Synergistic Effects of Hybrid Bio-Fillers and Modified Natural Rubber on Natural Rubber Composite Properties
Abstract
1. Introduction
2. Materials and Methods
2.1. Materials
2.2. Preparation of Rice Husk Silica Particles
2.3. Preparation of Hydroxyapatite Particles
2.4. Characterization of Bio-Fillers
2.5. Preparation of Poly(Acrylic Acid-co-Acrylamide)-Grafted Deproteinized Natural Rubber
2.6. Characterization of Poly(Acrylic Acid-co-Acrylamide)-Grafted Deproteinized Natural Rubber
2.7. Preparation of Natural Rubber Composites
2.8. Characterization of Natural Rubber Composites
3. Results and Discussion
3.1. Properties of Bio-Fillers
3.1.1. FTIR Analysis
3.1.2. XRD Analysis
3.1.3. Surface Morphology
3.2. Properties of Poly(Acrylic Acid-co-Acrylamide)-Grafted DPNR
3.3. Properties of Natural Rubber Composites with Bio-Fillers and Compatibilizers
3.3.1. Cure Characteristics
3.3.2. Swelling Degree
3.3.3. Morphological Analysis of Fracture Surface
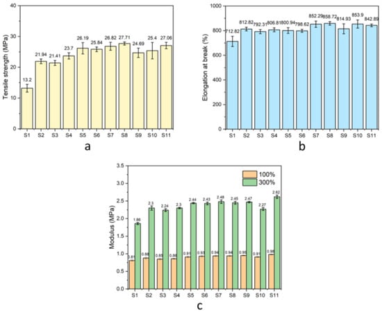
3.3.4. Mechanical Properties
3.3.5. Thermal Properties
3.3.6. Dynamic Mechanical Properties
3.3.7. Dielectric Properties
4. Conclusions
Author Contributions
Funding
Institutional Review Board Statement
Data Availability Statement
Acknowledgments
Conflicts of Interest
References
- George, N.; Chandra, J.; Mathiazhagan, A.; Joseph, R. High performance natural rubber composites with conductive segregated network of multiwalled carbon nanotubes. Compos. Sci. Technol. 2015, 116, 33–40. [Google Scholar] [CrossRef]
- Li, M.; Zhu, L.; Xiao, H.; Shen, T.; Tan, Z.; Zhuang, W.; Xi, Y.; Ji, X.; Zhu, C.; Ying, H. Design of a Lignin-Based Versatile Bioreinforcement for High-Performance Natural Rubber Composites. ACS Sustain. Chem. Eng. 2022, 10, 8031–8042. [Google Scholar] [CrossRef]
- Sattar, M.A.; Gangadharan, S.; Patnaik, A. Design of Dual Hybrid Network Natural Rubber–SiO2 Elastomers with Tailored Mechanical and Self-Healing Properties. ACS Omega 2019, 4, 10939–10949. [Google Scholar] [CrossRef]
- Singha, N.R.; Roy, C.; Mahapatra, M.; Dutta, A.; Deb Roy, J.S.; Mitra, M.; Chattopadhyay, P.K. Scalable Synthesis of Collagenic-Waste and Natural Rubber-Based Biocomposite for Removal of Hg(II) and Dyes: Approach for Cost-Friendly Waste Management. ACS Omega 2019, 4, 421–436. [Google Scholar] [CrossRef] [PubMed]
- Yan, C.; Liu, T.; Zhang, G.; Zhang, W.; Ma, J.; Wu, Y.; Huang, W. Self-Healing Natural Rubber Based on the Double Cross-Linked Networks for Fabrication of the Flexible Electronic Sensor. ACS Appl. Electron. Mater. 2024, 6, 6102–6112. [Google Scholar] [CrossRef]
- Liu, C.; Huang, S.; Hou, J.; Zhang, W.; Wang, J.; Yang, H.; Zhang, J. Natural Rubber Latex Reinforced by Graphene Oxide/Zwitterionic Chitin Nanocrystal Hybrids for High-Performance Elastomers without Sulfur Vulcanization. ACS Sustain. Chem. Eng. 2021, 9, 6470–6478. [Google Scholar] [CrossRef]
- Zhang, G.; Wang, G.; Jiang, Y.; Wang, S.; Zhang, Y. Preparation and properties of rice husk ash silica filled natural rubber. Polym. Compos. 2024, 45, 438–447. [Google Scholar] [CrossRef]
