Effect of Plant Spacings on Growth, Physiology, Yield and Fiber Quality Attributes of Cotton Genotypes under Nitrogen Fertilization
Abstract
1. Introduction
2. Materials and Methods
2.1. Experimental Site
2.2. Treatments
2.3. Field Experiment
2.4. Data Collection
2.5. Statistical Analysis
3. Results
3.1. Plant Height, Monopodial Branches, Sympodial Branches, Leaf Area and Nodes Plant−1
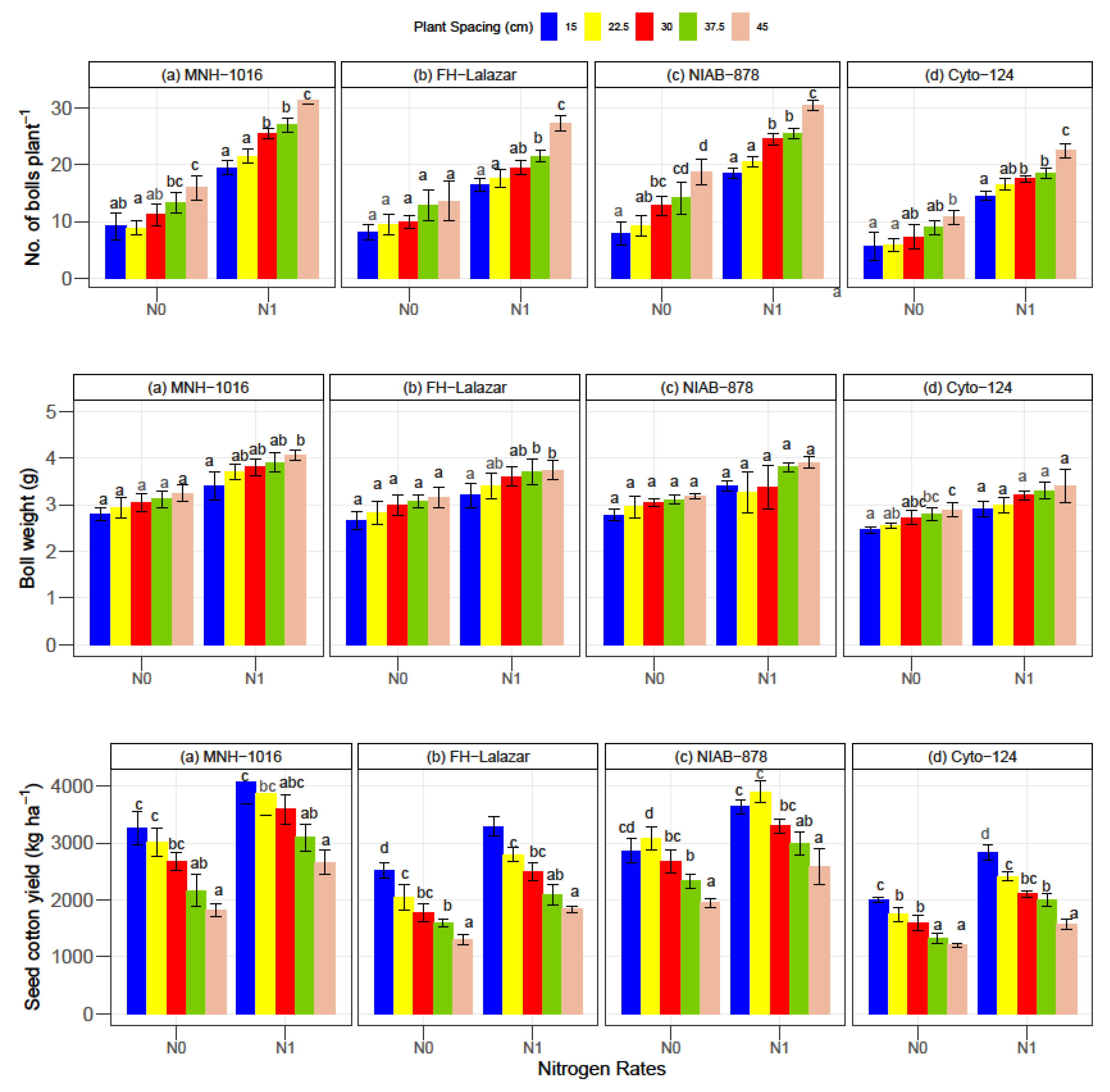
3.2. Bolls per Plant, Boll Weight and Seed Cotton Yield
3.3. Ginning out Turn Staple Length and Fiber Fineness
