The Impact of Training Systems on Productivity and GHG Emissions from Grapevines in the Sughd Region in Northern Tajikistan
Abstract
1. Introduction
2. Materials and Methods
2.1. Field Trial Design and Treatments
2.2. Measurements
2.3. Statistical Analysis
3. Results and Discussion
3.1. Development and Growth
3.2. Yield and Productivity
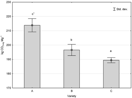
3.3. GHG Emissions
4. Conclusions
Author Contributions
Funding
Conflicts of Interest
References
- Rashidov, N.D. Intensification of the production of vineyards by the application of paired landing. Int. Agric. J. MSHG. 2019, 2, 30–35. (In Russian) [Google Scholar]
- Rashidov, N.D. The productivity of the cultivation of vineyards with high stem, using paired landings. Bull. Tajik Natl. Univ. Ser. Nat. Sci. 2017, 1, 76–79. (In Russian) [Google Scholar]
- Rashidov, N.; Chowaniak, M.; Niemiec, M. Assessment of the impact of differences in fertilization on selected yield indices for grapes in the Sughd Region of Tajikistan. J. Elem. 2020, 25. [Google Scholar] [CrossRef]
- Niemiec, M.; Chowaniak, M.; Zuzek, D.; Komorowska, M.; Mamurovich, G.S.; Gafurovich, K.K.; Usmanov, N.; Kamilova, D.; Rahmonova, J.; Rashidov, N. Evaluation of the chemical composition of soil as well as vine leaves and berries from the selected commercial farms in the republic of Tajikistan. J. Elem. 2020, 25, 675–686. [Google Scholar] [CrossRef]
- Reynolds, A.G.; Vanden Heuvel, J.E. Influence of grapevine training systems on vine growth and fruit composition: A review. Am. J. Enol. Vitic. 2009, 60, 251–268. [Google Scholar]
- Schultz, H. Grape canopy structure, light microclimate and photosynthesis. I. A two-dimensional model of the spatial distribution of surface area densities and leaf ages in two canopy systems. Vitis 1995, 34, 211–215. [Google Scholar]
- Archer, E.; Strauss, H.C. The effect of vine spacing on the vegetative and reproductive performance of vitis vinif era L. (cv. Pinot noir). S. Afr. J. Enol. Vitic. 1991, 12, 70–76. [Google Scholar]
- Greer, D.H.; Weedon, M.M. The impact of high temperatures on Vitis vinifera cv. Semillon grapevine performance and berry ripening. Front. Plant Sci. 2013, 4, 491. [Google Scholar] [CrossRef] [PubMed]
- Morris, J.R.; Cawthon, D.L.; Sims, C.A. Long-term effects of pruning severity, nodes per bear unit, training system, and shoot positioning on yield and quality of ‘Concord’ grapes. J. Am. Soc. Hortic. Sci. 1984, 109, 676–683. [Google Scholar]
- Shaulis, N.J.; Lemon, E.R. The effect of Concord vineyard microclimate on yield. II. The interrelations between microclimate and yield expression. Am. J. Enol. Vitic. 1982, 33, 109–116. [Google Scholar]
- Van Leeuwen, C.; Destrac, A. Modified grape composition under climate change conditions requires adaptations in the vineyard. Oeno One 2017, 51, 147–154. [Google Scholar] [CrossRef]
- Szeląg-Sikora, A.; Sikora, J.; Niemiec, M.; Gródek-Szostak, Z.; Kapusta-Duch, J.; Kuboń, M.; Komorowska, M.; Karcz, J. Impact of Integrated and Conventional Plant Production on Selected Soil Parameters in Carrot Production. Sustainability 2019, 11, 5612. [Google Scholar] [CrossRef]
- Sikora, J.; Niemiec, M.; Tabak, M.; Gródek-Szostak, Z.; Szeląg-Sikora, A.; Kuboń, M.; Komorowska, M. Assessment of the efficiency of nitrogen slow-release fertilizers in integrated production of carrot depending on fertilization strategy. Sustainability 2020, 12, 1982. [Google Scholar] [CrossRef]
