Physicochemical Investigations on Samples Composed of a Mixture of Plant Extracts and Biopolymers in the Broad Context of Further Pharmaceutical Development
Abstract
1. Introduction
2. Materials and Methods
2.1. Samples Preparation
2.2. Attenuated Total Reflectance Fourier Transform Infrared Spectroscopy (ATR-FTIR)
2.3. X-Ray Diffractometry (XRD)
2.4. Atomic Force Microscopy (AFM)
2.5. Extensibility Assay and Matrix Material Impregnation Analysis
2.6. Thermogravimetric Analyses
2.7. Statistical Analysis
3. Results
3.1. Samples Preparation
3.2. Attenuated Total Reflectance Fourier Transform Infrared Spectroscopy (ATR-FTIR)
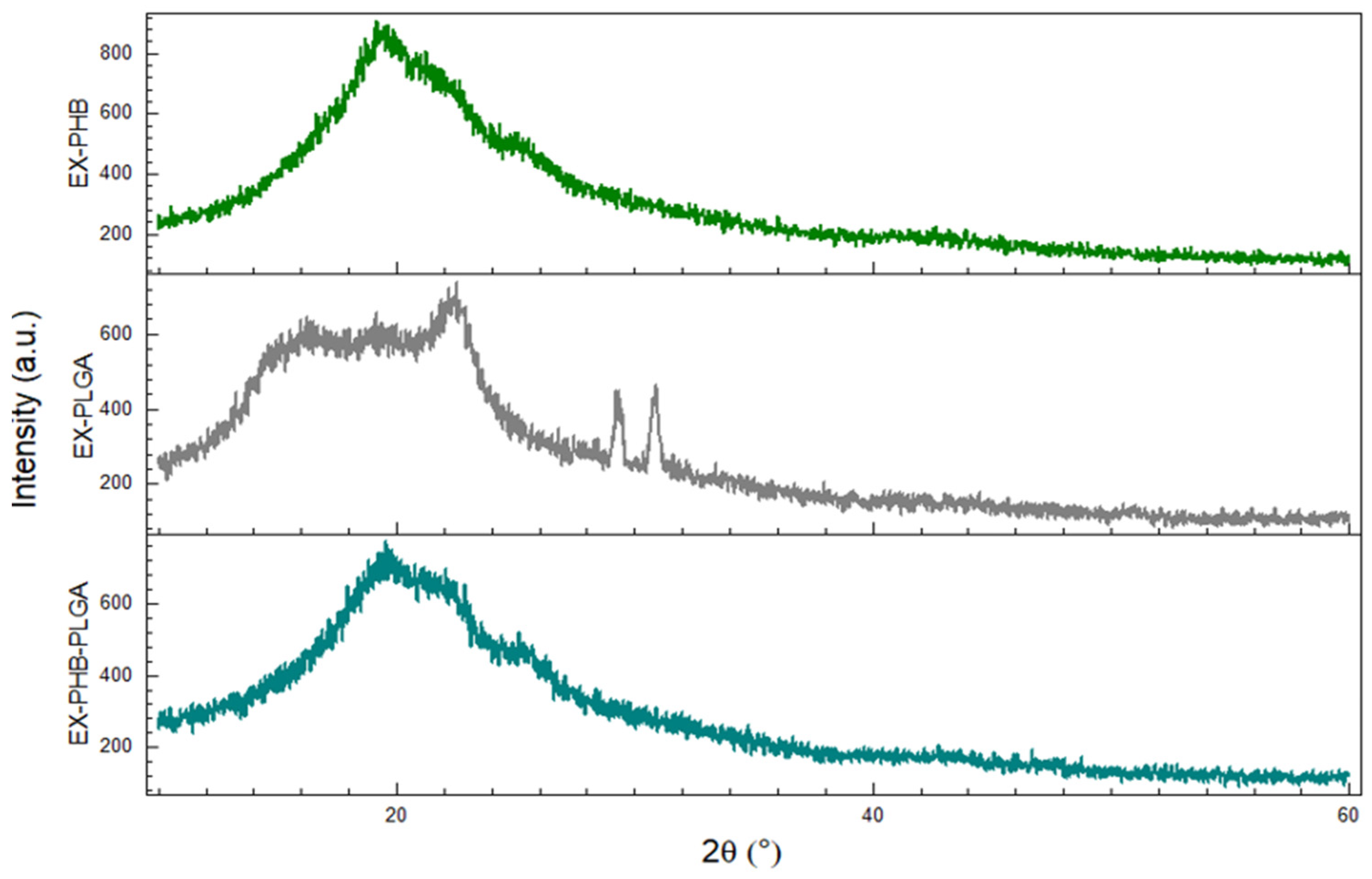
3.3. X-Ray Diffractometry (XRD)
3.4. Atomic Force Microscopy (AFM)
3.5. Extensibility Assay and Matrix Material Immersion Analysis
3.6. Thermogravimetric Analysis
4. Discussion
5. Conclusions
Supplementary Materials
Author Contributions
Funding
Institutional Review Board Statement
Data Availability Statement
Conflicts of Interest
References
- Chaachouay, N.; Zidane, L. Plant-Derived Natural Products: A Source for Drug Discovery and Development. Drugs Drug Candidates 2024, 3, 184–207. [Google Scholar] [CrossRef]
 - Nasim, N.; Sandeep, I.S.; Mohanty, S. Plant-derived natural products for drug discovery: Current approaches and prospects. Nucleus 2022, 65, 399–411. [Google Scholar] [CrossRef] [PubMed]
 - Wagner, H.; Ulrich-Merzenich, G. Synergy research: Approaching a new generation of phytopharmaceuticals. Phytomedicine 2009, 16, 97–110. [Google Scholar] [CrossRef]
 - Nocera, R.; Eletto, D.; Santoro, V.; Parisi, V.; Bellone, M.L.; Izzo, M.; Tosco, A.; Dal Piaz, F.; Donadio, G.; De Tommasi, N. Design of an Herbal Preparation Composed by a Combination of Ruscus aculeatus L. and Vitis vinifera L. Extracts, Magnolol and Diosmetin to Address Chronic Venous Diseases through an Anti-Inflammatory Effect and AP-1 Modulation. Plants 2023, 12, 1051. [Google Scholar] [CrossRef]
 - Tsoumani, M.; Nikolaou, P.E.; Argyropoulou, A.; Tseti, I.; Mitakou, S.; Andreadou, I. Novel Evidence-Based Combination of Plant Extracts with Multitarget Mechanisms of Action for the Elimination of Hot Flashes during Menopause. Molecules 2022, 27, 1221. [Google Scholar] [CrossRef]
 - Assaggaf, H.; Jeddi, M.; Mrabti, H.N.; Ez-zoubi, A.; Qasem, A.; Attar, A.; Goh, B.H.; Tan, S.L.; Bouyahya, A.; Goh, K.W.; et al. Design of three-component essential oil extract mixture from Cymbopogon flexuosus, Carum carvi, and Acorus calamus with enhanced antioxidant activity. Sci. Rep. 2024, 14, 9195. [Google Scholar] [CrossRef] [PubMed]
 - Jeong, J.-Y.; Jung, I.-G.; Yum, S.-H.; Hwang, Y.-J. In Vitro Synergistic Inhibitory Effects of Plant Extract Combinations on Bacterial Growth of Methicillin-Resistant Staphylococcus aureus. Pharmaceuticals 2023, 16, 1491. [Google Scholar] [CrossRef]