3.4. Photosynthetic Rate, Stomatal Conductance and Chlorophyll Content
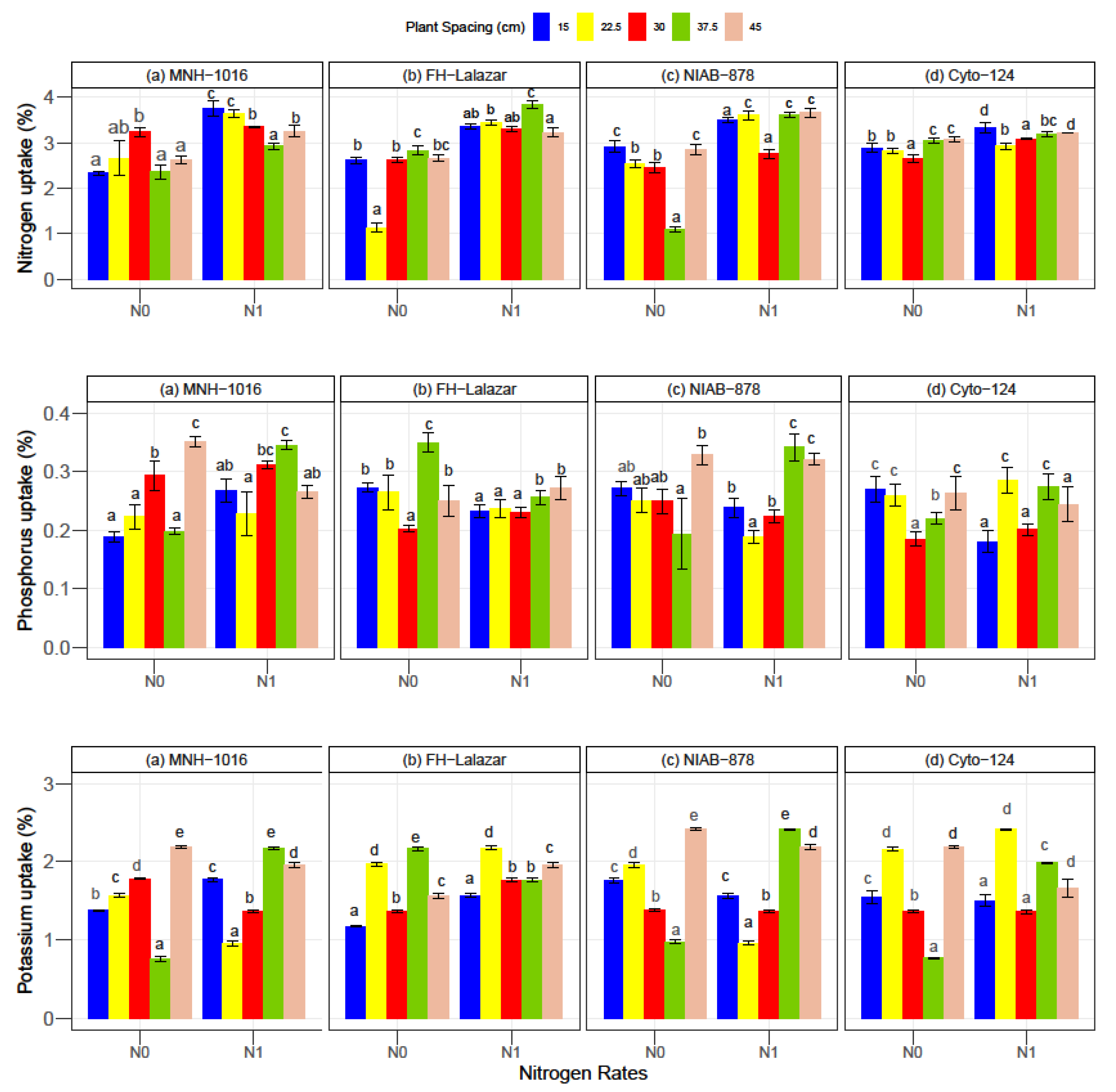
3.5. Nitrogen, Phosphorus and Potassium Uptake in Plants
4. Discussion
5. Conclusions
Author Contributions
Funding
Institutional Review Board Statement
Informed Consent Statement
Data Availability Statement
Acknowledgments
Conflicts of Interest
References
- Anonymous. Economics Survey of Pakistan, 2016–17; Ministry of Food, Agriculture and Livestock, Finance Advisors Wing: Islamabad, Pakistan, 2017; p. 3.