- Eissa, M.M.; Botros, S.H.; Diab, M.; Shafik, E.S.; Rozik, N.N. Rice husk fibers and their extracted silica as promising bio-based fillers for EPDM/NBR rubber blend vulcanizates. Clean Technol. Environ. Policy 2023, 25, 3203–3218. [Google Scholar] [CrossRef]
- Costa, W.B.; Félix Farias, A.F.; Silva-Filho, E.C.; Osajima, J.A.; Medina-Carrasco, S.; Del Mar Orta, M.; Fonseca, M.G. Polysaccharide Hydroxyapatite (Nano)composites and Their Biomedical Applications: An Overview of Recent Years. ACS Omega 2024, 9, 30035–30070. [Google Scholar] [CrossRef] [PubMed]
- Zhu, Y.-J.; Lu, B.-Q. Deformable Biomaterials Based on Ultralong Hydroxyapatite Nanowires. ACS Biomater. Sci. Eng. 2019, 5, 4951–4961. [Google Scholar] [CrossRef] [PubMed]
- Duta, L.; Grumezescu, V. The Effect of Doping on the Electrical and Dielectric Properties of Hydroxyapatite for Medical Applications: From Powders to Thin Films. Materials 2024, 17, 640. [Google Scholar] [CrossRef] [PubMed]
- Poikelispää, M.; Shakun, A.; Sarlin, E. Nanodiamond—Carbon Black Hybrid Filler System for Demanding Applications of Natural Rubber—Butadiene Rubber Composite. Appl. Sci. 2021, 11, 10085. [Google Scholar] [CrossRef]
- Sreelekshmi, R.V.; Sudha, J.D.; Menon, A.R.R. Novel organomodified kaolin/silica hybrid fillers in natural rubber and its blend with polybutadiene rubber. Polym. Bull. 2017, 74, 783–801. [Google Scholar] [CrossRef]
- Cao, L.; Sinha, T.K.; Tao, L.; Li, H.; Zong, C.; Kim, J.K. Synergistic reinforcement of silanized silica-graphene oxide hybrid in natural rubber for tire-tread fabrication: A latex based facile approach. Compos. Part B Eng. 2019, 161, 667–676. [Google Scholar] [CrossRef]
- Qian, M.; Zou, B.; Shi, Y.; Zhang, Y.; Wang, X.; Huang, W.; Zhu, Y. Enhanced mechanical and dielectric properties of natural rubber using sustainable natural hybrid filler. Appl. Surf. Sci. Adv. 2021, 6, 100171. [Google Scholar] [CrossRef]
- Anand, G.; Vishvanathperumal, S. Properties of SBR/NR Blend: The Effects of Carbon Black/Silica (CB/SiO2) Hybrid Filler and Silane Coupling Agent. Silicon 2022, 14, 9051–9060. [Google Scholar] [CrossRef]
- Lee, S.-H.; Park, S.-Y.; Chung, K.-H.; Jang, K.-S. Phlogopite-Reinforced Natural Rubber (NR)/Ethylene-Propylene-Diene Monomer Rubber (EPDM) Composites with Aminosilane Compatibilizer. Polymers 2021, 13, 2318. [Google Scholar] [CrossRef]
- Salaeh, S.; Banda, T.; Pongdong, V.; Wießner, S.; Das, A.; Thitithammawong, A. Compatibilization of poly(vinylidene fluoride)/natural rubber blend by poly(methyl methacrylate) modified natural rubber. Eur. Polym. J. 2018, 107, 132–142. [Google Scholar] [CrossRef]
- Xu, T.; Jia, Z.; Li, J.; Luo, Y.; Jia, D.; Peng, Z. Study on the dispersion of carbon black/silica in SBR/BR composites and its properties by adding epoxidized natural rubber as a compatilizer. Polym. Compos. 2018, 39, 377–385. [Google Scholar] [CrossRef]
