Genotype-Dependent Tipburn Severity during Lettuce Hydroponic Culture Is Associated with Altered Nutrient Leaf Content
Abstract
1. Introduction
2. Materials and Methods
2.1. Plant Material and Growth Conditions
2.2. Image Analysis
2.3. Tipburn Evaluation
2.4. Growth Parameters and Nutrient Content Analysis
2.5. Statistical Analysis
3. Results
3.1. Quantitative Analysis of Root and Shoot Area during Hydroponic Growth
3.2. Variations in Root and Shoot Weights in the Studied Lettuce Cultivars
3.3. Tipburn Severity during Hydroponic Growth
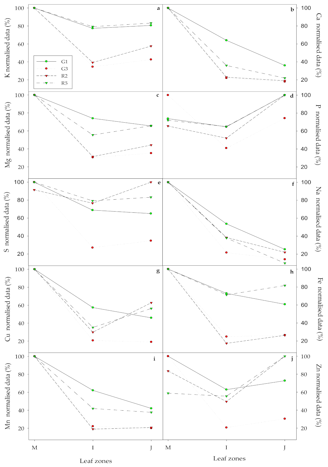
3.4. Leaf Nutrient Variation in the Spring Season in the Studied Lettuce Cultivars
4. Discussion
5. Conclusions
Supplementary Materials
Author Contributions
Funding
Institutional Review Board Statement
Informed Consent Statement
Data Availability Statement
Acknowledgments
Conflicts of Interest
References
- Hayes, R.J.; Simko, I. Breeding lettuce for improved fresh-cut processing. Acta Hortic. 2016, 65–76. [Google Scholar] [CrossRef]
- Patella, A.; Palumbo, F.; Galla, G.; Barcaccia, G. The Molecular Determination of Hybridity and Homozygosity Estimates in Breeding Populations of Lettuce (Lactuca sativa L.). Genes 2019, 10, 916. [Google Scholar] [CrossRef]
- Truco, M.J.; Antonise, R.; Lavelle, D.; Ochoa, O.; Kozik, A.; Witsenboer, H.; Fort, S.B.; Jeuken, M.J.W.; Kesseli, R.V.; Lindhout, P.; et al. A high-density, integrated genetic linkage map of lettuce (Lactuca spp.). Theor. Appl. Genet. 2007, 115, 735–746. [Google Scholar] [CrossRef]
- Truco, M.J.; Ashrafi, H.; Kozik, A.; van Leeuwen, H.; Bowers, J.; Wo, S.R.C.; Stoffel, K.; Xu, H.; Hill, T.; Van Deynze, A.; et al. An Ultra-High-Density, Transcript-Based, Genetic Map of Lettuce. G3 Genes Genomes Genet. 2013, 3, 617–631. [Google Scholar] [CrossRef]
- Rauscher, G.; Simko, I. Development of genomic SSR markers for fingerprinting lettuce (Lactuca sativa L.) cultivars and mapping genes. BMC Plant Biol. 2013, 13, 11. [Google Scholar] [CrossRef]
- Kerbiriou, P.J.; Maliepaard, C.A.; Stomph, T.J.; Koper, M.; Froissart, D.; Roobeek, I.; Lammerts Van Bueren, E.T.; Struik, P.C. Genetic Control of Water and Nitrate Capture and Their Use Efficiency in Lettuce (Lactuca sativa L.). Front. Plant Sci. 2016, 7, 343. [Google Scholar] [CrossRef]
- Yoong, F.-Y.; O’Brien, L.K.; Truco, M.J.; Huo, H.; Sideman, R.; Hayes, R.; Michelmore, R.W.; Bradford, K.J. Genetic Variation for Thermotolerance in Lettuce Seed Germination Is Associated with Temperature-Sensitive Regulation of ethylene response factor1 (ERF1). Plant Physiol. 2016, 170, 472–488. [Google Scholar] [CrossRef]
- Damerum, A.; Selmes, S.L.; Biggi, G.F.; Clarkson, G.J.; Rothwell, S.D.; Truco, M.J.; Michelmore, R.W.; Hancock, R.D.; Shellcock, C.; Chapman, M.A.; et al. Elucidating the genetic basis of antioxidant status in lettuce (Lactuca sativa). Hortic. Res. 2015, 2, 15055. [Google Scholar] [CrossRef]
