Germinated Chickpea and Lupin as Promising Ingredients for Breadmaking—Rheological Features
Abstract
1. Introduction
2. Materials and Methods
2.1. Materials
2.2. Dough Rheology
2.2.1. Empirical Dough Rheological Properties
2.2.2. Fundamental Dough Rheological Properties
2.3. Dough Microstructure
2.4. Data Statistical Analysis
3. Results
3.1. Materials Characteristics
3.2. Influence of CGF and LGF on Falling Number
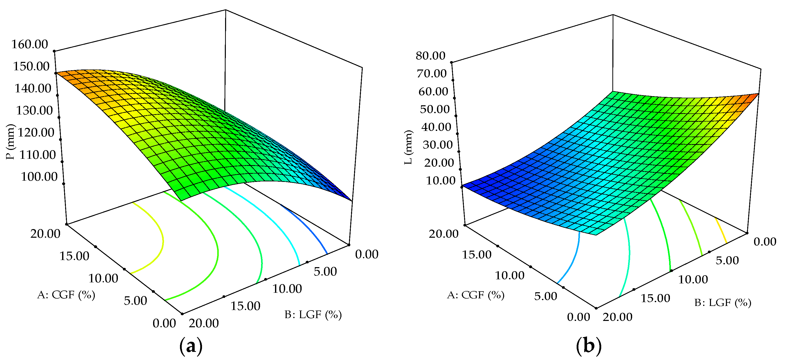
3.3. Influence of CGF and LGF on Dough Rheological Behavior during Mixing and 3D-Deformation
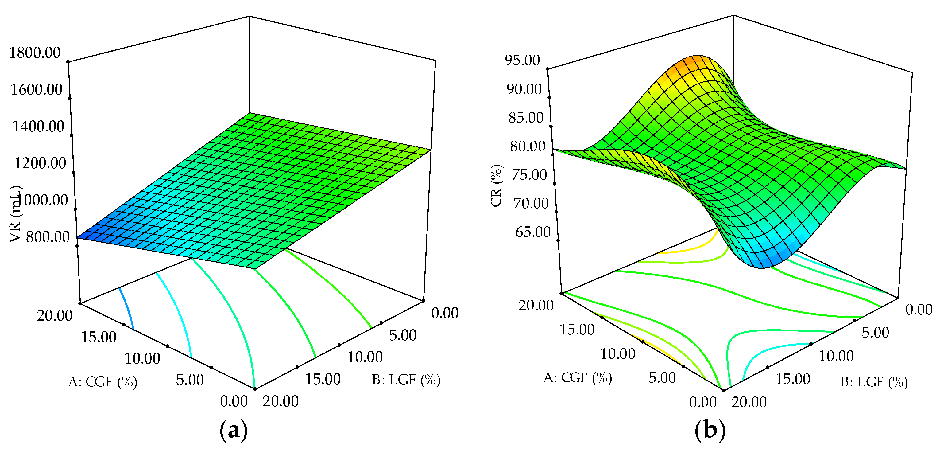
3.4. Influence of CGF and LGF on Dough Rheological Behavior during Fermentation
3.5. Influence of CGF and LGF on Dough Fundamental Rheological Properties
3.6. Optimal Combination of CGF and LGF Added in Wheat Flour
3.7. Relations between Variables
3.8. Characterization of Optimal and Control Sample Dough Microstructure
4. Discussion
5. Conclusions
Author Contributions
Funding
Institutional Review Board Statement
Informed Consent Statement
Data Availability Statement
Acknowledgments
Conflicts of Interest
References
- Dall’Asta, M.; Dodi, R.; Di Pede, G.; Marchini, M.; Spaggiari, M.; Gallo, A.; Righetti, L.; Brighenti, F.; Galaverna, G.; Dall’Asta, C.; et al. Postprandial blood glucose and insulin responses to breads formulated with different wheat evolutionary populations (Triticum aestivum L.): A randomized controlled trial on healthy subjects. Nutrition 2021, 111533. [Google Scholar] [CrossRef]
- Shanmugavel, V.; Komala Santhi, K.; Kurup, A.H.; Kalakandan, S.; Anandharaj, A.; Rawson, A. Potassium bromate: Effects on bread components, health, environment and method of analysis: A review. Food Chem. 2020, 311, 125964. [Google Scholar] [CrossRef] [PubMed]
- Atudorei, D.; Codina, G.G. Perspectives on the use of germinated legumes in the bread making process, a review. Appl. Sci. 2020, 10, 6244. [Google Scholar] [CrossRef]
- Chinma, C.E.; Adedeji, O.E.; Etim, I.I.; Aniaka, G.I.; Mathew, E.O.; Ekeh, U.B.; Anumba, N.L. Physicochemical, nutritional, and sensory properties of chips produced from germinated African yam bean (Sphenostylis stenocarpa). LWT 2021, 136, 110330. [Google Scholar] [CrossRef]
- Camacho, L.; Sierra, C.; Marcus, D.; Guzmán, E.; Campos, R.; von Bäer, D.; Trugo, L. Nutritional quality of lupin (Lupinus albus cv. Multolupa) as affected by lactic acid fermentation. Int. J. Food Microbiol. 1991, 14, 277–286. [Google Scholar] [CrossRef]
- Liang, J.; Han, B.Z.; Nout, M.J.R.; Hamer, R.J. Effects of soaking, germination and fermentation on phytic acid, total and in vitro soluble zinc in brown rice. Food Chem. 2008, 110, 821–828. [Google Scholar] [CrossRef]
- Atudorei, D.; Stroe, S.G.; Codină, G.G. Impact of germination on the microstructural and physicochemical properties of different legume types. Plants 2021, 10, 592. [Google Scholar] [CrossRef]
- Koeberl, M.; Sharp, M.F.; Tian, R.; Buddhadasa, S.; Clarke, D.; Roberts, J. Lupin allergen detecting capability and cross-reactivity of related legumes by ELISA. Food Chem. 2018, 256, 105–112. [Google Scholar] [CrossRef]
- Kaur, R.; Prasad, K. Technological, processing and nutritional aspects of chickpea (Cicer arietinum)—A review. Trends Food Sci. Technol. 2021, 109, 448–463. [Google Scholar] [CrossRef]
- White, C.L.; Staines, V.E.; Staines, M.v. A review of the nutritional value of lupins for dairy cows. Aust. J. Agric. Res. 2007, 58, 185–202. [Google Scholar] [CrossRef]
- Wandersleben, T.; Morales, E.; Burgos-Díaz, C.; Barahona, T.; Labra, E.; Rubilar, M.; Salvo-Garrido, H. Enhancement of functional and nutritional properties of bread using a mix of natural ingredients from novel varieties of flaxseed and lupin. LWT—Food Sci. Technol. 2018, 91, 48–54. [Google Scholar] [CrossRef]
- Dijkstra, D.S.; Linnemann, A.R.; Van Boekel, T.A.J.S. Towards sustainable production of protein-rich foods: Appraisal of eight crops for western europe. PART II: Analysis of the technological aspects of the production chain. Crit. Rev. Food Sci. Nutr. 2003, 43, 481–506. [Google Scholar] [CrossRef]