- Inphonlek, S.; Kotchapradit, S.; Marungsri, B.; Ruksakulpiwat, Y.; Ruksakulpiwat, C. Enhanced Dielectric Properties and Antibacterial Activity of Natural Rubber by Modification with Poly(Acrylic Acid-Co-Acrylamide) Incorporating Silver Nanoparticles and Titanium Dioxide. Polymers 2024, 16, 3218. [Google Scholar] [CrossRef] [PubMed]
- Injorhor, P.; Inphonlek, S.; Ruksakulpiwat, Y.; Ruksakulpiwat, C. Effect of Modified Natural Rubber on the Mechanical and Thermal Properties of Poly(Lactic Acid) and Its Composites with Nanoparticles from Biowaste. Polymers 2024, 16, 812. [Google Scholar] [CrossRef]
- Kawahara, S.; Klinklai, W.; Kuroda, H.; Isono, Y. Removal of proteins from natural rubber with urea. Polym. Adv. Technol. 2004, 15, 181–184. [Google Scholar] [CrossRef]
- Inphonlek, S.; Bureewong, N.; Jarukumjorn, K.; Chumsamrong, P.; Ruksakulpiwat, C.; Ruksakulpiwat, Y. Preparation of Poly(acrylic acid-co-acrylamide)-Grafted Deproteinized Natural Rubber and Its Effect on the Properties of Natural Rubber/Silica Composites. Polymers 2022, 14, 4602. [Google Scholar] [CrossRef] [PubMed]
- Sadeghi, A.; Toiserkani, H. Preparation and investigation of properties of deproteinized natural rubber nanocomposites incorporating functionalized nano-alumina by in situ emulsion polymerization. J. Vinyl Addit. Technol. 2023, 29, 534–544. [Google Scholar] [CrossRef]
- Choophun, N.; Chaiammart, N.; Sukthavon, K.; Veranitisagul, C.; Laobuthee, A.; Watthanaphanit, A.; Panomsuwan, G. Natural Rubber Composites Reinforced with Green Silica from Rice Husk: Effect of Filler Loading on Mechanical Properties. J. Compos. Sci. 2022, 6, 369. [Google Scholar] [CrossRef]
- Tharani, D.; Ananthasubramanian, M. Influence of pre-treatment processes on the purity and characteristics of silica extracted from rice husk. Biomass Convers. Biorefinery 2024, 14, 12517–12529. [Google Scholar] [CrossRef]
- Xu, T.; Jia, Z.; Luo, Y.; Jia, D.; Peng, Z. Interfacial interaction between the epoxidized natural rubber and silica in natural rubber/silica composites. Appl. Surf. Sci. 2015, 328, 306–313. [Google Scholar] [CrossRef]
- Gui-Long, X.; Changyun, D.; Yun, L.; Pi-Hui, P.; Jian, H.; Zhuoru, Y. Preparation of Raspberry-like Superhydrophobic SiO2 Particles by Sol-gel Method and Its Potential Application. Nanomater. Nanotechnol. 2011, 1, 79–83. [Google Scholar] [CrossRef]
- Kjidaa, B.; McHich, Z.; Aziz, K.; Saffaj, N.; Saffaj, T.; Mamouni, R. Flexible Synthesis of Bio-Hydroxyapatite/Chitosan Hydrogel Beads for Highly Efficient Orange G Dye Removal: Batch and Recirculating Fixed-Bed Column Study. ACS Omega 2024, 9, 8543–8556. [Google Scholar] [CrossRef]
- Franco, A.; De, S.; Balu, A.M.; Romero, A.A.; Luque, R. Integrated Mechanochemical/Microwave-Assisted Approach for the Synthesis of Biogenic Silica-Based Catalysts from Rice Husk Waste. ACS Sustain. Chem. Eng. 2018, 6, 11555–11562. [Google Scholar] [CrossRef]
- Nzereogu, P.U.; Omah, A.D.; Ezema, F.I.; Iwuoha, E.I.; Nwanya, A.C. Silica extraction from rice husk: Comprehensive review and applications. Hybrid Adv. 2023, 4, 100111. [Google Scholar] [CrossRef]
