Next Article in Journal
Investigating Combined Drought- and Heat Stress Effects in Wheat under Controlled Conditions by Dynamic Image-Based Phenotyping
Previous Article in Journal
Chemical Composition, Antioxidant, and Antibacterial Activities of Essential Oil of Atriplex semibaccata R.Br. Aerial Parts: First Assessment against Multidrug-Resistant Bacteria
 
 
Font Type:
Arial Georgia Verdana
Font Size:
Aa Aa Aa
Line Spacing:
Column Width:
Background:
Article

Effects of Node Position and Electric Conductivity of Nutrient Solution on Adventitious Rooting of Nasturtium (Tropaeolum majus L.) Cuttings

1
Graduate School of Horticulture, Chiba University, 648 Matsudo, Chiba 271-8510, Japan
2
Center for Environment, Health and Field Sciences, Chiba University, 6-2-1 Kashiwanoha, Kashiwa, Chiba 277-0882, Japan
*
Author to whom correspondence should be addressed.
Agronomy 2021, 11(2), 363; https://doi.org/10.3390/agronomy11020363
Submission received: 5 January 2021 / Revised: 9 February 2021 / Accepted: 14 February 2021 / Published: 17 February 2021
(This article belongs to the Section Horticultural and Floricultural Crops)

Abstract

Nasturtium is a popular herbal plant, widely cultivated as culinary and medicinal plants all over the world. However, the seed propagation of nasturtium is inefficient, and in-vitro propagation is sophisticated and high-cost. In this study, the cutting propagation method was employed to produce nasturtium seedlings. We aimed to determine the optimal conditions for cutting propagation of nasturtium seedlings by investigating the effects of node position and electric conductivity (EC) of nutrient solution on the root formation of the cuttings. Cuttings from five node positions (apical bud, 2nd node, 3rd node, 4th node, and 5th node) were subjected to water and five EC (1.0, 2.0, 3.0, 4.0, and 5.0 dS m−1) treatments with a hydroponic cultivation system in a plant factory. Results showed that all cuttings rooted successfully within two weeks. The cuttings from the apical bud position rooted earliest and produced the most roots regardless of EC level. Cuttings from other node positions produced longer roots and heavier root fresh and dry weights than those from the apical bud position. The cuttings under EC of 1.0 dS m−1 had the greatest root number, the longest root length, and the heaviest root fresh and dry weights regardless of node positions. The EC of 1.0 dS m−1 is considered the best condition for nasturtium cuttings for the range of EC tested in this study, and the cuttings from all the five node positions can be used as seedling materials.

1. Introduction

Nasturtium (Tropaeolum majus L.) belongs to the Tropaeolaceae family which originally came from South America. It is cultivated as landscaping, culinary, and medicinal plants worldwide. Its flowers are trumpet-shaped with yellow, orange, or red color, and its leaves are green and round. Given its light spicy flavor, the flowers and leaves of nasturtium are used for salads and sandwiches, and its seeds are used as seasonings. The nasturtium plant contains high levels of bioactive compounds, such as flavanoids, glucosinolates, anthocyanin, and fatty acids, especially in flowers. Therefore, nasturtium has wide therapeutic effects, such as anti-cancer, anti-tumor, anti-cardiovascular disease, anti-inflammation, anti-virus, anti-oxidation, anti-mutation, anti-allergy, and anti-radiation [1,2]. These virtues have increased the demand for nasturtium flowers and leaves rapidly, which enhances the need to increase nasturtium production to meet the demand. However, the present cultivation technology to grow nasturtium does not allow its mass production. Most of the current research focuses on how to preserve and efficiently extract the chemical compositions in seeds, leaves, and flowers of nasturtium [3,4,5], and there have been few studies on how to produce nasturtium plants efficiently in a large quantity. The research to develop technology, which makes rapid and efficient nasturtium plant production possible, is an urgent need.
One of important aspects in designing such technology is to establish a rapid and efficient method of plant propagation. Broadly categorizing, seed propagation and vegetative propagation are two methods of plant propagation. Many researchers used the seed propagation method to obtain nasturtium plants as samples for experiments [6,7,8]. However, the germination of nasturtium seeds is a difficult and complicated process to manage. Nasturtium seeds need to be soaked in tap water for 24 h before sowing [9], and the time required for seeds to sprout is long (15–20 days) [2]. Moreover, it is hazardous to produce uniform seedlings of the same traits by means of seed propagation. Therefore, many researchers use in-vitro techniques to propagate nasturtium plants for research [10,11,12]. The cost of in-vitro propagation is high, and this technique is more sophisticated than seed propagation. Since nasturtium is an infinitely growing type of vine plant, the cutting propagation method could be better suited to the production of nasturtium seedlings than seed propagation. Compared with seed propagation, the time needed for the seedling stage of nasturtium may be reduced. Cutting propagation is certainly less costly and easier to operate than in-vitro propagation.
Whether cutting propagation is adopted to nasturtium critically depends on the rooting process. For any plant, the rooting process of cuttings is generally recognized to be divided into three phases: induction, initiation, and expression [13]. It is influenced by internal and external factors. Internally, the content of auxin and its distribution in different tissues play a key role in each step of rooting [14,15]. The concentration of auxin varies with parental parts of a plant and varies with different plants; the rooting of cuttings is, therefore, affected by parental parts and plant species. For example, Solikin [16], comparing different node positions (top, middle, and base) on the growth of stem cutting of Andrographis paniculate, showed that the plant growth of the stem cuttings from the top was significantly better than that of the cuttings from the base. However, a study on cannabis cuttings showed that the node position did not influence root quality [17]. Externally, root zone environments, such as root zone temperature [18,19,20], nutrient and water availability [21,22,23], and electrical conductivity (EC) of the nutrient solution [24,25,26], also have great influences on the growth and development of plant roots. The EC-based management of the nutrient solution is a common, easy, and important method that is widely used in hydroponic cultivations. It is reported that rooting process of Hibiscus rosa-sinensis [25] and Spathiphyllum [26] cuttings were significantly affected by different EC treatments. However, no study has been conducted yet on the effects of node positions and EC levels of nutrient solution on the rooting of nasturtium cuttings.
We hypothesize that the EC level of the nutrient solution, as an indicator of the ion concentration and water availability in the nutrient solution, would be essential for the rooting of nasturtium cuttings. The effects may vary with the node positions from where the cuttings were taken. The purpose of this study is to examine, for nasturtium cuttings grown in a plant factory with artificial lighting, how node position and electric conductivity of the nutrient solution affect the rooting of nasturtium cuttings, with a view to contributing to the development of technology that enables rapid and efficient nasturtium production. In a closed-system plant factory, the environmental conditions, such as the temperature and relative humidity of the atmosphere, the duration and intensity of lighting, the root zone temperature, water and nutrient availability, and EC level of solution, can all be fully controlled [27]. Our study would help to determine suitable conditions for fast, high-quality seedling propagation of nasturtium in a plant factory as well as to assess if the plant factory is a feasible means for nasturtium production.

