The Study of Thermal, Mechanical and Shape Memory Properties of Chopped Carbon Fiber-Reinforced TPI Shape Memory Polymer Composites
Abstract
1. Introduce
2. Experimental
2.1. Materials and Preparation
2.2. Properties Test of Shape Memory Polymer/Chopped Carbon Fiber Composites
2.2.1. Differential Scanning Calorimeter (DSC) Test
2.2.2. Dynamic Mechanical Analysis (DMA) Test
2.2.3. Thermal Conductivity Test
2.2.4. Mechanical and Thermal–Mechanical Properties Tests
Static Mechanical Property Test
Mechanical Cycle Property Test
Thermal–Mechanical Cycle Property Test
2.2.5. Shape Memory Properties Test
3. Results and Discussion
3.1. DSC
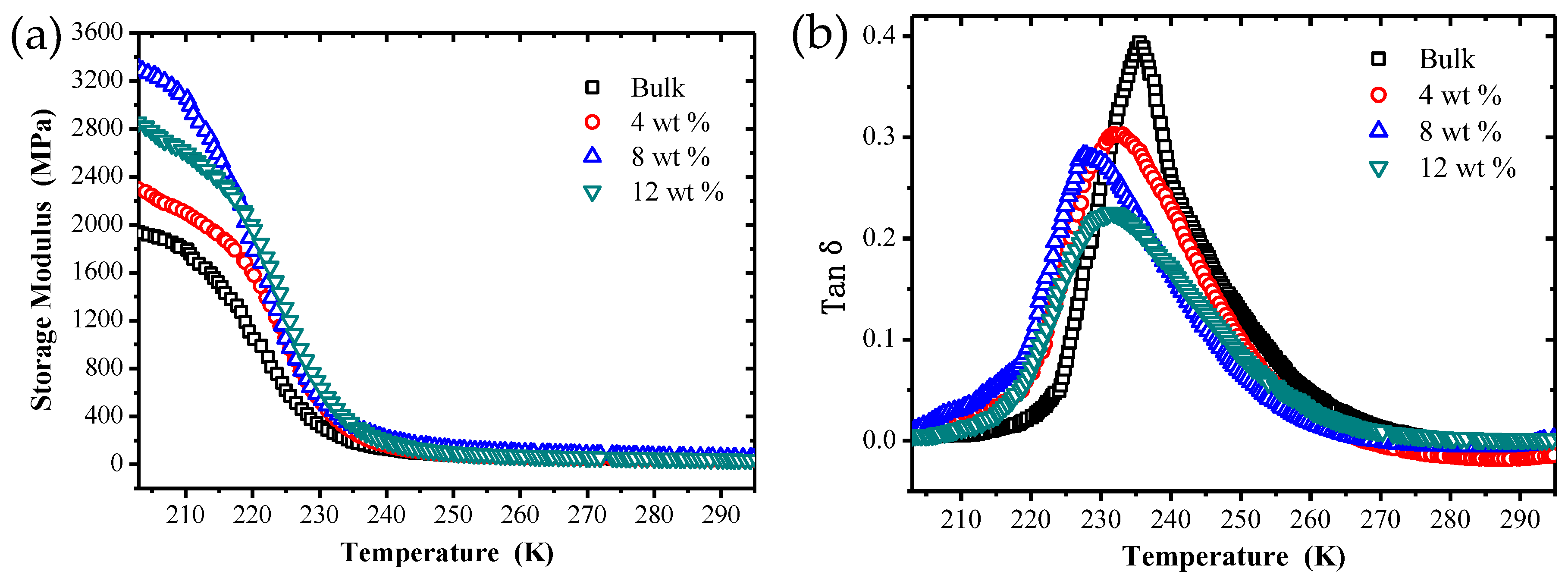
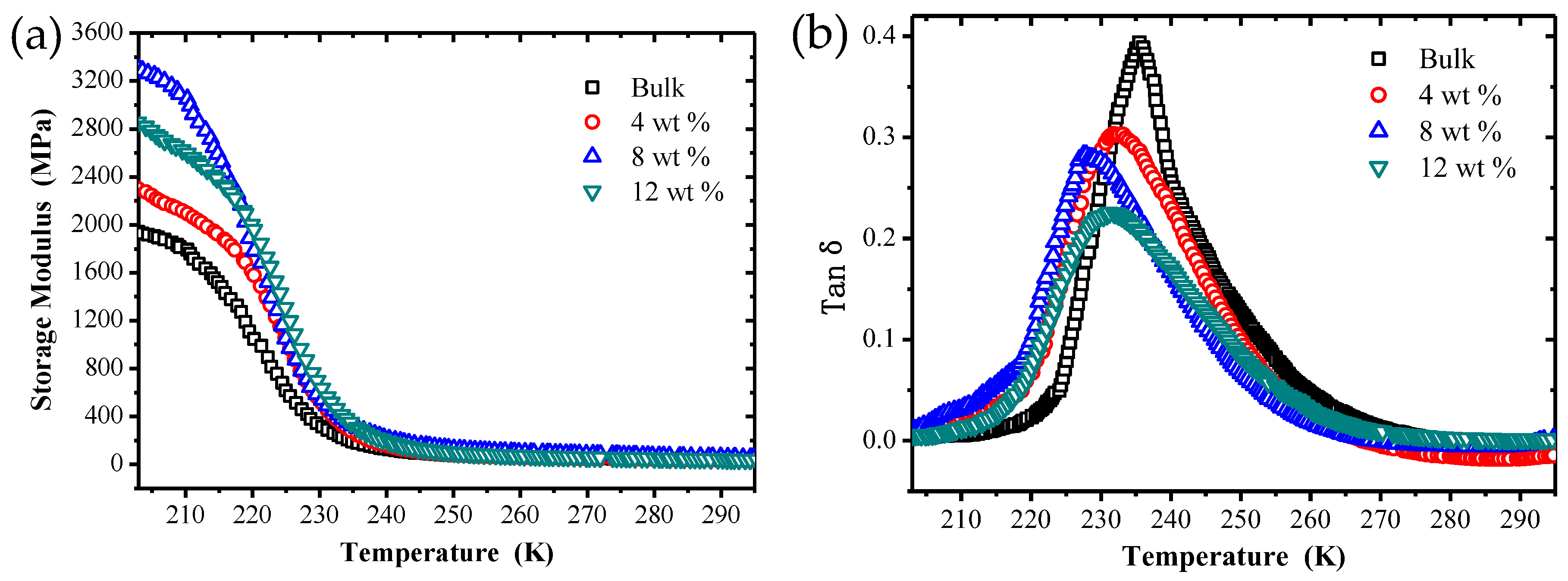
3.2. DMA
3.3. Thermal Conductivity
3.4. Mechanical and Thermal Mechanical Properties
3.4.1. Static Mechanical Property
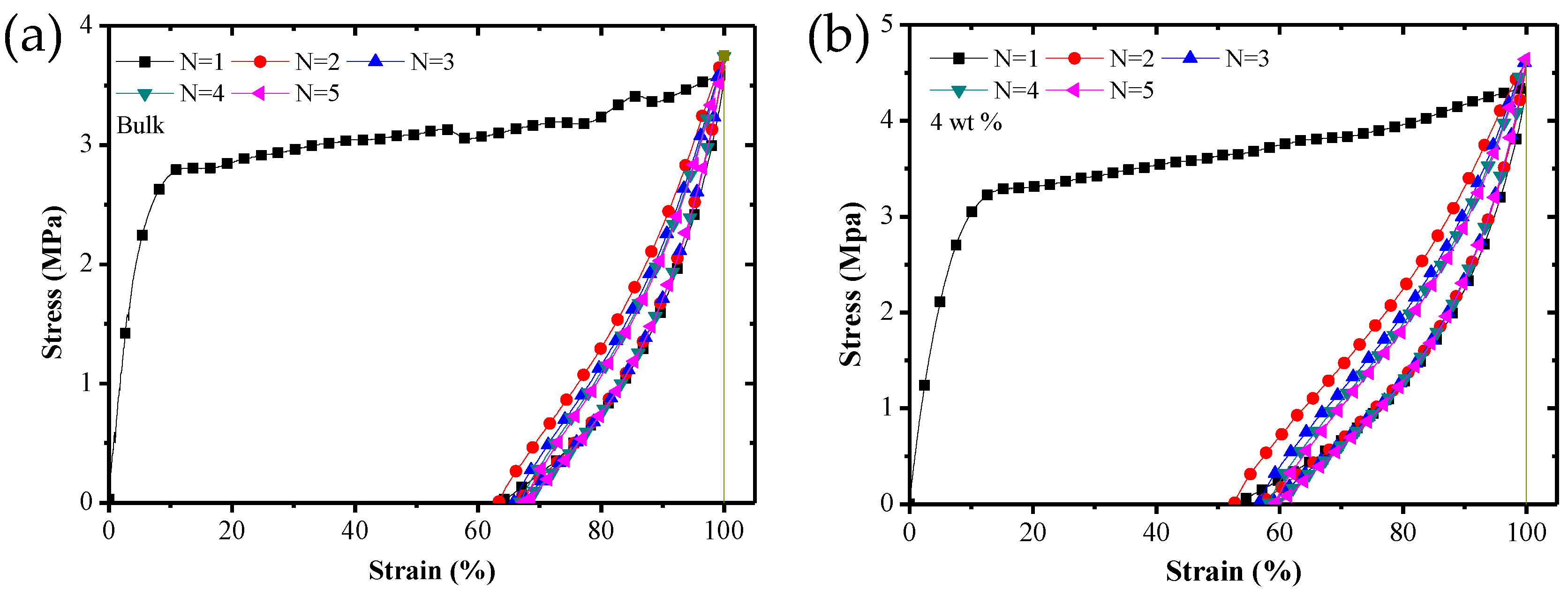
3.4.2. Mechanical Cycle Property
3.4.3. Thermal–Mechanical Cycle Property
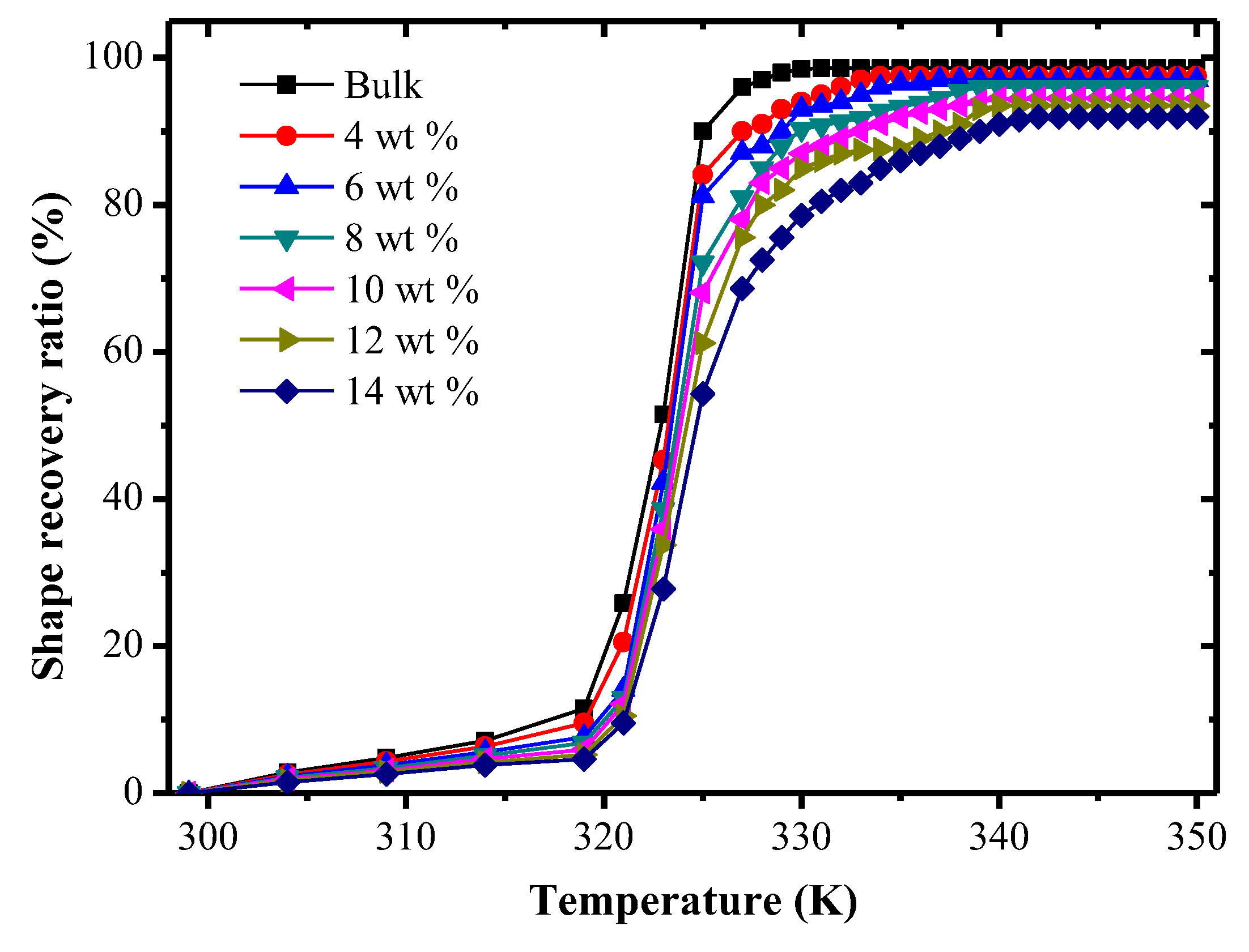
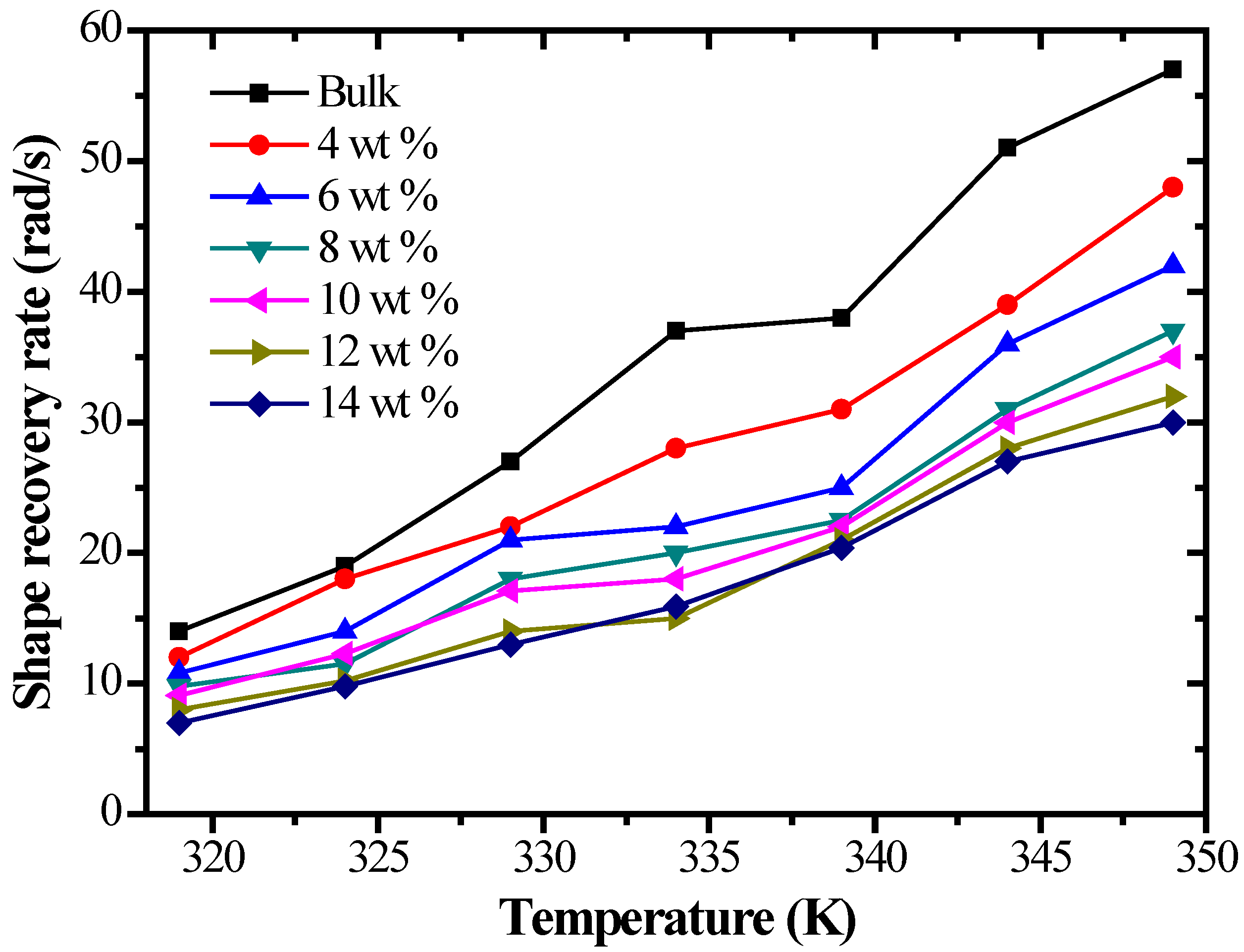
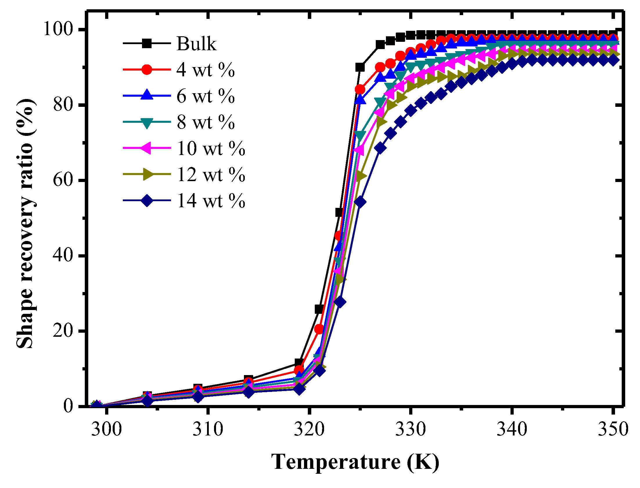
3.5. Shape Memory Properties
4. Conclusions
Acknowledgments
Author Contributions
Conflicts of Interest
References
- Yi, Z.; Zhang, J.; Zhang, S.; Gao, Q.; Li, J.; Zhang, W. Synthesis and mechanism of metal-mediated polymerization of phenolic resins. Polymers 2016, 8, 159. [Google Scholar] [CrossRef]