- Simko, I.; Hayes, R.J.; Mou, B.; McCreight, J.D. Lettuce and Spinach. In CSSA Special Publications; Smith, S., Diers, B., Specht, J., Carver, B., Eds.; American Society of Agronomy and Soil Science Society of America: Madison, WI, USA, 2015; pp. 53–85. ISBN 978-0-89118-619-9. [Google Scholar] [CrossRef]
- Atkinson, L.D.; McHale, L.K.; Truco, M.J.; Hilton, H.W.; Lynn, J.; Schut, J.W.; Michelmore, R.W.; Hand, P.; Pink, D.A.C. An intra-specific linkage map of lettuce (Lactuca sativa) and genetic analysis of postharvest discolouration traits. Theor. Appl. Genet. 2013, 126, 2737–2752. [Google Scholar] [CrossRef]
- Food and Agriculture Organization of the United Nations. FAOSTAT Statistical Database; FAO: Rome, Italy, 2019; Available online: http://www.fao.org/faostat/es/#data/QC/metadata (accessed on 15 January 2021).
- Romero-Gámez, M.; Audsley, E.; Suárez-Rey, E.M. Life cycle assessment of cultivating lettuce and escarole in Spain. J. Clean. Prod. 2014, 73, 193–203. [Google Scholar] [CrossRef]
- Guaita-García, N.; Martínez-Fernández, J.; Barrera-Causil, C.J.; Esteve-Selma, M.Á.; Fitz, H.C. Local perceptions regarding a social–ecological system of the mediterranean coast: The Mar Menor (Región de Murcia, Spain). Environ. Dev. Sustain. 2020, 23, 2882–2909. [Google Scholar] [CrossRef]
- Coronel, G.; Chang, M.; Rodríguez-Delfín, A. Nitrate reductase activity and chlorophyll content in lettuce plants grown hydroponically and organically. Acta Hortic. 2009, 137–144. [Google Scholar] [CrossRef]
- Kotsiras, A.; Vlachodimitropoulou, A.; Gerakaris, A.; Bakas, N.; Darras, A.I. Innovative harvest practices of Butterhead, Lollo rosso and Batavia green lettuce (Lactuca sativa L.) types grown in floating hydroponic system to maintain the quality and improve storability. Sci. Hortic. 2016, 201, 1–9. [Google Scholar] [CrossRef]
- Petropoulos, S.A.; Chatzieustratiou, E.; Constantopoulou, E.; Kapotis, G. Yield and Quality of Lettuce and Rocket Grown in Floating Culture System. Not. Bot. Hortic. Agrobot. 2016, 44, 603–612. [Google Scholar] [CrossRef]
- Saure, M.C. Causes of the tipburn disorder in leaves of vegetables. Sci. Hortic. 1998, 76, 131–147. [Google Scholar] [CrossRef]
- Frantz, J.M.; Ritchie, G.; Cometti, N.N.; Robinson, J.; Bugbee, B. Exploring the Limits of Crop Productivity: Beyond the Limits of Tipburn in Lettuce. J. Am. Soc. Hortic. Sci. 2004, 129, 331–338. [Google Scholar] [CrossRef]
- Jenni, S.; Hayes, R.J. Genetic variation, genotype × environment interaction, and selection for tipburn resistance in lettuce in multi-environments. Euphytica 2010, 171, 427–439. [Google Scholar] [CrossRef]
- Lee, J.G.; Choi, C.S.; Jang, Y.A.; Jang, S.W.; Lee, S.G.; Um, Y.C. Effects of air temperature and air flow rate control on the tipburn occurrence of leaf lettuce in a closed-type plant factory system. Hortic. Environ. Biotechnol. 2013, 54, 303–310. [Google Scholar] [CrossRef]
- Sago, Y. Effects of Light Intensity and Growth Rate on Tipburn Development and Leaf Calcium Concentration in Butterhead Lettuce. HortScience 2016, 51, 1087–1091. [Google Scholar] [CrossRef]
- Jenni, S.; Yan, W. Genotype by environment interactions of heat stress disorder resistance in crisphead lettuce. Plant Breed. 2009, 128, 374–380. [Google Scholar] [CrossRef]