2. Materials and Methods

2.1. Growth Conditions for Mother Plants

Mother plants of nasturtium (Garden Nasturtium, seed produced in Tanzania, SAKATA SEED CORPORATION, Kanagawa, Japan) were cultivated under 250 µmol m−2 s−1 light intensity with 14 h photoperiod using fluorescent lamps (FHF32 EX-N-H, Panasonic, Co., Ltd, Osaka, Japan). Light intensity was measured at a distance of 25 cm from the lamp by using a Li-250 quantum sensor (Li-Cor Inc., Lincoln, NE, USA) before placing the plants. Air temperature and relative humidity (RH) during light/dark conditions were at 23 °C ± 2 °C/22 °C ± 2 °C and 44% ± 11%/44% ± 9%, respectively. Six plants were grown in one hydroponic container (LWH: 65, 42, and 10 cm) filled with 20 L nutrient solution (N 21%, P2O5 8%, K2O 27%, MgO 4%, CaO 23%, Fe 0.18%, Cu 0.002%, Zn 0.006%, Mo 0.002%, MnO 0.1%, and B2O3 0.1%) (Otsuka hydroponic composition, OAT Agrio Co., Ltd., Tokyo, Japan). Air pumps were used to pump air into the nutrient solution. The nutrient solution was adjusted to EC at 2.0 dS m−1 and pH at 7.0.

2.2. Treatments

Cuttings were taken from 50-day-old mother plants (24 mother plants) and planted in a walk-in plant factory (LWH: 29.0, 2.0, and 2.3 m). Two factors, namely, node position and EC of the nutrient solution, were included in this experiment. For node position, the cuttings were taken from five node positions counted from the tip of the plant: apical bud (henceforth referred to as “bud” throughout this paper), 2nd node, 3rd node, 4th node, and 5th node. Each cutting contained one leaf and one axillary bud. The sizes of the cuttings from different node positions are shown in Figure 1. The stem length of all cuttings was maintained at 3.5 cm. For EC, water and nutrient solution with five different EC levels (1.0, 2.0, 3.0, 4.0, and 5.0 dS m−1) were used in this experiment (henceforth referred to as “EC treatment,” including the water treatment and denoted as water, EC1, EC2, EC3, EC4, and EC5). The five nutrient solutions were obtained by diluting 100-times-concentrated nutrient solution (Otsuka hydroponic composition, as enumerated above) with tap water. The pH values were at 7.2 ± 0.2 in water and 6.2 ± 0.2 in the nutrient solution. The pH and the EC levels were measured by using a multi-parameter meter (Eutech PCTestr 35 multi-parameter pocket tester; Eutech Instruments Pte Ltd., Singapore). The temperature of the solutions was kept at 20 ± 2 °C. In total, this experiment involved 5 × 6 = 30 treatments, the treatment of ‘bud–water’ being the control.
For each node position, 36 cuttings were prepared and equally distributed into six EC treatments. The cuttings were grown in containers (same with the mother plant) at a density of 125 cuttings per m2. One container grew 30 cuttings (6 cuttings each for 5 node-position treatments), and a total of six containers (for EC treatments, 20 L each) were used. The illumination was provided by LED lamps (Growth light; ZK-TB13-GE01/A, Sananbio, China; the light spectrum is shown in Supplementary Figure S1). Light period and light intensity were maintained at 16 h day−1 and 250 µmol m−2 s−1, respectively. Air temperature, RH, and carbon dioxide (CO2) concentration during cultivation were maintained at 20 ± 1 °C, 70 ± 5%, and 1000 ppm, respectively.

