Preparation and Performance of Environmentally Friendly Micro-Surfacing for Degradable Automobile Exhaust Gas
Abstract
1. Introduction
2. Raw Materials
2.1. Photocatalytic Raw Material
2.2. SBR-Modified Emulsified Asphalt
2.3. Aggregate
2.4. Cement
2.5. Water
3. Test Method
3.1. Test Method for the TiO2/g-C3N4 Composite Photocatalyst
3.1.1. Preparation Method for the TiO2/g-C3N4 Composite Photocatalyst
3.1.2. Analysis Method for the Photocatalytic Degradation Effect
3.1.3. Microscopic Characterization of the TiO2/g-C3N4 Composite Photocatalyst
3.2. Preparation of and Test Method for the SBR/TCN-Composite-Modified Emulsified Asphalt
3.2.1. Preparation Method for the SBR/TCN-Composite-Modified Emulsified Asphalt
3.2.2. Conventional Tests
3.3. Environmentally Friendly Micro-Surfacing Road Performance and Exhaust Gas Degradation Effect Research Methods
3.3.1. Determination of Gradation
3.3.2. Determination Method for Water Consumption
3.3.3. Method for Determining the Amount of Cement
3.3.4. Determination Method for the Optimum Oil–Stone Ratio
3.3.5. Road Performance Test Method
3.4. Tail Gas Degradation Effect Test
4. Test Results and Analysis
4.1. Performance Analysis of the TiO2/g-C3N4 Composite Photocatalyst
4.1.1. Effect of the Mass Ratio on Photocatalytic Activity
4.1.2. Influence of Calcination Temperature on Photocatalytic Activity
4.1.3. X-Ray Diffraction (XRD) Analysis
4.1.4. Infrared Spectroscopy (FTIR) Analysis
4.1.5. Scanning Electron Microscopy (SEM) Analysis
4.1.6. Transmission Electron Microscope (TEM) Analysis
4.1.7. UV-Vis Diffuse Reflectance Spectroscopy (UV-Vis DRS) Analysis
4.1.8. Photoluminescence Spectroscopy (PL) Analysis
4.2. Performance Analysis of the SBR/TCN-Composite-Modified Emulsified Asphalt
4.2.1. Basic Performance Analysis Before Aging
4.2.2. Basic Performance Analysis After Aging
4.3. Analysis of a Mix Proportion Design of Environmentally Friendly Micro-Surfacing
4.3.1. Determination of Water Consumption
4.3.2. Determination of Cement Dosage