- Niemiec, M.; Chowaniak, M.; Sikora, J.; Szeląg-Sikora, A.; Gródek-Szostak, Z.; Komorowska, M. Selected Properties of Soils for Long-Term Use in Organic Farming. Sustainability 2020, 12, 2509. [Google Scholar] [CrossRef]
- Chowaniak, M.; Klima, K.; Niemiec, M. Impact of slope gradient, tillage system, and plant cover on soil losses of calcium and magnesium. J. Elem. 2016, 21, 361–372. [Google Scholar] [CrossRef]
- Niemiec, M.; Komorowska, M.; Szeląg-Sikora, A.; Sikora, J.; Kuboń, M.; Gródek-Szostak, Z.; Kapusta-Duch, J. Risk Assessment for social practices in small vegetablefarms in Poland as a tool for the optimization of quality management systems. Sustainability 2019, 11, 1913. [Google Scholar] [CrossRef]
- Ardente, F.; Beccali, G.; Cellura, M.; Marvuglia, A. A case study of an Italian wine-producing firm. Environ. Manag. 2006, 38, 350–364. [Google Scholar] [CrossRef]
- Barber, N.; Taylor, C.; Strick, S. Wine consumers environmental knowledge and attitudes: Influence on willingness to purchase. Int. J. Wine Res. 2009, 1, 59–72. [Google Scholar] [CrossRef]
- Aranda, A.; Scarpellini, S.; Zabalza, I. Economic and environmental analysis of the wine bottle production in Spain by means of life cycle assessment. Int. J. Agric. Resour. Gov. Ecol. 2005, 4, 178–191. [Google Scholar] [CrossRef]
- Gazulla, C.; Raugei, M.; Fullana-i-Palmer, P. Taking a life cycle look at crianza wine production in Spain: Where are the bottlenecks? Int. J. Life Cycle Assess. 2010, 15, 330–337. [Google Scholar] [CrossRef]
- IUSS Working Group WRB. World Reference Base for Soil Resources 2014, Update 2015. World Soil Resources Reports; FAO: Rome, Italy, 2015; p. 203. [Google Scholar]
- Belaid, A.; Farouk, A.; Ahmed, A. Inter-varietal differences in grapevine bud fertility and grape fruit quality of between local and introduced cultivars (Vitis vinifera L.) grown under sub-humid environment. Int. J. Adv. Res. Rev. 2015, 4, 214–220. [Google Scholar]
- Gutiérrez-Gamboa, G.; Díaz-Gálvez, I.; Moreno-Simunovic, Y. Efects of bud nodal position along the caneon bud fertility, yield component and bunch structure in ‘Carmenère’ grapevines. Chil. J. Agric. Res. 2018, 78, 580–586. [Google Scholar] [CrossRef]
- ISO 14040. Environmental Management-Life Cycle Assessment-Principles and Framework; ISO: Geneva, Switzerland, 2006. [Google Scholar]
- IPCC. Agriculture, Forestry and Other Land Use. In Guidelines for National Greenhouse Gas Inventories; Intergovernmental Panel on Climate Change: Geneva, Switzerland, 2006; Volume 4. [Google Scholar]
- Sikora, J.; Niemiec, M.; Szeląg-Sikora, A.; Gródek-Szostak, Z.; Kuboń, M.; Komorowska, M. The Impact of a Controlled-Release Fertilizer on Greenhouse Gas Emissions and the Efficiency of the Production of Chinese Cabbage. Energies 2020, 13, 2063. [Google Scholar] [CrossRef]
- Kool, A.; Marinussen, M.; Blonk, H. LCI Data for the Calculation Tool Feedprint for Greenhouse Gas Emissions of Feed Production and Utilization GHG Emissions of N, P and K Fertilizer Production; Blonk Consultants: Gouda, Poland, 2012. [Google Scholar]
- Audsley, E.; Stacey, K.F.; Parsons, D.J.; Williams, A.G. Estimation of the Greenhouse Gas Emissions from Agricultural Pesticide Manufacture and Use; Cranfield University: Bedford, UK, 2009; Available online: https://dspace.lib.cranfield.ac.uk/bitstream/1826/3913/1/Estimation_of_the_greenhouse_gas_emissions_from_agricultural_pesticide_manufacture_and_use-2009.pdf (accessed on 25 April 2020).