2.3. Measurement

2.3.1. Extraction and Analysis of Endogenous IAA

Endogenous concentrations of indole-3-acetic acid (IAA) in cuttings taken from five node positions of nasturtium mother plants were extracted and analyzed as described by Durgbanshi et al. [28] with slight modifications.
Fresh material was frozen in liquid nitrogen and ground to a fine powder, and 1 g was weighed. Before extraction, 100 µL of internal standard containing 0.1 μg of [2H5]-IAA was added. The tissue was immediately homogenized in 10 mL of distilled water. After centrifugation (15,000× g, 25 min, 4 °C), the pH of the supernatant was adjusted to 2.8–3.0 with 30% acetic acid and the supernatant partitioned twice against an equal volume of diethyl ether. Transfer the organic fraction to a 10 mL test tube and evaporate at 37 °C. The solid residue resuspended in 1.2 mL of a 100% methanol solution (HPLC grade), and the solution was filtered through a 0.45 µm cellulose acetate filter. A 5 µL aliquot of this solution was then directly injected into a liquid chromatograph mass spectrometer (LC-MS) system (Lcms-2010EV; Shimadzu, Kyoto, Japan) to identify the IAA.
LC-2010CHT system is the liquid chromatography system of LCMS-2010EV system. The aliquot (5 µL) was injected into an ODS-Mightysil RP-18GP Aqua (φ5 μm, 150 mm × 2 mm, Kanto Chemical Co., Inc., Tokyo, Japan). The temperature of autosampler was maintained at 4 °C. The column temperature was maintained at 40 °C. The mobile phase was a mixture of 80% methanol (HPLC grade) with 20 mM formic acid, at a flow rate of 0.3 mL/min. The nebulizer gas was at a flow rate of 1.5 L/min. Curved desolvation line (CDL) temperature and heat block temperature were at 250 °C and 200 °C, respectively. Voltage of detector was at 1.5 kV. The selected ion monitoring method (SIM) was selected as the analysis mode. Samples were analyzed in positive-ion mode. The concentrations of IAA were calculated from the ratio of the peak areas of endogenous IAA (176, in m/z) and internal standard (181, in m/z). All data were acquired using Labsolutions Ver.3 software (Shimadzu Corporation, Kyoto, Japan).

2.3.2. Measurement of Rooting Characteristics of Cuttings

Root number, the length of the longest root, and root fresh weight (FW) were determined 14 days after planting. Then, the shoot and root were placed in an 80 °C oven for 1 week to determine their dry weights (DW). Six sample plants were used to measure all parameters. Roots with a length longer than 2 mm were counted. The root zones were observed every day, and the rooting rates (%) were calculated as follows: rooting rate = (number of rooted plants/total number of plants) × 100.

2.4. Statistical Analysis

For each treatment, six sample plants were used to evaluate all parameters. The data were subjected to analysis of variance, and the means were compared between treatments using Tukey’s test, with the significance level of p = 0.05. These statistical analyses were performed using SPSS statistical software (IBM SPSS Statistics, Version 19.0. Armonk, NY, USA: IBM Corp.).

3. Results

The cuttings started rooting 7 days after planting in most of the treatments, and all of them rooted successfully by 13 days after planting (Figure 2). The fastest rooting occurred on the cuttings under treatment of water and EC1, reaching 100% rooting on day 9 regardless of node position. Under EC2 and EC3, the rooting reached 100% on day 10. However, the rooting progress of the cuttings became slow under higher EC levels so that the rooting rate reached 100% as late as days 11 and 13 for the cuttings under EC4 and EC5 treatments, respectively. The upper node positions (the bud, 2nd, and 3rd nodes) demonstrated faster rooting speed than the lower node positions (the 4th and 5th nodes), regardless of EC levels (Figure 3).
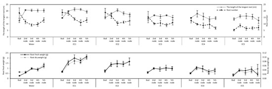
At 14 days after planting, the root number, root length, root fresh weight (FW), and root dry weights (DW) of nasturtium cuttings were significantly affected by EC levels and node positions, but no significant cross effect between these two factors was found for all these rooting characteristics (ANOVA presented in Supplementary Table S1). In terms of the means over the node-position treatments, the cuttings taken from EC1 treatment recorded the top figure for all the four rooting characteristics (Supplementary Table S1). Under EC1 conditions, the cuttings taken from any node position can be used as seedling materials (based on our visual observation; see panel C of Figure 4). Cuttings taken from the bud tended to develop more roots, and cuttings taken from lower node positions tended to have longer roots and heavier root FW and root DW, particularly for lower EC levels (Figure 5).
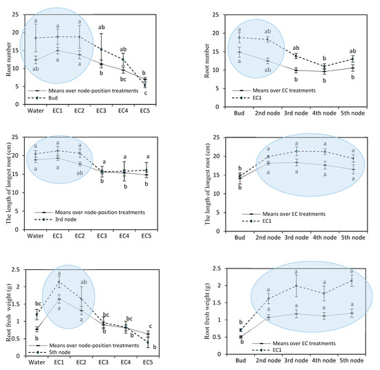
The results of multiple mean comparisons for three rooting characteristics are shown in Figure 6. Since root FW and root DW followed nearly the same trends (Figure 5), the charts for the latter were abbreviated. In the charts on the left-hand side of Figure 6, which is by the EC treatment, the solid line in each chart depicts the means over the node-position treatments (n = 30), and the dotted line depicts the node-position treatment that gives the best (maximum) mean (n = 6) for each rooting characteristic. Likewise, in the charts on the right-hand side, which is by the node-position treatment, the solid line depicts the means over the EC treatments (n = 36), and the dotted line depicts the EC treatment that gives the best mean for each rooting characteristic. For example, the node-position treatment that gives the maximum root number is the bud (Supplementary Table S1). For the EC treatment, EC1 gives the best result for all the three rooting characteristics (Supplementary Table S1).
The left-hand side charts of Figure 6 show that EC1, among the EC treatments, gave the best result in terms of the mean level for all the three rooting characteristics for the best node position as well as for the means over the node-position treatments. EC1 is particularly superior for root FW. However, the multiple mean comparisons indicate that even for the means along the solid lines, which are subject to relatively smaller standard errors, the mean difference between EC1 and EC2 was not statistically significant for the three rooting characteristics shown, and for root number and root length, the mean differences among EC1, EC2, and the water treatment were not significant. The multiple comparisons among node-position treatments in the right-hand side charts show no significant difference among all the node positions except for the bud position.
In all the six charts of Figure 6, the ‘best’ treatments, defined as the treatments marked by alphabetic letter ‘a’ or ‘ab’ for both the solid and dotted lines, are encircled by blue color. The three left-hand side charts suggest that for the EC treatment, the best EC level, which gives the best rooting characteristics, would be found in the neighborhood of EC1 in the range between ‘water’ and EC2 for all the rooting characteristics. The middle and the bottom right-hand side charts indicate that the cuttings taken from the bud position had significantly shorter root length and lighter root FW, respectively, compared to the cuttings taken from all other node positions, while the top right-hand side chart shows that the cuttings taken from the bud had significantly more roots than those taken from three lower node positions.
Data on the indole-3-acetic acid (IAA) concentration in cuttings showed that the concentration was highest in bud (30.0 ng g−1 FW), followed by 2nd node (23.2 ng g−1 FW), 3rd node (16.3 ng g−1 FW), 4th node (16.7 ng g−1 FW), and 5th node (14.6 ng g−1 FW) (Figure 7). No significant mean difference of IAA concentration was found between the bud and 2nd node and among 2nd, 3rd, 4th, and 5th nodes.