4.3.3. Determination of the Best Oil–Stone Ratio
4.4. Environmentally Friendly Micro-Surfacing Road Performance Analysis
4.4.1. Wear Resistance Performance Analysis
4.4.2. Analysis of Water Damage Resistance
4.4.3. Anti-Rutting Deformation Performance Analysis
4.4.4. Anti-Skid Performance Analysis
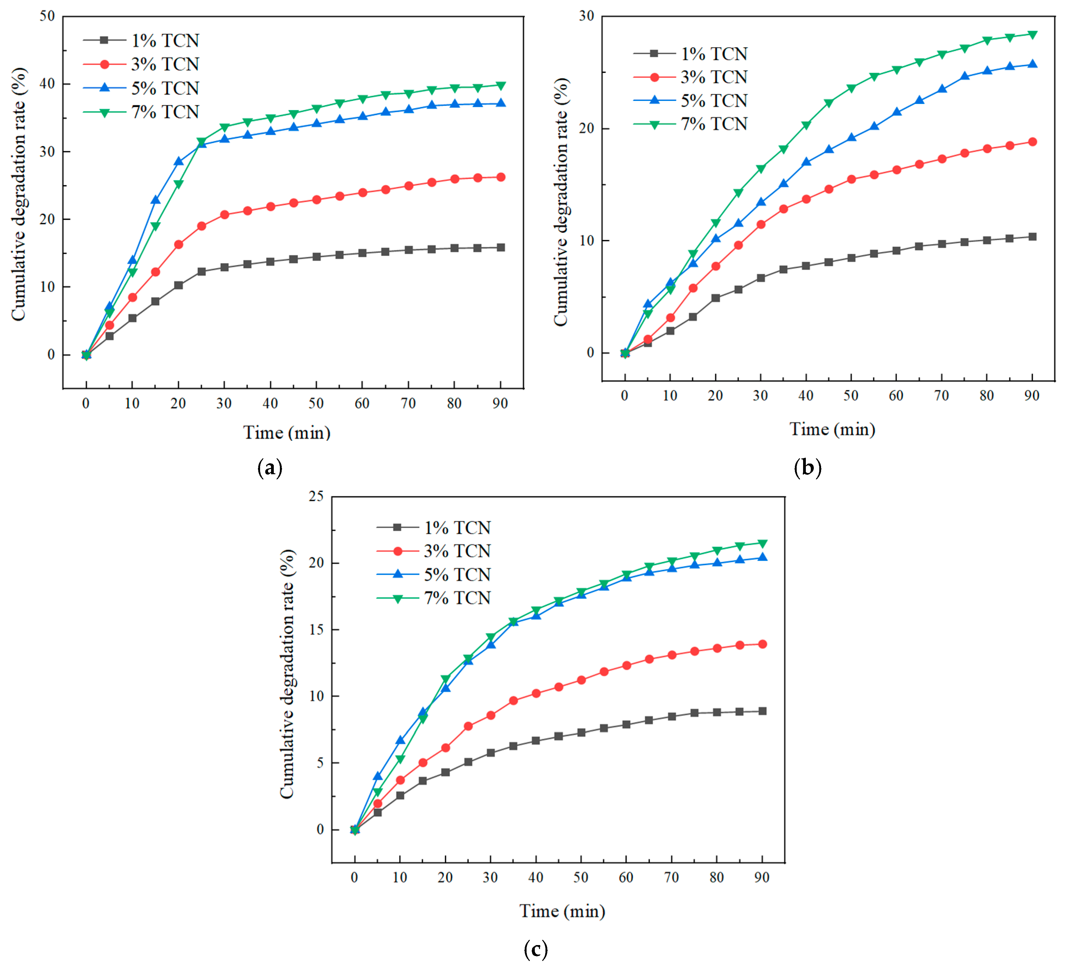
4.5. Effect Analysis of Environmentally Friendly Micro-Surfacing Degradation of Automobile Exhaust
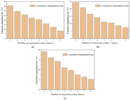
4.6. Influencing Factors of the Photocatalytic Performance Attenuation of Environmentally Friendly Micro-Surfacing
4.6.1. Influence of the Number of Continuous Tests on Photocatalytic Performance
4.6.2. Influence of the Number of Water Flushes on Photocatalytic Performance
5. Conclusions
Author Contributions
Funding
Institutional Review Board Statement
Data Availability Statement
Conflicts of Interest
References
- Xu, R. Research on automobile exhaust emission pollution and control measures. Times Automob. 2023, 19, 16–18. [Google Scholar]
- Ahmed, S.; Sugiarto, J.R.; Yoon, W.; Irshad, M.; Jo, H.; Bibi, S.S.; Kim, S.K.; Khan, M.K.; Kim, J. High-yield pentanes-plus production via hydrogenation of carbon dioxide: Revealing new roles of zirconia as promoter of iron catalyst with long-term stability. J. Energy Chem. 2025, 102, 431–442. [Google Scholar] [CrossRef]
- Cui, L.; Ni, H.; Lei, K.; Gao, X.; Wang, X.; Liu, Z. Ecological toxicity analysis of automobile exhaust particulate matter. J. Environ. Sci. 2020, 40, 1483–1490. [Google Scholar]
- Liu, J.; Zhang, Q.; Yang, J.; Ma, H.; Tade, M.O.; Wang, S.; Liu, J. Facile synthesis of carbon-doped mesoporous anatase TiO2 for the enhanced visible-light driven photocatalysis. Chem. Commun. 2014, 50, 13971–13974. [Google Scholar] [CrossRef] [PubMed]
- Huang, Z. Research progress of TiO2 photocatalytic materials. Biochemical 2021, 7, 169–172. [Google Scholar]
- Preparation of Fe-doped g-C3N4 and its visible light catalytic performance. J. Phys. Chem. 2014, 30, 1706–1712.
