Regulation of Osmotic Balance and Increased Antioxidant Activities under Heat Stress in Abelmoschus esculentus L. Triggered by Exogenous Proline Application
Abstract
1. Introduction
2. Materials and Methods
2.1. Plant Material and Growing Conditions
2.2. Heat Treatment
2.3. Exogenous Application of Proline
2.4. Morphological Attributes
2.5. Physiological Attributes
2.6. Antioxidant Enzyme Activity
2.7. Water Relations
2.7.1. Leaf Water Potential (Ψw) (-MPa)
2.7.2. Leaf Osmotic Potential (Ψs) (-MPa) by Osmometer
2.7.3. Leaf Turgor Potential (Ψp) = (Ψw) − (Ψs) (MPa)
2.7.4. Leaf Relative Water Content (RWC)
2.8. Biochemical Attributes
2.9. Experimental Design and Statistical Analysis
3. Results
3.1. Morphological Attributes
3.2. Physiological Attributes
3.3. Antioxidant Enzyme Activity
3.4. Water Relations
3.5. Biochemical Attributes
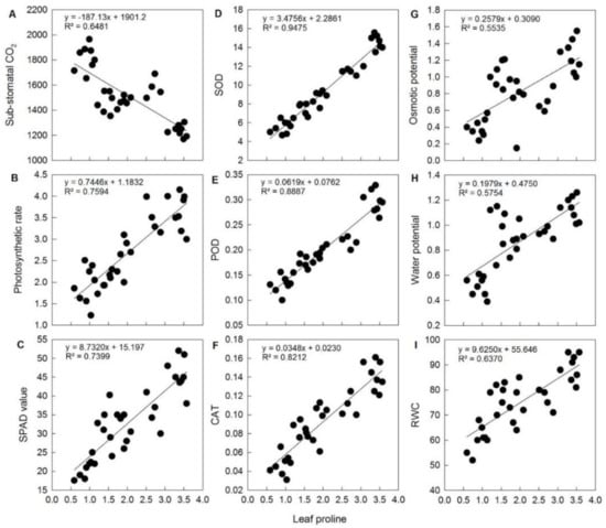
3.6. Inter-Trait Relationship
4. Discussion
5. Conclusions
Author Contributions
Funding
Data Availability Statement
Conflicts of Interest
References
- Niu, Y.; Xiang, Y. An overview of biomembrane functions in plant responses to high-temperature stress. Front. Plant Sci. 2018, 9, 1–18. [Google Scholar] [CrossRef] [PubMed]
- Nazir, A.; Shaheen, M.R.; Ayyub, C.M.; Hussain, R.; Sarwer, N.; Imran, M.; Aurangzaib, M.; Nawaz, M.; Ali Khan, M.F.; Jawad, Y.; et al. Exploring the better genetic options from indigenous material to cultivate tomato under high temperature regime. J. Appl. Bot. Food Qual. 2017, 90, 339–345. [Google Scholar] [CrossRef]
- Meehl, G.A.; Tebaldi, C. More intense, more frequent, and longer lasting heat waves in the 21st century. Science 2004, 305, 994–997. [Google Scholar] [CrossRef] [PubMed]
- Folland, C.K.; Karl, T.R.; Christy, J.R.; Clarke, R.; Gruza, G.; Jouzel, J.; Mann, M.; Oerlermans, J.; Salinger, M.; Wang, S. Climate Change 2001: The Scientific Basis; Hought, J.T., Ed.; The Press Syndicate of the University of Cambridge: Cambridge, UK, 2001. [Google Scholar]
- Pereira, A. Plant abiotic stress challenges from the changing environment. Front. Plant Sci. 2016, 7. [Google Scholar] [CrossRef]
- Ruelland, E.; Zachowski, A. How plants sense temperature. Environ. Exp. Bot. 2010, 69, 225–232. [Google Scholar] [CrossRef]
- Bita, C.E.; Gerats, T. Plant tolerance to high temperature in a changing environment: Scientific fundamentals and production of heat stress-tolerant crops. Front. Plant Sci. 2013, 4, 273. [Google Scholar] [CrossRef]
- Madlung, A.; Comai, L. The effect of stress on genome regulation and structure. Ann. Bot. 2004, 94, 481–495. [Google Scholar] [CrossRef]
- Lobell, D.B.; Asner, G.P. Climate and management contributions to recent trends in U.S. agricultural yields. Science 2003, 299, 1032. [Google Scholar] [CrossRef]
- Bray, E.A.; Bailey-Serres, J.; Weretilnyk, E. Responses to abiotic stresses. In Biochemistry and Molecular Biology of Plants; John Wiley & Sons: Hoboken, NJ, USA, 2000; Volume 139, pp. 1158–1203. [Google Scholar] [CrossRef]
- Wahid, A.; Close, T.J. Expression of dehydrins under heat stress and their relationship with water relations of sugarcane leaves. Biol. Plant. 2007, 51, 104–109. [Google Scholar] [CrossRef]