4. Discussion

This experiment conducted in a closed system plant factory explored the effects of EC and different node positions on the adventitious rooting of nasturtium cuttings. The root of the cuttings began to appear 7 days after planting, and the rooting rate of the cuttings under all treatments reached the rooting rate of 100% on day 13. This result demonstrated that cutting propagation is fast and easy. It could be an effective and better alternative plant propagation method compared with seed propagation. Cutting propagation is less expensive than in-vitro and seed propagations and easier to operate.
Since EC and different node positions have no significant cross-effect on the four rooting indexes (Supplementary Table S1), we separate these two factors for discussion.

4.1. Effects of EC on Rooting of Nasturtium Cuttings

In this research, all cuttings under different EC treatments successfully rooted within two weeks after planting. Even under EC5, the cuttings taken from different node positions of the mother plant also successfully rooted. At high EC levels, the cuttings often fail to grow because they cannot absorb sufficient water from the nutrient solution. This finding indicates that the nasturtium cuttings have strong drought tolerance. Therefore, even in areas with scarce freshwater resources (coastal areas), the cutting propagation method can be used to produce nasturtium.
The rooting characteristics of cuttings grown under water and different EC levels showed an increasing trend from water to EC1 and then a decreasing trend from EC1 to EC5 when the node positions were controlled (Figure 5 and the left-hand side charts of Figure 6). The gradually decreasing trend when the EC level increased from 2.0 to 5.0 dS m−1 indicates that the increase in the concentration of the nutrient solution has an inhibitory effect on the growth of cuttings. This trend is considered to result from the ability of plants to absorb water from the nutrient solution, which decreases as the EC level increases. High EC levels cause a certain degree of water stress (physiological drought) on plants [29]. Water stress is not conducive to the rooting of cuttings. A study has shown that the stem cuttings of Populus under moist soil form more roots than those under water-stressed soil [23]. Cuttings have no roots at first; they, therefore, rely mainly on water absorbed passively. The rate of water uptake by cuttings will be suppressed when the EC of the nutrient solution increases (high osmotic potential). Suppressed water absorption reduces leaf turgor and stomatal conductance, subsequently reducing carbon dioxide influx and thereby reducing the photosynthetic capacity of cuttings, and finally limiting the synthesis of carbohydrates [30]. Given that carbohydrates promote root initiation and development by providing energy and carbon chains for biosynthetic processes [31], the synthesis of carbohydrates in plants is also important for adventitious root development. The results of another research on Salix gracilistyla cuttings under different flooding and drought soil conditions also showed that the root and shoot biomass of Salix gracilistyla declined as the time of drought increased or flooding increased [32]. Therefore, water stress (for example, high EC levels, EC >1.0 dS m−1 in the current study) should be avoided during cutting propagation.
In this study, we found that the rooting of cuttings grown under water and EC1 occurred earlier than that of cuttings grown under higher EC levels. This finding indicates that higher EC (>2.0 dS m−1) inhibits the formation of adventitious roots of nasturtium cuttings. This condition may be related to the fact that high EC (water stress) often results in an increase in abscisic acid (ABA) synthesis. A negative correlation exists between ABA level and rooting rate in hardwood cuttings of grapevine rootstocks [33]. Plants plausibly activate various stress-associated genes via ABA signaling [34,35]. However, there appears a tendency that a lower EC level yields better propagation efficiency in the present study. The optimal EC level could be in the neighborhood of 1.0 dS m−1, though further studies are necessary to confirm this point.