- Chu, Z.; Yuan, B.; Yan, T. Research Progress on Photocatalytic Properties of g-C3N4. J. Inorg. Mater. 2014, 29, 785–794. [Google Scholar]
- Xia, J.; Song, H.; Yang, J.; Zhu, X. Preparation of ellipsoid spheres interlaced flower-like g-C3N4/TiO2 fluffy porous heterojunction and its visible-light photodegradation of organic pollutants. Chem. Phys. Lett. 2023, 824, 140524. [Google Scholar] [CrossRef]
- Zhao, S.; Chen, S.; Yu, H.; Quan, X. g-C3N4/TiO2 hybrid photocatalyst with wide absorption wavelength range and effective photogenerated charge separation. Sep. Purif. Technol. 2012, 99, 50–54. [Google Scholar] [CrossRef]
- Yan, H.; Yang, H. TiO2-g-C3N4 composite materials for photocatalytic H2 evolution under visible light irradiation. J. Alloys Compd. 2011, 509, L26–L29. [Google Scholar] [CrossRef]
- Guo, S. Preparation and Visible Light Photocatalytic Properties of g-C3N4/TiO2 Composite Nanomaterials. Master’s Thesis, Chongqing University, Chongqing, China, 2014. [Google Scholar]
- Cang, J.; Xue, W.; Zhang, Y.; Zhu, X. Preparation of g-C3N4-TiO2 nanocomposites and photocatalytic degradation of methyl blue. New Chem. Mater. 2022, 50, 212–217. [Google Scholar]
- Li, J.; Liu, S. Study on the photocatalytic activity improvement path of g-C3N4/TiO2 photocatalytic composites. Appl. Chem. Ind. 2021, 50, 1554–1558. [Google Scholar]
- Li, S.; Deng, M.; Yi, L. Preparation and first-principles calculation of g-C3N4/TiO2 composite photocatalyst. Sci. Technol. Eng. 2020, 20, 11212–11216. [Google Scholar]
- Tan, Y.; Li, L.; Wei, P.; Sun, Z. Evaluation of application performance of degradable automobile exhaust materials in asphalt pavement. China J. Highw. 2010, 23, 21–27. [Google Scholar]
- Hu, C.; Ma, J.; Jiang, H.; Chen, Z.; Zhao, J. Evaluation of Nano-TiO2 modified waterborne epoxy resin as fog seal and exhaust degradation material in asphalt pavement. J. Test. Eval. 2016, 45, 260–267. [Google Scholar] [CrossRef]
- Zhang, Z.; Liu, K.; Chong, D.; Niu, D.; Lin, P.; Liu, X.; Niu, Y.; Jing, R. Evaluation of photocatalytic micro-surfacing mixture: Road performance, vehicle exhaust gas degradation capacity and environmental impacts. Constr. Build. Mater. 2022, 345, 128367. [Google Scholar] [CrossRef]
- Ma, Y.; Li, L.; Wang, H.; Wang, W.; Zheng, K. Laboratory study on performance evaluation and automobile exhaust degradation of Nano-TiO2 particles-modified asphalt materials. Adv. Mater. Sci. Eng. 2021, 2021, 5574013. [Google Scholar] [CrossRef]
- Yang, K. Research on New Materials for Preventive Maintenance Based on Exhaust Gas Purification and PM2.5 Absorption. Master’s Thesis, North China University of Water Resources and Electric Power, Zhengzhou, China, 2019. [Google Scholar]
- JTG E20-2011; Test Procedures for Asphalt and Asphalt Mixtures for Highway Engineering. People’s Transportation Publishing House: Beijing, China, 2011.
- Academy of Highway Sciences, Ministry of Communications. Technical Guide for Micro-Surfacing and Slurry Seal; People’s Transportation Publishing House: Beijing, China, 2006. [Google Scholar]
- JTG E42-2005; Highway Engineering Aggregate Test Procedures. People’s Transportation Publishing House: Beijing, China, 2005.