- Olkowski, B. Feeding high lupin based diets for broiler chickens: Effect of soybean meal substitution with yellow lupin meal at various time points of growth cycle. Livest. Sci. 2018, 218, 114–118. [Google Scholar] [CrossRef]
- Volek, Z.; Uhlířová, L.; Zita, L. Narrow-leaved lupin seeds as a dietary protein source for fattening rabbits: A comparison with white lupin seeds. Animal 2020, 14, 881–888. [Google Scholar] [CrossRef]
- Bartkiene, E.; Jakobsone, I.; Pugajeva, I.; Bartkevics, V.; Zadeike, D.; Juodeikiene, G. Reducing of acrylamide formation in wheat biscuits supplemented with flaxseed and lupin. LWT—Food Sci. Technol. 2016, 65, 275–282. [Google Scholar] [CrossRef]
- Wang, J.; Li, Y.; Li, A.; Liu, R.H.; Gao, X.; Li, D.; Kou, X.; Xue, Z. Nutritional constituent and health benefits of Chickpea (Cicer arietinum L.): A review. Food Res. Int. 2021, 150, 110790. [Google Scholar] [CrossRef] [PubMed]
- Knecht, K.T.; Sanchez, P.; Kinder, D.H. Lupin seeds (Lupinus spp.): History of use, use as an antihyperglycemic medicinal, and use as a food plant. In Nuts and Seeds in Health and Disease Prevention; Elsevier: Amsterdam, The Netherlands, 2020; pp. 393–402. [Google Scholar]
- Mir, M.I.; Kumar, B.K.; Gopalakrishnan, S.; Vadlamudi, S.; Hameeda, B. Characterization of rhizobia isolated from leguminous plants and their impact on the growth of ICCV 2 variety of chickpea (Cicer arietinum L.). Heliyon 2021, 7, e08321. [Google Scholar] [CrossRef]
- Villa, C.; Costa, J.; Gondar, C.; Oliveira, M.B.P.P.; Mafra, I. Effect of food matrix and thermal processing on the performance of a normalised quantitative real-time PCR approach for lupin (Lupinus albus) detection as a potential allergenic food. Food Chem. 2018, 262, 251–259. [Google Scholar] [CrossRef]
- Kotsiou, K.; Sacharidis, D.-D.; Matsakidou, A.; Biliaderis, C.G.; Lazaridou, A. Physicochemical and functional aspects of composite wheat-roasted chickpea flours in relation to dough rheology, bread quality and staling phenomena. Food Hydrocoll. 2022, 124, 107322. [Google Scholar] [CrossRef]
- Mohammed, I.; Ahmed, A.R.; Senge, B. Dough rheology and bread quality of wheat-chickpea flour blends. Ind. Crops Prod. 2012, 36, 196–202. [Google Scholar] [CrossRef]
- Yousif, M.R.G.; Safaa, M.F. Supplementation of gluten-free bread with some germinated legumes flour. J. Am. Sci. 2014, 10, 5–6. [Google Scholar]
- Al Omari, D.Z.; Abdul-Hussain, S.S.; Ajo, R.Y. Germinated lupin (Lupinus albus) flour improves Arabic flat bread properties. Qual. Assur. Saf. Crop. Foods 2016, 8, 57–63. [Google Scholar] [CrossRef]
- Atudorei, D.; Atudorei, O.; Codinǎ, G.G. Dough rheological properties, microstructure and bread quality of wheat-germinated bean composite flour. Foods 2021, 10, 1542. [Google Scholar] [CrossRef]
- Bordei, D.; Bahrim, G.; Pâslaru, V.; Gasparotti, C.; Elisei, A.; Banu, I.; Ionescu, L.; Codină, G. Quality control in the bakery industry-analysis methods. Galați Acad. 2007, 203–212. [Google Scholar]
- Mironeasa, S.; Codină, G.G. Dough rheological behavior and microstructure characterization of composite dough with wheat and tomato seed flours. Foods 2019, 8, 626. [Google Scholar] [CrossRef] [PubMed]
- Mironeasa, S.; Codină, G. Influence of mixing speed on dough microstructure and rheology. Food Technol. Biotechnol. 2013, 51, 509–519. [Google Scholar]
- Popa, C.N.; Tamba Berehoiu, R.M.; Lambrache, N. Assessment of gluten index component wet gluten remaining on the sieve as predictor of wheat bakery potential. Rev. Chim. 2019, 70, 3994–3999. [Google Scholar] [CrossRef]
- Popa, N.C.; Radiana, T.B.; Stela, P.; Mioara, V.; Gabriela, C.G. Predictive model of the alveografic parameters in flours obtained from Romanian grains. Rom. Biotechnol. Lett. 2009, 14, 4234–4242. [Google Scholar]
- EC, European Comission Recommendation (EC) 2006/576. Off. J. Eur. Union 2006, L285, 30–50.