- Ryder, E.J.; Waycott, W. Crisphead lettuce resistant to tipburn: Cultivar tiber and eight breeding lines. HortScience 1998, 33, 903–904. [Google Scholar] [CrossRef]
- Koyama, R.; Sanada, M.; Itoh, H.; Kanechi, M.; Inagaki, N.; Uno, Y. In vitro evaluation of tipburn resistance in lettuce (Lactuca sativa. L). Plant Cell Tissue Organ. Cult. 2012, 108, 221–227. [Google Scholar] [CrossRef]
- Jenni, S.; Truco, M.J.; Michelmore, R.W. Quantitative trait loci associated with tipburn, heat stress-induced physiological disorders, and maturity traits in crisphead lettuce. Theor. Appl. Genet. 2013, 126, 3065–3079. [Google Scholar] [CrossRef]
- Macias-González, M.; Truco, M.J.; Bertier, L.D.; Jenni, S.; Simko, I.; Hayes, R.J.; Michelmore, R.W. Genetic architecture of tipburn resistance in lettuce. Theor. Appl. Genet. 2019, 132, 2209–2222. [Google Scholar] [CrossRef]
- Carassay, L.R.; Bustos, D.A.; Golberg, A.D.; Taleisnik, E. Tipburn in salt-affected lettuce (Lactuca sativa L.) plants results from local oxidative stress. J. Plant Physiol. 2012, 169, 285–293. [Google Scholar] [CrossRef]
- Holmes, S.C.; Wells, D.E.; Pickens, J.M.; Kemble, J.M. Selection of Heat Tolerant Lettuce (Lactuca sativa L.) Cultivars Grown in Deep Water Culture and Their Marketability. Horticulturae 2019, 5, 50. [Google Scholar] [CrossRef]
- Incrocci, L.; Moolhuyzen, M.; Guzmán, M. Nutrient Solution Calculator ES; IFAPA: Almería, Spain, 2020. [Google Scholar] [CrossRef]
- Berry, W.L.; Knight, S. Plant Culture in Hydroponics; Iowa State University: Ames, IA, USA, 1997; pp. 119–131. [Google Scholar]
- Galkovskyi, T.; Mileyko, Y.; Bucksch, A.; Moore, B.; Symonova, O.; Price, C.A.; Topp, C.N.; IyerPascuzzi, A.S.; Zurek, P.R.; Fang, S.; et al. GiA Roots: Software for the high throughput analysis of plant root system architecture. BMC Plant Biol. 2012, 12, 116. [Google Scholar] [CrossRef]
- Birlanga, V.; Villanova, J.; Cano, A.; Cano, E.A.; Acosta, M. Quantitative Analysis of Adventitious Root Growth Phenotypes in Carnation Stem Cuttings. PLoS ONE 2015, 10, e0133123. [Google Scholar] [CrossRef]
- Schneider, C.A.; Rasband, W.S.; Eliceiri, K.W. NIH Image to ImageJ: 25 years of image analysis. Nat. Methods 2012, 9, 671–675. [Google Scholar] [CrossRef] [PubMed]
- Acosta-Motos, J.R.; Hernández, J.A.; Álvarez, S.; BarbaEspín, G.; SánchezBlanco, M.J. The long term resistance mechanisms, critical irrigation threshold and relief capacity shown by Eugenia myrtifolia plants in response to saline reclaimed water. Plant Physiol. Biochem. 2017, 111, 244–256. [Google Scholar] [CrossRef] [PubMed]
- Massey, F. The Kolmogorov Smirnov test for goodness of fit. J. Am. Stat. Assoc. 1951, 46, 253. [Google Scholar] [CrossRef]
- Fisher, R. The correlation between relatives on the supposition of Mendelian inheritance. Trans. R. Soc. Edinb. 1918, 52, 399–433. [Google Scholar] [CrossRef]
- The R Project for Statistical Computing. Available online: https://www.r-project.org/ (accessed on 2 February 2021).