- Anonymous. Economics Survey of Pakistan, 2019–20; Ministry of Food, Agriculture and Livestock, Finance Advisors Wing: Islamabad, Pakistan, 2020; p. 20.
- Owen Gwathmey, C.; Chism Craig, C., Jr. Managing earliness in cotton with mepiquat type growth regulators. Crop Manag. 2003, 2, 1–8. [Google Scholar] [CrossRef]
- Zhao, W.; Wang, Y.; Zhou, Z.; Meng, Y.; Chen, B.; Oosterhuis, D.M. Effect of nitrogen rates and flowering dates on fiber quality of cotton (Gossypium hirsutum L.). J. Exp. Agric. Int. 2012, 2, 133–159. [Google Scholar] [CrossRef]
- Ali, A.; Tahir, M.; Ayub, M.; Ali, I.; Wasaya, A.; Khalid, F. Studies on the effect of plant spacing on the yield of recently approved varieties of cotton. Pak. J. Life Soc. Sci. 2009, 7, 25–30. [Google Scholar]
- Arshad, M.; Wajid, A.; Maqsood, M.; Hussain, K.; Aslam, M.; Ibrahim, M. Response of growth, yield and quality of different cotton cultivars to sowing dates. Pak. J. Agric. Sci. 2007, 44, 208–212. [Google Scholar]
- Edward, J.; Martin, D.P. Effect of sowing time on yield and quality of canola. Int. J. Crop Prod. 2009, 6, 3–5. [Google Scholar]
- Nichols, S.P.; Snipes, C.E.; Jones, M.A. Cotton growth, lint yield, and fiber quality as affected by row spacing and cultivar. J. Cotton Sci. 2004, 8, 1–12. [Google Scholar]
- Crews, T.E.; Peoples, M.B. Can the synchrony of nitrogen supply and crop demand be improved in legume and fertilizer-based agroecosystems? A review. Nutr. Cycl. Agroecosyst. 2005, 72, 101–120. [Google Scholar] [CrossRef]
- Howard, D.D.; Gwathmey, C.O.; Essington, M.E.; Roberts, R.K.; Mullen, M.D. Nitrogen fertilization of no till cotton on loess derived soils. Agron. J. 2001, 93, 157–163. [Google Scholar] [CrossRef]
- Borowski, E. The effect of nitrogenous compounds on the growth, photosynthesis and phosphorus uptake of sunflowers. In Proc. Ann. Univ. Mariae Curie-Sklodowska Sect. EEE Hortic. 2001, 9, 23–31. [Google Scholar]
- Perumai, N.K. Effect of different nitrogen levels on morpho-physiological characters and yield in rainfed cotton. Indian J. Plant Physiol. 1999, 4, 65–67. [Google Scholar]
- Gangaiah, B.; Ahlawat, I.P.S.; Babu, M. Response of nitrogen fertilization on Bt and non-Bt cotton (Gossypium hirsutum) hybrids. SAARC J. Agric. 2013, 11, 121–132. [Google Scholar] [CrossRef]
- Ali, H.; Afzal, M.N.; Ahmad, F.; Ahmad, S.; Akhtar, M.; Atif, R. Effect of sowing dates, plant spacing and nitrogen application on growth and productivity on cotton crop. Int. J. Sci. Eng. Res. 2011, 2, 1–6. [Google Scholar]
- Marfo, T.D.; Datta, R.; Pathan, S.I.; Vranová, V. Ecotone Dynamics and Stability from Soil Scientific Point of View. Diversity 2019, 11, 53. [Google Scholar] [CrossRef]
- Danso Marfo, T.; Datta, R.; Vranová, V.; Ekielski, A. Ecotone Dynamics and Stability from Soil Perspective: Forest-Agriculture Land Transition. Agriculture 2019, 9, 228. [Google Scholar] [CrossRef]