- EC, European Comission Regulation (EC) No. 1881/2006. Off. J. Eur. Union 2006, 364, 5.
- Mudawi, H.A.; Mohamed, S.; Abdelrahim, K.; Musa, R.; Elawad, O.; Yang, T.A.; Halim, A.; Ahmed, R.; Elnur, K.; Ishag, A. Chemical composition and functional properties of wheat bread containing wheat and legumes bran. Int. J. Food Sci. Nutr. 2016, 1, 2455–4898. [Google Scholar]
- Setia, R.; Dai, Z.; Nickerson, M.T.; Sopiwnyk, E.; Malcolmson, L.; Ai, Y. Properties and bread-baking performance of wheat flour composited with germinated pulse flours. Cereal Chem. 2020, 97, 459–471. [Google Scholar] [CrossRef]
- Hernandez-Aguilar, C.; Dominguez-Pacheco, A.; Palma Tenango, M.; Valderrama-Bravo, C.; Soto Hernández, M.; Cruz-Orea, A.; Ordonez-Miranda, J. Lentil sprouts: A nutraceutical alternative for the elaboration of bread. J. Food Sci. Technol. 2020, 57, 1817–1829. [Google Scholar] [CrossRef]
- Hejri-Zarifi, S.; Ahmadian-Kouchaksaraei, Z.; Pourfarzad, A.; Khodaparast, M.H.H. Dough performance, quality and shelf life of flat bread supplemented with fractions of germinated date seed. J. Food Sci. Technol. 2014, 51, 3776–3784. [Google Scholar] [CrossRef]
- Eissa, H.; Hussein, A.; Mostafa, B. Rheological properties and quality evaluation of egyptian balady bread and biscuits supplemented with flours of ungerminated and germinated legume seeds or mushroom. Polish J. Food Nutr. Sci. 2007, 57, 487–496. [Google Scholar]
- Dubois, M.; Dubat, A.; Launay, B. AlveoConsistograph Handbook; Elsevier: Amsterdam, The Netherlands, 2016; ISBN 0128104589. [Google Scholar]
- Lubowicki, R.; Kotlarz, A.; Jaskowska, I. Effect of cultivar and harvest year on the composition of yellow lupin seeds. J. Anim. Feed Sci. 2005, 14, 373–376. [Google Scholar] [CrossRef][Green Version]
- Arseneva, L.; Dotsenko, V.; Bondar, N.; Pavlyuchenkoo, E.; Sharan, L.; Usatyuk, E. Using of white food lupin products in technology of functional bakery products annotation. Tech Sci. 2013, 5–24. Available online: http://dspace.nuft.edu.ua/bitstream/123456789/9696/1/white_food_lupine.pdf (accessed on 18 December 2021).