- Bodaghi, M.; Shakeri, M.; Aghdam, M.M. Thermo-mechanical behavior of shape adaptive composite plates with surface bonded shape memory alloy ribbons. Compos. Struct. 2015, 119, 115–133. [Google Scholar] [CrossRef]
- Deng, R.; Liu, S.; Liang, F.; Wang, K.; Zhu, J.; Yang, Z. Polymeric janus particles with hierarchical structures. Macromolecules 2014, 47, 3701–3707. [Google Scholar] [CrossRef]
- Zhang, L.; Du, H.; Liu, L. Analysis and design of smart mandrels using shape memory polymers. Compos. Part B Eng. 2014, 59, 230–237. [Google Scholar] [CrossRef]
- Farzaneh, S.; Fitoussi, J.; Lucas, A. Shape memory effect and properties memory effect of polyurethane. J. Appl. Polym. Sci. 2013, 128, 3240–3249. [Google Scholar] [CrossRef]
- Economopoulos, S.P.; Chochos, C.L.; Ioannidou, H.A.; Neophytou, M.; Charilaou, C.; Zissimou, G.A.; Frost, J.M.; Sachetan, T.; Shahid, M.; Nelson, J.; et al. Novel BODIPY-based conjugated polymers donors for organic photovoltaic applications. RSC Adv. 2013, 3, 10221–10229. [Google Scholar] [CrossRef]
- Hu, J.L.; Meng, H.; Li, G.Q.; Ibekwe, S.I. A review of stimuli-responsive polymers for smart textile applications. Smart Mater. Struct. 2012, 21, 53001. [Google Scholar] [CrossRef]
- Thorsten, P.; Melanie, E.; Markus, S.; Michael, M. Switchable information carriers based on shape memory polymer. J. Mater. Chem. 2012, 22, 7757–7766. [Google Scholar]