- Saleem, M.F.; Bilal, M.F.; Awais, M.; Shahid, M.; Anjum, S.A. Effect of nitrogen on seed cotton yield and fiber qualities of cotton ( Gossypium hirsutum L.) cultivars. J. Anim. Plant Sci. 2010, 20, 23–27. [Google Scholar]
- Watson, D.J. Comparative physiological studies on the growth of field crops: I. Variation in net assimilation rate and leaf area between species and varieties, and within and between years. Ann. Bot. 1947, 11, 41–76. [Google Scholar] [CrossRef]
- Bremner, J.M.; Mulvaney, C.S. Nitrogen–total. In Methods of Soil Analysis. Part 2. Chemical and Microbiological Properties; Page, A.L., Miller, R.H., Keeney, D.R., Eds.; American Society of Agronomy, Soil Science Society of America: Madison, WI, USA, 1982; pp. 595–624. [Google Scholar]
- Jackson, M.L. Soil Chemical Analysis; Prentice Hall, Inc.: Englwood Cliff, NY, USA, 1962. [Google Scholar]
- Alam, M.M.; Alam, A.K.M.; Khandker, S.; Gani, M.N.; Ahmed, S.A.; Haque, A. Fertilizer management of late jute seed production in different agro-ecological zones of Bangladesh. Pak. J. Biol. Sci 2002, 5, 410–412. [Google Scholar] [CrossRef][Green Version]
- Kumbhar, A.M.; Buriro, U.A.; Junejo, S.; Oad, F.C.; Jamro, G.H.; Kumbhar, B.A.; Kumbhar, S.A. Impact of different nitrogen levels on cotton growth, yield and N-uptake planted in legume rotation. Pak. J. Bot 2008, 40, 767–778. [Google Scholar]
- Dong, Y.; Pollock, N.; Stallmann-Jorgensen, I.S.; Gutin, B.; Lan, L.; Chen, T.C.; Keeton, D.; Petty, K.; Holick, M.F.; Zhu, H. Low 25-Hydroxyvitamin D Levels in Adolescents: Race, Season, Adiposity, Physical Activity, and Fitness. Pediatrics 2010, 125, 1104–1111. [Google Scholar] [CrossRef]
- Rinehardt, J.M.; Edmisten, K.L.; Wells, R.; Faircloth, J.C. Response of ultra-narrow and conventional spaced cotton to variable nitrogen rates. J. Plant Nutr. 2004, 27, 743–755. [Google Scholar] [CrossRef]
- Mushtaq, R.; Pundir, J.; Achilli, C.; Naji, O.; Khalaf, Y.; El-Toukhy, T. Effect of male body mass index on assisted reproduction treatment outcome: An updated systematic review and meta-analysis. Reprod. Biomed. 2018, 36, 459–471. [Google Scholar] [CrossRef] [PubMed]
- Rashidi, M.; Gholami, M. Response of yield and yield components of cotton to different rates of nitrogen fertilizer. Acad. J. Plant Sci. 2011, 4, 22–25. [Google Scholar]
- Seilsepour, M.; Rashidi, M.; Yarmohammadi-Samani, P. Response of biological growth and fiber quality of cotton to different application rates of nitrogen. Middle East J. Sci. Res. 2013, 14, 838–842. [Google Scholar]
- Iqbal, M.; Ahmad, S.; Nazeer, W.; Muhammad, T.; Khan, M.B.; Hussain, M.; Mehmood, A.; Tauseef, M.; Hameed, A.; Karim, A. High plant density by narrow plant spacing ensures cotton productivity in elite cotton (Gossypium hirsutum L.) genotypes under severe cotton leaf curl virus (CLCV) infestation. African J. Biotechnol. 2012, 11, 2869–2878. [Google Scholar]
- Khan, M.B.; Hussain, N.; Asif, M. Growth and yield of cotton as influenced by various nitrogen levels and plant population. Int. J. Agric. Biol 2001, 3, 5–7. [Google Scholar]