- Baselice, A.; Colantuoni, F.; Lass, D.A.; Nardone, G.; Stasi, A. Trends in EU consumers’ attitude towards fresh-cut fruit and vegetables. Food Qual. Prefer. 2017, 59, 87–96. [Google Scholar] [CrossRef]
- Gomiero, T. Soil Degradation, Land Scarcity and Food Security: Reviewing a Complex Challenge. Sustainability 2016, 8, 281. [Google Scholar] [CrossRef]
- Hosseinzadeh, S.; Bonarrigo, G.; Verheust, Y.; Roccaro, P.; Van Hulle, S. Water reuse in closed hydroponic systems: Comparison of GAC adsorption, ion exchange and ozonation processes to treat recycled nutrient solution. Aquac. Eng. 2017, 78, 190–195. [Google Scholar] [CrossRef]
- Lynch, J.P.; Chimungu, J.G.; Brown, K.M. Root anatomical phenes associated with water acquisition from drying soil: Targets for crop improvement. J. Exp. Bot. 2014, 65, 6155–6166. [Google Scholar] [CrossRef] [PubMed]
- Acosta-Motos, J.R.; Rothwell, S.A.; Massam, M.J.; Albacete, A.; Zhang, H.; Dodd, I.C. Alternate wetting and drying irrigation increases water and phosphorus use efficiency independent of substrate phosphorus status of vegetative rice plants. Plant Physiol. Biochem. 2020, 155, 914–926. [Google Scholar] [CrossRef] [PubMed]
- Simko, I. Development of EST-SSR Markers for the Study of Population Structure in Lettuce (Lactuca sativa L.). J. Hered. 2009, 100, 256–262. [Google Scholar] [CrossRef] [PubMed]
- Xu, C.; Mou, B. Evaluation of Lettuce Genotypes for Salinity Tolerance. HortScience 2015, 50, 1441–1446. [Google Scholar] [CrossRef]
- Barta, D.J.; Tibbitts, T.W. Calcium Localization and Tipburn Development in Lettuce Leaves during Early Enlargement. J. Am. Soc. Hortic. Sci. 2000, 125, 294–298. [Google Scholar] [CrossRef] [PubMed]
- Wissemeier, A.H.; Zühlke, G. Relation between climatic variables, growth and the incidence of tipburn in field-grown lettuce as evaluated by simple, partial and multiple regression analysis. Sci. Hortic. 2002, 93, 193–204. [Google Scholar] [CrossRef]
- Gilliham, M.; Dayod, M.; Hocking, B.J.; Xu, B.; Conn, S.J.; Kaiser, B.N.; Leigh, R.A.; Tyerman, S.D. Calcium delivery and storage in plant leaves: Exploring the link with water flow. J. Exp. Bot. 2011, 62, 2233–2250. [Google Scholar] [CrossRef]
- Assimakopoulou, A.; Kotsiras, A.; Nifakos, K. Incidence of lettuce tipburn as related to hydroponic system and cultivaR. J. Plant Nutr. 2013, 36, 1383–1400. [Google Scholar] [CrossRef]
- Almeida, D.M.; Oliveira, M.M.; Saibo, N.J.M. Regulation of Na+ and K+ homeostasis in plants: Towards improved salt stress tolerance in crop plants. Genet. Mol. Biol. 2017, 40, 326–345. [Google Scholar] [CrossRef]