- Rosales-Juárez, M.; González-Mendoza, B.; López-Guel, E.C.; Lozano-Bautista, F.; Chanona-Pérez, J.; Gutiérrez-López, G.; Farrera-Rebollo, R.; Calderón-Domínguez, G. Changes on dough rheological characteristics and bread quality as a result of the addition of germinatedand non-germinated soybean flour. Food Bioprocess Technol. 2008, 1, 152–160. [Google Scholar] [CrossRef]
- Mohammed, I.; Ahmed, A.R.; Senge, B. Effects of chickpea flour on wheat pasting properties and bread making quality. J. Food Sci. Technol. 2014, 51, 1902–1910. [Google Scholar] [CrossRef]
- Collar, C.; Angioloni, A. High-legume wheat-based matrices: Impact of high pressure on starch hydrolysis and firming kinetics of composite breads. Food Bioprocess Technol. 2017, 10, 1103–1112. [Google Scholar] [CrossRef]
- Marti, A.; Cardone, G.; Pagani, M.A.; Casiraghi, M.C. Flour from sprouted wheat as a new ingredient in bread-making. LWT—Food Sci. Technol. 2018, 89, 237–243. [Google Scholar] [CrossRef]
- Guo, P.; Yu, J.; Copeland, L.; Wang, S.; Wang, S. Mechanisms of starch gelatinization during heating of wheat flour and its effect on in vitro starch digestibility. Food Hydrocoll. 2018, 82, 370–378. [Google Scholar] [CrossRef]
- Jan, R.; Saxena, D.C.; Singh, S. Comparative study of raw and germinated Chenopodium (Chenopodium album) flour on the basis of thermal, rheological, minerals, fatty acid profile and phytocomponents. Food Chem. 2018, 269, 173–180. [Google Scholar] [CrossRef] [PubMed]
- Dapcevic, T.; Pojic, M.; Hadnaev, M.; Torbic, A. The Role of Empirical Rheology in Flour Quality Control. In Wide Spectra of Quality Control; BoD—Books on Deman: Norderstedt, Germany, 2011; Available online: http://www.intechopen.com/books/wide-spectra-of-quality-control/therole-of-empirical-rheology-in-flour-quality-control (accessed on 16 December 2021).












| (a) | |||||||||
| Run | Responses | ||||||||
| Falling Number | Consistograph | Alveograph | |||||||
| FN (s) | WA (%) | Tol (s) | D250 (mbar) | D450 (mbar) | P (mm) | L (mm) | W (10−4 J) | P/L (adim.) | |
| 1 | 247 ± 4.24 | 52.1 ± 0.14 | 126 ± 4.24 | 163 ± 4.24 | 569 ± 2.83 | 133 ± 1.41 | 29 ± 1.41 | 164 ± 2.83 | 4.59 ± 2.83 |
| 2 | 277 ± 2.83 | 52.6 ± 0.14 | 149 ± 4.24 | 174 ± 2.83 | 624 ± 5.66 | 127 ± 1.41 | 33 ± 2.83 | 174 ± 4.24 | 3.85 ± 0.29 |
| 3 | 206 ± 2.83 | 50.5 ± 0.07 | 106 ± 4.24 | 123 ± 4.24 | 597 ± 5.66 | 143 ± 1.41 | 12 ± 0.83 | 80 ± 2.83 | 11.91 ± 0.78 |
| 4 | 254 ± 1.41 | 52.2 ± 0.00 | 194 ± 7.07 | 204 ± 2.83 | 731 ± 2.83 | 136 ± 2.83 | 25 ± 1.41 | 153 ± 2.83 | 5.44 ± 0.42 |
| 5 | 268 ± 1.41 | 52.5 ± 0.28 | 181 ± 1.41 | 214 ± 2.83 | 785 ± 4.24 | 123 ± 2.83 | 35 ± 2.83 | 172 ± 4.24 | 3.51 ± 0.21 |
| 6 | 283 ± 2.83 | 52.7 ± 0.14 | 209 ± 2.83 | 218 ± 1.41 | 754 ± 1.41 | 110 ± 2.83 | 39 ± 1.41 | 172 ± 5.66 | 2.82 ± 0.17 |
| 7 | 255 ± 2.83 | 52.2 ± 0.14 | 163 ± 4.24 | 194 ± 1.41 | 761 ± 2.83 | 134 ± 1.41 | 28 ± 1.41 | 168 ± 1.41 | 4.79 ± 0.30 |