- JTG E30-2005; Cement and Cement Concrete Test Procedures for Highway Engineering. People’s Transportation Publishing House: Beijing, China, 2005.
- JTG 3450-2019; Specification for Field Test of Highway Subgrade and Pavement. People’s Transportation Publishing House: Beijing, China, 2019.
- Wang, D.; Zheng, X. Study on the effect of nano-TiO2 on the performance of emulsified asphalt and its purification performance. Highway 2022, 67, 310–315. [Google Scholar]
- Li, Y.; Ma, X.; Tang, H.; Pei, J.; Li, D.; Kang, C.; Ji, J. Investigation on aging resistance of ternary compound carbon nitride (CN-Bi-Tr-DC) modified asphalt. Constr. Build. Mater. 2021, 313, 125522. [Google Scholar] [CrossRef]




















| Target of Test | Average One Grain per Time Diameter (nm) | Specific Surface Area (m2/g) | Bulk Density (g/cm3) | Purity (%) | Water Content (%) |
|---|---|---|---|---|---|
| Test result | 13 | 82 | 0.36 | 98.3 | 1.8 |
| Test Indicator | Unit | Test Result | Technical Standard | |
|---|---|---|---|---|
| The remaining amount on the sieve | % | 0.03 | ≤0.1 | |
| Enguera viscosity | - | 12.8 | 3–30 | |
| Properties of evaporation residue | Evaporation residue content | % | 61.6 | ≥60 |
| Needle penetration | 0.1 mm | 64.4 | 40~100 | |
| Softening point | °C | 54.3 | ≥53 | |
| Ductility (5 °C) | cm | 49.1 | ≥20 | |
| Solubility | % | 99.5 | ≥97.5 | |
| Storage stability | 1 d | % | 0.63 | ≤1 |
| 5 d | % | 2.61 | ≤5 | |
| Aggregate | Test Indicator (Units) | Standard Requirement | Test Result | Test Method | |
|---|---|---|---|---|---|
| Basalt | Limestone | ||||
| Coarse aggregate | Stone crushing value (%) | ≤26 | 12.7 | — | T0316 |
| Los Angeles weared value (%) | ≤28 | 15.3 | — | T0317 | |
| Polished drum coating stone value BPN | ≥42 | 56.2 | — | T0321 | |
| Ruggedness (%) | ≤12 | 9.5 | — | T0314 | |
| Needle-like content (%) | ≤15 | 10.4 | — | T0312 | |
| Fine aggregate | Ruggedness (%) | ≤12 | — | 9.5 | T0340 |
| Mineral material | Sand equivalent (%) | ≥65 | 77.1 | 77.8 | T0334 |
| Test Indicator | Unit | Test Result | Technical Requirement | |
|---|---|---|---|---|
| Specific surface area | m2/kg | 365 | ≥300 | |
| Stability | — | qualification | qualification | |
| Setting time | Initial setting time | min | 159 | ≥45 |
| Final setting time | 276 | ≤600 | ||
| Compressive strength | 3 d | MPa | 30.7 | ≥17.0 |
| 28 d | 48.3 | ≥42.5 | ||
| Break off strength | 3 d | MPa | 5.1 | ≥3.5 |
| 28 d | 8.6 | ≥6.5 | ||
| Gas | HC (ppm) | CO (%) | NO (ppm) |
|---|---|---|---|
| Initial concentration control | 130~160 | 0.90~1.20 | 80~110 |
| Test Indicator | Unit | TCN Latex Content | |||||
|---|---|---|---|---|---|---|---|
| 1% | 3% | 5% | 7% | 9% | |||
| Evaporated residue | Needle penetration | 0.1 mm | 64.1 | 62.9 | 60.5 | 58.7 | 57.9 |
| Softening point | °C | 55.4 | 55.9 | 57.1 | 58.2 | 58.5 | |
| Ductility(5 °C) | cm | 47.2 | 42.4 | 33.8 | 30.6 | 28.1 | |