- Bañon, S.; Fernandez, J.A.; Franco, J.A.; Torrecillas, A.; Alarcón, J.J.; Sánchez-Blanco, M.J. Effects of water stress and night temperature preconditioning on water relations and morphological and anatomical changes of Lotus creticus plants. Sci. Hortic. 2004, 101, 333–342. [Google Scholar] [CrossRef]
- Wahid, A.; Gelani, S.; Ashraf, M.; Foolad, M.R. Heat tolerance in plants: An overview. Environ. Exp. Bot. 2007, 61, 199–223. [Google Scholar] [CrossRef]
- Young, L.W.; Wilen, R.W.; Bonham-Smith, P.C. High temperature stress of Brassica napus during flowering reduces micro- and megagametophyte fertility, induces fruit abortion, and disrupts seed production. J. Exp. Bot. 2004, 55, 485–495. [Google Scholar] [CrossRef]
- Tsukaguchi, T.; Kawamitsu, Y.; Takeda, H.; Suzuki, K.; Egawa, Y. Water status of flower buds and leaves as affected by high temperature in heat-tolerant and heat-sensitive cultivars of snap bean (Phaseolus vulgaris L.). Plant Prod. Sci. 2003, 6, 24–27. [Google Scholar] [CrossRef]
- Xiong, F.S.; Mueller, E.C.; Day, T.A. Photosynthetic and respiratory acclimation and growth response of Antarctic vascular plants to contrasting temperature regimes. Am. J. Bot. 2000, 87, 700–710. [Google Scholar] [CrossRef]
- Prasad, P.V.V.; Staggenborg, S.A.; Ristic, Z. Impacts of Drought and/or Heat Stress on Physiological, Developmental, Growth, and Yield Processes of Crop Plants. Adv. Agric. Syst. Model. 2015, 301–355. [Google Scholar] [CrossRef]
- Sakamoto, A.; Murata, N. The role of glycinebetaine in the protection of plants from stress: Clues from transgenic plants. Plant Cell Environ. 2002, 25, 163–171. [Google Scholar] [CrossRef]
- Sairam, R.K.; Tyagi, A. Physiology and molecular biology of salinity stress tolerance in plants. Curr. Sci. 2004, 86, 407–421. [Google Scholar]
- Quan, R.; Shang, M.; Zhang, H.; Zhao, Y.; Zhang, J. Engineering of enhanced glycinebetaine synthesis improves drought tolerance in maize. Plant Biotechnol. J. 2004, 2, 477–486. [Google Scholar] [CrossRef] [PubMed]
- Rachel, T.; Mellob, S.C.; Momessoc, P.; Pedroso, R.M. L-proline alleviates heat stress of tomato plants grown under protected environment. Sci. Hortic. 2020, 268, 1–7. [Google Scholar]
- Wilfried, C. Proline as a measure of stress in tomato plants. Plant Sci. 2005, 168, 241–248. [Google Scholar]
- Hamilton, E.W.; Heckathorn, S.A. Mitochondrial adaptations to NaCl. Complex I is protected by antioxidants and small heat shock proteins, whereas complex II is protected by proline and betaine. Plant Physiol. 2001, 126, 1266–1274. [Google Scholar] [CrossRef] [PubMed]
- Chedlia, B.A.; Rouina, B.B.; Boukhriss, S.S.M.; Abdullah, F.B. Exogenous proline effects on photosynthetic performance and antioxidant defense system of young olive tree. J. Agric. Food Chem. 2010, 58, 4216–4222. [Google Scholar]
- Shamsul, H.; Hayat, Q.; Alyemeni, M.N.; Wani, A.S.; Pichtel, J.; Ahmad, A. Role of proline under changing environments: A review. Plant Signal. Behav. 2012, 7, 1456–1466. [Google Scholar]
- Hussain, R.; Ayyub, C.M.; Amjad, M.; Waraich, E.A.; Shaheen, M.R.; Mustafa, Z.; Shah, S.Z.H.; Shahid, A.; Haider, W.H.; Faiz, H.; et al. Evaluation of Heat Tolerance Potential of Okra Genotypes in Field Conditions at Different Sowing Dates. Transylv. Rev. 2016, XXIV, 3416–3427. [Google Scholar]