4.2. Effects of Node Position on Adventitious Rooting of Nasturtium Cuttings

Auxin plays a central role in the development of adventitious root, especially during induction phase (the first step of adventitious root development), which requires a high auxin concentration [13]. Under the same EC levels, cuttings taken from the bud reached the rooting rate of 100% at the earliest time compared with the cuttings taken from other node positions (on day 9, Figure 3; also see Figure 2). Moreover, cuttings taken from the bud developed the highest root numbers (Figure 4, Figure 5 and Figure 6). This was probably because of the higher auxin concentration in the bud compared with other node positions (Figure 7). Similar results were obtained in the research by Ludwig-Müller and Cohen [36]. They identified endogenous concentrations of auxin (indole-3-acetic acid (IAA) and indole-3-butyric acid (IBA)) in different tissues of nasturtium cultivated in a greenhouse by full scan gas chromatography–mass spectrometry. Different tissues of nasturtium were sampled at 3 weeks after germination. The IAA concentration of young leaf was 55 ng g−1 FW, which was 3-fold higher than that in older leaf (15 ng g−1 FW). The IBA concentration of young leaf was 30 ng g−1 FW, higher than that in older leaf (22 ng g−1 FW). According to their results, it is clear that IAA and IBA concentrations in young leaves of nasturtium plants were higher than that in older leaves.
In the present study, no significant difference was found in the root number and the rooting rate among cuttings taken from 2nd through 5th nodes (Figure 3 and Figure 6), probably because the variation of the auxin allocation was not significant across the node positions from 2nd through 5th nodes (Figure 7).
Root FW and the length of cuttings taken from the bud were significantly lighter and shorter, respectively, than those from other node positions (Figure 6). For example, the shortest root length (12.6 cm) of the cuttings from the bud–water treatment was almost half the root length (21.3 cm) of cuttings for the 3rd node-EC1 treatment (Supplementary Table S1). This result may be attributed to the smaller leaf area of the bud (leaf diameter: 1.0 cm) compared with other node positions (Figure 1). The smaller leaf area would influence light interception from the lamps and result in lower photosynthetic capacity and carbohydrate yield under the same nutrient solution environment. Given that the main objective of nasturtium production in plant factories is to harvest the shoot part, including leaves and flowers, more photosynthetic products are expected to be distributed to the shoot parts rather than to the underground part. More experiments are needed to determine the capacity related to shoot growth and establishment of seedlings from different node positions. The performance of cuttings within the narrow EC range between 0.0 and 2.0 dS m−1 also needs to be explored.

5. Conclusions

We conclude that nasturtium is an easy-to-root species that can be successfully propagated from stem cuttings grown under a wide range of EC levels. The node positions and EC levels of the nutrient solution had significant effects on the rooting of nasturtium cuttings. In this study, the cuttings from all node positions rooted 100% within two weeks. Cuttings taken from the bud tended to develop more roots, and the rooting occurred earlier than that of the cuttings from other node positions. Almost all rooting characteristics reached the highest value, especially under EC of 1.0 dS m−1 treatment. Only a few exceptionally poor results were obtained, such as the fourth node for root number and the bud for root length and root FW and root DW. How these exceptions were caused and how EC in the narrow range of 0–2 dS m−1 resulted in better root formation performance compared with higher EC levels need to be clarified in future studies. The method of using cuttings to produce seedlings would reduce costs and shorten the nursery period compared with seed propagation. We can thus conclude that the cultivation of cuttings in a plant factory makes fast, high-quality seedling propagation of nasturtium possible. Given that the later growth of the seedlings propagated from cuttings is also important for nasturtium production in plant factories, the performances of shoot growth of the seedlings produced from different node positions need to be investigated in future research.

Supplementary Materials

The following are available online at https://www.mdpi.com/2073-4395/11/2/363/s1, Figure S1: Spectral distribution of LED lamp. Table S1: Root number per cutting, the length of the longest root, and root fresh and dry weights, by treatment, measured at 14 days after planting.

Author Contributions

W.X., N.L., and M.T. conceived and designed the experiments; W.X. performed the experiments; W.X., N.L., and M.K. analyzed the data and prepared figures and graphs; M.T. contributed reagents, materials, and analysis tools; W.X., N.L., and M.K. prepared the manuscript, and all the members contributed extensively to its finalization. All authors have read and agreed to the published version of the manuscript.

Funding

This research received no external funding.

Institutional Review Board Statement

Not applicable.

Informed Consent Statement

Not applicable.

Data Availability Statement

Data sharing not applicable.

Acknowledgments

The authors would like to thank Hitoshi Ohara and Liwei Wang (Chiba University) for their technical support on the measurement of IAA.

Conflicts of Interest

There are no conflicts of interest to declare.