- Nikolaus, F.; Thorsten, P. Programming of Temperature-Memory Onsets in a Semicrystalline Polyurethane Elastomer. Macromolecules 2014, 47, 5952–5959. [Google Scholar]
- Taekwoong, C.; Angel, R.U.; Patrick, T.M. Two-Way Reversible Shape Memory in a Semicrystalline Network. Macromolecules 2008, 41, 184–192. [Google Scholar]
- Marc, B.; Karl, K.; Ulrich, N.; Tilman, S.; Andreas, L. Temperature-memory polymer actuators. Proc. Natl. Acad. Sci. USA 2013, 110, 12555–12559. [Google Scholar]
- Martin, B.; Thorsten, P. Bidirectional actuation of a thermoplastic polyurethane elastomer. J. Mater. Chem. A 2013, 1, 14491–14497. [Google Scholar]
- Sun, L.; Huang, W.M.; Lu, H.B. Shape memory technology for active assembly/disassembly: Fundamentals, techniques and example applications. Assem. Autom. 2014, 34, 78–93. [Google Scholar] [CrossRef]
- Rian, S.; Robert, C.; Ephrahim, G. Defense Advanced Research Projects Agency Smart Materials and Structures Demonstration Program Overview. J. Intell. Mater. Syst. Struct. 2004, 15, 227–233. [Google Scholar]
- Gubbels, F.; Blacher, S.; Vanlathem, E.; Jérôme, R.; Deltour, R.; Brouers, F.; Teyssie, P. Design of electrical composites: Determining the role of the morphology on the electrical properties of carbon black filled polymer blends. Macromolecules 1995, 28, 1559–1566. [Google Scholar] [CrossRef]