- Péret, B.; Desnos, T.; Jost, R.; Kanno, S.; Berkowitz, O.; Nussaume, L. Root Architecture Responses: In Search of Phosphate. Plant Physiol. 2014, 166, 1713–1723. [Google Scholar] [CrossRef]
- Mou, B. Genetic Variation of Beta-carotene and Lutein Contents in Lettuce. J. Am. Soc. Hortic. Sci. 2005, 130, 870–876. [Google Scholar] [CrossRef]
- Ashkar, S.A.; Ries, S.K. Lettuce tipburn as related to nutrient imbalance and nitrogen composition. J. Am. Soc. Hortic. Sci. 1971, 96, 448–452. [Google Scholar]
- Nezami-Alanagh, E.; Garoosi, G.-A.; Landín, M.; Gallego, P.P. Computer-based tools provide new insight into the key factors that cause physiological disorders of pistachio rootstocks cultured in vitro. Sci. Rep. 2019, 9, 9740. [Google Scholar] [CrossRef] [PubMed]







| Cultivar | Genotype | Description | Tipburn Phenotype [18] |
|---|---|---|---|
| CHD | C1 | Collected in Summer, crispy leaves | Light |
| CHD | C3 | Collected in late Fall, dark green leaves and ovate leaves, big size head | Severe |
| CHD | C7 | Collected in Winter, dark green leaves and ovate leaves, big size head | Medium |
| CHD | C8 | Collected in late Fall, medium-size head | Medium |
| GOAK | G1 | Collected in Fall, indoor production Voluminous and compact lettuce, strong against bolting | Light |
| GOAK | G3 | Collected in Winter and Spring, indoor and outdoor production. Round shape, dense filling, high weight, strong against bolting | Severe |
| GOAK | G5 | Collected in Spring and Fall, upright and compact leaves, slow bolting | Light |
| GOAK | G6 | Collected in Spring and Summer, indoor production, dark green color, strong against bolting | Medium |
| ROAK | R2 | Collected in Fall and Winter, slight red, small and bit cylindrical heads | Severe |
| ROAK | R3 | Collected in Fall and Spring, dark green color, medium volume | Medium |
| ROAK | R4 | Collected in Fall, good vigor and volume | Light |
| ROAK | R5 | Collected in Fall and Spring, good vigor and volume, strong against bolting | Light |
| CHD | GOAK | ROAK | ||||||||||||||||
|---|---|---|---|---|---|---|---|---|---|---|---|---|---|---|---|---|---|---|
| Leaf Type | K | Ca | P | S | Mg | Na | K | Ca | P | S | Mg | Na | K | Ca | P | S | Mg | Na |
| Mature | 1349.00 a | 340.68 b | 92.26 a | 101.45 b | 65.91 a | 38.02 b | 3290.63 b | 794.50 b | 228.85 a | 309.97 b | 185.36 b | 109.80 b | 3204.74 b | 608.37 b | 272.64 a | 179.97 ab | 184.19 b | 115.74 c |