- Forster, P. Changes in Atmospheric Constituents and Radiative Forcing, UN, IPCC Fourth Assessment; Intergovernmental Panel on Climate Change: Geneva, Switzerland, 2007; p. 212. [Google Scholar]
- Available online: https://www.biograce.net/content/ghgcalculationtools/additionalstandardvalues (accessed on 25 April 2020).
- Bordelon, B.P.; Skinkis, P.A.; Howard, P.H. Impact of training system on vine performance and fruit composition of ‘Traminette’. Am. J. Enol. Vitic. 2008, 59, 39–46. [Google Scholar]
- Wimmer, M.; Workmaster, B.A.; Atucha, A. Training systems for cold climate interspecific hybrid grape cultivars in northern climate regions. Horttechnology 2018, 28, 202–211. [Google Scholar] [CrossRef]
- Sánchez, L.A.; Dokoozlian, N.K. Bud Microclimate and Fruitfulness in Vitis vinifera L. Am. J. Enol. Vitic. 2005, 56, 319–329. [Google Scholar]
- Kliewer, W.M.; Nick, K.; Dokoozlian, N.K. Leaf Area/Crop Weight Ratios of Grapevines: Influence on Fruit Composition and Wine Quality. Am. J. Enol. Vitic. 2005, 56, 170–181. [Google Scholar]
- Williams, L.E. Bud development and fruitfulness of grapevines. In Raisin Production Manual; Christensen, L.P., Ed.; University of California Division of Agriculture and Natural Resources: Oakland, CA, USA, 2000; pp. 24–29. [Google Scholar]
- Li-Mallet, A.; Rabot, A.; Geny-Denis, L. Factors Controlling Inflorescence Primordia Formation of Grapevine: What Role in Latent Bud Fruitfulness?–A Review. Can. J. Bot. 2015, 94, 1–17. [Google Scholar] [CrossRef]
- Van den Heuvel, J.E.; Proctor, J.T.A.; Sullivan, J.A.; Fisher, K.H. Influence of training/trellising system and rootstock selection on productivity and fruit composition of Chardonnay and Cabernet franc grapevines in Ontario, Canada. Am. J. Enol. Vitic. 2004, 55, 253–264. [Google Scholar]
- Bavougian, C.M.; Read, P.E.; Walter-Shea, E. Training system effects on sunlight penetration. canopy structure. yield. and fruit characteristics of ‘Frontenac’ grapevine (Vitis spp.). Int. J. Fruit Sci. 2012, 12, 402–409. [Google Scholar] [CrossRef]
- Van Leeuwen, C.; Pieri, P.; Gowdy, M.; Ollat, N.; Roby, J.P. Reduced density is an environmental friendly and cost effective solution to increase resilience to drought in vineyards in a context of climate change. OENO One 2019, 53, 129–146. [Google Scholar] [CrossRef]
- Champagnol, F. Elements de Physiologie de la Vigne et de Viticulture Generale; Champagnol, F., Ed.; S.A.R.L. imprimerie Dehan: Montpellier, France, 1984; pp. 1–351. [Google Scholar]
- Reshef, N.; Agam, N.; Fait, A. Grape Berry Acclimation to Excessive Solar Irradiance Leads to Repartitioning between Major Flavonoid Groups. J. Agric. Food Chem. 2018, 66, 3624–3636. [Google Scholar] [CrossRef]
- Reshef, N.; Walbaum, N.; Agam, N.; Fait, A. Sunlight Modulates Fruit Metabolic Profile and Shapes the Spatial Pattern of Compound Accumulation within the Grape Cluster. Front. Plant Sci. 2017, 1, 70. [Google Scholar] [CrossRef]
