Evaluation of the Regional-Scale Optimal K Rate Based on Sustainable Apple Yield and High-Efficiency K Use in Loess Plateau and Bohai Bay of China: A Meta-Analysis
Abstract
1. Introduction
2. Materials and Methods
2.1. Study Region
2.2. Data Collection and Dataset Establishment
2.3. Data Calculation
2.3.1. Indigenous K Supply
2.3.2. K Fertilizer Efficiency
2.4. Data Analysis
2.4.1. Statistical Evaluation of Fertilizer Efficiency Models
2.4.2. Statistical Analysis
3. Results and Discussion
3.1. Comparison of Models and Determination of Optimum K Rate
3.2. Indigenous K supply (IKS) in Different Production Regions
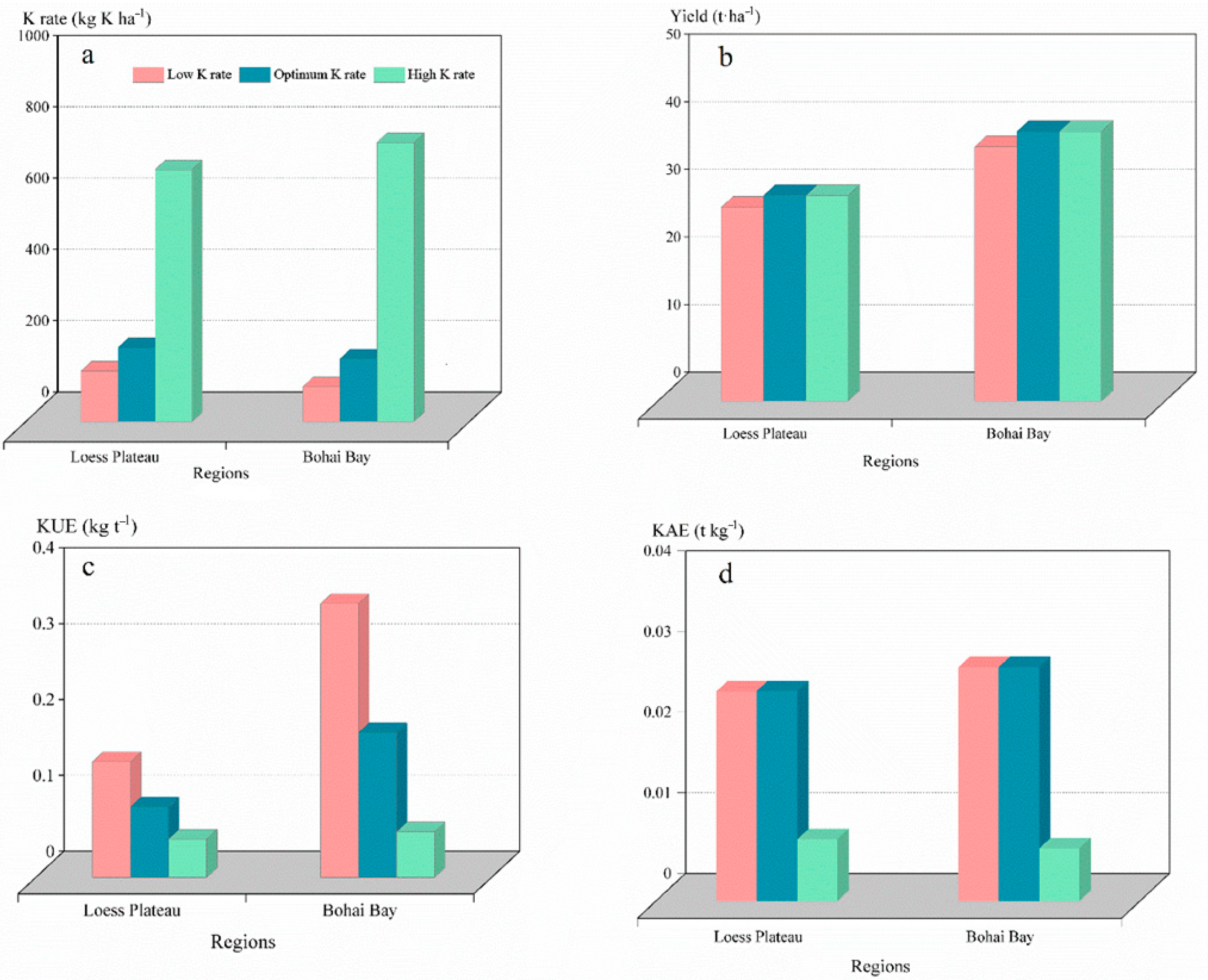
3.3. K Use Efficiency and Agronomic Efficiency of K under Different K Input
3.4. Yield and K Fertilizer Efficiency of the Optimum K Rate
3.5. Uncertainty of Optimum K Rate
3.5.1. Based on Different Research Targets
3.5.2. Based on Specific Sites
4. Conclusions
Author Contributions
Funding
Institutional Review Board Statement
Informed Consent Statement
Data Availability Statement
Acknowledgments
Conflicts of Interest
Appendix A
References
- Philip, L.F.; Herb, S.A.; Elizabeth, E.D.; James, J.L.; Hokanson, S.C. Collection, Maintenance, Characterization, and Utilizationof Wild Apples of Central Asia. Hort. Rev. 2003, 29, 1–61. [Google Scholar]
- Boyer, J.; Liu, R.H. Apple phytochemicals and their health benefits. Nutr. J. 2004, 3, 5. [Google Scholar] [CrossRef]
- Ulaszewska, M.; Vazquez-Manjarrez, N.; Garcia-Aloy, M.; Llorach, R.; Mattivi, F.; Dragsted, L.O.; Pratico, G.; Manach, C. Food intake biomarkers for apple, pear, and stone fruit. Genes Nutr. 2018, 13, 29. [Google Scholar] [CrossRef] [PubMed]
- Han, M.Y. Annual Report on the Development of Apple Industrial Technology; MOA: Beijing, China, 2008. [Google Scholar]
- FAO. FAOSTAT Production Database; FAO: Rome, Italy, 2016. [Google Scholar]
- Godfray, H.C.; Beddington, J.R.; Crute, I.R.; Haddad, L.; Lawrence, D.; Muir, J.F.; Pretty, J.; Robinson, S.; Thomas, S.M.; Toulmin, C. Food security: The challenge of feeding 9 billion people. Science 2010, 327, 812–818. [Google Scholar] [CrossRef]
- Inouye, A.M.W. China: Fresh Deciduous Fruit Annual; USDA Foreign Agricultural Service: Washington, DC, USA, 2019. [Google Scholar]
- Ma, W.L.; Abdulai, A. Linking apple farmers to markets Determinants and impacts of marketing contracts in China. China Agric. Econ. Rev. 2016, 8, 2–21. [Google Scholar] [CrossRef]
- Musacchi, S.; Serra, S. Apple fruit quality: Overview on pre-harvest factors. Sci. Hortic. 2018, 234, 409–430. [Google Scholar] [CrossRef]
- Wang, N.; Wolf, J.; Zhang, F.-S. Towards sustainable intensification of apple production in China—Yield gaps and nutrient use efficiency in apple farming systems. J. Integr. Agric. 2016, 15, 716–725. [Google Scholar] [CrossRef]
- Kim, S.O.; Chung, U.R.; Kim, S.H.; Choi, I.M.; Yun, J.I. The Suitable Region and Site for ‘Fuji’ Apple Under the Projected Climate in South Korea. Korean J. Agric. Forest Meteorol. 2009, 11, 162–173. [Google Scholar] [CrossRef]