- Supaphol, P.; Harnsiri, W.; Junkasem, J. Effects of calcium carbonate and its purity on crystallization and melting behavior, mechanical properties, and processability of syndiotactic polypropylene. J. Appl. Polym. Sci. 2004, 92, 201–212. [Google Scholar] [CrossRef]
- Li, G.; Xu, W. Thermomechanical behavior of thermo set shape memory polymer programmed by cold-compression: Testing and constitutive modeling. J. Mech. Phys. Solids 2011, 59, 1231–1250. [Google Scholar] [CrossRef]
- Hu, J.; Zhu, Y.; Huang, H.; Lu, J. Recent advances in shape memory polymers: Structure, mechanism, functionality, modeling and applications. Prog. Mater. Sci. 2012, 37, 1720–1763. [Google Scholar] [CrossRef]
- Ward, S.; Pooja, S.; Thomas, S.; Duncan, J. Biomedical applications of thermally activated shape memory polymers. Mater. Chem. 2010, 20, 3356–3366. [Google Scholar]
- Shinya, T.; Takeshi, B.; Yoshihisa, N. Quantification of trans-1,4-Polyisoprene in Eucommia ulmoides by Fourier Transform Infrared Spectroscopy and Pyrolysis-Gas Chromatography/Mass Spectrometry. J. Biosci. Bioeng. 2008, 105, 355–359. [Google Scholar]
- Tsukada, G.; Tokuda, M.; Torii, M. Temperature triggered shape memory effect of transpolyisoprene based polymer. Endodont 2014, 40, 1658–1662. [Google Scholar] [CrossRef] [PubMed]