| 8 | 234 ± 1.41 | 52.4 ± 0.14 | 138 ± 2.83 | 176 ± 2.83 | 623 ± 2.83 | 142 ± 1.41 | 22 ± 2.83 | 159 ± 4.24 | 6.45 ± 0.78 |
| 9 | 302 ± 2.83 | 53.2 ± 0.00 | 167 ± 1.41 | 185.5 ± 3.54 | 762.5 ± 6.36 | 122 ± 2.83 | 40.5 ± 3.54 | 198 ± 4.24 | 3.02 ± 0.19 |
| 10 | 228 ± 2.83 | 51.7 ± 0.28 | 191 ± 1.41 | 223 ± 2.83 | 834 ± 2.83 | 149 ± 2.83 | 21 ± 1.41 | 137 ± 2.83 | 7.10 ± 0.35 |
| 11 | 279 ± 1.41 | 52.5 ± 0.14 | 201 ± 2.83 | 205 ± 1.41 | 732 ± 4.24 | 130 ± 1.41 | 33 ± 2.83 | 180 ± 1.41 | 3.94 ± 0.05 |
| 12 | 350 ± 2.83 | 54.3 ± 0.14 | 214 ± 2.83 | 394 ± 1.41 | 943 ± 4.24 | 104 ± 1.41 | 72 ± 2.83 | 301 ± 4.24 | 1.44 ± 0.04 |
| 13 | 249 ± 1.41 | 51.9 ± 0.14 | 188 ± 1.41 | 217 ± 2.83 | 833 ± 4.24 | 146 ± 2.83 | 20 ± 1.41 | 126 ± 2.83 | 7.30 ± 0.66 |
| 14 | 211 ± 1.41 | 51.2 ± 0.28 | 131 ± 2.83 | 168 ± 2.83 | 617 ± 2.83 | 150 ± 1.41 | 16 ± 1.41 | 113 ± 2.83 | 9.37 ± 0.92 |
| 15 | 260.5 ± 2.12 | 52.3 ± 0.28 | 200.5 ± 6.36 | 242 ± 4.24 | 881 ± 5.66 | 107 ± 1.41 | 38 ± 2.83 | 156 ± 4.24 | 2.83 ± 0.25 |
| 16 | 318 ± 5.66 | 53.6 ± 0.00 | 215 ± 2.83 | 225 ± 4.24 | 785 ± 5.66 | 106 ± 1.41 | 46 ± 2.83 | 190 ± 4.24 | 2.30 ± 0.11 |
| 17 | 236 ± 4.24 | 51.8 ± 0.14 | 118 ± 2.83 | 155 ± 1.41 | 537 ± 2.83 | 144 ± 2.83 | 18 ± 1.41 | 127 ± 4.24 | 8.00 ± 0.47 |
| 18 | 203 ± 1.41 | 50.7 ± 0.14 | 111 ± 1.41 | 128 ± 2.83 | 614 ± 2.83 | 151 ± 2.83 | 12 ± 1.41 | 75 ± 2.83 | 12.58 ± 1.73 |
| 19 | 320 ± 2.83 | 53.7 ± 0.28 | 181 ± 2.83 | 339 ± 5.66 | 878 ± 2.83 | 113 ± 0.00 | 46 ± 1.41 | 204 ± 4.24 | 2.46 ± 0.08 |
| 20 | 194 ± 4.24 | 50.3 ± 0.28 | 101 ± 1.41 | 118 ± 2.83 | 621 ± 4.24 | 158 ± 1.41 | 10 ± 1.41 | 64 ± 2.83 | 15.80 ± 2.35 |
| 21 | 236 ± 1.41 | 51.6 ± 0.14 | 177 ± 4.24 | 216 ± 1.41 | 713 ± 2.83 | 123 ± 1.41 | 16 ± 1.41 | 91 ± 1.41 | 7.69 ± 0.59 |
| 22 | 308 ± 2.83 | 53.8 ± 0.28 | 204 ± 2.83 | 317 ± 2.12 | 903 ± 4.24 | 114 ± 2.83 | 46 ± 1.41 | 193 ± 2.83 | 2.52 ± 0.01 |
| 23 | 218 ± 1.41 | 50.9 ± 0.14 | 117 ± 2.83 | 133 ± 4.24 | 632 ± 4.24 | 128 ± 2.83 | 19 ± 1.41 | 113 ± 1.41 | 6.74 ± 0.35 |
| 24 | 242 ± 4.24 | 51.8 ± 0.14 | 184 ± 1.41 | 231 ± 5.66 | 729 ± 4.24 | 125 ± 1.41 | 23 ± 1.41 | 132 ± 2.83 | 5.43 ± 0.27 |
| 25 | 329 ± 2.83 | 53.9 ± 0.14 | 223 ± 2.83 | 289 ± 7.07 | 931 ± 5.66 | 108 ± 1.41 | 55 ± 2.83 | 215 ± 2.83 | 1.96 ± 0.13 |
| (b) | |||||||||
| Run | Responses | ||||||||
| Rheofermentometer | Rheometer | ||||||||
| H’m (mL) | VT (mL) | VR (mL) | CR (%) | G′ (Pa) | G″ (Pa) | tan δ (adim.) | Ti (·C) | Tmax (°C) | |
| 1 | 64.3 ± 0.28 | 1425 ± 4.24 | 1147 ± 4.24 | 80.5 ± 0.00 | 13,440 ± 2.83 | 6235 ± 2.83 | 0.4630 ± 0.00 | 48.8 ± 0.00 | 74.8 ± 0.14 |
| 2 | 68.0 ± 0.00 | 1550 ± 2.83 | 1159 ± 4.24 | 74.8 ± 0.21 | 25,460 ± 1.41 | 10,050 ± 2.83 | 0.3790 ± 0.00 | 49.3 ± 0.14 | 73.3 ± 0.14 |
| 3 | 46.2 ± 0.28 | 1093 ± 4.24 | 947 ± 2.83 | 86.6 ± 0.14 | 19,700 ± 4.24 | 7952 ± 4.24 | 0.4037 ± 0.00 | 49.1 ± 0.14 | 72.9 ± 0.28 |
| 4 | 62.3 ± 0.14 | 1439 ± 8.49 | 1207 ± 2.83 | 83.9 ± 0.71 | 42,678 ± 2.12 | 16,233 ± 4.24 | 0.3804 ± 0.00 | 50.9 ± 0.28 | 73.8 ± 0.14 |