- Rienth, M.; Torregrosa, L.; Sarah, G.; Ardisson, M.; Brillouet, J.M.; Romieu, C. Temperature desynchronizes sugar and organic acid metabolism in ripening grapevine fruits and remodels their transcriptome. BMC Plant Biol. 2016, 16, 164. [Google Scholar] [CrossRef] [PubMed]
- Parker, A.; Hofmann, R.; Van Leeuwen, C.; McLachlan, A.; Trought, M. Manipulating the leaf area to fruit mass ratio alters the synchrony of total soluble solids accumulation and titratable acidity of grape berries. Aust. J. Grape Wine Res. 2015, 21, 266–276. [Google Scholar] [CrossRef]
- Sabbatini, P.; Wierba, K.; Clearwater, L.; Howell, G.S. Impact of training system and pruning severity on yield, fruit composition, and vegetative growth of ‘Niagara’ grapevines in Michigan. Int. J. Fruit Sci. 2015, 15, 237–250. [Google Scholar] [CrossRef]
- Menezes Feitosa, C.A.; Mesquita, A.C.; Pavesi, A.; Menezes Feitosa, C.V. Bud load management on table grape yield and quality–cv. Sugrathirteen (Midnight Beauty®). Bragantia 2018, 77, 77–589. [Google Scholar] [CrossRef]
- Venkat, K. Comparison of twelve organic and conventional farming systems: A life cycle greenhouse gas emissions perspective. J. Sustain. Agric. 2012, 36, 620–649. [Google Scholar]
- Balafoutis, A.; Koundouras, S.; Anastasiou, E.; Fountas, S.; Arvanitis, K. Life cycle assessment of two vineyards after the application of precision viticulture techniques: A case study. Sustainability 2017, 9, 1997. [Google Scholar] [CrossRef]
- Agency for Hydrometeorology under the Committee on Environmental Protection under the Government of the Republic of Tajikistan. The First Biennial Report of the Republic of Tajikistan on Inventory of Greenhouse Gases under the UN Framework Convention on Climate Change; Government of the Republic of Tajikistan: Dushanbe, Republic of Tajikistan, 2018; pp. 26–27.
- Niemiec, M.; Chowaniak, M.; Zuzek, D.; Komorowska, M.; Mamurovich, G.S.; Gafurovich, K.K.; Usmanov, N.; Kamilova, D.; Rahmonova, J.; Rashidov, N. Effect of the nitrogen fertilization on yield of grapes and fertilization efficiency in Gissar Valley of the Republic of Tajikistan. J. Elem. 2020, 26, 1. [Google Scholar] [CrossRef]
- Arrobas, M.; Ferreira, I.Q.; Freitas, S.; Verdial, J.; Rodrigues, M. Guidelines for fertilizer use in vineyards based on nutrient content of grapevine parts. Sci. Hortic. 2014, 172, 191–198. [Google Scholar] [CrossRef]






| 2016 | 2017 | 2018 | ||||
|---|---|---|---|---|---|---|
| P1 [mm] | T2 [°C] | P [mm] | T [°C] | P [mm] | T [°C] | |
| january | 13.3 | 4.3 | 29.7 | 1.8 | 2.3 | 1.0 |
| february | 2.2 | 6.5 | 29.6 | 2.5 | 20.2 | 3.8 |
| march | 28.8 | 13.3 | 31.8 | 8.1 | 57.9 | 12.4 |
| april | 6.2 | 16.8 | 40.9 | 14.9 | 6.6 | 15.9 |
| may | 64.4 | 22.5 | 18.4 | 23.9 | 17.6 | 21.3 |
| june | 4.8 | 27.6 | 0.8 | 28.2 | 19.2 | 26.5 |
