A Novel Phenomenological Constitutive Model for Semi-Crystalline Polymers Across a Wide Strain-Rate Range
Abstract
1. Introduction
2. Materials and Methods
2.1. Materials
2.2. Model Formulation
2.2.1. Viscoelastic–Viscoplastic Model
2.2.2. Viscoelastic Part
2.2.3. Viscoplastic Part
2.3. Numerical Simulation Model
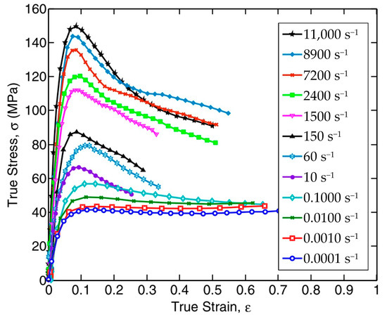
3. Results
4. Discussion
4.1. Evaluation of the Model
4.2. Application to Numerical Simulation
5. Conclusions
- Through an analysis of the dynamic mechanical response characteristics of semi-crystalline polymers, a three-branch parallel constitutive model is put forward. This model precisely describes the complex mechanical responses caused by the combined impacts of strain hardening, strain-rate strengthening, and temperature softening.
- By employing a hybrid global optimization algorithm in conjunction with experimental data from polypropylene, the optimal parameters for the proposed constitutive model were determined. Multidimensional evaluations indicate that the model possesses high accuracy, with a coefficient of determination reaching 0.9834 and an average absolute relative error controlled within 6.4%.
- A polypropylene SHPB numerical simulation model was developed. The software database’s two material models precisely reflect the proposed constitutive model’s mechanism. The simulation and theoretical model’s high consistency shows that the constitutive model and simulation software are highly compatible and that the model is highly applicable. Consequently, it can provide high-confidence material models for various high-strain-rate simulation scenarios.
Author Contributions
Funding
Institutional Review Board Statement
Data Availability Statement
Conflicts of Interest
Nomenclature
| total deviatoric stress in viscoelastic stage | |
| deviatoric stress of the non-Maxwell branch | |
| deviatoric stress of the Maxwell branch | |
| yield stress | |
| reference yield stress | |
| total elastic strain | |
| elastic strain of the non-Maxwell branch | |
| elastic strain of the Maxwell branch | |
| elastic strain of the viscous element | |
| elastic moduli in non-Maxwell branch | |
| elastic moduli in Maxwell branch | |
| reference elastic modulus | |
| strain rate | |
| strain-rate of the viscous elements | |
| reference strain rate | |
| viscosity | |
| reference viscosity | |
| deformation time | |
| relaxation time | |
| reference relaxation time | |
| strain-rate coefficients | |
| strain-rate coefficients | |
| Boltzmann constant | |
| material temperature | |
| initial temperature | |
| melting temperature | |
| activation volume | |
| yield stress coefficients | |
| temperature coefficients | |
| temperature coefficients | |
| temperature coefficients | |
| temperature coefficients | |
| temperature coefficients | |
| Taylor–Quinney factor | |
| density | |
| specific heat capacity at constant volume | |
| experimental stress | |
| average experimental stress | |
| theoretical stress | |
| average theoretical stress | |
| number of data points |
References