| 5 | 69.7 ± 0.42 | 1493 ± 5.66 | 1177 ± 4.24 | 78.8 ± 0.00 | 37,781 ± 1.41 | 14,921 ± 2.83 | 0.3949 ± 0.00 | 51.0 ± 0.14 | 74.4 ± 0.14 |
| 6 | 66.3 ± 0.28 | 1641 ± 4.24 | 1233 ± 2.83 | 75.2 ± 0.14 | 46,600 ± 4.24 | 16,140.5 ± 3.54 | 0.3460 ± 0.00 | 50.5 ± 0.00 | 74.8 ± 0.14 |
| 7 | 57.8 ± 0.28 | 1344 ± 4.24 | 1118 ± 4.24 | 83.2 ± 0.00 | 23,065 ± 2.83 | 8932 ± 5.66 | 0.3873 ± 0.00 | 49.5 ± 0.14 | 74.8 ± 0.28 |
| 8 | 57.6 ± 0.14 | 1281 ± 2.83 | 1002 ± 2.83 | 78.2 ± 0.42 | 19,873 ± 4.24 | 8137 ± 4.24 | 0.4095 ± 0.00 | 49.9 ± 0.28 | 75.0 ± 0.14 |
| 9 | 70.5 ± 0.14 | 1621 ± 5.66 | 1214 ± 2.83 | 74.9 ± 0.14 | 43,240 ± 2.83 | 16,060 ± 4.24 | 0.3710 ± 0.00 | 50.4 ± 0.14 | 73.9 ± 0.14 |
| 10 | 55.8 ± 0.14 | 1307 ± 2.83 | 1056 ± 4.24 | 80.7 ± 0.28 | 28,762 ± 4.24 | 10,167 ± 4.24 | 0.3535 ± 0.00 | 49.8 ± 0.14 | 73.6 ± 0.28 |
| 11 | 66.8 ± 0.14 | 1481 ± 5.66 | 1142 ± 2.83 | 77.1 ± 0.14 | 43,446 ± 2.83 | 16,578 ± 2.83 | 0.3816 ± 0.00 | 49.8 ± 0.14 | 74.7 ± 0.28 |
| 12 | 65.9 ± 0.14 | 1532 ± 4.24 | 1228 ± 2.83 | 80.2 ± 0.07 | 29,290 ± 5.66 | 10,780 ± 4.24 | 0.3680 ± 0.00 | 51.9 ± 0.14 | 73.4 ± 0.28 |
| 13 | 55.2 ± 0.28 | 1366 ± 2.83 | 1037 ± 2.83 | 75.9 ± 0.00 | 28,122 ± 4.24 | 10,243 ± 2.83 | 0.3642 ± 0.00 | 50.2 ± 0.14 | 74.7 ± 0.14 |
| 14 | 44.0 ± 0.42 | 1071 ± 2.83 | 916 ± 4.24 | 85.5 ± 0.14 | 26,211 ± 2.83 | 9085 ± 4.24 | 0.3466 ± 0.00 | 49.5 ± 0.28 | 73.3 ± 0.14 |
| 15 | 63.1 ± 0.00 | 1394 ± 5.66 | 1148 ± 4.24 | 82.4 ± 0.64 | 30,730 ± 1.41 | 11,630 ± 2.83 | 0.3780 ± 0.00 | 49.8 ± 0.00 | 75.1 ± 0.14 |
| 16 | 72.2 ± 0.14 | 1762 ± 7.07 | 1208.5 ± 4.95 | 68.5 ± 0.00 | 41,130 ± 2.83 | 14,230 ± 5.66 | 0.3450 ± 0.00 | 51.2 ± 0.14 | 74.5 ± 0.14 |
| 17 | 46.4 ± 0.00 | 1051 ± 0.71 | 928 ± 4.24 | 88.2 ± 0.57 | 28,648 ± 2.83 | 9843 ± 4.24 | 0.3436 ± 0.00 | 49.5 ± 0.14 | 74.9 ± 0.14 |
| 18 | 51.2 ± 0.14 | 1300 ± 2.83 | 1004 ± 5.66 | 77.3 ± 0.71 | 22,146 ± 4.24 | 8345 ± 2.83 | 0.3768 ± 0.00 | 48.7 ± 0.00 | 74.3 ± 0.28 |
| 19 | 74.5 ± 0.14 | 1651 ± 4.24 | 1239 ± 2.83 | 75.1 ± 0.35 | 34,400 ± 5.66 | 13,000 ± 2.83 | 0.3770 ± 0.00 | 51.1 ± 0.14 | 73.5 ± 0.14 |
| 20 | 38.1 ± 0.28 | 974 ± 4.24 | 802 ± 2.83 | 82.3 ± 0.71 | 19,415 ± 1.41 | 6713 ± 4.24 | 0.3458 ± 0.00 | 48.4 ± 0.28 | 73.8 ± 0.28 |
| 21 | 61.0 ± 0.28 | 1340 ± 5.66 | 1117 ± 2.83 | 83.4 ± 0.28 | 25,742 ± 2.83 | 9367 ± 2.83 | 0.3639 ± 0.00 | 49.0 ± 0.14 | 74.6 ± 0.00 |
| 22 | 79.6 ± 0.28 | 1763 ± 2.83 | 1614 ± 4.24 | 91.5 ± 0.14 | 42,185 ± 4.24 | 15,145 ± 5.66 | 0.3590 ± 0.00 | 50.8 ± 0.14 | 74.2 ± 0.14 |
| 23 | 46.4 ± 0.14 | 1164 ± 1.41 | 960 ± 5.66 | 82.5 ± 0.28 | 20,847 ± 4.24 | 8004 ± 5.66 | 0.3839 ± 0.00 | 49.1 ± 0.14 | 75.3 ± 0.14 |
| 24 | 62.9 ± 0.14 | 1282 ± 2.83 | 1187 ± 2.12 | 92.6 ± 0.14 | 29,165 ± 4.24 | 11,145 ± 2.83 | 0.3821 ± 0.00 | 49.3 ± 0.03 | 74.9 ± 0.14 |
| 25 | 71.3 ± 0.28 | 1622 ± 8.49 | 1260 ± 4.24 | 77.7 ± 0.14 | 32,300 ± 7.07 | 12,250 ± 4.24 | 0.3790 ± 0.00 | 51.6 ± 0.00 | 73.7 ± 0.28 |
| Factors | Parameters | ||||||||
|---|---|---|---|---|---|---|---|---|---|