- Mahalingam, V.; Sivaraju, M. Microwave-Assisted Sol-Gel Synthesis of Silica Nanoparticles Using Rice Husk as a Precursor for Corrosion Protection Application. Silicon 2023, 15, 1967–1975. [Google Scholar] [CrossRef]
- Wu, C.-S.; Wu, D.-Y.; Wang, S.-S. Biodegradable Composite Nanofiber Containing Fish-Scale Extracts. ACS Appl. Bio Mater. 2021, 4, 462–469. [Google Scholar] [CrossRef] [PubMed]
- Zancanela, D.C.; Funari, C.S.; Herculano, R.D.; Mello, V.M.; Rodrigues, C.M.; Borges, F.A.; de Barros, N.R.; Marcos, C.M.; Almeida, A.M.F.; Guastaldi, A.C. Natural Rubber Latex Membranes Incorporated with Three Different Types of Propolis: Physical-Chemistry and Antimicrobial Behaviours. Mater. Sci. Eng. C 2019, 97, 576–582. [Google Scholar] [CrossRef]
- Tang, B.; Chen, X.; He, Y.; Zhou, J.; Zhao, H.; Chen, W.; Wang, J.; Wang, X. Fabrication of Kapok Fibers and Natural Rubber Composites for Pressure Sensor Applications. Cellulose 2021, 28, 2287–2301. [Google Scholar] [CrossRef]
- Salimi, M.; Motamedi, E.; Motesharezedeh, B.; Hosseini, H.M.; Alikhani, H.A. Starch-g-Poly(acrylic acid-co-acrylamide) Composites Reinforced with Natural Char Nanoparticles Toward Environmentally Benign Slow-Release Urea Fertilizers. J. Environ. Chem. Eng. 2020, 8, 103765. [Google Scholar] [CrossRef]
- Dai, H.; Zhang, Y.; Ma, L.; Zhang, H.; Huang, H. Synthesis and Response of Pineapple Peel Carboxymethyl Cellulose-g-Poly (Acrylic acid-co-Acrylamide)/Graphene Oxide Hydrogels. Carbohydr. Polym. 2019, 215, 366–376. [Google Scholar] [CrossRef] [PubMed]
- Phumnok, E.; Khongprom, P.; Ratanawilai, S. Preparation of Natural Rubber Composites with High Silica Contents Using a Wet Mixing Process. ACS Omega 2022, 7, 8364–8376. [Google Scholar] [CrossRef]
- Shojaie, S.; Vahidifar, A.; Naderi, G.; Shokri, E.; Mekonnen, T.H.; Esmizadeh, E. Physical Hybrid of Nanographene/Carbon Nanotubes as Reinforcing Agents of NR-Based Rubber Foam. Polymers 2021, 13, 2346. [Google Scholar] [CrossRef] [PubMed]
- Sarih, N.M.; Gwee, K.; Maher, S.; Rashid, A.A. Natural Rubber (NR) Latex Films with Antimicrobial Properties for Stethoscope Diaphragm Covers. Materials 2022, 15, 3433. [Google Scholar] [CrossRef] [PubMed]
- Chen, Z.; Qian, M.; Liu, C.; Xue, B.; Yu, L.; Zhu, Y.; Wang, X. Surface Modification of Rice Husk–based Carbon–Silica Dual-Phase Filler by Ethanol-Assisted Milling and Its Reinforcing on Natural Rubber. Polym. Eng. Sci. 2022, 62, 382–391. [Google Scholar] [CrossRef]
- El Mogy, S.A.; El-Wakil, A.A.; Halim, S.F.; Abdel-Hakim, A. Optimization of Nile Rose Role as a Bio-Filler for Green Natural Rubber Composites. Polym. Compos. 2024, 45, 17088–17104. [Google Scholar] [CrossRef]
- Kazemi, H.; Mighri, F.; Park, K.W.; Frikha, S.; Rodrigue, D. Natural Rubber Biocomposites Reinforced with Cellulose Nanocrystals/Lignin Hybrid Fillers. Polym. Compos. 2022, 43, 5442–5453. [Google Scholar] [CrossRef]
- Tong, H.; Chen, Y.; Weng, Y.; Zhang, S. Biodegradable-Renewable Vitrimer Fabrication by Epoxidized Natural Rubber and Oxidized Starch with Robust Ductility and Elastic Recovery. ACS Sustain. Chem. Eng. 2022, 10, 7942–7953. [Google Scholar] [CrossRef]