| Storage stability | 1 d | % | 0.65 | 0.72 | 0.81 | 0.93 | 1.37 |
| 5 d | % | 2.88 | 3.49 | 3.85 | 4.26 | 5.12 | |
| TCN Composite Photocatalytic Material Content (%) | 25 °C Penetration (0.1 mm) | Softening Point (°C) | 5 °C Ductility (cm) |
|---|---|---|---|
| 0 | 44.5 | 61.2 | 33.4 |
| 1 | 45.4 | 61.6 | 32.5 |
| 3 | 45.8 | 60.5 | 30.2 |
| 5 | 44.2 | 61.3 | 24.8 |
| 7 | 43.9 | 61.7 | 22.6 |
| 9 | 42.6 | 62.2 | 20.4 |
| TCN Composite Photocatalytic Material Content (%) | 0 | 1 | 3 | 5 | 7 | Specification Requirement |
|---|---|---|---|---|---|---|
| 1 h WTAT (g/m2) | 458.2 | 446.7 | 440.5 | 431.8 | 469.4 | ≤540 |
| TCN Composite Photocatalytic Material Content (%) | 0 | 1 | 3 | 5 | 7 | Specification Requirement |
|---|---|---|---|---|---|---|
| 6 d WTAT(g/m2) | 624.6 | 630.1 | 639.4 | 651.7 | 675.2 | ≤800 |
| TCN Composite Photocatalytic Material Content (%) | 0 | 1 | 3 | 5 | 7 | Specification Requirement |
|---|---|---|---|---|---|---|
| PLD (%) | 4.7 | 4.6 | 4.5 | 4.3 | 4.3 | ≤5.0 |
| PVD (%) | 10.2 | 10.0 | 9.9 | 9.7 | 9.8 | - |
| TCN Composite Photocatalytic Material Content (%) | 0 | 1 | 3 | 5 | 7 | Specification Requirement |
|---|---|---|---|---|---|---|
| Texture depth (mm) | 0.79 | 0.78 | 0.76 | 0.75 | 0.73 | ≥0.6 |
| Pendulum value | 51.9 | 51.4 | 51.2 | 50.6 | 50.2 | ≥45 |
Disclaimer/Publisher’s Note: The statements, opinions and data contained in all publications are solely those of the individual author(s) and contributor(s) and not of MDPI and/or the editor(s). MDPI and/or the editor(s) disclaim responsibility for any injury to people or property resulting from any ideas, methods, instructions or products referred to in the content. |
© 2025 by the authors. Licensee MDPI, Basel, Switzerland. This article is an open access article distributed under the terms and conditions of the Creative Commons Attribution (CC BY) license (https://creativecommons.org/licenses/by/4.0/).
Share and Cite
Guo, T.; Chen, Y.; Fang, C.; Li, Z.; Li, D.; He, Q.; Chen, H. Preparation and Performance of Environmentally Friendly Micro-Surfacing for Degradable Automobile Exhaust Gas. Polymers 2025, 17, 760. https://doi.org/10.3390/polym17060760
Guo T, Chen Y, Fang C, Li Z, Li D, He Q, Chen H. Preparation and Performance of Environmentally Friendly Micro-Surfacing for Degradable Automobile Exhaust Gas. Polymers. 2025; 17(6):760. https://doi.org/10.3390/polym17060760
Chicago/Turabian StyleGuo, Tengteng, Yuanzhao Chen, Chenze Fang, Zhenxia Li, Da Li, Qingyun He, and Haijun Chen. 2025. "Preparation and Performance of Environmentally Friendly Micro-Surfacing for Degradable Automobile Exhaust Gas" Polymers 17, no. 6: 760. https://doi.org/10.3390/polym17060760
APA StyleGuo, T., Chen, Y., Fang, C., Li, Z., Li, D., He, Q., & Chen, H. (2025). Preparation and Performance of Environmentally Friendly Micro-Surfacing for Degradable Automobile Exhaust Gas. Polymers, 17(6), 760. https://doi.org/10.3390/polym17060760