- Zhang, Q.; Zhou, B.B.; Li, M.J.; Wei, Q.P.; Han, Z.H. Multivariate analysis between meteorological factor and fruit quality of Fuji apple at different locations in China. J. Integr. Agric. 2018, 17, 1338–1347. [Google Scholar] [CrossRef]
- Li, W.; Yang, M.; Wang, J.; Wang, Z.; Fan, Z.; Kang, F.; Wang, Y.; Luo, Y.; Kuang, D.; Chen, Z.; et al. Agronomic Responses of Major Fruit Crops to Fertilization in China: A Meta-Analysis. Agronomy 2019, 10, 15. [Google Scholar] [CrossRef]
- Liu, C.W.; Sung, Y.; Chen, B.C.; Lai, H.Y. Effects of nitrogen fertilizers on the growth and nitrate content of lettuce (Lactuca sativa L.). Int. J. Environ. Res. Public Health 2014, 11, 4427–4440. [Google Scholar] [CrossRef] [PubMed]
- Pettigrew, W.T. Potassium influences on yield and quality production for maize, wheat, soybean and cotton. Physiol. Plant 2008, 133, 670–681. [Google Scholar] [CrossRef]
- Ashley, M.K.; Grant, M.; Grabov, A. Plant responses to potassium deficiencies: A role for potassium transport proteins. J. Exp. Bot. 2006, 57, 425–436. [Google Scholar] [CrossRef]
- Prajapati, K.; Modi, H.A. The importance of potassium in plant growth–A review. Indian J. Plant Sci. 2012, 1, 177–186. [Google Scholar]
- Qi, J.; Sun, S.; Yang, L.; Li, M.; Ma, F.; Zou, Y. Potassium Uptake and Transport in Apple Roots Under Drought Stress. Hortic. Plant J. 2019, 5, 10–16. [Google Scholar] [CrossRef]
- Cakmak, I. Potassium for better crop production and quality. Plant Soil 2010, 335, 1–2. [Google Scholar] [CrossRef]
- Nava, G.; Dechen, A.R. Long-Term Annual Fertilization with Nitrogen and Potassium Affect Yield and Mineral Composition of ‘Fuji’ Apple. Sci. Agric. 2009, 66, 377–385. [Google Scholar] [CrossRef][Green Version]
- Basile, B.; Reidel, E.J.; Weinbaum, S.A.; DeJong, T.M. Leaf potassium concentration, CO2 exchange and light interception in almond trees (Prunus dulcis (Mill) D.A. Webb). Sci. Hortic. 2003, 98, 185–194. [Google Scholar] [CrossRef]
- Bednarz, C.W.; Oosterhuis, D.M. Physiological changes associated with potassium deficiency in cotton. J. Plant Nutr. 1999, 22, 303–313. [Google Scholar] [CrossRef]
- Cassman, K.G.; Kerby, T.A.; Roberts, B.A.; Bryant, D.C.; Brouder, S.M. Differential Response of Two Cotton Cultivars to Fertilizer and Soil Potassium. Agron. J. 1989, 81, 870–876. [Google Scholar] [CrossRef]
- Marschner, P. Marschner’s Mineral Nutrition of Higher Plants. In Marschner’s Mineral Nutrition of Higher Plants; Marschner, P., Ed.; Academic Press: Cambridge, MA, USA, 2012. [Google Scholar]
- Oosterhuis, D.M.; Loka, D.A.; Kawakami, E.M.; Pettigrew, W.T. The Physiology of Potassium in Crop Production. Adv. Agron. 2014, 126, 203–233. [Google Scholar]
- Suelter, C.H. Enzymes activated by monovalent cations. Science 1970, 168, 789–795. [Google Scholar] [CrossRef]