- Boquet, D.J.; Holman, E.M.; Brown, R.E.A.; Thomas, W.J.; Coco, A.B. Use of a chlorophyll meter to determine cover crop, rotation and N rate effect on crop N status. Proceedings 1999, 2, 1269–1271. [Google Scholar]
- Anjum, F.; Yaseen, M.; Rasool, E.; Wahid, A.; Anjum, S. Water stress in barley (Hordeum vulgare L.) on chemical composition and chlorophyl contents. Pak. J. Agric. Sci. 2003, 40, 45–49. [Google Scholar]
- Panhwar, R.B.; Akbar, A.; Panhwar, B.U.; Panhwar, G.A.; Bai-li, F. Effects of plant spacing and nitrogen fertilizer levels on cotton yield and growth. Int. J. Sci. Environ. Technol. 2018, 7, 313–324. [Google Scholar]
- Rafi, Q.; Allah, D.; Abdul, R.; Safdar, M.E.; Muhammad, S.; Javeed, H.M.R.; Amjed, A. Response of Bt. cotton to different nitrogen doses and plant spacing. Acad. J. Agric. Res. 2015, 3, 342–347. [Google Scholar]
- Siebert, J.D.; Stewart, A.M. Influence of plant density on cotton response to mepiquat chloride application. Agron. J. 2006, 98, 1634–1639. [Google Scholar] [CrossRef]
- Stephenson IV, D.O.; Barber, L.T.; Bourland, F.M. Effect of twin-row planting pattern and plant density on cotton growth, yield, and fiber quality. J. Cotton Sci. 2011, 15, 243–250. [Google Scholar]
- Alfaqeih, F.M.; Ali, A.M.; Baswaid, A.S. Effect of plant density on growth and yield of cotton. J. Nat. Appl. Sci 2002, 6, 279–285. [Google Scholar]
- Parlawar, N.D.; Jiotode, D.J.; Kubde, K.J.; Khawle, V.S.; Puri, P.D. Effect of plant geometry under hdps on crop phenology and yield contributing characters in cotton. J. Soils Crop. 2017, 27, 274–280. [Google Scholar]
- Ali, M.; Ali, L.; Sattar, M.; Ali, M.A. Response of seed cotton yield to various plant populations and planting methods. J. Agric. Res. 2010, 48, 164–169. [Google Scholar]
- Delaney, D.P.; Reeves, D.W.; Monks, C.D.; Patterson, M.G.; Mullins, G.L.; Gamble, B.E. Cover crops and tillage combinations for wide and ultra narrow row cotton. In Proceedings of the 25th Annual Southern Conservation Tillage Conference for Sustainable Agriculture, Auburn, AL, USA, 24–26 June 2002. [Google Scholar]
- Brodrick, R.; Bange, M.P.; Milroy, S.P.; Hammer, G.L. Physiological determinants of high yielding ultra-narrow row cotton: Biomass accumulation and partitioning. Field Crop. Res. 2012, 134, 122–129. [Google Scholar] [CrossRef]
- Singh, J.; Babar, S.; Abraham, S.; Venugopalan, M.V.; Majumdar, G. Fertilization of high density, rainfed cotton grown on vertisols of India. Better Crop. 2012, 96, 26–28. [Google Scholar]
- Ernest, L.; Clawson, J.; Cothren, T.; Blouin, D.C. Nitrogen fertilization and yield of cotton in ultra-narrow and conventional row spacing. Agron. J. 2006, 98, 72–79. [Google Scholar]
- Shah, T.; Kalsoom, M.; Eifediye, K.; Khan, H.A. Yield and quality characters of cotton varieties response to different plant spacing. Middle East J. Agric. Res 2017, 6, 113–118. [Google Scholar]