- Lendlein, A.; Schmidt, M.; Langer, R. AB-polymer networks based on oligo (1-caprolactone) segments showing shape memory properties. Proc. Natl. Acad. Sci. USA 2001, 98, 842–847. [Google Scholar] [PubMed]
- Richeton, J.; Ahzi, S.; Daridon, L.; Rémond, Y. A formulation of the cooperative model for the yield stress of amorphous polymers for a wide range of strain rates and temperatures. Polymer 2005, 46, 6035–6043. [Google Scholar] [CrossRef]
- Miaudet, P.; Maugey, M. Shape and temperature memory of nanocomposites with broadened glass transition. Science 2007, 318, 1294–1296. [Google Scholar] [CrossRef] [PubMed]
- Viry, L.; Mercader, C.; Miaudet, E. Nanotube fibers for electromechanical and shape memory actuators. J. Mater. Chem. 2010, 20, 3487–3495. [Google Scholar] [CrossRef]
- Sanja, L.; Zrinka, B.; Ivona, I. Influence of silica nanofiller on the isothermal crystallization and melting of polyurethane elastomer. J. Appl. Polym. Sci. 2013, 129, 1466–1475. [Google Scholar]
- Puig, L.; Barton, A.; Rando, N. A review on large deployable structures for astrophysics missions. Acta Astronaut. 2010, 67, 12–26. [Google Scholar] [CrossRef]
- Al-Itry, R.; Lamnawar, K.; Maazouz, A. Biopolymer blends based on poly(lactic acid): Shear and elongation rheology/structure/blowing process relationships. Polymers 2015, 7, 939–962. [Google Scholar] [CrossRef]