- Wang, Y.; Wu, W.H. Potassium transport and signaling in higher plants. Annu. Rev. Plant Biol. 2013, 64, 451–476. [Google Scholar] [CrossRef] [PubMed]
- Teo, G.; Suziki, Y.; Uratsu, S.L.; Lampinen, B.; Ormonde, N.; Hu, W.K.; DeJong, T.M.; Dandekar, A.M. Silencing leaf sorbitol synthesis alters long-distance partitioning and apple fruit quality. Proc. Natl. Acad. Sci. USA 2006, 103, 18842–18847. [Google Scholar] [CrossRef] [PubMed]
- Malvi, U. Interaction of micronutrients with major nutrients with special reference to potassium. Karnataka J. Agric. Sci. 2011, 24, 106–109. [Google Scholar]
- Sheldrick, W.F.; Syers, J.K.; Lingard, J. Soil nutrient audits for China to estimate nutrient balances and output/input relationships. Agric. Ecosyst. Environ. 2003, 94, 341–354. [Google Scholar] [CrossRef]
- Andrist-Rangel, Y.; Edwards, A.C.; Hillier, S.; Öborn, I. Long-term K dynamics in organic and conventional mixed cropping systems as related to management and soil properties. Agric. Ecosyst. Environ. 2007, 122, 413–426. [Google Scholar] [CrossRef]
- Hoa, N.; Janssen, B.; Oenema, O.; Dobermann, A. Comparison of partial and complete soil K budgets under intensive rice cropping in the Mekong Delta, Vietnam. Agric. Ecosyst. Environ. 2006, 116, 121–131. [Google Scholar] [CrossRef]
- Sardans, J.; Peñuelas, J. Potassium: A neglected nutrient in global change. Global Ecol. Biogeogr. 2015, 24, 261–275. [Google Scholar] [CrossRef]
- Savci, S. Investigation of Effect of Chemical Fertilizers on Environment. APCBEE Proc. 2012, 1, 287–292. [Google Scholar] [CrossRef]
- Jemrić, T.; Fruk, I.; Fruk, M.; Radman, S.; Sinkovič, L.; Fruk, G. Bitter pit in apples: Pre- and postharvest factors: A review. Span. J. Agric. Res. 2016, 14, 15. [Google Scholar] [CrossRef]
- Liu, M.Y.; Song, L.Q.; Zhao, L.L. Occurrence and prevention of apple bitter pit. Yantai Fruits 2019, 2, 34–35. [Google Scholar]
- Sun, L.Y.; Gao, R.S.; Qin, S.J. Research Progress on the Occurrence and Integrated Control of Apple Bitter Pit. North. Fruits 2021, 1, 1–3. [Google Scholar]
- Wu, X.; Wang, D.; Riaz, M.; Zhang, L.; Jiang, C. Investigating the effect of biochar on the potential of increasing cotton yield, potassium efficiency and soil environment. Ecotoxicol. Environ. Saf. 2019, 182, 109451. [Google Scholar] [CrossRef] [PubMed]
- Dhillon, J.S.; Eickhoff, E.M.; Mullen, R.W.; Raun, W.R. World Potassium Use Efficiency in Cereal Crops. Agron. J. 2019, 111, 889–896. [Google Scholar] [CrossRef]
- Rengel, Z.; Damon, P.M. Crops and genotypes differ in efficiency of potassium uptake and use. Physiol. Plant 2008, 133, 624–636. [Google Scholar] [CrossRef]
- Li, H.T.; Zhou, J.B.; Wen, X.W.; Dang, T.; Ma, W.Z.; Lei, Z.X. The effect of nitrogenous, phosphatic, and potassium fertilizers on Fuji Apple Trees. Res. Soil Water Conserv. 1996, 3, 163–168. [Google Scholar]
- Jin, H.C.; Zhang, L.S.; Li, B.Z.; Han, M.Y.; Liu, X.G. Effect of potassium on the leaf nutrition and quality of Red Fuji Apple. Acta Agric. Boreali Occident. Sin. 2007, 16, 100–104. [Google Scholar]