- Hussain, R.; Ayyub, C.M.; Amjad, M.; Waraich, E.A. Determination of Best Proline Concentration for Alleviation of Temperature Stress Damages in Okra (Abelmoschus esculentus L. Moench). Sylwan 2016, 160, 170–190. [Google Scholar]
- Munger, P.; Bleiholder, H.; Hack, H.; Hess, M.; Stauss, R.; Boom, V.D. Phenological growth stages of the cotton plant (Gossypium hirsutum L.): Codification and description according to the BBCH scale. J. Agron. Crop Sci. 1998, 180, 143–149. [Google Scholar] [CrossRef]
- Giannopolitis, C.N.; Ries, S.K. Superoxide dismutase I. Occurrence in higher plants. Plant Physiol. 1977, 59, 309–314. [Google Scholar] [CrossRef]
- Chance, B.; Maehly, A.C. Assay of catalase and peroxidase. Methods Enzymol. 1955, 2, 764–775. [Google Scholar]
- Barrs, H.D.; Weatherley, P.E. A re-examination of the relative turgidity technique for estimating water deficits in leaves. Aust. J. Biol. Sci. 1962, 15, 413–428. [Google Scholar] [CrossRef]
- Bates, L.S.; Waldron, R.P.; Teare, I.D. Rapid determination of free proline for water stress studies. Plant Soil 1973, 39, 205–207. [Google Scholar] [CrossRef]
- Grieve, C.M.; Grattan, S.R. Rapid assay for determination of water soluble quaternary ammonium compounds. Plant Soil 1983, 70, 303–307. [Google Scholar] [CrossRef]
- Rasheed, R.; Wahid, A.; Farooq, M.; Hussain, I.; Basra, S.M.A. Role of proline and glycinebetaine pretreatments in improving heat tolerance of sprouting sugarcane (Saccharum sp.) buds. Plant Growth Regul. 2011, 65, 35–45. [Google Scholar] [CrossRef]
- Biology, A. Responses of Some Local/Exotic Accessions of lentil (Lens culinaris) decades. J. Agron. Crop Sci. 1993, 42, 63–72. [Google Scholar]
- Hassan, M.U.; Chattha, M.U.; Khan, I.; Chattha, M.B.; Barbanti, L.; Aamer, M.; Iqbal, M.M.; Nawaz, M.; Mahmood, A.; Ali, A.; et al. Heat stress in cultivated plants: Nature, impact, mechanisms, and mitigation strategies—A review. Plant Biosyst. 2020, 211–234. [Google Scholar] [CrossRef]
- Saradhi, P.P. Proline accumulates in plants exposed to UV radiation and protects them against UV induced peroxidation. Biochem. Biophys. Res. Commun. 1995, 209, 1–5. [Google Scholar] [CrossRef]
- Schwachtje, J.; Whitcomb, S.J.; Firmino, A.A.P.; Zuther, E.; Hincha, D.K.; Kopka, J. Induced, imprinted, and primed responses to changing environments: Does metabolism store and process information? Front. Plant Sci. 2019, 10. [Google Scholar] [CrossRef]
- Szabados, L.; Savouré, A. Proline: A multifunctional amino acid. Trends Plant Sci. 2010, 15, 89–97. [Google Scholar] [CrossRef]
- Noreen, S.; Akhter, M.S.; Yaamin, T.; Arfan, M. The ameliorative effects of exogenously applied proline on physiological and biochemical parameters of wheat (Triticum aestivum L.) crop under copper stress condition. J. Plant Interac. 2018, 13, 221–230. [Google Scholar] [CrossRef]
- Ayyaz, A.; Amir, M.; Umer, S.; Iqbal, M.; Bano, H.; Gul, H.S.; Noor, Y.; Kanwal, A.; Khalid, A.; Javed, M.; et al. Melatonin induced changes in photosynthetic efficiency as probed by OJIP associated with improved chromium stress tolerance in canola (Brassica napus L.). Heliyon 2020, 6. [Google Scholar] [CrossRef]