- Luo, J.; Luo, J.; Bai, Y.; Gao, Q.; Li, J. A high performance soy protein-based bio-adhesive enhanced with a melamine/epichlorohydrin prepolymer and its application on plywood. RSC Adv. 2016, 6, 67669–67676. [Google Scholar] [CrossRef]
- Shi, D.J.; Hua, J.T.; Zhang, L.; Chen, M.Q. Synthesis of bio-based poly(lactic acid-co-hydroxy decanonate) copolymers with thermal stability and ductility. Polymers 2015, 7, 468–483. [Google Scholar] [CrossRef]
- Zeng, C.; Seino, H.; Ren, J.; Hatanaka, K.; Yoshie, N. Bio-based furan polymers with self-healing ability. Macromolecules 2013, 46, 1794–1802. [Google Scholar] [CrossRef]
- Tan, Q.; Liu, L.W.; Liu, Y.J. Post buckling analysis of the shape memory polymer composite laminate bonded with alloy film. Compos. Part B Eng. 2013, 53, 218–225. [Google Scholar]
- Gong, T.; Li, W.; Chen, H. Remotely actuated shape memory effect of electrospun composite nanofibers. Acta Biomater. 2012, 8, 1248–1259. [Google Scholar] [CrossRef] [PubMed]
- Wan, Y.; Luo, H.; He, F.; Liang, H.; Huang, Y.; Li, X. Mechanical, moisture absorption, and biodegradation behaviours of bacterial cellulose fibre-reinforced starch biocomposites. Compos. Sci. Technol. 2009, 69, 1212–1217. [Google Scholar] [CrossRef]
- Karmarkar, A.; Chauhan, S.; Modak, J.M.; Chanda, M. Mechanical properties of wood fiber reinforced polypropylene composites: Effect of a novel compatibilizer with isocyanate functional group. Compos. Part A Appl. Sci. Manuf. 2007, 38, 227–233. [Google Scholar] [CrossRef]