- Liu, Q.; Zhang, D.Z.; Yang, Y.T.; Gu, Y.L.; Liang, Z.Y.; Chen, W.S.; Wu, Y.P.; Hu, L.F. Encapsulation of Prussian Blue Analogues with Conductive Polymers for High-Performance Ammonium-Ion Storage. Adv. Energy Mater. 2024, 15, 2402863. [Google Scholar] [CrossRef]
- Ahmadi, N.; Fathalilou, M.; Rezazadeh, G. Neo-Hookean modeling of nonlinear coupled behavior in circular plates supported by micro-pillars. Sci. Rep. 2024, 14, 25428. [Google Scholar] [CrossRef]
- Paraye, P.; Sarviya, R.M. Advances in polymer composites, manufacturing, recycling, and sustainable practices. Polym.-Plast. Tech. Mater. 2024, 63, 1474–1497. [Google Scholar] [CrossRef]
- Simoes, S. High-Performance Advanced Composites in Multifunctional Material Design: State of the Art, Challenges, and Future Directions. Materials 2024, 17, 5997. [Google Scholar] [CrossRef] [PubMed]
- Ursache, S.; Cerbu, C.; Hadar, A. Characteristics of Carbon and Kevlar Fibres, Their Composites and Structural Applications in Civil Engineering—A Review. Polymers 2024, 16, 127. [Google Scholar] [CrossRef]
- Kyle, C.; Heard, W.F.; Santanu, K. High Strain Rate Failure Behavior of Polycarbonate Plates due to Hypervelocity Impact. Macromolecules 2022, 55, 9640–9649. [Google Scholar]
- Rogers, J.A.; Mote, A.; Mead, P.T.; Harrison, K.; Lukasik, G.D.; Kota, K.R.; Kulatilaka, W.D.; Wilkerson, J.W.; Lacy, T.E. Hypervelocity impact response of monolithic UHMWPE and HDPE plates. Int. J. Impact Eng. 2022, 161, 104081. [Google Scholar] [CrossRef]
- Chen, Y.; Tang, Q.Y.; He, Q.G.; Chen, L.T.; Chen, X.W. Review on hypervelocity impact of advanced space debris protection shields. Thin-Walled Struct. 2024, 200, 25. [Google Scholar] [CrossRef]
- He, Q.G.; Chen, X.W.; Chen, J.F. Finite element-smoothed particle hydrodynamics adaptive method in simulating debris cloud. Acta Astronaut. 2020, 175, 99–117. [Google Scholar] [CrossRef]
- Yang, Y.C.; Li, Q.W.; Qiao, L. Review of SHPB Dynamic Load Impact Test Characteristics and Energy Analysis Methods. Processes 2023, 11, 3029. [Google Scholar] [CrossRef]
- Okereke, M.I.; Buckley, C.P.; Siviour, C.R. Compression of polypropylene across a wide range of strain rates. Mech. Time-Depend. Mater. 2012, 16, 361–379. [Google Scholar] [CrossRef]
- Liu, F.; Li, Q. Strain-rate effect of polymers and correction methodology in a SHPB test. Int. J. Impact Eng. 2022, 161, 16. [Google Scholar] [CrossRef]
- Ai, S.G.; Tang, L.Q.; Mao, Y.Q.; Liu, Y.P.; Fang, D.N. Numerical analysis on failure behaviour of polyurethane polymer concrete at high strain rates in compression. Comput. Mater. Sci. 2013, 69, 389–395. [Google Scholar] [CrossRef]
- Lu, F.Y.; Lin, Y.L.; Lu, L. Constitutive behaviors of a silicone rubber at high strain rates. J. Phys. IV 2006, 134, 305–310. [Google Scholar] [CrossRef]
- Xu, Y.J.; Gao, T.L.; Wang, J.; Zhang, W.H. Experimentation and Modeling of the Tension Behavior of Polycarbonate at High Strain Rates. Polymers 2016, 8, 63. [Google Scholar] [CrossRef] [PubMed]
- Wang, X.J.; Wu, Y.Q.; Huang, F.L. Numerical mesoscopic investigations of dynamic damage and failure mechanisms of polymer bonded explosives. Int. J. Solids Struct. 2017, 129, 28–39. [Google Scholar] [CrossRef]