- Ojogbo, E.; Tzoganakis, C.; Mekonnen, T.H. Batch Mixing for the In Situ Grafting of Epoxidized Rubber onto Cellulose Nanocrystals. ACS Sustain. Chem. Eng. 2022, 10, 8743–8753. [Google Scholar] [CrossRef]
- Jantachum, P.; Phinyocheep, P. Compatibilization of Cellulose Nanocrystal-Reinforced Natural Rubber Nanocomposite by Modified Natural Rubber. Polymers 2024, 16, 363. [Google Scholar] [CrossRef] [PubMed]
- Abdel-Hakim, A.; El-Wakil, A.E.-A.A.; El-Mogy, S.; Halim, S. Effect of Fiber Coating on the Mechanical Performance, Water Absorption and Biodegradability of Sisal Fiber/Natural Rubber Composite. Polym. Int. 2021, 70, 1356–1366. [Google Scholar] [CrossRef]
- Zhao, X.; Niu, K.; Xu, Y.; Peng, Z.; Jia, L.; Hui, D.; Zhang, L. Morphology and performance of NR/NBR/ENR ternary rubber composites. Compos. Part B Eng. 2016, 107, 106–112. [Google Scholar] [CrossRef]
- Sintharm, P.; Phisalaphong, M. Green Natural Rubber Composites Reinforced with Black/White Rice Husk Ashes: Effects of Reinforcing Agent on Film’s Mechanical and Dielectric Properties. Polymers 2021, 13, 882. [Google Scholar] [CrossRef] [PubMed]
- Sundarabharathi, L.; Ponnamma, D.; Parangusan, H.; Chinnaswamy, M.; Al-Maadeed, M.A.A. Effect of Anions on the Structural, Morphological and Dielectric Properties of Hydrothermally Synthesized Hydroxyapatite Nanoparticles. SN Appl. Sci. 2019, 2, 94. [Google Scholar] [CrossRef]















| Samples | Content (phr *) | ||||||||||
|---|---|---|---|---|---|---|---|---|---|---|---|
| S1 | S2 | S3 | S4 | S5 | S6 | S7 | S8 | S9 | S10 | S11 | |
| NR | 100 | 100 | 100 | 100 | 100 | 100 | 95 | 90 | 80 | - | 100 |
| gDPNR | - | - | - | - | - | - | 5 | 10 | 20 | 100 | - |
| CA | - | - | - | - | - | - | - | - | - | - | 1 |
| RSi | - | 10 | 7.5 | 5.0 | 2.5 | − | 2.5 | 2.5 | 2.5 | 2.5 | 2.5 |
| HA | - | - | 2.5 | 5.0 | 7.5 | 10 | 7.5 | 7.5 | 7.5 | 7.5 | 7.5 |
| SA | 2 | 2 | 2 | 2 | 2 | 2 | 2 | 2 | 2 | 2 | 2 |
| ZnO | 4 | 4 | 4 | 4 | 4 | 4 | 4 | 4 | 4 | 4 | 4 |
| CBS | 2 | 2 | 2 | 2 | 2 | 2 | 2 | 2 | 2 | 2 | 2 |
| TMTD | 0.1 | 0.1 | 0.1 | 0.1 | 0.1 | 0.1 | 0.1 | 0.1 | 0.1 | 0.1 | 0.1 |
| S | 1 | 1 | 1 | 1 | 1 | 1 | 1 | 1 | 1 | 1 | 1 |
| Samples | Materials | TS2 (min) | Tc90 (min) | ML (dNm) | MH (dNm) | MH-ML (dNm) | CRI (min−1) |
|---|---|---|---|---|---|---|---|
| S1 | NR | 3.86 | 6.90 | 0.81 | 10.48 | 9.67 | 32.89 |
| S2 | NR/RSi10 | 2.29 | 4.03 | 1.72 | 10.85 | 9.13 | 57.47 |
| S3 | NR/RSi7.5-HA2.5 | 2.44 | 3.99 | 1.63 | 10.92 | 9.29 | 64.51 |
| S4 | NR/RSi5.0-HA5.0 | 2.69 | 4.15 | 1.48 | 11.18 | 9.70 | 68.49 |
| S5 | NR/RSi2.5-HA7.5 | 2.89 | 4.50 | 1.34 | 11.83 | 10.49 | 60.97 |
| S6 | NR/HA10 | 2.90 | 4.76 | 1.03 | 11.99 | 10.96 | 53.76 |
| S7 | NR/RSi2.5-HA7.5/gDPNR5 | 2.75 | 4.40 | 1.32 | 11.81 | 10.49 | 60.60 |
| S8 | NR/RSi2.5-HA7.5/gDPNR10 | 2.80 | 4.42 | 1.27 | 11.81 | 10.54 | 61.72 |
| S9 | NR/RSi2.5-HA7.5/gDPNR20 | 2.43 | 3.80 | 1.17 | 11.78 | 10.61 | 72.99 |
| S10 | gDPNR/RSi2.5-HA7.5 | 1.42 | 2.87 | 0.89 | 11.50 | 10.61 | 68.96 |
| S11 | NR/RSi2.5-HA7.5/CA1 | 2.55 | 4.16 | 1.30 | 12.14 | 10.84 | 62.11 |