- Malo, D.; Schumacher, T.; Doolittle, J. Long-term cultivation impacts on selected soil properties in the northern Great Plains. Soil Tillage Res. 2005, 81, 277–291. [Google Scholar] [CrossRef]
- Tan, D.; Jin, J.; Jiang, L.; Huang, S.; Liu, Z. Potassium assessment of grain producing soils in North China. Agric. Ecosyst. Environ. 2012, 148, 65–71. [Google Scholar] [CrossRef]
- Tan, D.; Liu, Z.; Jiang, L.; Luo, J.; Li, J. Long-term potash application and wheat straw return reduced soil potassium fixation and affected crop yields in North China. Nutr. Cycl. Agroecosyst. 2017, 108, 121–133. [Google Scholar] [CrossRef]
- Zhang, C.Y.; Chang, Q.; Huo, X.X. Analysis on the layout of China’s apple production transition. Econ. Geogr. 2018, 38, 141–151. [Google Scholar]
- Fernandez, J.A.; DeBruin, J.; Messina, C.D.; Ciampitti, I.A. Late-season nitrogen fertilization on maize yield: A meta-analysis. Field Crops Res. 2020, 247, 107586. [Google Scholar] [CrossRef]
- Li, S.; Duan, Y.; Guo, T.; Zhang, P.; He, P.; Johnston, A.; Shcherbakov, A. Potassium management in potato production in Northwest region of China. Field Crops Res. 2015, 174, 48–54. [Google Scholar] [CrossRef]
- Singh, V.K.; Dwivedi, B.S.; Tiwari, K.N.; Majumdar, K.; Rani, M.; Singh, S.K.; Timsina, J. Optimizing nutrient management strategies for rice–wheat system in the Indo-Gangetic Plains of India and adjacent region for higher productivity, nutrient use efficiency and profits. Field Crops Res. 2014, 164, 30–44. [Google Scholar] [CrossRef]
- Cong, R.; Li, H.; Zhang, Z.; Ren, T.; Li, X.; Lu, J. Evaluate regional potassium fertilization strategy of winter oilseed rape under intensive cropping systems: Large-scale field experiment analysis. Field Crops Res. 2016, 193, 34–42. [Google Scholar] [CrossRef]
- Li, G.-H.; Cheng, Q.; Li, L.; Lu, D.-l.; Lu, W.-P. N, P and K use efficiency and maize yield responses to fertilization modes and densities. J. Integr. Agric. 2021, 20, 78–86. [Google Scholar] [CrossRef]
- Liu, Y.; Ma, J.; Ding, W.; He, W.; Lei, Q.; Gao, Q.; He, P. Temporal and spatial variation of potassium balance in agricultural land at national and regional levels in China. PLoS ONE 2017, 12, e0184156. [Google Scholar] [CrossRef]
- Qiu, S.; Xie, J.; Zhao, S.; Xu, X.; Hou, Y.; Wang, X.; Zhou, W.; He, P.; Johnston, A.M.; Christie, P.; et al. Long-term effects of potassium fertilization on yield, efficiency, and soil fertility status in a rain-fed maize system in northeast China. Field Crops Res. 2014, 163, 1–9. [Google Scholar] [CrossRef]
- Yang, X.; Li, C.; Zhang, Q.; Liu, Z.; Geng, J.; Zhang, M. Effects of polymer-coated potassium chloride on cotton yield, leaf senescence and soil potassium. Field Crops Res. 2017, 212, 145–152. [Google Scholar] [CrossRef]
- Wang, C.; Zang, H.D.; Liu, J.G.; Shi, X.Y.; Li, S.; Chen, F.; Chu, Q.Q. Optimum nitrogen rate to maintain sustainable potato production and improve nitrogen use efficiency at a regional scale in China. A meta-analysis. Agron. Sustain. Dev. 2020, 40, 1–14. [Google Scholar] [CrossRef]