- Vuoristo, T.; Kuokkala, V.T.; Keskinen, E. Modeling of the deformation behavior of polymer composites at high strain rates and at elevated temperatures. Key Eng. Mater. 2002, 221, 221–232. [Google Scholar] [CrossRef]
- Thompson, D.G.; Deluca, R.; Brown, G.W. Time-Temperature Analysis, Tension and Compression in PBXs. J. Energetic Mater. 2012, 30, 299–323. [Google Scholar] [CrossRef]
- Gu, J.H.; Bai, Y.; Zhao, Z.Q.; Zhang, C. Temperature and strain rate sensitivity of modulus and yield strength of epoxy resin under compressive loads. Polymer 2024, 295, 9. [Google Scholar] [CrossRef]
- Furmanski, J.; Cady, C.M.; Brown, E.N. Time-temperature equivalence and adiabatic heating at large strains in high density polyethylene and ultrahigh molecular weight polyethylene. Polymer 2013, 54, 381–390. [Google Scholar] [CrossRef]
- Richeton, J.; Ahzi, S.; Vecchio, K.S.; Jiang, F.C.; Adharapurapu, R.R. Influence of temperature and strain rate on the mechanical behavior of three amorphous polymers: Characterization and modeling of the compressive yield stress. Int. J. Solids Struct. 2006, 43, 2318–2335. [Google Scholar] [CrossRef]
- Kawai, N.; Zama, S.; Takemoto, W.; Moriguchi, K.; Arai, K.; Hasegawa, S.; Sato, E. Stress wave and damage propagation in transparent materials subjected to hypervelocity impact. Procedia Eng. 2015, 103, 287–293. [Google Scholar] [CrossRef]
- Zhang, Y.; Wang, S.; Chi, R.; Liu, Q.; Li, X.; Kan, C.; Xu, S.; Ma, J. Study on Hypervelocity Impact Characteristics of Polypropylene Spheres on Whipple Shields. Polymers 2025, 17, 319. [Google Scholar] [CrossRef] [PubMed]
- Bowering, M.H. Strain Rate Effects on Energy Dissipation During Hypervelocity Penetration of Polymeric Materials. Master’s Dissertation, Mississippi State University, Mississippi State, MS, USA, December 2018. [Google Scholar]
- Holmes, D.; Loughran, J.; Suehrcke, H. Constitutive model for large strain deformation of semicrystalline polymers. Mech. Time-Depend. Mat. 2006, 10, 281–313. [Google Scholar] [CrossRef]
- Zhu, H.; Ou, H.A.; Popov, A. A new phenomenological constitutive model for thermoplastics. Mech. Mater. 2021, 157, 19. [Google Scholar] [CrossRef]
- Fu, Z.Q.; Zhang, W.J.; Zhao, T.; Wang, Y.; Duan, L.Y.; Liu, H.Z. Constitutive modeling and simulation of polyethylene foam under quasi-static and impact loading. J. Cell. Plast. 2024, 60, 59–78. [Google Scholar] [CrossRef]
- Maxwell, J.C. IV. On the Dynamical Theory of Gases. Phil. Trans. R. Soc. 1867, 157, 49–88. [Google Scholar]
- Voigt, W. Ueber die innere Reibung der festen Körper, insbesondere der Krystalle. Abh. Koeniglichen Ges. Wiss. Goettingen 1890, 36, 3–48. [Google Scholar]
- Pouriayevali, H.; Arabnejad, S.; Guo, Y.; Shim, V. A constitutive description of the rate-sensitive response of semi-crystalline polymers. Int. J. Impact Eng. 2013, 62, 35–47. [Google Scholar] [CrossRef]
- Iadarola, A.; Ciardiello, R.; Paolino, D.S. A new effective phenomenological constitutive model for semi-crystalline and amorphous polymers. Polym. Eng. Sci. 2024, 64, 3730–3750. [Google Scholar] [CrossRef]
- Duan, Y.; Saigal, A.; Greif, R.; Zimmerman, M.A. A uniform phenomenological constitutive model for glassy and semicrystalline polymers. Polym. Eng. Sci. 2001, 41, 1322–1328. [Google Scholar] [CrossRef]