| july | 8.7 | 29.0 | - | 29.5 | - | 30.5 |
| august | - | 28.0 | 0.3 | 27.0 | - | 27.0 |
| september | - | 24.3 | 7.2 | 22.5 | 0.7 | 21.6 |
| october | 23.4 | 12.9 | 13.8 | 14.7 | 21.4 | 10.5 |
| november | 29.2 | 4.7 | 4.5 | 9.9 | 22.6 | 7.7 |
| december | 28.4 | 3.6 | 10.3 | 1.6 | 14.9 | 0.3 |
| Soil Layer (cm) | pH | C org % | N | P | K | Bulk Density, g cm−3 | Particle Density, g cm−3 |
|---|---|---|---|---|---|---|---|
| mg kg−1 | |||||||
| 0–25 | 7.1 | 0.51 | 370 | 910 | 1693 | 1.60 | 2.54 |
| 25–50 | 7.0 | 0.27 | 240 | 690 | 1751 | 1.90 | 2.63 |
| 50–75 | 6.9 | 0.18 | 180 | 600 | 1834 | 1.95 | 2.63 |
| 75–100 | 6.7 | 0.09 | 180 | 540 | 1759 | 2.04 | 2.37 |
| Training System | 2016 | 2017 | 2018 | Mean |
|---|---|---|---|---|
| Buds pcs. plant−1 | ||||
| A | 80.4 ± 1.72a1 | 80.1 ± 1.56a | 78.3 ± 2.97a | 79.62 ± 1.10a |
| B | 80.5 ± 1.81a | 80.3 ± 1.28a | 78.9 ± 1.43a | 79.94 ± 0.86a |
| C | 82.4 ± 1.76b | 81.7 ± 1.34b | 81.6 ± 1.52b | 81.91 ± 0.51b |
| Shoots pcs. plant−1 | ||||
| A | 63.4 ± 0.16a | 63.2 ± 0.56a | 63.0 ± 0.69a | 63.2 ± 0.18a |
| B | 64.3 ± 0.95a | 64.0 ± 1.12a | 63.8 ± 1.52a | 64.0 ± 0.46a |
| C | 66.4 ± 0.63b | 65.7 ± 0.55b | 65.3 ± 0.74b | 65.8 ± 0.61b |
| Fruiting shoots pcs. plant−1 | ||||
| A | 33.4 ± 1.68a | 33.0 ± 1.23a | 32.4 ± 1.48a | 32.9 ± 0.63a |
| B | 33.9 ± 1.33a | 33.4 ± 2.10a | 32.9 ± 1.34a | 33.4 ± 0.73a |
| C | 40.4 ± 1.52b | 40.3 ± 1.32b | 40.3 ± 1.79b | 40.3 ± 0.53b |
| Practical bud fertility | ||||
| A | 0.61 ± 0.09ab | 0.59 ± 0.07a | 0.55 ± 0.06a | 0.58 ± 0.07a |
| B | 0.54 ± 0.07a | 0.55 ± 0.08a | 0.52 ± 0.09a | 0.54 ± 0.05a |
| C | 0.67 ± 0.10b | 0.68 ± 0.05b | 0.64 ± 0.05b | 0.68 ± 0.08b |
| Training System | 2016 | 2017 | 2018 | Mean |
|---|---|---|---|---|
| Bunches pcs. plant−1 | ||||
| A | 38.4 ± 2.99b1 | 37.0 ± 1.32b | 34.7 ± 1.71b | 36.7 ± 1.72b |
| B | 34.7 ± 3.63a | 35.3 ± 1.68a | 32.9 ± 1.54a | 32.9 ± 1.44a |
| C | 45,8 ± 1.42c | 45.0 ± 2.14c | 41.6 ± 1.41c | 43.8 ± 1.23c |
| Average mass (g) of bunch | ||||
| A | 304 ± 6.7a | 300 ± 7.7a | 295 ± 8.3a | 300 ± 1.9a |
| B | 354 ± 1.5b | 353 ± 1.0b | 351 ± 3.0b | 353 ± 1.7b |
| C | 383 ± 2.2c | 381 ± 1.3c | 380 ± 1.7c | 381 ± 1.4c |
| YIPF | ||||
| A | 184 ± 10.6a | 176 ± 14.2a | 162 ± 8.7a | 173 ± 12.0a |
| B | 191 ± 8.4a | 195 ± 15.1b | 181 ± 5.4b | 189 ± 10.5b |
| C | 258 ± 11.3b | 261 ± 7.2c | 242 ± 13.7c | 258 ± 10.9c |
| Yield kg plant−1 | ||||
| A | 11.5 ± 0.77a | 11.1 ± 0.42a | 10.4 ± 0.40a | 11.0 ± 0.52a |
| B | 12.3 ± 0.41b | 12.4 ± 0.34b | 11.6 ± 0.36b | 12.1 ± 0.33b |
| C | 17.2 ± 0.69c | 17.1 ± 0.47c | 15.8 ± 0.49c | 16.7 ± 0.61c |
| Yield Mg ha−1 | ||||
| A | 18.4 ± 0.34a | 18.6 ± 0.21a | 18.2 ± 0.21a | 18.4 ± 0.21a |
| B | 19.9 ± 0.22b | 20.3 ± 0.24b | 20.1 ± 0.13b | 20.1 ± 0.23b |
| C | 21.0 ± 0.27c | 20.9 ± 0.22c | 20.8 ± 0.24c | 20.9 ± 0.09c |
| Training System | 2016 | 2017 | 2018 | Mean |