- Yu, F.; Feng, S.; Du, W.; Wang, D.; Guo, Z.; Xing, S.; Jin, Z.; Cao, Y.; Xu, T. A Study of Nitrogen Deficiency Inversion in Rice Leaves Based on the Hyperspectral Reflectance Differential. Front. Plant Sci. 2020, 11, 573272. [Google Scholar] [CrossRef]
- Zamuner, E.C.; Lloveras, J.; Echeverría, H.E. Use of a Critical Phosphorus Dilution Curve to Improve Potato Crop Nutritional Management. Am. J. Potato Res. 2016, 93, 392–403. [Google Scholar] [CrossRef]
- Qeyami, M. Effects of Calcium and Potassium Application on Growht, Yield and Quality of Apple (Malus x domestica Borkh.) cv. Red Delicious. Indian J. Pure Appl. Biosci. 2020, 8, 574–584. [Google Scholar] [CrossRef]
- Chen, X.P.; Zhou, J.C.; Wang, X.R.; Zhang, F.S. Economic and environmental evaluation on models for describing crop yield response to nitrogen fertilizers at winter-wheat and summer-corn rotation system. Acta Pedol. Sin. 2000, 37, 346–354. [Google Scholar]
- Wang, X.M.; Jie, X.L.; Chen, S.L.; Hou, Y.L.; Li, Z.G. Verification of Fertilization Model and Recommended Fertilization in the Crop Rotation of Winter Wheat and Summer Maize. J. Anhui Agric. Sci. 2008, 36, 4181–4184. [Google Scholar]
- Zeng, C.L.; Wang, X.R.; Cheng, X.P.; Zhang, F.S. Study on the select of nitrogen fertilization models for winter wheat and the effects of it on result of fertilizing nitrogen. J. Jianghan Univ. 2000, 17, 8–12. [Google Scholar]
- Guo, Q.E.; Guo, T.W.; Ran, S.B. Study on the effect of potassium fertilizer on apple. Gansu Agric. Sci. Technol. 2001, 9, 36–37. [Google Scholar]
- Jing, Q.; Bouman, B.A.M.; Hengsdijk, H.; Van Keulen, H.; Cao, W. Exploring options to combine high yields with high nitrogen use efficiencies in irrigated rice in China. Eur. J. Agron. 2007, 26, 166–177. [Google Scholar] [CrossRef]
- Duan, Y.; Zhang, J.; An, H.; Jing, Y.P.; Jin, C.W.; Zhao, N.; Li, S.T. Effectively increasing the yield and oil quality of sunflower by basal application of potassium fertilizers in Hetao irrigation area, Inner Mongolia. J. Plant Nutr. Fertil. 2018, 24, 1349–1356. [Google Scholar]
- Hartley, T.N.; Thomas, A.S.; Maathuis, F.J.M. A role for the OsHKT 2;1 sodium transporter in potassium use efficiency in rice. J. Exp. Bot. 2020, 71, 699–706. [Google Scholar] [CrossRef]
- Olk, D.C.; Cassman, K.G.; Simbahan, G.; Cruz, P.C.S.; Abdulrachman, S.; Nagarajan, R.; Tan, P.S.; Satawathananont, S. Interpreting fertilizer-use efficiency in relation to soil nutrient-supplying capacity, factor productivity, and agronomic efficiency. Nutr. Cycl. Agroecosyst. 1999, 53, 35–41. [Google Scholar] [CrossRef]
- Van Bueren, E.T.L.; Struik, P.C. Diverse concepts of breeding for nitrogen use efficiency. A review. Agron. Sustain. Dev. 2017, 37, 37–50. [Google Scholar]