- Okereke, M.I.; Akpoyomare, A.I. Two-process constitutive model for semicrystalline polymers across a wide range of strain rates. Polymer 2019, 183, 121818. [Google Scholar] [CrossRef]
- Konale, A.; Ahmed, Z.; Wanchoo, P.; Srivastava, V. A large deformation model for quasi-static to high strain rate response of a rate-stiffening soft polymer. Int. J. Plast. 2023, 168, 23. [Google Scholar] [CrossRef]
- Xu, H.D.; Zhou, J.; Cao, X.; Miao, C.Q. A viscoelastic-viscoplastic thermo-mechanical model for polymers under hypervelocity impact. Int. J. Mech. Sci. 2024, 272, 109205. [Google Scholar] [CrossRef]
- Pai, A.A.; Rodriguez-Millan, M.; Nishida, M.; Su, Z.Y.; Shenoy, B.S. Numerical Analysis of Hyper Velocity Impact on quasi-isotropic carbon fiber reinforced polymer laminates. Acta Astronaut. 2024, 217, 323–332. [Google Scholar] [CrossRef]
- Buckley, C.P.; Harding, J.; Hou, J.P.; Ruiz, C.; Trojanowski, A. Deformation of thermosetting resins at impact rates of strain. Part I: Experimental study. J. Mech. Phys. Solids 2001, 49, 1517–1538. [Google Scholar] [CrossRef]
- Siviour, C.R.; Walley, S.M.; Proud, W.G.; Field, J.E. The high strain rate compressive behaviour of polycarbonate and polyvinylidene difluoride. Polymer 2005, 46, 12546–12555. [Google Scholar] [CrossRef]
- Ferry, J.D. Viscoelastic Properties of Polymers; John Wiley & Sons: Hoboken, NJ, USA, 1980. [Google Scholar]
- Guseva, M.; Gerasin, V.; Garishin, O.; Shadrin, V.; Plekhov, O.; Pawlak, A.J.P. Thermal effects under elastic and plastic deformation of polyethylene. Polymer 2015, 56, 416–427. [Google Scholar] [CrossRef]
- Drozdov, A.D. Effect of temperature on the viscoelastic and viscoplastic behavior of polypropylene. Mech. Time-Depend. Mater. 2010, 14, 411–434. [Google Scholar] [CrossRef]
- Ward, I.M.; Sweeney, J. Mechanical Properties of Solid Polymers, 3rd ed.; John Wiley & Sons: Hoboken, NJ, USA, 2012. [Google Scholar]
- Bassett, D.C. Principles of Polymer Morphology, 1st ed.; Cambridge University Press: Cambridge, UK, 1981. [Google Scholar]
- Swallowe, G.M. Mechanical Properties and Testing of Polymers, 1st ed.; Springer: Leicestershire, UK, 1999. [Google Scholar]
- Børvik, T.; Hopperstad, O.; Berstad, T.; Langseth, M. A computational model of viscoplasticity and ductile damage for impact and penetration. Eur. J. Mech. A-Solids 2001, 20, 685–712. [Google Scholar] [CrossRef]
- Richeton, J.; Ahzi, S.; Daridon, L.; Rémond, Y. A formulation of the cooperative model for the yield stress of amorphous polymers for a wide range of strain rates and temperatures. Polymer 2005, 46, 6035–6043. [Google Scholar] [CrossRef]
- Johnson, G.R. A constitutive model and data for metals subjected to large strains, high strain rates and high temperatures. In Proceedings of the 7th International Symposium on Ballistics, Hague, The Netherlands, 19–21 April 1983. [Google Scholar]
- Signetti, S.; Heine, A. Transition regime between high-velocity and hypervelocity impact in metals—A review of the relevant phenomena for material modeling in ballistic impact studies. Int. J. Impact Eng. 2022, 167, 18. [Google Scholar] [CrossRef]