- Hussain, S.Z.; Sheraz, F.; Anwar, M.; Gill, M.I.; Baugh, M.D. Effect of plant density and nitrogen on the yield of seed cotton-variety CIM-443. Sarhad J. Agric. 2000, 16, 143–147. [Google Scholar]
- Shukla, U.N.; Khakare, M.S.; Bhale, V.M.; Singh, S. Plant population, nutrient uptake and yield of cotton (Gossypium hirsutum) hybrids as affected by spacing and fertility levels under rainfed condition. Indian J. Agric. Res. 2013, 47, 83–88. [Google Scholar]
- Sisodia, R.I.; Khamparia, S.K. American cotton varieties as influenced by plant densities and fertility levels under rainfed conditions. J. Cott. Res. Dev. 2007, 21, 35–40. [Google Scholar]
- Arunvenkatesh, S.; Rajendran, K. Evaluation of plant density and cotton genotypes (Gossypium hirsutum L.) on cotton yield and fibre quality. Int. J. For. Crop Improv. 2013, 4, 1–5. [Google Scholar]
- Iqbal, M.; Khan, M.A. Management of cotton leaf curl virus by planting time and plant spacing. Adv. Agric. Bot. 2010, 2, 25–33. [Google Scholar]
- Nadeem, M.A.; Ali, A.; Tahir, M.; Naeem, M.; Chadhar, A.R.; Ahmad, S. Effect of nitrogen levels and plant spacing on growth and yield of cotton. Pak. J. Life Soc. Sci. 2010, 8, 121–124. [Google Scholar]
- Boquet, D.J. Cotton in ultra narrow row spacing: Plant density and nitrogen fertilizer rates. Agron. J. 2005, 97, 279–287. [Google Scholar] [CrossRef]
- Dai, J.; Li, W.; Tang, W.; Zhang, D.; Li, Z.; Lu, H.; Eneji, A.E.; Dong, H. Manipulation of dry matter accumulation and partitioning with plant density in relation to yield stability of cotton under intensive management. Field Crop. Res. 2015, 180, 207–215. [Google Scholar] [CrossRef]
- Luo, J.; Zhou, J.; Li, H.; Shi, W.; Polle, A.; Lu, M.; Sun, X.; Luo, Z.-B. Global poplar root and leaf transcriptomes reveal links between growth and stress responses under nitrogen starvation and excess. Tree Physiol. 2015, 35, 1283–1302. [Google Scholar] [CrossRef] [PubMed]
- Wankhade, S.T.; Turkhade, A.B.; Katkar, R.N.; Sakhare, B.A.; Solanke, V. Effect of plant population on growth and yield of G. hirsutum cotton variety PKV Rajat under drip. PKY Res. J. 2002, 26, 124–126. [Google Scholar]
- Faircloth, J.C.; Edmisten, K.L.; Wells, R.; Stewart, A.M. The influence of defoliation timing on yields and quality of two cotton cultivars. Crop Sci. 2004, 44, 165–172. [Google Scholar] [CrossRef]
- Moll, R.H.; Kamprath, E.J.; Jackson, W.A. Analysis and interpretation of factors which contribute to efficiency of nitrogen utilization 1. Agron. J. 1982, 74, 562–564. [Google Scholar] [CrossRef]



| Effect | Plant Height | Monopodial Branches | Sympodial Branches | Leaf Area | Nodes Plant−1 | Bolls Plant−1 | Boll Weight | Seed Cotton Yield | GOT |
| Variety (V) | <0.001 | 0.320 | <0.001 | <0.001 | <0.001 | <0.001 | <0.001 | <0.001 | <0.001 |
| Plant spacing (P) | 0.110 | <0.001 | <0.001 | <0.001 | <0.001 | <0.001 | <0.001 | <0.001 | 0.660 |
| Nitrogen rates (N) | <0.001 | <0.001 | <0.001 | <0.001 | <0.001 | <0.001 | <0.001 | <0.001 | 0.040 |