| FN (s) | WA (%) | Tol (s) | D250 (mbar) | D450 (mbar) | P (mm) | L (mm) | W (10−4 J) | P/L (adim.) | |
| Constant | 254.23 | 52.26 | 167.60 | 201.95 | 735.60 | 135.64 | 25.20 | 154.00 | 5.75 |
| A | −37.12 *** | −0.96 *** | −8.36 * | −38.57 | −35.76 | 7.32 ** | −12.20 *** | −48.96 *** | 2.85 *** |
| B | −44.36 *** | −1.10 *** | −49.40 *** | −66.19 * | −133.52 *** | 17.60 *** | −15.76 *** | −47.48 *** | 3.65 *** |
| A × B | 8.00 ** | 0.06 | −6.92 | 27.76 * | 46.56 | 3.52 | 4.04 ** | 5.80 | 2.25 *** |
| A2 | 4.80 | 22.06 | −4.40 | 3.26 * | |||||
| B2 | 7.37 * | −5.89 | −8.80 * | 6.74 *** | |||||
| A2B | −53.49 * | ||||||||
| AB2 | −38.06 | ||||||||
| A3 | 25.60 | ||||||||
| B3 | 25.33 | ||||||||
| Model evaluation | |||||||||
| R2 | 0.98 | 0.95 | 0.88 | 0.89 | 0.73 | 0.81 | 0.96 | 0.91 | 0.94 |
| Adj.-R2 | 0.97 | 0.94 | 0.86 | 0.83 | 0.70 | 0.76 | 0.95 | 0.90 | 0.93 |
| p-value | <0.0001 | <0.0001 | <0.0001 | <0.0001 | <0.0001 | <0.0001 | <0.0001 | <0.0001 | <0.0001 |
| Factors | Parameters | ||||||||
|---|---|---|---|---|---|---|---|---|---|
| H’m (mL) | VT (mL) | VR (mL) | CR (%) | G′ (Pa) | G″ (Pa) | tan δ (adim.) | Ti (°C) | Tmax (°C) | |
| Constant | 62.13 | 1422.17 | 1122.04 | 80.75 | 34,481.30 | 12,858.60 | 0.3755 | 50.18 | 74.41 |
| A | −7.26 *** | −180.85 *** | −84.60 ** | 0.92 | −4956.17 | −1963.83 | −0.0095 | −0.63 *** | −1.33 ** |
| B | −10.60 *** | −322.04 *** | −154.36 *** | −5.46 | −18,140.36 ** | −6855.16 ** | 0.0097 | −0.98 *** | 0.13 |
| A × B | −3.53 | −37.56 | −35.52 | −0.50 | −1156.72 | −599.84 | −0.0153 | 0.39 * | −0.51 * |
| A2 | 2.32 | 13.03 | 0.17 | −4665.89 | −1548.06 | −0.48 * | −0.38 | ||
| B2 | −5.22 * | −61.60 | −0.32 | −3866.63 | −1674.34 | 0.05 | −0.10 | ||
| A2B | 201.20 ** | −6.70 * | 4647.66 | 1467.31 | −0.54 | ||||
| AB2 | 63.94 | −4.14 | 8509.14 * | 3016.00 * | −0.06 | ||||
| A3 | 4.41 | −1261.60 | −436.67 | 1.84 *** | |||||
| B3 | 12.43 ** | 8016.53 | 3493.20 | 0.16 | |||||
| Model evaluation | |||||||||
| R2 | 0.84 | 0.87 | 0.64 | 0.60 | 0.75 | 0.79 | 0.23 | 0.87 | 0.69 |
| Adj.-R2 | 0.79 | 0.82 | 0.59 | 0.47 | 0.60 | 0.67 | 0.12 | 0.83 | 0.55 |
| p-value | <0.0001 | <0.0001 | <0.0001 | 0.0493 | 0.0028 | 0.0008 | ns | <0.0001 | 0.0107 |
| Variable | Optimal Sample | Control |
|---|---|---|
| A: CGF (%) | 8.57 | 0.00 |
| B: LGF (%) | 5.31 | 0.00 |
| FN (s) | 283 b | 350 a |
| WA (%) | 52.9 b | 54.3 a |
| Tol (s) | 191.49 b | 214.00 a |
| D250 (mbar) | 238.55 b | 394.00 a |
| D450 (mbar) | 806.45 b | 943.00 a |
| P (mm) | 124.55 a | 104.00 b |
| L (mm) | 36.15 b | 72.00 a |
| W (10−4 J) | 183.65 b | 301.00 a |
| P/L (adim.) | 3.78 a | 1.43 b |
| H’m (mL) | 66.80 a | 65.90 b |
| VT (mL) | 1579.31 a | 1532.00 b |
| VR (mL) | 1204.14 b | 1228.00 a |
| CR (%) | 81.97 a | 80.10 b |
| G′ (Pa) | 41,538.70 a | 29,290.00 b |
| G″ (Pa) | 15,446.25 a | 10,780.00 b |
| Ti (°C) | 50.75 b | 51.90 a |
| Tmax (°C) | 74.46 a | 73.40 b |
| Variables | FN | WA | Tol | D250 | D450 | P | L | W | P/L | G′ | G″ | tan δ | Ti | Tmax | H’m | VT | VR | CR |