- Qiang, S.; Zhang, Y.; Fan, J.; Zhang, F.; Xiang, Y.; Yan, S.; Wu, Y. Maize yield, rainwater and nitrogen use efficiency as affected by maize genotypes and nitrogen rates on the Loess Plateau of China. Agric. Water Manag. 2019, 213, 996–1003. [Google Scholar] [CrossRef]
- Xu, X.; Du, X.; Wang, F.; Sha, J.; Chen, Q.; Tian, G.; Zhu, Z.; Ge, S.; Jiang, Y. Effects of Potassium Levels on Plant Growth, Accumulation and Distribution of Carbon, and Nitrate Metabolism in Apple Dwarf Rootstock Seedlings. Front. Plant Sci. 2020, 11, 904. [Google Scholar] [CrossRef]
- Wang, Q.; He, W.H.; Guo, J.N.; Huang, X.G.; Jiao, S.M.; He, Y.H. Effect of application of potassium fertilizer on production and fruit quality apple trees. J. Fruit Sci. 2002, 19, 424–426. [Google Scholar]
- Kuzin, A.I.; Trunov, Y.V.; Solovyev, A.V. Effect of fertigation on yield and fruit quality of apple (Malus domestica Borkh.) in high-density orchards on chernozems in Central Russia. Acta Hortic. 2018, 1217, 343–350. [Google Scholar] [CrossRef]
- Zhang, Z.Y.; Li, Y.J.; Cui, W.S.; Liu, M.Y.; Du, X.Z.; Jiang, X.L. Effects of increasing potassium fertilizer on apple fruits and orchard soil. Shandong Agric. Sci. 2013, 45, 97–99, 102. [Google Scholar]
- Allison, M.F.; Fowler, J.H.; Allen, E.J. Responses of potato (Solanum tuberosum) to potassium fertilizers. J. Agric. Sci. 2001, 136, 407–426. [Google Scholar] [CrossRef]
- Jiang, W.T.; Liu, X.H.; Wang, Y.; Zhang, Y.; Qi, W. Responses to Potassium Application and Economic Optimum K Rate of Maize under Different Soil Indigenous K Supply. Sustainability 2018, 10, 2267. [Google Scholar] [CrossRef]
- Vos, J. Nitrogen Responses and Nitrogen Management in Potato. Potato Res. 2010, 52, 305–317. [Google Scholar] [CrossRef]
- Zhao, Z.P.; Yan, S.; Liu, F.; Ji, P.H.; Wang, X.Y.; Tong, Y.A. Effects of chemical fertilizer combined with organic manure on Fuji apple quality, yield and soil fertility in apple orchard on the Loess Plateau of China. Int. J. Agric. Biol. Eng. 2014, 7, 45–55. [Google Scholar]
- Yuanmao, J.; Manru, G.; Huairui, S. Nutrient diagnosis of starking delicious’ apple. Acta Hortic. Sin. 1995, 22, 215–220. [Google Scholar]
- Roberts, T.L. Improving nutrient use efficiency. Turk. J. Agric. Forest. 2008, 32, 177–182. [Google Scholar]
- Feng, S.K.; Yang, S.C.; Nie, H.R. Preliminary report on application techniques of potassium fertilizer in apple orchard on sloping land in Western Liaoning. China Fruits 1987, 4, 38–40. [Google Scholar]
- Chen, C.; Tong, Y.A.; Lu, Y.L.; Gao, Y.M. Effects of different potassium fertilizers on production, quality and storability of Fuji apple. J. Plant Nutr. Fertil. 2016, 22, 216–224. [Google Scholar]
- Kumar, P.; Sharma, S.K.; Kumar, A. Foliar nutritive fluids affect generative potential of apples: Multilocation DOP indexing and PCA studies under dry temperate agro-climatic conditions of north-west Himalaya. Sci. Hortic. 2017, 218, 265–274. [Google Scholar] [CrossRef]
- Hou, Y.L. Theory and technological system of ecological balanced fertilization. Acta Ecol. Sin. 2000, 20, 653–658. [Google Scholar]