| V× P | 0.040 | 1.000 | 0.570 | <0.001 | 0.300 | 0.040 | 0.980 | <0.001 | 0.410 |
| V × N | 0.300 | 0.660 | 0.110 | 0.070 | 0.180 | <0.001 | 0.070 | 0.060 | 1.000 |
| P × N | 0.230 | 0.360 | 0.880 | <0.001 | 0.850 | <0.001 | 0.720 | 0.390 | 0.970 |
| V ×P × N | 0.550 | 1.000 | 0.700 | <0.001 | 1.000 | 0.730 | 0.960 | 0.930 | 0.990 |
| Effect | Staple Length | Micronaire | Photosynthetic Rate | Stomatal Conductance | Chlorophyll Contents | Nitrogen Uptake | Phosphorus Uptake | Potassium Uptake | |
| Variety (V) | <0.001 | <0.001 | <0.001 | <0.001 | <0.001 | <0.001 | <0.001 | <0.001 | |
| Plant spacing (P) | <0.001 | <0.001 | <0.001 | <0.001 | <0.001 | <0.001 | <0.001 | <0.001 | |
| Nitrogen rates (N) | <0.001 | <0.001 | <0.001 | <0.001 | <0.001 | <0.001 | 0.28 | <0.001 | |
| V× P | <0.001 | <0.001 | <0.001 | <0.001 | <0.001 | <0.001 | <0.001 | <0.001 | |
| V × N | <0.001 | 0.75 | <0.001 | <0.001 | 0.340 | <0.001 | <0.001 | <0.001 | |
| P × N | <0.001 | 0.20 | <0.001 | <0.001 | 0.160 | <0.001 | <0.001 | <0.001 | |
| V ×P × N | <0.001 | <0.001 | <0.001 | <0.001 | 0.600 | <0.001 | <0.001 | <0.001 |
| Factors | Plant Height (cm) | Monopodial Branches | Sympodial Branches | Leaf Area (cm2) | Nodes Plant−1 |
|---|---|---|---|---|---|
| Nitrogen Rate Effect | |||||
| N0 (0 kg N ha−1) | 130.57 ± 11.21b | 1.28 ± 0.28b | 19.46 ± 2.83a | 228.75 ± 24.95b | 26.63 ± 4.36b |
| N1 (197 kg N ha−1) | 158.73 ± 15.42a | 1.60 ± 0.35a | 16.61 ± 3.38b | 266.08 ± 33.30a | 29.60 ± 4.67a |
| Plant × Plant Spacing | |||||
| 15.0 cm | 149.26 ± 27.56a | 1.14 ± 0.25d | 19.7 ± 3.169a | 279.58 ± 32.99c | 23.25 ± 3.70d |
| 22.5 cm | 145.61 ± 16.70a | 1.29 ± 0.30d | 19.04 ± 2.62ab | 268.75 ± 27.39bc | 25.62 ± 3.80c |
| 30.0 cm | 141.98 ± 18.04a | 1.47 ± 0.26bc | 17.83 ± 2.95b | 244.04 ± 26.51b | 29.00 ± 3.65b |
| 37.5 cm | 143.72 ± 17.04a | 1.59 ± 0.32ab | 17.54 ± 3.24bc | 230.42 ± 20.59c | 30.62 ± 3.49ab |
| 45.0 cm | 142.68 ± 16.62a | 1.71 ± 0.31a | 16.00 ± 3.93c | 214.29 ± 16.81d | 32.08 ± 4.76a |
| Varietal Effect | |||||
| MNH-1016 | 156.16 ± 23.53a | 1.39 ± 0.32a | 20.23 ± 2.59a | 236 ± 39.37c | 29.16 ± 4.55a |
| FH-Lalazar | 141.84 ± 14.77b | 1.42 ± 0.33a | 19.80 ± 2.72a | 245 ± 30.02bc | 27 ± 4.80b |
| NIAB-878 | 137.60 ± 17.34b | 1.43 ± 0.37a | 16.33 ± 3.05b | 250 ± 67.84ab | 29.90 ± 4.04a |
| Cyto-124 | 143.01 ± 16.97b | 1.52 ± 0.38a | 15.80 ± 2.85b | 257 ± 29.25a | 26.40 ± 4.83b |
| Factors | Got | Staple | Micoonaire |
|---|---|---|---|
| Nitrogen Rates Effect | |||
| N0 (0 kg N ha−1) | 31.30 ± 5.25a | 21.64 ± 2.85b | 3.59 ± 0.53b |
| N1 (197 kg N ha−1) | 32.34 ± 5.10b | 24.55 ± 3.88a | 4.59 ± 0.41a |
| Plant × Plant Spacing effect | |||
| 15.0 cm | 31.81 ± 5.21a | 20.56 ± 2.66e | 4.20 ± 0.56ab |
| 22.5 cm | 31.64 ± 5.47a | 21.93 ± 3.00d | 4.32 ± 0.63ab |
| 30.0 cm | 31.46 ± 4.39a | 23.16 ± 3.42c | 4.19 ± 0.59ab |
| 37.5 cm | 31.61 ± 5.35a | 24.36 ± 3.56b | 4.07 ± 0.49b |
| 45.0 cm | 32.58 ± 5.73a | 25.47 ± 3.79a | 4.40 ± 0.66a |
| Varietal effect | |||