|---|---|---|---|---|---|---|---|---|---|---|---|---|---|---|---|---|---|---|
| FN | 1.00 | 0.97 | 0.77 | 0.83 | 0.74 | −0.84 | 0.96 | 0.93 | −0.85 | 0.61 | 0.63 | −0.09 | 0.85 | −0.14 | 0.85 | 0.87 | 0.77 | −0.39 |
| WA | 1.00 | 0.77 | 0.83 | 0.72 | −0.78 | 0.93 | 0.93 | −0.88 | 0.59 | 0.60 | −0.05 | 0.85 | −0.06 | 0.87 | 0.86 | 0.79 | −0.35 | |
| Tol | 1.00 | 0.78 | 0.86 | −0.72 | 0.73 | 0.69 | −0.78 | 0.73 | 0.73 | −0.24 | 0.78 | 0.04 | 0.76 | 0.76 | 0.73 | −0.25 | ||
| D250 | 1.00 | 0.87 | −0.72 | 0.84 | 0.80 | −0.70 | 0.44 | 0.45 | −0.16 | 0.79 | −0.17 | 0.70 | 0.66 | 0.72 | −0.07 | |||
| D450 | 1.00 | −0.66 | 0.75 | 0.66 | −0.64 | 0.53 | 0.53 | −0.24 | 0.77 | −0.12 | 0.65 | 0.66 | 0.67 | −0.18 | ||||
| P | 1.00 | −0.84 | −0.74 | 0.83 | −0.53 | −0.55 | 0.02 | −0.67 | −0.09 | −0.79 | −0.78 | −0.74 | 0.25 | |||||
| L | 1.00 | 0.95 | −0.83 | 0.51 | 0.53 | −0.04 | 0.83 | −0.14 | 0.77 | 0.79 | 0.72 | −0.33 | ||||||
| W | 1.00 | −0.86 | 0.48 | 0.51 | 0.06 | 0.82 | −0.12 | 0.75 | 0.75 | 0.68 | −0.32 | |||||||
| P/L | 1.00 | −0.58 | −0.62 | −0.08 | −0.72 | −0.17 | −0.86 | −0.82 | −0.77 | 0.29 | ||||||||
| G′ | 1.00 | 0.99 | −0.44 | 0.66 | −0.02 | 0.64 | 0.68 | 0.63 | −0.25 | |||||||||
| G″ | 1.00 | −0.29 | 0.67 | −0.01 | 0.70 | 0.71 | 0.67 | −0.25 | ||||||||||
| tan δ | 1.00 | −0.19 | 0.15 | 0.12 | 0.00 | 0.03 | 0.03 | |||||||||||
| Ti | 1.00 | −0.20 | 0.68 | 0.72 | 0.64 | −0.32 | ||||||||||||
| Tmax | 1.00 | 0.01 | −0.03 | −0.01 | 0.05 | |||||||||||||
| H’m | 1.00 | 0.95 | 0.92 | −0.32 | ||||||||||||||
| VT | 1.00 | 0.88 | −0.49 | |||||||||||||||
| VR | 1.00 | −0.02 | ||||||||||||||||
| CR | 1.00 |
Publisher’s Note: MDPI stays neutral with regard to jurisdictional claims in published maps and institutional affiliations. |
© 2021 by the authors. Licensee MDPI, Basel, Switzerland. This article is an open access article distributed under the terms and conditions of the Creative Commons Attribution (CC BY) license (https://creativecommons.org/licenses/by/4.0/).
Share and Cite
Atudorei, D.; Ungureanu-Iuga, M.; Codină, G.G.; Mironeasa, S. Germinated Chickpea and Lupin as Promising Ingredients for Breadmaking—Rheological Features. Agronomy 2021, 11, 2588. https://doi.org/10.3390/agronomy11122588
Atudorei D, Ungureanu-Iuga M, Codină GG, Mironeasa S. Germinated Chickpea and Lupin as Promising Ingredients for Breadmaking—Rheological Features. Agronomy. 2021; 11(12):2588. https://doi.org/10.3390/agronomy11122588
Chicago/Turabian StyleAtudorei, Denisa, Mădălina Ungureanu-Iuga, Georgiana Gabriela Codină, and Silvia Mironeasa. 2021. "Germinated Chickpea and Lupin as Promising Ingredients for Breadmaking—Rheological Features" Agronomy 11, no. 12: 2588. https://doi.org/10.3390/agronomy11122588
APA StyleAtudorei, D., Ungureanu-Iuga, M., Codină, G. G., & Mironeasa, S. (2021). Germinated Chickpea and Lupin as Promising Ingredients for Breadmaking—Rheological Features. Agronomy, 11(12), 2588. https://doi.org/10.3390/agronomy11122588