References

  1. Brondani, C.; Cuelho, F.; Helena, C.; Marangoni, D.; Guex, G.; Bonilha, D.F.; Manfron, P. Traditional usages, botany, phytochemistry, biological activity and toxicology of Tropaeolum majus L.—A review. Bol. Latinoam. Caribe Plant. Med. Aromat. 2016, 15, 264–273. [Google Scholar]
  2. Jakubczyk, K.; Janda, K.; Watychowicz, K.; Łukasiak, J.; Wolska, J. Garden nasturtium (Tropaeolum majus L.)—A source of mineral elements and bioactive compounds. Rocz. Panstw. Zakl. Hig. 2018, 69, 119–126. [Google Scholar]
  3. Garzón, G.A.; Wrolstad, R.E. Major anthocyanins and antioxidant activity of Nasturtium flowers (Tropaeolum majus). Food Chem. 2009, 114, 44–49. [Google Scholar] [CrossRef]
  4. Schreiner, M.; Krumbein, A.; Mewis, I.; Ulrichs, C.; Huyskens-Keil, S. Short-term and moderate UV-B radiation effects on secondary plant metabolism in different organs of nasturtium (Tropaeolum majus L.). Innov. Food Sci. Emerg. Technol. 2009, 10, 93–96. [Google Scholar] [CrossRef]
  5. Chisholm, M.J.; Hopkins, C.Y. Fatty Acids of Filbert Oil and Nasturtium Seed Oil. Can. J. Chem. 1953, 31, 1131–1137. [Google Scholar] [CrossRef]
  6. Melo, E.F.R.; dos Santos, O.S. Growth and production of nasturtium flowers in three hydroponic solutions. Hortic. Bras. 2011, 29, 584–589. [Google Scholar] [CrossRef][Green Version]
  7. Pitzschke, A. Tropaeolum Tops Tobacco-Simple and Efficient Transgene Expression in the Order Brassicales. PLoS ONE 2013, 8, e73355. [Google Scholar] [CrossRef]
  8. Silva, T.P.; Finger, F.L. Ethylene and 1-methylcyclopropene action over senescence of nasturtium flowers. Hortic. Bras. 2015, 33, 453–458. [Google Scholar] [CrossRef][Green Version]
  9. Hensel, A.; Brummell, D.A.; Hanna, R.; Maclachlan, G. Auxin-dependent breakdown of xyloglucan in cotyledons of germinating nasturtium seeds. Planta 1991, 183, 321–326. [Google Scholar] [CrossRef]
  10. Kleinwächter, M.; Hutter, I.; Schneider, C.; Schnug, E.; Selmar, D. Experimental field cultivation of in vitro propagated high-yield varieties of Tropaeolum majus L. J. Appl. Bot. Food Qual. 2008, 82, 55–59. [Google Scholar]
  11. Kleinwächter, M.; Hutter, I.; Schneider, C.; Schnug, E.; Selmar, D. Development of an in vitro system to propagate glucosinolate rich nasturtium (Tropaelum majus L.) varieties for agricultural use. Z. Arznei Gewurzpflanz. 2010, 15, 69–75. [Google Scholar]
  12. Matallana, L.; Kleinwächter, M.; Selmar, D. Sulfur is limiting the glucosinolate accumulation in nasturtium in vitro plants (Tropaeolum majus L.). J. Appl. Bot. Food Qual. 2005, 80, 1–5. [Google Scholar]
  13. Kevers, C.; Hausman, J.F.; Faivre-Rampant, O.; Evers, D.; Gaspar, T. Hormonal control of adventitious rooting: Progress and questions. J. Appl. Bot. 1997, 71, 71–79. [Google Scholar]
  14. Caboni, E.; Tonelli, M.G.; Lauri, P.; Iacovacci, P.; Kevers, C.; Damiano, C.; Gaspar, T. Biochemical aspects of almond microcuttings related to in vitro rooting ability. Biol. Plant. 1997, 39, 91–97. [Google Scholar] [CrossRef]
  15. Xu, M.; Zhu, L.; Shou, H.; Wu, P. A PIN1 Family Gene, OsPIN1, involved in Auxin-dependent Adventitious Root Emergence and Tillering in Rice. Plant Cell Physiol. 2005, 46, 1674–1681. [Google Scholar] [CrossRef]
  16. Solikin, S. Effect of nodes position on the growth and yield of stem cutting of Sambiloto (Andrographis paniculata). Nusant. Biosci. 2018, 10, 226–231. [Google Scholar] [CrossRef]
  17. Caplan, D.; Stemeroff, J.; Dixon, M.; Zheng, Y. Vegetative propagation of cannabis by stem cuttings: Effects of leaf number, cutting position, rooting hormone, and leaf tip removal. Can. J. Plant Sci. 2018, 98, 1126–1132. [Google Scholar] [CrossRef]
  18. Shibuya, T.; Taniguchi, T.; Tsukuda, S.; Shiozaki, S.; Itagaki, K. Adventitious root formation of Japanese cedar (Cryptomeria japonica D. Don) cuttings is stimulated by soaking basal portion of cuttings in warmed water while cooling their apical portion. New For. 2014, 45, 589–602. [Google Scholar] [CrossRef]
  19. Nguyen, D.T.P.; Lu, N.; Kagawa, N.; Takagaki, M. Optimization of photosynthetic photon flux density and root-zone temperature for enhancing secondary metabolite accumulation and production of coriander in plant factory. Agronomy 2019, 9, 224. [Google Scholar] [CrossRef]
  20. Nguyen, D.T.P.; Lu, N.; Kagawa, N.; Kitayama, M.; Takagaki, M. Short-term root-zone temperature treatment enhanced the accumulation of secondary metabolites of hydroponic coriander (Coriandrum sativum L.) grown in a plant factory. Agronomy 2020, 10, 413. [Google Scholar] [CrossRef]
  21. López-Bucio, J.; Cruz-Ramírez, A.; Herrera-Estrella, L. The role of nutrient availability in regulating root architecture. Curr. Opin. Plant Biol. 2003, 6, 280–287. [Google Scholar] [CrossRef]
  22. Loach, K. Water relations and adventitious rooting. In Adventitious Root Formation in Cuttings; Davis, T.D., Haissing, B.E., Sankhla, N., Eds.; Dioscorides Press: Portland, OR, USA, 1988; pp. 102–116. [Google Scholar]
  23. Puri, S.; Thompson, F.B. Relationship of water to adventitious rooting in stem cuttings of Populus species. Agrofor. Syst. 2003, 58, 1–9. [Google Scholar] [CrossRef]
  24. Lu, N.; Bernardo, E.L.; Tippayadarapanich, C.; Takagaki, M.; Kagawa, N.; Yamori, W. Growth and accumulation of secondary metabolites in perilla as affected by photosynthetic photon flux density and electrical conductivity of the nutrient solution. Front. Plant Sci. 2017, 8, 1–12. [Google Scholar] [CrossRef]
  25. Bertram, L. Vegetative propagation of Hibiscus rosa-sinensis L. in relation to nutrient concentration of the propagation medium. Sci. Hortic. 1991, 48, 131–139. [Google Scholar] [CrossRef]
  26. Dewir, Y.H.; Chakrabarty, D.; Ali, M.B.; Hahn, E.J.; Paek, K.Y. Effects of hydroponic solution EC, substrates, PPF and nutrient scheduling on growth and photosynthetic competence during acclimatization of micropropagated Spathiphyllum plantlets. Plant Growth Regul. 2005, 46, 241–251. [Google Scholar] [CrossRef]
  27. Kozai, T.; Niu, G. Role of the plant factory with artificial lighting (PFAL) in urban areas. In Plant Factory—An Indoor Vertical Farming System for Efficient Quality Food Production; Kozai, T., Niu, G., Takagaki, M., Eds.; Academic Press: San Diego, CA, USA, 2016; pp. 7–33. [Google Scholar]
  28. Durgbanshi, A.; Arbona, V.; Pozo, O.; Miersch, O.; Sancho, J.V.; Gómez-Cadenas, A. Simultaneous determination of multiple phytohormones in plant extracts by liquid chromatography-electrospray tandem mass spectrometry. J. Agric. Food Chem. 2005, 53, 8437–8442. [Google Scholar] [CrossRef] [PubMed]
  29. Lisar, S.Y.S.; Motafakkerazad, R.; Hossain, M.M.; Rahman, I.M.M. Water Stress in Plants: Causes, Effects and Responses. In Water Stress; Rahman, I.M.M., Hasegawa, H., Eds.; Academic Press: Cambridge, MA, USA; InTech: London, UK, 2012; pp. 1–14. [Google Scholar]
  30. Chaves, M.M.; Flexas, J.; Pinheiro, C. Photosynthesis under drought and salt stress: Regulation mechanisms from whole plant to cell. Ann. Bot. 2008, 103, 551–560. [Google Scholar] [CrossRef]
  31. Geiss, G.; Gutierrez, L.; Bellini, C. Adventitious Root Formation: New Insights and Perspectives. Root Dev. 2009, 37, 127–156. [Google Scholar] [CrossRef]
  32. Nakai, A.; Yurugi, Y.; Kisanuki, H. Stress responses in Salix gracilistyla cuttings subjected to repetitive alternate flooding and drought. Trees Struct. Funct. 2010, 24, 1087–1095. [Google Scholar] [CrossRef]
  33. Kelen, M.; Ozkan, G. Relationships between rooting ability and changes of endogenous IAA and ABA during the rooting of hardwood cuttings of some grapevine rootstocks. Eur. J. Hortic. Sci. 2003, 68, 8–13. [Google Scholar]
  34. Bartels, D.; Sunkar, R. Drought and Salt Tolerance in Plants. Crit. Rev. Plant Sci. 2005, 24, 23–58. [Google Scholar] [CrossRef]