| MNH-1016 | 34.66 ± 2.67a | 24.17 ± 3.46b | 4.83 ± 0.60a |
| FH-Lalazar | 35.45 ± 2.52a | 21.88 ± 2.99c | 4.03 ± 0.44b |
| NIAB-878 | 32.862.65b | 25.57 ± 3.72a | 4.07 ± 0.48b |
| Cyto-124 | 24.31 ± 2.87c | 20.76 ± 2.54d | 4.01 ± 0.40b |
| Factors | Photosynthetic Rate | Stomatal Conductance | Chlorophyll Contents |
|---|---|---|---|
| Nitrogen Rates Effect | |||
| N0 (0 kg N ha−1) | 12.57 ± 4.83b | 89.08 ± 64.78b | 62.02 ± 26.08b |
| N1 (197 kg N ha−1) | 22.42 ± 8.68a | 119.36 ± 41.21a | 81.97 ± 24.00a |
| Plant × Plant Spacing effect | |||
| 15.0 cm | 9.54 ± 3.85e | 150.05 ± 30.39a | 80.24 ± 26.74a |
| 22.5 cm | 12.80 ± 4.40d | 122.39 ± 26.73b | 73.15 ± 27.51a |
| 30.0 cm | 17.01 ± 5.67c | 97.06 ± 39.15c | 71.63 ± 24.90a |
| 37.5 cm | 21.90 ± 7.02b | 78.44 ± 29.59d | 73.71 ± 25.05a |
| 45.0 cm | 26.23 ± 8.67ab | 73.18 ± 17.96d | 78.74 ± 25.68a |
| Varietal effect | |||
| MNH-1016 | 18.20 ± 9.11ab | 110.94 ± 34.95ab | 66.60 ± 26.30b |
| FH-Lalazar | 16.91 ± 7.53bc | 117.08 ± 30.28a | 81.21 ± 24.77ab |
| NIAB-878 | 19.34 ± 9.95a | 100.13 ± 31.72bc | 85.15 ± 23.33a |
| Cyto-124 | 15.5 ± 7.36bc | 88.74 ± 61.42c | 69.03 ± 24.97a |
Publisher’s Note: MDPI stays neutral with regard to jurisdictional claims in published maps and institutional affiliations. |
© 2021 by the authors. Licensee MDPI, Basel, Switzerland. This article is an open access article distributed under the terms and conditions of the Creative Commons Attribution (CC BY) license (https://creativecommons.org/licenses/by/4.0/).
Share and Cite
Zaman, I.; Ali, M.; Shahzad, K.; Tahir, M.S.; Matloob, A.; Ahmad, W.; Alamri, S.; Khurshid, M.R.; Qureshi, M.M.; Wasaya, A.; et al. Effect of Plant Spacings on Growth, Physiology, Yield and Fiber Quality Attributes of Cotton Genotypes under Nitrogen Fertilization. Agronomy 2021, 11, 2589. https://doi.org/10.3390/agronomy11122589
Zaman I, Ali M, Shahzad K, Tahir MS, Matloob A, Ahmad W, Alamri S, Khurshid MR, Qureshi MM, Wasaya A, et al. Effect of Plant Spacings on Growth, Physiology, Yield and Fiber Quality Attributes of Cotton Genotypes under Nitrogen Fertilization. Agronomy. 2021; 11(12):2589. https://doi.org/10.3390/agronomy11122589
Chicago/Turabian StyleZaman, Ishrat, Muqarrab Ali, Khurram Shahzad, Muhammad Saeed Tahir, Amar Matloob, Wazir Ahmad, Saud Alamri, Muhammad Rizwan Khurshid, Muhammad Mubashir Qureshi, Allah Wasaya, and et al. 2021. "Effect of Plant Spacings on Growth, Physiology, Yield and Fiber Quality Attributes of Cotton Genotypes under Nitrogen Fertilization" Agronomy 11, no. 12: 2589. https://doi.org/10.3390/agronomy11122589
APA StyleZaman, I., Ali, M., Shahzad, K., Tahir, M. S., Matloob, A., Ahmad, W., Alamri, S., Khurshid, M. R., Qureshi, M. M., Wasaya, A., Baig, K. S., Siddiqui, M. H., Fahad, S., & Datta, R. (2021). Effect of Plant Spacings on Growth, Physiology, Yield and Fiber Quality Attributes of Cotton Genotypes under Nitrogen Fertilization. Agronomy, 11(12), 2589. https://doi.org/10.3390/agronomy11122589