- Hou, Y.L. Theory system, index system of ecological balanced fertilization and demonstration for fertilizer efficiency evaluation. J. Agroenviron. Sci. 2011, 30, 1257–1266. [Google Scholar]
- Yan, J.C.; Lei, H.Z. The development tendency and inspiration of ecological agriculture in the world. World Agric. 2005, 1, 7–10. [Google Scholar]
- An, F.S.; Xing, Q.M.; Zhao, Q.; Sheng, X.F.; Cui, L.X. Study on Application of Biological Potash Fertilizer in Apple Orchard. Yantai Fruits 1997, 4, 15–17. [Google Scholar]
- An, F.Z.; Zhang, F.S. Effects on yield and quality in close planting apple orchard with potash fertilization. South. Hortic. 2012, 23, 16–18. [Google Scholar]
- Feng, S.K.; Yang, R.L.; Nie, H.R. Comparative experiment of two kinds of potassium fertilizer on apple fertilizer efficiency. North. Fruits 1989, 3, 19–21. [Google Scholar]
- Feng, Z. Effect of Different Potassium Levels on the Yield and Quality of Red Fuji Apple. Anhui Agric. Sci. Bull. 2015, 3, 56–57. [Google Scholar]
- Gao, Y.M.; Tong, Y.A.; Lu, Y.L.; Wang, X.Y. Effects of Soil Available Nutrients and Long-term Fertilization on Yield of Fuji Apple Orchard of Weibei Area in Shaanxi, China. Acta Hortic. Sin. 2013, 40, 613–622. [Google Scholar]
- Li, T.T.; Zhai, B.N.; Li, Y.G.; Liu, L.L.; Han, M.Y. Effect of fertilizer type on growth and yield of Fuji apple in Weibei dry region of Shaanxi. J. Fruit Sci. 2013, 30, 591–596. [Google Scholar]
- Lin, H.T.; Jiang, L.H.; Liu, Z.H.; Song, X.Z.; Zheng, F.L.; Wang, M.; Zhang, W.J. Effects of applying potassium magnesium sulfate on apple yield, quality and leaf mineral nutrition. Shandong Agric. Sci. 2007, 6, 86–88. [Google Scholar]
- Liu, R.L.; Tong, Y.A.; Gao, Y.M.; Zhao, Y. Study on soil nutrients in apple orchard and balanced fertilization in shaanxi Weibei dry-land. J. Northwest Sci-Tech Univ. Agric. For. 2008, 36, 135–140. [Google Scholar]
- Shi, C.Y. Effects of Different NPK Treatments on the Yield of Luochuan Red Fuji Apple. Shanxi Agric. Econ. 2017, 5, 57–59. [Google Scholar]
- Tang, X.R.; Zhang, F.Q. Effect of Potassium Fertilizer Application on Fruit Yield and Quality in Apple Orchard. Yantai Fruits 2007, 3, 19–20. [Google Scholar]
- Zhang, L.X.; Geng, Z.C.; Li, S.X. Research on interaction between water and different forms of potassium and quality responses of Fuji apple on Weibei rainfed highland. Acta Univ. Agric. Boreali-occident. 2002, 30, 21–26. [Google Scholar]
- Zhang, P.P.; Xu, X.Y.; Qiu, D.X.; Zang, M.J. Application of kalium fercilizer in palm soil increases the yield and improves the quatoty of various crops. J. Shandong Agric. Univ. 2003, 34, 424–426. [Google Scholar]
- Zhao, Z.P.; Duan, M.; Tong, Y.A. Effects of different fertilizations on yield and fruit quality of Fuji apple in different ecological regions. Agric. Res. Arid Areas 2016, 34, 158–165. [Google Scholar]