- Ashraf, M.; Harris, P.J.C. Photosynthesis under stressful environments: An overview. Photosynthetica 2013, 51, 163–190. [Google Scholar] [CrossRef]
- Lynch, J.P. Root phenotypes for improved nutrient capture: An underexploited opportunity for global agriculture. New Phytol. 2019, 223, 548–564. [Google Scholar] [CrossRef]
- Sadura, I.; Pociecha, E.; Dziurka, M.; Oklestkova, J.; Novak, O.; Gruszka, D.; Janeczko, A. Mutations in the HvDWARF, HvCPD and HvBRI1 Genes-Involved in Brassinosteroid Biosynthesis/Signalling: Altered Photosynthetic Efficiency, Hormonal Homeostasis and Tolerance to High/Low Temperatures in Barley. J. Plant Growth Regul. 2019, 38, 1062–1081. [Google Scholar] [CrossRef]
- Shahid, M.A.; Balal, R.M.; Pervez, M.A.; Abbas, T.; Aqeel, M.A.; Javaid, M.M.; Garcia-Sanchez, F. Exogenous proline and proline-enriched Lolium perenne leaf extract protects against phytotoxic effects of nickel and salinity in Pisum sativum by altering polyamine metabolism in leaves. Turk. J. Bot. 2014, 38, 914–926. [Google Scholar] [CrossRef]
- Zhang, X.; Wollenweber, B.; Jiang, D.; Liu, F.; Zhao, J. Water deficits and heat shock effects on photosynthesis of a transgenic Arabidopsis thaliana constitutively expressing ABP9, a bZIP transcription factor. J. Exp. Bot. 2008, 59, 839–848. [Google Scholar] [CrossRef]
- Ahmar, S.; Gill, R.A.; Jung, K.H.; Faheem, A.; Qasim, M.U.; Mubeen, M.; Zhou, W. Conventional and molecular techniques from simple breeding to speed breeding in crop plants: Recent advances and future outlook. Int. J. Mol. Sci. 2020, 21, 2590. [Google Scholar] [CrossRef]





| Effect | Shoot Length (cm) | Root Length (cm) | Shoot Fresh Weight (g) | Root Fresh Weight (g) | Shoot Dry Weight (g) | Root Dry Weight (g) | No. of Leaf/Plant |
|---|---|---|---|---|---|---|---|
| Proline | |||||||
| P0 | 13.1 b | 7.4 b | 4.0 b | 0.60 a | 0.6 b | 0.04 b | 5.6 b |
| P1 | 16.8 a | 9.6 a | 6.7 a | 0.30 b | 1.1 a | 0.08 a | 9.9 a |
| Cultivar | |||||||
| C1 | 17.8 a | 11.3 a | 6.2 b | 0.30 c | 1.0 ab | 0.07 a | 10.8 a |
| C2 | 16.2 b | 8.5 b | 7.2 a | 0.61 b | 1.2 a | 0.06 ab | 8.9 b |
| C3 | 13.7 c | 7.1 c | 4.1 c | 0.28 c | 0.8 b | 0.06 ab | 5.6 c |
| C4 | 12.2 d | 7.3 c | 4.0 c | 0.63 a | 0.5 c | 0.04 b | 5.9 c |
| Interaction | |||||||
| P0 C1 | 15.3 c | 10.4 b | 4.7 c | 0.32 de | 0.6 | 0.06 | 8.5 b |
| P0 C2 | 14.6 c | 7.6 d | 5.3 c | 0.66 b | 0.9 | 0.04 | 5.5 cd |
| P0 C3 | 12.4 e | 6.2 e | 3.3 d | 0.44 cd | 0.6 | 0.04 | 4.0 d |
| P0 C4 | 10.2 f | 5.6 e | 2.8 d | 0.99 a | 0.3 | 0.03 | 4.5 cd |
| P1 C1 | 20.3 a | 12.2 a | 7.7 b | 0.26 ef | 1.3 | 0.09 | 13.0 a |
| P1 C2 | 17.7 b | 9.4 bc | 9.1 a | 0.55 bc | 1.6 | 0.08 | 12.3 a |
| P1 C3 | 15.0 c | 8.0 d | 4.9 c | 0.12 f | 1.1 | 0.08 | 7.3 bc |
| P1 C4 | 14.1 cd | 8.9 cd | 5.2 c | 0.26 ef | 0.6 | 0.06 | 7.3 bc |
| Significance | |||||||
| P | ** | ** | ** | ** | ** | ** | ** |
| C | ** | ** | ** | ** | ** | ** | ** |
| P × C | * | * | ** | ** | NS | NS | * |
| Trait | LT | SPAD | Pn | GS | TR | WUE | Pro | SOD | POD | CAT | TFA | RWC | |||
|---|---|---|---|---|---|---|---|---|---|---|---|---|---|---|---|
| LT | 1 | −0.91 | −0.94 | 0.49 | 0.78 | −0.87 | −0.99 | −0.98 | −0.95 | −0.91 | −0.99 | −0.66 | −0.73 | 0.37 | −0.87 |