- Konishi, Y.; Cakmak, A. Nanoparticle induced net-work self-assembly in polymer-carbon black composites. Polymer 2006, 47, 5371–5391. [Google Scholar] [CrossRef]
- Huang, J.R.; Mao, C.; Zhu, Y.T.; Jiang, W.; Yang, X.D. Control of carbon nanotubes at the interface of a co-continuous immiscible polymer blend to fabricate conductive composites with ultralow percolation thresholds. Carbon 2014, 73, 267–274. [Google Scholar] [CrossRef]
- Yu, K.; Liu, Y.; Peng, H.X.; Leng, J. Mechanical and shape recovery properties of shape memory polymer composite embedded with cup-stacked carbon nanotubes. J. Intell. Mater. Syst. Struct. 2013, 25, 1264–1275. [Google Scholar] [CrossRef]
- Guo, J.M.; Wang, Z.Q. Shape memory and therm-mechanical properties of shape memory plymer/carbon fiber composites. Compos. Part B 2015, 76, 162–171. [Google Scholar] [CrossRef]
- Gall, K.; Kreiner, P.; Turner, D.; Hulse, M. Shape memory polymers for microelectromechanical systems. J. Microelectromech. Syst. 2004, 13, 472–483. [Google Scholar] [CrossRef]




















| Material Name | Weight Parts | Material Name | Weight Parts |
|---|---|---|---|
| TPI | 100 | accelerator CZ | 1 |
| light calcium carbonate | 10 | peptizer (SJ-103) | 4 |
| zinc oxide | 5 | plasticizer (phthalate dioctyl) | 2 |