 - Michelini, S.; Fiorentino, A.; Cardone, M. Melilotus, rutin and bromelain in primary and secondary lymphedema. Lymphology 2020, 52, 177–186. [Google Scholar] [CrossRef]
 - Schiano Di Visconte, M.; Nicolì, F.; Del Giudice, R.; Cipolat Mis, T. Effect of a mixture of diosmin, coumarin glycosides, and triterpenes on bleeding, thrombosis, and pain after stapled anopexy: A prospective, randomized, placebo-controlled clinical trial. Int. J. Colorectal Dis. 2017, 32, 425–431. [Google Scholar] [CrossRef]
 - Givol, O.; Kornhaber, R.; Visentin, D.; Cleary, M.; Haik, J.; Harats, M. A systematic review of Calendula officinalis extract for wound healing. Wound Repair Regen. 2019, 27, 548–561. [Google Scholar] [CrossRef]
 - Silva, D.; Ferreira, M.S.; Sousa-Lobo, J.M.; Cruz, M.T.; Almeida, I.F. Anti-Inflammatory Activity of Calendula officinalis L. Flower Extract. Cosmetics 2021, 8, 31. [Google Scholar] [CrossRef]
 - Chen, T.-R.; Wei, L.-H.; Guan, X.-Q.; Huang, C.; Liu, Z.-Y.; Wang, F.-J.; Hou, J.; Jin, Q.; Liu, Y.-F.; Wen, P.-H.; et al. Biflavones from Ginkgo biloba as inhibitors of human thrombin. Bioorganic Chem. 2019, 92, 103199. [Google Scholar] [CrossRef]
 - Li, Y.; Jiang, J.; Tong, L.; Gao, T.; Bai, L.; Xue, Q.; Xing, J.; Wang, Q.; Lyu, H.; Cai, M.; et al. Bilobalide protects against ischemia/reperfusion-induced oxidative stress and inflammatory responses via the MAPK/NF-κB pathways in rats. BMC Musculoskelet. Disord. 2020, 21, 449. [Google Scholar] [CrossRef]
 - Shi, W.; Liu, L.; Li, J.; Qu, L.; Pang, X.; Yu, H.; Zhang, Y.; Wang, T. Bioactive flavonoids from Flos Sophorae. J. Nat. Med. 2017, 71, 513–522. [Google Scholar] [CrossRef] [PubMed]
 - Shahrousvand, M.; Haddadi-Asl, V.; Shahrousvand, M. Step-by-step design of poly (ε-caprolactone)/chitosan/Melilotus officinalis extract electrospun nanofibers for wound dressing applications. Int. J. Biol. Macromol. 2021, 180, 36–50. [Google Scholar] [CrossRef]
 - Jasicka-Misiak, I.; Makowicz, E.; Stanek, N. Polish Yellow Sweet Clover (Melilotus officinalis L.) Honey, Chromatographic Fingerprints, and Chemical Markers. Molecules 2017, 22, 138. [Google Scholar] [CrossRef]
 - Singamsetti, M.S.; Sala, S.; Vadaga, A.K. Importance of Biopolymers in Pharmaceutical and Medical Fields: Review Article. J. Pharma Insights Res. 2024, 2, 115–122. [Google Scholar] [CrossRef]
 - Opriș, O.; Mormile, C.; Lung, I.; Stegarescu, A.; Soran, M.-L.; Soran, A. An Overview of Biopolymers for Drug Delivery Applications. Appl. Sci. 2024, 14, 1383. [Google Scholar] [CrossRef]
 - Guo, W.; Yang, K.; Qin, X.; Luo, R.; Wang, H.; Huang, R. Polyhydroxyalkanoates in tissue repair and regeneration. Eng. Regen. 2022, 3, 24–40. [Google Scholar] [CrossRef]
 - Pugliese, A.; Tobyn, M.; Hawarden, L.E.; Abraham, A.; Blanc, F. New Development in Understanding Drug–Polymer Interactions in Pharmaceutical Amorphous Solid Dispersions from Solid-State Nuclear Magnetic Resonance. Mol. Pharm. 2022, 19, 3685–3699. [Google Scholar] [CrossRef]