- Zhao, Z.P.; Tong, Y.A. Effect of different fertilization on apple yield, fruit quality and storage duration of Fuji apple. J. China Agric. Univ. 2016, 21, 26–34. [Google Scholar]
- Zhao, Z.P.; Tong, Y.A.; Gao, Y.M.; Fu, Y.Y. Effect of different fertilization on yield and quality of Fuji apple. J. Plant Nutr. Fertil. 2005, 19, 1130–1135. [Google Scholar]
- Zheng, W.; Li, Y.; Gong, Q.; Zhang, H.; Zhao, Z.; Zheng, Z.; Zhai, B.; Wang, Z. Improving yield and water use efficiency of apple trees through intercrop-mulch of crown vetch (Coronilla varia L.) combined with different fertilizer treatments in the Loess Plateau. Span. J. Agric. Res. 2016, 14, 30. [Google Scholar] [CrossRef]





| Regions | Loess Plateau | Bohai Bay |
|---|---|---|
| Available N (mg kg−1) | 9.2 to 47.8 | 48.5 to 100.9 |
| Available P (mg kg−1) | 9.1 to 55.9 | 5.7 to 31.0 |
| Available K (mg kg−1) | 65.6 to 184.0 | 48.9 to 155.4 |
| Organic matter (g kg−1) | 6.9 to 67.4 | 3.7 to 15.2 |
| soil PH | 8.2 to 8.3 | 5.6 to 8.2 |
| Regions | Statistics | L Model | Q Model | Q + P Model | L + P Model |
|---|---|---|---|---|---|
| Loess Plateau | RMSE (%) | 19.85 | 19.73 | 19.56 | 19.38 |
| R2 | 0.153 | 0.156 | 0.182 | 0.191 | |
| P value | <0.001 | <0.001 | <0.001 | <0.001 | |
| Bohai Bay | RMSE (%) | 10.45 | 9.77 | 10.20 | 10.16 |
| R2 | 0.249 | 0.324 | 0.351 | 0.351 | |
| P value | <0.001 | <0.001 | <0.001 | <0.001 |
Publisher’s Note: MDPI stays neutral with regard to jurisdictional claims in published maps and institutional affiliations. |
© 2021 by the authors. Licensee MDPI, Basel, Switzerland. This article is an open access article distributed under the terms and conditions of the Creative Commons Attribution (CC BY) license (https://creativecommons.org/licenses/by/4.0/).
Share and Cite
Tang, W.; Wang, W.; Chen, D.; Cui, N.; Yang, H.; Hu, X. Evaluation of the Regional-Scale Optimal K Rate Based on Sustainable Apple Yield and High-Efficiency K Use in Loess Plateau and Bohai Bay of China: A Meta-Analysis. Agronomy 2021, 11, 1368. https://doi.org/10.3390/agronomy11071368
Tang W, Wang W, Chen D, Cui N, Yang H, Hu X. Evaluation of the Regional-Scale Optimal K Rate Based on Sustainable Apple Yield and High-Efficiency K Use in Loess Plateau and Bohai Bay of China: A Meta-Analysis. Agronomy. 2021; 11(7):1368. https://doi.org/10.3390/agronomy11071368
Chicago/Turabian StyleTang, Wenzheng, Wene Wang, Dianyu Chen, Ningbo Cui, Haosheng Yang, and Xiaotao Hu. 2021. "Evaluation of the Regional-Scale Optimal K Rate Based on Sustainable Apple Yield and High-Efficiency K Use in Loess Plateau and Bohai Bay of China: A Meta-Analysis" Agronomy 11, no. 7: 1368. https://doi.org/10.3390/agronomy11071368
APA StyleTang, W., Wang, W., Chen, D., Cui, N., Yang, H., & Hu, X. (2021). Evaluation of the Regional-Scale Optimal K Rate Based on Sustainable Apple Yield and High-Efficiency K Use in Loess Plateau and Bohai Bay of China: A Meta-Analysis. Agronomy, 11(7), 1368. https://doi.org/10.3390/agronomy11071368