- Farren, W.S.; Taylor, G.I. The heat developed during plastic extension of metals. Proc. R. Soc. Lond. Ser. A Contain. Pap. A Math. Phys. Character 1925, 107, 422–451. [Google Scholar]
- Ascher, U.; Petzold, L. Computer Methods for Ordinary Differential Equations and Differential-Algebraic Equations, 1st ed.; Society for Industrial & Applied Mathematics: Philadelphia, PA, USA, 2009. [Google Scholar]
- Neumaier, A. Complete search in continuous global optimization and constraint satisfaction. Acta Numer. 2004, 13, 271–369. [Google Scholar] [CrossRef]
- Feng, P.; Qiang, H.; Ye, L. Discussion and Definition on Yield Points of Materials, Member and Structures. Eng. Mech. 2017, 34, 11. [Google Scholar]













| (MPa) | (MPa) | (s−1) | |
|---|---|---|---|
| 69.4135 | 0.156291 | 0.370445 | 1 |
| Fitting Weight | Overall Deformation | Viscoelastic Segment | Viscoplastic Segment |
|---|---|---|---|
| 0 | 0.9861 | 0.9873 | 0.9690 |
| 20 | 0.9834 | 0.9793 | 0.9815 |
| 100 | 0.9813 | 0.9761 | 0.9853 |
(MPa) | (MPa·s) | (MPa·s) | (s) | (s) | ||||
|---|---|---|---|---|---|---|---|---|
| 72.2408 | 1.05483 | 56.7945 | 0.584895 | 0.940577 | 0.110474 | 0.0277132 | 1.18157 | 0.999395 |
| a | b1 | b2 | c1 | c2 | d1 | d2 | |||||
|---|---|---|---|---|---|---|---|---|---|---|---|
| −199.958 | −0.849211 | 1999.91 | 0.790387 | 2.6873 | 2427.98 | 276.027 | |||||
| e1 | e2 | T0 (K) | βp | ρ (g/cm3) | Cv (J/kg·K) | ||||||
| 1.2935 | 1.80688 | 298 | 0.9 | 0.874 | 1900 | ||||||
Disclaimer/Publisher’s Note: The statements, opinions and data contained in all publications are solely those of the individual author(s) and contributor(s) and not of MDPI and/or the editor(s). MDPI and/or the editor(s) disclaim responsibility for any injury to people or property resulting from any ideas, methods, instructions or products referred to in the content. |
© 2025 by the authors. Licensee MDPI, Basel, Switzerland. This article is an open access article distributed under the terms and conditions of the Creative Commons Attribution (CC BY) license (https://creativecommons.org/licenses/by/4.0/).
Share and Cite
Zhang, Y.; Chi, R.; Wang, S.; Zhang, X.; Si, J.; Zhao, Y.; Cui, G.; Ma, J. A Novel Phenomenological Constitutive Model for Semi-Crystalline Polymers Across a Wide Strain-Rate Range. Polymers 2025, 17, 762. https://doi.org/10.3390/polym17060762
Zhang Y, Chi R, Wang S, Zhang X, Si J, Zhao Y, Cui G, Ma J. A Novel Phenomenological Constitutive Model for Semi-Crystalline Polymers Across a Wide Strain-Rate Range. Polymers. 2025; 17(6):762. https://doi.org/10.3390/polym17060762
Chicago/Turabian StyleZhang, Yuxiang, Runqiang Chi, Shengjie Wang, Xuewen Zhang, Jiyue Si, Yuchen Zhao, Guangzhi Cui, and Jun Ma. 2025. "A Novel Phenomenological Constitutive Model for Semi-Crystalline Polymers Across a Wide Strain-Rate Range" Polymers 17, no. 6: 762. https://doi.org/10.3390/polym17060762
APA StyleZhang, Y., Chi, R., Wang, S., Zhang, X., Si, J., Zhao, Y., Cui, G., & Ma, J. (2025). A Novel Phenomenological Constitutive Model for Semi-Crystalline Polymers Across a Wide Strain-Rate Range. Polymers, 17(6), 762. https://doi.org/10.3390/polym17060762