  35. Farooq, M.; Wahid, A.; Kobayashi, N.; Fujita, D.; Basra, S.M.A. Plant drought stress: Effects, mechanisms and management. Agron. Sustain. Dev. 2009, 29, 185–212. [Google Scholar] [CrossRef]
  36. Ludwig-Müller, J.; Cohen, J.D. Identification and quantification of three active auxins in different tissues of Tropaeolum majus. Physiol. Plant. 2002, 115, 320–329. [Google Scholar] [CrossRef]
Figure 1. The diameter of the leaf attached to the cuttings and the mean fresh weight (FW) of cuttings at different node positions (bud, 2nd node, 3rd node, 4th node, and 5th node from top to bottom) of nasturtium plant (n = 36).
Figure 1. The diameter of the leaf attached to the cuttings and the mean fresh weight (FW) of cuttings at different node positions (bud, 2nd node, 3rd node, 4th node, and 5th node from top to bottom) of nasturtium plant (n = 36).
Agronomy 11 00363 g001
Figure 2. The rooting rate of cuttings from 6 to 14 days after the start of treatment with different electric conductivity (EC) levels. EC1, EC2, EC3, EC4, and EC5 represents nutrient solution with the electric conductivity of 1.0, 2.0, 3.0, 4.0, and 5.0 dS m−1, respectively. Rooting rate (%) = (number of rooted plants/total number of plants) × 100. Plants with roots longer than 2 mm were considered as rooted.
Figure 2. The rooting rate of cuttings from 6 to 14 days after the start of treatment with different electric conductivity (EC) levels. EC1, EC2, EC3, EC4, and EC5 represents nutrient solution with the electric conductivity of 1.0, 2.0, 3.0, 4.0, and 5.0 dS m−1, respectively. Rooting rate (%) = (number of rooted plants/total number of plants) × 100. Plants with roots longer than 2 mm were considered as rooted.
Agronomy 11 00363 g002
Figure 3. Mean number of days required for rooting of cuttings taken from different node positions (the means over the EC treatments (n = 36), shown as mean ± SE). Different alphabetic letters indicate that the respective means are significantly different from each other at p < 0.05 by Tukey’s test.
Figure 3. Mean number of days required for rooting of cuttings taken from different node positions (the means over the EC treatments (n = 36), shown as mean ± SE). Different alphabetic letters indicate that the respective means are significantly different from each other at p < 0.05 by Tukey’s test.
Agronomy 11 00363 g003
Figure 4. (A): Morphological characters of cuttings taken from different node positions of mother plants before planting; from left to right, taken from bud, 2nd node, 3rd node, 4th node, and 5th node. (B): Morphological characters of cuttings taken 14 days after planting from the bud grown under different EC treatments; from left to right, water, EC1, EC2, EC3, EC4, and EC5. EC1, EC2, EC3, EC4, and EC5 represent nutrient solution with the electric conductivity of 1.0, 2.0, 3.0, 4.0, and 5.0 dS m−1, respectively. (C): Morphological characters of cuttings grown under EC1; from left to right, cuttings taken 14 days after planting from bud, 2nd node, 3rd node, 4th node, and 5th node.
Figure 4. (A): Morphological characters of cuttings taken from different node positions of mother plants before planting; from left to right, taken from bud, 2nd node, 3rd node, 4th node, and 5th node. (B): Morphological characters of cuttings taken 14 days after planting from the bud grown under different EC treatments; from left to right, water, EC1, EC2, EC3, EC4, and EC5. EC1, EC2, EC3, EC4, and EC5 represent nutrient solution with the electric conductivity of 1.0, 2.0, 3.0, 4.0, and 5.0 dS m−1, respectively. (C): Morphological characters of cuttings grown under EC1; from left to right, cuttings taken 14 days after planting from bud, 2nd node, 3rd node, 4th node, and 5th node.
Agronomy 11 00363 g004
Figure 5. The length of the longest root and root number per cutting (top chart), and the root fresh weight and dry weight of cuttings (bottom chart), all measured at 14 days after planting, by the node-position treatment (bud, 2nd, 3rd, 4th, and 5th node) and by the EC treatments (water, EC1, EC2, EC3, EC4, and EC5 with the electric conductivity, from EC1 To EC5, of 1.0, 2.0, 3.0, 4.0, and 5.0 dS m−1, respectively). The means are shown as mean (n = 6) ± SE.
Figure 5. The length of the longest root and root number per cutting (top chart), and the root fresh weight and dry weight of cuttings (bottom chart), all measured at 14 days after planting, by the node-position treatment (bud, 2nd, 3rd, 4th, and 5th node) and by the EC treatments (water, EC1, EC2, EC3, EC4, and EC5 with the electric conductivity, from EC1 To EC5, of 1.0, 2.0, 3.0, 4.0, and 5.0 dS m−1, respectively). The means are shown as mean (n = 6) ± SE.
Agronomy 11 00363 g005
Figure 6. Root number per cutting, the length of the longest root, and root fresh weight of cuttings, all measured at 14 days after planting. By the EC treatment (charts on the left-hand side) and by the node-position treatment (charts on the right-hand side). For the left-hand charts, the solid lines depict the means over the node-position treatments (bud, 2nd, 3rd, 4th, and 5th node; n = 30) and the dotted lines depict the means only for the node-position treatment that gives the best (maximum) result (n = 6). For the right-hand side charts, the solid lines depict the means over the EC treatments (water, EC1, EC2, EC3, EC4, and EC5 with the electric conductivity of 1.0, 2.0, 3.0, 4.0, and 5.0 dS m−1, respectively; n = 36) and the dotted lines depict the means only for the treatment of EC1 that gives the best result for all the three rooting characteristics (n = 6). The means are shown as mean (n = 30, n = 36, or n = 6) ± SE, and for each line, solid as well as dotted one, different alphabetic letters indicate that the respective means are significantly different from each other at p < 0.05 by Tukey’s test.
Figure 6. Root number per cutting, the length of the longest root, and root fresh weight of cuttings, all measured at 14 days after planting. By the EC treatment (charts on the left-hand side) and by the node-position treatment (charts on the right-hand side). For the left-hand charts, the solid lines depict the means over the node-position treatments (bud, 2nd, 3rd, 4th, and 5th node; n = 30) and the dotted lines depict the means only for the node-position treatment that gives the best (maximum) result (n = 6). For the right-hand side charts, the solid lines depict the means over the EC treatments (water, EC1, EC2, EC3, EC4, and EC5 with the electric conductivity of 1.0, 2.0, 3.0, 4.0, and 5.0 dS m−1, respectively; n = 36) and the dotted lines depict the means only for the treatment of EC1 that gives the best result for all the three rooting characteristics (n = 6). The means are shown as mean (n = 30, n = 36, or n = 6) ± SE, and for each line, solid as well as dotted one, different alphabetic letters indicate that the respective means are significantly different from each other at p < 0.05 by Tukey’s test.
Agronomy 11 00363 g006
Figure 7. Endogenous indole-3-acetic acid (IAA) concentrations of cuttings taken from different nodes of nasturtium plants. The means are shown as the mean (n = 6) ± SE. Means with different alphabetical letters above the bars are significantly different at p < 0.05 (Turkey’s test).
Figure 7. Endogenous indole-3-acetic acid (IAA) concentrations of cuttings taken from different nodes of nasturtium plants. The means are shown as the mean (n = 6) ± SE. Means with different alphabetical letters above the bars are significantly different at p < 0.05 (Turkey’s test).
Agronomy 11 00363 g007
Publisher’s Note: MDPI stays neutral with regard to jurisdictional claims in published maps and institutional affiliations.