| Samples | Materials | T5 (min) | Tmax (min) | Residue at 600 °C (%) |
|---|---|---|---|---|
| S1 | NR | 316.68 | 379.18 | 4.85 |
| S2 | NR/RSi10 | 324.72 | 377.22 | 12.24 |
| S3 | NR/RSi7.5-HA2.5 | 321.81 | 379.31 | 11.79 |
| S4 | NR/RSi5.0-HA5.0 | 324.67 | 379.67 | 12.17 |
| S5 | NR/RSi2.5-HA7.5 | 324.46 | 379.46 | 12.27 |
| S6 | NR/HA10 | 322.14 | 379.64 | 11.93 |
| S7 | NR/RSi2.5-HA7.5/gDPNR5 | 324.57 | 379.57 | 12.23 |
| S8 | NR/RSi2.5-HA7.5/gDPNR10 | 327.10 | 379.60 | 12.15 |
| S9 | NR/RSi2.5-HA7.5/gDPNR20 | 327.03 | 379.53 | 12.38 |
| S10 | gDPNR/RSi2.5-HA7.5 | 331.86 | 379.36 | 12.16 |
| S11 | NR/RSi2.5-HA7.5/CA1 | 324.71 | 379.71 | 12.32 |
| Samples | Materials | Tg (°C) | Tan δ at 0 °C | Tan δ at 60 °C |
|---|---|---|---|---|
| S1 | NR | −50.17 | 0.0471 | 0.0260 |
| S2 | NR/RSi10 | −49.90 | 0.0719 | 0.0433 |
| S3 | NR/RSi7.5-HA2.5 | −49.78 | 0.0685 | 0.0401 |
| S4 | NR/RSi5.0-HA5.0 | −47.81 | 0.0879 | 0.0371 |
| S5 | NR/RSi2.5-HA7.5 | −49.38 | 0.0549 | 0.0251 |
| S6 | NR/HA10 | −51.32 | 0.0444 | 0.0225 |
| S7 | NR/RSi2.5-HA7.5/gDPNR5 | −51.60 | 0.0520 | 0.0266 |
| S8 | NR/RSi2.5-HA7.5/gDPNR10 | −50.18 | 0.0561 | 0.0261 |
| S9 | NR/RSi2.5-HA7.5/gDPNR20 | −51.46 | 0.0539 | 0.0251 |
| S10 | gDPNR/RSi2.5-HA7.5 | −50.71 | 0.0586 | 0.0201 |
| S11 | NR/RSi2.5-HA7.5/CA1 | −50.89 | 0.0504 | 0.0276 |
Disclaimer/Publisher’s Note: The statements, opinions and data contained in all publications are solely those of the individual author(s) and contributor(s) and not of MDPI and/or the editor(s). MDPI and/or the editor(s) disclaim responsibility for any injury to people or property resulting from any ideas, methods, instructions or products referred to in the content. |
© 2025 by the authors. Licensee MDPI, Basel, Switzerland. This article is an open access article distributed under the terms and conditions of the Creative Commons Attribution (CC BY) license (https://creativecommons.org/licenses/by/4.0/).
Share and Cite
Inphonlek, S.; Bureewong, N.; Kotchapradit, S.; Ruksakulpiwat, Y.; Ruksakulpiwat, C. Synergistic Effects of Hybrid Bio-Fillers and Modified Natural Rubber on Natural Rubber Composite Properties. Polymers 2025, 17, 632. https://doi.org/10.3390/polym17050632
Inphonlek S, Bureewong N, Kotchapradit S, Ruksakulpiwat Y, Ruksakulpiwat C. Synergistic Effects of Hybrid Bio-Fillers and Modified Natural Rubber on Natural Rubber Composite Properties. Polymers. 2025; 17(5):632. https://doi.org/10.3390/polym17050632
Chicago/Turabian StyleInphonlek, Supharat, Namthip Bureewong, Supawat Kotchapradit, Yupaporn Ruksakulpiwat, and Chaiwat Ruksakulpiwat. 2025. "Synergistic Effects of Hybrid Bio-Fillers and Modified Natural Rubber on Natural Rubber Composite Properties" Polymers 17, no. 5: 632. https://doi.org/10.3390/polym17050632
APA StyleInphonlek, S., Bureewong, N., Kotchapradit, S., Ruksakulpiwat, Y., & Ruksakulpiwat, C. (2025). Synergistic Effects of Hybrid Bio-Fillers and Modified Natural Rubber on Natural Rubber Composite Properties. Polymers, 17(5), 632. https://doi.org/10.3390/polym17050632