|---|---|---|---|---|
| Sugar content % | ||||
| A | 18.4 ± 0.45b1 | 18.5 ± 0.67b | 18.6 ± 0.81b | 18.5 ± 0.51b |
| B | 18.0 ± 0.29b | 18.1 ± 0.41ab | 18.2 ± 0.37b | 18.1 ± 0.44ba |
| C | 17.5 ± 0.38a | 17.7 ± 0.22a | 17.7 ± 0.44a | 17.6 ± 0.19a |
| Total acidity % | ||||
| A | 0.50 ± 0.158a | 0.60 ± 0.135a | 0.55 ± 0.145a | 0.55 ± 0.124a |
| B | 0.52 ± 0.143a | 0.59 ± 0.141a | 0.63 ± 0.108a | 0.58 ± 0.091a |
| C | 0.64 ± 0.113a | 0.66 ± 0.127a | 0.68 ± 0.119a | 0.66 ± 0.083a |
| Dry mass % | ||||
| A | 19.3 ± 1.51a | 21.9 ± 0.88a | 21.0 ± 0.80a | 21.6 ± 1.2a |
| B | 19.9 ± 0.82a | 20.4 ± 0.57a | 21.8 ± 0.68a | 20.6 ± 0.6a |
| C | 20.3 ± 1.13a | 21.6 ± 0.60a | 22.9 ± 0.71a | 20.7 ± 0.3a |
| Agrochemicals | ||
|---|---|---|
| Type of agrochemicals | kg CO2-eq kg−1 | kg CO2-eq ha−1 |
| Ammonium nitrate | 9.280 | 1856.0 |
| Triple superphosphate | 0.440 | 100.3 |
| Potassium salt | 0.680 | 81.9 |
| Pesticides | 10.97 | 93.2 |
| Agricultural treatments | ||
| Type of agricultural treatment | Diesel use [dm3 ha−1] | kg CO2-eq ha−1 |
| Cultivation with an aggregate 2× | 40.0 | 127.7 |
| Mineral fertilization 3× | 17.8 | 55.5 |
| Application of plant protection products. 4 × | 24.0 | 76.6 |
| Field transport | 7.0 | 22.3 |
| Other | ||
| Irrigation [KWh] | 6562.5 | 108.7 |
| N2O–N emissions produced from managed soils, biomass, fertilizers | 1002.7–“A” 1009.5–“B” 1012.7–“C” | |
| Emission related with organic matter mineralization (soil, crop residue) | 1002.7–“A” 1009.5–“B” 1012.7–“C” | |
© 2020 by the authors. Licensee MDPI, Basel, Switzerland. This article is an open access article distributed under the terms and conditions of the Creative Commons Attribution (CC BY) license (http://creativecommons.org/licenses/by/4.0/).
Share and Cite
Chowaniak, M.; Rashidov, N.; Niemiec, M.; Gambuś, F.; Lepiarczyk, A. The Impact of Training Systems on Productivity and GHG Emissions from Grapevines in the Sughd Region in Northern Tajikistan. Agronomy 2020, 10, 818. https://doi.org/10.3390/agronomy10060818
Chowaniak M, Rashidov N, Niemiec M, Gambuś F, Lepiarczyk A. The Impact of Training Systems on Productivity and GHG Emissions from Grapevines in the Sughd Region in Northern Tajikistan. Agronomy. 2020; 10(6):818. https://doi.org/10.3390/agronomy10060818
Chicago/Turabian StyleChowaniak, Maciej, Naim Rashidov, Marcin Niemiec, Florian Gambuś, and Andrzej Lepiarczyk. 2020. "The Impact of Training Systems on Productivity and GHG Emissions from Grapevines in the Sughd Region in Northern Tajikistan" Agronomy 10, no. 6: 818. https://doi.org/10.3390/agronomy10060818
APA StyleChowaniak, M., Rashidov, N., Niemiec, M., Gambuś, F., & Lepiarczyk, A. (2020). The Impact of Training Systems on Productivity and GHG Emissions from Grapevines in the Sughd Region in Northern Tajikistan. Agronomy, 10(6), 818. https://doi.org/10.3390/agronomy10060818