| 67.52% | 17.05% | 4.62% | 5.08% | 3.30% | 1.90% | 66.49% | 16.05% | 4.62% | 6.26% | 3.75% | 2.22% | 69.85% | 13.26% | 5.94% | 3.92% | 4.01% | 2.52% | |
| Intermediate | 1400.84 a | 201.41 a | 137.12 b | 92.88 a | 56.78 a | 30.11 ab | 2228.40 a | 316.88 a | 208.25 a | 177.64 a | 105.75 a | 41.41 a | 2328.67 a | 243.09 a | 283.54 b | 139.78 a | 95.44 a | 64.21 b |
| 72.72% | 10.46% | 7.12% | 4.82% | 2.95% | 1.56% | 72.06% | 10.25% | 6.73% | 5.74% | 3.42% | 1.34% | 73.58% | 7.68% | 8.96% | 4.42% | 3.02% | 2.03% | |
| Juvenile | 1657.43 a | 155.36 a | 218.00 c | 121.04 b | 64.44 a | 22.90 a | 2415.40 ab | 227.05 a | 326.71 b | 199.86 a | 111.22 a | 28.52 a | 2424.82 a | 141.51 a | 440.74 b | 192.42 b | 104.57 a | 23.21 a |
| 73.72% | 6.91% | 9.70% | 5.38% | 2.87% | 1.02% | 72.69% | 6.83% | 9.83% | 6.01% | 3.35% | 0.86% | 72.62% | 4.24% | 13.20% | 5.76% | 3.13% | 0.69% | |
| p-value | 0.1711 | 0.0001 | 0.0000 | 0.1196 | 0.4857 | 0.0211 | 0.0609 | 0.0001 | 0.0159 | 0.0164 | 0.0133 | 0.0001 | 0.0373 | 0.0000 | 0.0012 | 0.0332 | 0.0000 | 0.0000 |
| M/J ratio | 0.81 | 2.19 | 0.42 | 0.84 | 1.02 | 1.66 | 1.36 | 3.50 | 0.70 | 1.55 | 1.67 | 3.85 | 1.32 | 4.30 | 0.62 | 1.02 | 1.76 | 4.99 |
| CHD | GOAK | ROAK | ||||||||||
|---|---|---|---|---|---|---|---|---|---|---|---|---|
| Leaf Type | Fe | Mn | Zn | Cu | Fe | Mn | Zn | Cu | Fe | Mn | Zn | Cu |
| Mature | 4.92 a | 3.90 b | 1.67 ab | 0.23 b | 16.72 b | 8.89 b | 3.35 b | 0.61 b | 13.57 b | 6.75 b | 1.54 a | 0.37 b |
| 0.25% | 0.20% | 0.08% | 0.01% | 0.34% | 0.18% | 0.07% | 0.01% | 0.30% | 0.15% | 0.03% | 0.01% | |
| Intermediate | 4.12 a | 1.99 a | 1.17 a | 0.13 a | 8.37 a | 3.61 a | 1.67 a | 0.28 a | 6.01 a | 2.45 a | 1.28 a | 0.12 a |
| 0.21% | 0.10% | 0.06% | 0.01% | 0.27% | 0.12% | 0.05% | 0.01% | 0.19% | 0.08% | 0.04% | 0.00% | |
| Juvenile | 5.23 a | 1.85 a | 1.93 b | 0.21 b | 8.58 a | 3.00 a | 2.35 ab | 0.30 a | 6.92 a | 2.04 a | 2.50 b | 0.19 a |
| 0.23% | 0.08% | 0.09% | 0.01% | 0.26% | 0.12% | 0.09% | 0.01% | 0.21% | 0.06% | 0.07% | 0.01% | |
| p-value | 0.4398 | 0.0015 | 0.0505 | 0.0029 | 0.0096 | 0.0001 | 0.0431 | 0.0066 | 0.0002 | 0.0000 | 0.0006 | 0.0000 |
| M/J ratio | 0.94 | 2.11 | 0.87 | 1.09 | 1.95 | 2.96 | 1.43 | 2.03 | 1.96 | 3.31 | 0.62 | 1.95 |
| C1 | 7670.09 ± 634.81 b | G1 | 10,310.58 ± 338.97 a | R2 | 10,446.25 ± 804.42 a |
| C3 | 5222.15 ± 182.30 a | G3 | 15,708.86 ± 1099.30 b | R3 | 10,015.28 ± 1445.66 a |
| C7 | 6833.17 ± 294.16 b | G5 | 10,011.790 ± 990.28 a | R4 | 13,405.84 ± 1389.01 a |
