abundant, Splendor, Double Barrel, Chuangjiang No. 2, Chuangnong No. 1, Muyao, Harukaze, Gongniu, Chuangnong, Tegao, Dongmu 70, Doraian, and Big Boss, respectively.
Agronomy 11 01487 g004
Figure 5. Comparison of differentially expressed genes in stress-tolerant and sensitive cultivars; (a) overlaps of down-regulated genes between cultivars Abundant and Angus No. 1 during salinity stress; (b) overlaps of up-regulated genes between cultivars Abundant and Angus No. 1 during salinity stress; and (c) clustering results of all DEGs in two cultivars that show cluster patterns of treatment conditions.
Figure 5. Comparison of differentially expressed genes in stress-tolerant and sensitive cultivars; (a) overlaps of down-regulated genes between cultivars Abundant and Angus No. 1 during salinity stress; (b) overlaps of up-regulated genes between cultivars Abundant and Angus No. 1 during salinity stress; and (c) clustering results of all DEGs in two cultivars that show cluster patterns of treatment conditions.
Agronomy 11 01487 g005
Figure 6. Gene Ontology enrichment analysis of differentially expressed genes; (a) bar plot of Gene Ontology enrichments for cultivar Abundant (top panel) and Angus No. 1 (bottom panel) for Up and Down DEGs respectively; and (b) comparison of ion binding related GO terms between cultivars under salinity stress.
Figure 6. Gene Ontology enrichment analysis of differentially expressed genes; (a) bar plot of Gene Ontology enrichments for cultivar Abundant (top panel) and Angus No. 1 (bottom panel) for Up and Down DEGs respectively; and (b) comparison of ion binding related GO terms between cultivars under salinity stress.
Agronomy 11 01487 g006
Table 1. The Na and K concentrations and Na/K ratio in the shoot for each cultivar under control (CK) and 200 mM NaCl treatment (salt).
Table 1. The Na and K concentrations and Na/K ratio in the shoot for each cultivar under control (CK) and 200 mM NaCl treatment (salt).
CultivarNa (mg kg−1, DW) K (mg kg−1, DW) Na/K
CKSaltCKSaltCKSalt
Tetragold12.28 bc30.29 c90.19 bc52.94 bc0.14 a0.58 bc
Angus No. 112.08 bc31.34 c84.00 c56.24 bc0.15 a0.58 bc
Abundant13.54 ab32.86 bc82.12 c60.57 b0.17 a0.55 c
Splendor12.80 bc36.51 ab97.65 a58.76 b0.13 a0.61 bc
Double Barrel12.82 bc41.45 a102.61 a71.74 a0.13 a0.57 bc
Changjiang No. 218.35 a29.27 c79.00 cd50.63 bc0.24 a0.57 bc
Chuangnong No. 113.24 bc31.03 c85.44 c54.27 bc0.16 a0.57 bc
Muyao14.36 ab33.03 bc82.03 c53.79 bc0.18 a0.59 bc
Harukaze14.08 ab41.42 a92.01 b57.36 bc0.15 a0.72 a
Gongniu11.98 bc30.18 c87.40 bc55.75 bc0.14 a0.55 bc
Chuangnong12.95 bc39.11 a94.39 ab56.06 bc0.14 a0.70 a
Tegao8.63 c33.69 bc61.41 d49.01 bc0.14 a0.67 ab
Dongmu 7012.28 bc33.76 bc87.78 bc55.01 bc0.14 a0.60 bc
Doraian11.24 bc30.57 c76.16 cd44.92 c0.15 a0.68 ab
Big Boss12.93 bc30.67 c97.00 a56.23 bc0.14 a0.55 bc
Means marked by the same lower-case letters are not significant at p < 0.05 (Tukey’s test) for the comparison of different cultivars at a given treatment.
Table 2. The values of the subordinate function, integrated value (D), and order of each cultivar under salt stress. SGR means shoot growth rate, RGR means root growth rate, Chl means chlorophyll content, LWC means leaf relative water content, EL means electrical conductivity, GR means germination rate (on the 12th day) and Wj is the weighted coefficient.
Table 2. The values of the subordinate function, integrated value (D), and order of each cultivar under salt stress. SGR means shoot growth rate, RGR means root growth rate, Chl means chlorophyll content, LWC means leaf relative water content, EL means electrical conductivity, GR means germination rate (on the 12th day) and Wj is the weighted coefficient.
CultivarSubordinate Function Value of Different Cultivars
SGRRGRChlLWCELGRDOrder
Tetragold0.680.800.240.710.350.000.505
Angus No. 10.570.900.420.550.551.000.7614
Abundant0.530.580.000.000.160.110.304
Splendor0.680.280.380.060.510.060.293
Double Barrel0.550.560.540.340.021.000.5711
Changjiang No. 20.700.670.640.590.430.170.558
Chuangnong No. 10.300.761.000.730.171.000.7715
Muyao1.000.540.211.000.750.210.516
Harukaze0.970.670.090.750.680.420.558
Gongniu0.860.000.160.180.690.130.191
Chuangnong0.000.100.530.410.220.160.222
Tegao0.660.500.440.471.000.520.558
Dongmu 700.721.000.150.570.001.000.7113
Doraian0.290.910.170.220.040.460.527
Big Boss0.850.860.400.430.510.680.6812
Wj0.060.400.180.080.100.19
Publisher’s Note: MDPI stays neutral with regard to jurisdictional claims in published maps and institutional affiliations.

Share and Cite

MDPI and ACS Style

Xie, Y.; Liu, X.; Amee, M.; Yu, H.; Huang, Y.; Li, X.; Chen, L.; Fu, J.; Sun, X. Evaluation of Salt Tolerance in Italian Ryegrass at Different Developmental Stages. Agronomy 2021, 11, 1487. https://doi.org/10.3390/agronomy11081487

AMA Style

Xie Y, Liu X, Amee M, Yu H, Huang Y, Li X, Chen L, Fu J, Sun X. Evaluation of Salt Tolerance in Italian Ryegrass at Different Developmental Stages. Agronomy. 2021; 11(8):1487. https://doi.org/10.3390/agronomy11081487

Chicago/Turabian Style

Xie, Yan, Xiaoying Liu, Maurice Amee, Hua Yu, Ye Huang, Xiaoning Li, Liang Chen, Jinmin Fu, and Xiaoyan Sun. 2021. "Evaluation of Salt Tolerance in Italian Ryegrass at Different Developmental Stages" Agronomy 11, no. 8: 1487. https://doi.org/10.3390/agronomy11081487

APA Style

Xie, Y., Liu, X., Amee, M., Yu, H., Huang, Y., Li, X., Chen, L., Fu, J., & Sun, X. (2021). Evaluation of Salt Tolerance in Italian Ryegrass at Different Developmental Stages. Agronomy, 11(8), 1487. https://doi.org/10.3390/agronomy11081487

Note that from the first issue of 2016, this journal uses article numbers instead of page numbers. See further details here.

Article Metrics

Back to TopTop