Share and Cite

MDPI and ACS Style

Xu, W.; Lu, N.; Kikuchi, M.; Takagaki, M. Effects of Node Position and Electric Conductivity of Nutrient Solution on Adventitious Rooting of Nasturtium (Tropaeolum majus L.) Cuttings. Agronomy 2021, 11, 363. https://doi.org/10.3390/agronomy11020363

AMA Style

Xu W, Lu N, Kikuchi M, Takagaki M. Effects of Node Position and Electric Conductivity of Nutrient Solution on Adventitious Rooting of Nasturtium (Tropaeolum majus L.) Cuttings. Agronomy. 2021; 11(2):363. https://doi.org/10.3390/agronomy11020363

Chicago/Turabian Style

Xu, Wenshuo, Na Lu, Masao Kikuchi, and Michiko Takagaki. 2021. "Effects of Node Position and Electric Conductivity of Nutrient Solution on Adventitious Rooting of Nasturtium (Tropaeolum majus L.) Cuttings" Agronomy 11, no. 2: 363. https://doi.org/10.3390/agronomy11020363

APA Style

Xu, W., Lu, N., Kikuchi, M., & Takagaki, M. (2021). Effects of Node Position and Electric Conductivity of Nutrient Solution on Adventitious Rooting of Nasturtium (Tropaeolum majus L.) Cuttings. Agronomy, 11(2), 363. https://doi.org/10.3390/agronomy11020363

Note that from the first issue of 2016, this journal uses article numbers instead of page numbers. See further details here.

Article Metrics

Back to TopTop