| stearic acid | 1 | sulfur | 1 |
| antioxidant (4010NA) | 2 | - | - |
© 2017 by the authors. Licensee MDPI, Basel, Switzerland. This article is an open access article distributed under the terms and conditions of the Creative Commons Attribution (CC BY) license (http://creativecommons.org/licenses/by/4.0/).
Share and Cite
Wang, Z.; Liu, J.; Guo, J.; Sun, X.; Xu, L. The Study of Thermal, Mechanical and Shape Memory Properties of Chopped Carbon Fiber-Reinforced TPI Shape Memory Polymer Composites. Polymers 2017, 9, 594. https://doi.org/10.3390/polym9110594
Wang Z, Liu J, Guo J, Sun X, Xu L. The Study of Thermal, Mechanical and Shape Memory Properties of Chopped Carbon Fiber-Reinforced TPI Shape Memory Polymer Composites. Polymers. 2017; 9(11):594. https://doi.org/10.3390/polym9110594
Chicago/Turabian StyleWang, Zhenqing, Jingbiao Liu, Jianming Guo, Xiaoyu Sun, and Lidan Xu. 2017. "The Study of Thermal, Mechanical and Shape Memory Properties of Chopped Carbon Fiber-Reinforced TPI Shape Memory Polymer Composites" Polymers 9, no. 11: 594. https://doi.org/10.3390/polym9110594
APA StyleWang, Z., Liu, J., Guo, J., Sun, X., & Xu, L. (2017). The Study of Thermal, Mechanical and Shape Memory Properties of Chopped Carbon Fiber-Reinforced TPI Shape Memory Polymer Composites. Polymers, 9(11), 594. https://doi.org/10.3390/polym9110594