| C8 | 4966.47 ± 392.13 a | G6 | 9424.43 ± 1482.28 a | R5 | 9924.48 ± 661.77 a |
| p-value | 0.0004 | 0.0004 | 0.0650 | ||
| Average | 6172.97 ± 381.09 a | 11,363.91 ± 886.52 b | 11,091.40 ± 691.06 b |
| CHD | K | Ca | P | S | Mg | Na | GOAK | K | Ca | P | S | Mg | Na | ROAK | K | Ca | P | S | Mg | Na |
|---|---|---|---|---|---|---|---|---|---|---|---|---|---|---|---|---|---|---|---|---|
| C1 | 5493.20 b | 918.54 b | 468.06 b | 390.30 b | 237.80 b | 128.51 c | G1 | 7171.16 a | 1310.47 a | 655.84 b | 614.46 a | 339.65 a | 170.41 b | R2 | 7649.10 a | 917.81 ab | 726.56 a | 559.32 b | 396.68 a | 145.85 a |
| 71.62% | 11.98% | 6.10% | 5.09% | 3.10% | 1.68% | 69.55% | 13.05% | 6.53% | 6.12% | 3.38% | 1.70% | 73.22% | 8.79% | 6.96% | 5.35% | 3.80% | 1.40% | |||
| C3 | 3806.33 a | 542.29 a | 361.88 a | 268.90 a | 151.76 a | 69.21 ab | G3 | 10721.92 b | 2184.11 b | 886.81 b | 944.94 b | 598.40 b | 287.79 b | R3 | 7129.90 a | 990.55 ab | 883.95 b | 400.07 a | 377.61 a | 190.05 ab |
| 72.89% | 10.38% | 6.93% | 5.15% | 2.91% | 1.33% | 68.25% | 13.90% | 5.65% | 6.01% | 3.81% | 1.83% | 71.19% | 9.89% | 8.83% | 3.99% | 3.77% | 1.90% | |||
| C7 | 4849.21 b | 755.94 b | 549.96 b | 355.06 b | 193.96 b | 99.52 bc | G5 | 7094.33 a | 902.42 a | 858.71 b | 628.49 a | 339.99 a | 140.02 a | R4 | 9485.96 a | 1253.07b | 1267.85 c | 622.57 b | 441.41 a | 289.24 b |
| 70.97% | 11.06% | 8.05% | 5.20% | 2.84% | 1.46% | 70.86% | 9.01% | 8.58% | 6.28% | 3.40% | 1.40% | 70.76% | 9.35% | 9.46% | 4.64% | 3.29% | 2.16% | |||
| C8 | 3480.33 a | 573.01 a | 409.62 a | 247.21 a | 165.00 a | 66.90 a | G6 | 6750.30 a | 956.47 a | 653.87 b | 561.99 a | 331.25 a | 120.72 a | R5 | 7188.79 a | 784.60 a | 981.54 b | 445.11 a | 323.07 a | 164.03 a |
| 70.08% | 11.54% | 8.25% | 4.98% | 3.32% | 1.35% | 71.63% | 10.15% | 6.94% | 5.96% | 3.51% | 1.28% | 72.43% | 7.91% | 9.89% | 4.48% | 3.26% | 1.65% | |||
| Total | 4407.27 | 697.45 | 447.38 | 315.37 | 187.13 | 91.03 | Total | 7934.43 | 1338.42 | 763.81 | 687.47 | 402.32 | 179.73 | Total | 7958.22 | 992.97 | 996.92 | 512.18 | 384.20 | 203.16 |
| p-value | 0.0003 | 0.0047 | 0.0251 | 0.0026 | 0.007 | 0.0024 | p-value | 0.0012 | 0.0002 | 0.2007 | 0.0009 | 0.0001 | 0.0002 | p-value | 0.1335 | 0.0879 | 0.0021 | 0.004 | 0.1973 | 0.0152 |
| CHD | Fe | Mn | Zn | Cu | GOAK | Fe | Mn | Zn | Cu | ROAK | Fe | Mn | Zn | Cu |
|---|---|---|---|---|---|---|---|---|---|---|---|---|---|---|
| C1 | 15.43 a | 11.34 b | 6.15 b | 0.75 b | G1 | 28.40 a | 13.17 a | 6.09 a | 0.92 a | R2 | 31.74 a | 14.83 b | 3.83 a | 0.53 a |