| SPAD | ** | 1 | 0.86 | −0.78 | −0.92 | 0.88 | 0.95 | 0.95 | 0.97 | 0.96 | 0.90 | 0.90 | 0.92 | −0.63 | 0.97 |
| Pn | *** | ** | 1 | 0.36 | −0.83 | 0.92 | 0.93 | 0.92 | 0.92 | 0.93 | 0.95 | 0.65 | 0.68 | −0.26 | 0.74 |
| GS | NS | * | NS | 1 | 0.70 | −0.53 | −0.60 | −0.60 | −0.68 | −0.63 | −0.46 | −0.88 | −0.80 | 0.76 | −0.89 |
| TR | * | ** | * | * | 1 | −0.92 | −0.82 | −0.80 | −0.90 | −0.95 | −0.82 | −0.95 | −0.91 | 0.73 | −0.85 |
| WUE | ** | ** | ** | NS | ** | 1 | 0.87 | 0.85 | 0.94 | 0.92 | 0.91 | 0.80 | 0.76 | −0.64 | 0.78 |
| Pro | *** | *** | *** | NS | * | ** | 1 | 1 | 0.97 | 0.93 | 0.96 | 0.74 | 0.78 | −0.46 | 0.89 |
| SOD | *** | *** | ** | NS | * | ** | *** | 1 | 0.97 | 0.92 | 0.95 | 0.73 | 0.76 | −0.47 | −0.88 |
| POD | *** | *** | ** | * | ** | *** | *** | *** | 1 | 0.96 | 0.95 | 0.83 | 0.82 | −0.02 | −0.92 |
| CAT | ** | *** | *** | * | *** | ** | *** | *** | *** | 1 | 0.93 | 0.87 | 0.88 | −0.59 | 0.87 |
| TFA | *** | ** | *** | NS | * | ** | *** | *** | *** | *** | 1 | 0.69 | 0.75 | 0.26 | 0.80 |
| * | ** | * | *** | *** | * | * | * | * | ** | * | 1 | 0.95 | −0.81 | 0.90 | |
| * | ** | * | * | ** | * | * | * | * | ** | * | ** | 1 | −0.58 | 0.90 | |
| NS | * | NS | * | * | * | NS | NS | NS | ** | NS | * | NS | 1 | −0.65 | |
| RWC | * | ** | * | ** | *** | * | ** | ** | ** | ** | * | ** | ** | * | 1 |
Publisher’s Note: MDPI stays neutral with regard to jurisdictional claims in published maps and institutional affiliations. |
© 2021 by the authors. Licensee MDPI, Basel, Switzerland. This article is an open access article distributed under the terms and conditions of the Creative Commons Attribution (CC BY) license (https://creativecommons.org/licenses/by/4.0/).
Share and Cite
Hussain, R.; Ayyub, C.M.; Shaheen, M.R.; Rashid, S.; Nafees, M.; Ali, S.; Butt, M.; Ali, M.; Maqsood, A.; Fiaz, S.; et al. Regulation of Osmotic Balance and Increased Antioxidant Activities under Heat Stress in Abelmoschus esculentus L. Triggered by Exogenous Proline Application. Agronomy 2021, 11, 685. https://doi.org/10.3390/agronomy11040685
Hussain R, Ayyub CM, Shaheen MR, Rashid S, Nafees M, Ali S, Butt M, Ali M, Maqsood A, Fiaz S, et al. Regulation of Osmotic Balance and Increased Antioxidant Activities under Heat Stress in Abelmoschus esculentus L. Triggered by Exogenous Proline Application. Agronomy. 2021; 11(4):685. https://doi.org/10.3390/agronomy11040685
Chicago/Turabian StyleHussain, Rashid, Choudhary Muhammad Ayyub, Muhammad Rashid Shaheen, Sahar Rashid, Muhammad Nafees, Saif Ali, Madiha Butt, Mujahid Ali, Ambreen Maqsood, Sajid Fiaz, and et al. 2021. "Regulation of Osmotic Balance and Increased Antioxidant Activities under Heat Stress in Abelmoschus esculentus L. Triggered by Exogenous Proline Application" Agronomy 11, no. 4: 685. https://doi.org/10.3390/agronomy11040685
APA StyleHussain, R., Ayyub, C. M., Shaheen, M. R., Rashid, S., Nafees, M., Ali, S., Butt, M., Ali, M., Maqsood, A., Fiaz, S., Ahmar, S., Mahmood, T., & Mora-Poblete, F. (2021). Regulation of Osmotic Balance and Increased Antioxidant Activities under Heat Stress in Abelmoschus esculentus L. Triggered by Exogenous Proline Application. Agronomy, 11(4), 685. https://doi.org/10.3390/agronomy11040685