| 0.20% | 0.15% | 0.08% | 0.01% | 0.28% | 0.13% | 0.06% | 0.01% | 0.30% | 0.14% | 0.04% | 0.01% | |||
| C3 | 11.73 a | 5.54 a | 4.01 a | 0.50 a | G3 | 49.52 b | 23.19 b | 10.37 b | 1.59 b | R3 | 25.85 a | 11.85 ab | 4.81 a | 0.64 a |
| 0.22% | 0.10% | 0.08% | 0.01% | 0.32% | 0.15% | 0.07% | 0.01% | 0.26% | 0.12% | 0.05% | 0.01% | |||
| C7 | 17.34 a | 7.34 a | 4.32 a | 0.52 a | G5 | 27.97 a | 12.07 a | 6.67 a | 1.12 ab | R4 | 27.05 a | 11.47 ab | 6.44 a | 0.79 a |
| 0.25% | 0.11% | 0.06% | 0.01% | 0.28% | 0.12% | 0.07% | 0.01% | 0.20% | 0.09% | 0.05% | 0.01% | |||
| C8 | 12.57 a | 6.72 a | 4.59 a | 0.50 a | G6 | 28.80 a | 13.61 a | 6.31 a | 1.12 ab | R5 | 22.87 a | 8.24 a | 5.53 a | 0.69 a |
| 0.25% | 0.14% | 0.09% | 0.01% | 0.31% | 0.14% | 0.07% | 0.01% | 0.23% | 0.08% | 0.06% | 0.01% | |||
| Total | 14.27 | 7.74 | 4.77 | 0.57 | Total | 33.67 | 15.51 | 7.36 | 1.19 | Total | 26.50 | 11.25 | 5.32 | 0.68 |
| p-value | 0.051 | 0.0025 | 0.0235 | 0.0147 | p-value | 0.0016 | 0.0003 | 0.0026 | 0.0214 | p-value | 0.3675 | 0.1888 | 0.1744 | 0.2709 |
Publisher’s Note: MDPI stays neutral with regard to jurisdictional claims in published maps and institutional affiliations. |
© 2021 by the authors. Licensee MDPI, Basel, Switzerland. This article is an open access article distributed under the terms and conditions of the Creative Commons Attribution (CC BY) license (http://creativecommons.org/licenses/by/4.0/).
Share and Cite
Birlanga, V.; Acosta-Motos, J.R.; Pérez-Pérez, J.M. Genotype-Dependent Tipburn Severity during Lettuce Hydroponic Culture Is Associated with Altered Nutrient Leaf Content. Agronomy 2021, 11, 616. https://doi.org/10.3390/agronomy11040616
Birlanga V, Acosta-Motos JR, Pérez-Pérez JM. Genotype-Dependent Tipburn Severity during Lettuce Hydroponic Culture Is Associated with Altered Nutrient Leaf Content. Agronomy. 2021; 11(4):616. https://doi.org/10.3390/agronomy11040616
Chicago/Turabian StyleBirlanga, Virginia, José Ramón Acosta-Motos, and José Manuel Pérez-Pérez. 2021. "Genotype-Dependent Tipburn Severity during Lettuce Hydroponic Culture Is Associated with Altered Nutrient Leaf Content" Agronomy 11, no. 4: 616. https://doi.org/10.3390/agronomy11040616
APA StyleBirlanga, V., Acosta-Motos, J. R., & Pérez-Pérez, J. M. (2021). Genotype-Dependent Tipburn Severity during Lettuce Hydroponic Culture Is Associated with Altered Nutrient Leaf Content. Agronomy, 11(4), 616. https://doi.org/10.3390/agronomy11040616