 - Manayi, A.; Bagheri, N.; Dinarvand, R.; Esfandyari-Manesh, M.; Khanavi, M. Design and Optimization of PLGA-Based Tribulus terrestris Loaded Nanoparticles. Res. J. Pharmacogn. 2022, 9, 1–7. [Google Scholar] [CrossRef]
 - Wan, B.; Bao, Q.; Burgess, D. Long-acting PLGA microspheres: Advances in excipient and product analysis toward improved product understanding. Adv. Drug Deliv. Rev. 2023, 198, 114857. [Google Scholar] [CrossRef] [PubMed]
 - Kola, V. Plant extracts as additives in biodegradable films and coatings in active food packaging. Food Biosci. 2023, 54, 102860. [Google Scholar] [CrossRef]
 - Pool, H.; Quintanar, D.; de Figueroa, J.D.; Marinho Mano, C.; Bechara, J.E.H.; Godínez, L.A.; Mendoza, S. Antioxidant Effects of Quercetin and Catechin Encapsulated into PLGA Nanoparticles. J. Nanomater. 2012, 2012, 145380. [Google Scholar] [CrossRef]
 - Han, L.; Fu, Y.; Cole, A.J.; Liu, J.; Wang, J. Co-encapsulation and sustained-release of four components in ginkgo terpenes from injectable PELGE nanoparticles. Fitoterapia 2012, 83, 721–731. [Google Scholar] [CrossRef] [PubMed]
 - Armendáriz-Barragán, B.; Zafar, N.; Badri, W.; Galindo-Rodríguez, S.A.; Kabbaj, D.; Fessi, H.; Elaissari, A. Plant extracts: From encapsulation to application. Expert Opin. Drug Deliv. 2016, 13, 1165–1175. [Google Scholar] [CrossRef]
 - Santos, L.P.D.; Caon, T.; Battisti, M.A.; Silva, C.H.B.D.; Simões, C.M.O.; Reginatto, F.H.; De Campos, A.M. Antioxidant polymeric nanoparticles containing standardized extract of Ilex paraguariensis A. St.-Hil. for topical use. Ind. Crops Prod. 2017, 108, 738–747. [Google Scholar] [CrossRef]
 - Neagu, O.M.; Ghitea, T.; Marian, E.; Vlase, L.; Vlase, A.-M.; Ciavoi, G.; Fehér, P.; Pallag, A.; Bácskay, I.; Nemes, D.; et al. Formulation and Characterization of Mucoadhesive Polymeric Films Containing Extracts of Taraxaci Folium and Matricariae Flos. Molecules 2023, 28, 4002. [Google Scholar] [CrossRef]
 - Ungureanu, A.R.; Ozon, E.A.; Musuc, A.M.; Anastasescu, M.; Atkinson, I.; Mitran, R.-A.; Rusu, A.; Popescu, L.; Gîrd, C.E. Preparation and Preliminary Analysis of Several Nanoformulations Based on Plant Extracts and Biodegradable Polymers as a Possible Application for Chronic Venous Disease Therapy. Polymers 2024, 16, 1362. [Google Scholar] [CrossRef]
 - Ungureanu, A.R.; Chițescu, C.L.; Luță, E.A.; Moroșan, A.; Mihaiescu, D.E.; Mihai, D.P.; Costea, L.; Ozon, E.A.; Fița, A.C.; Balaci, T.D.; et al. Outlook on Chronic Venous Disease Treatment: Phytochemical Screening, In Vitro Antioxidant Activity and In Silico Studies for Three Vegetal Extracts. Molecules 2023, 28, 3668. [Google Scholar] [CrossRef]
 - Lee, S.Y.; Kim, S.Y.; Ku, S.H.; Park, E.J.; Jang, D.-J.; Kim, S.T.; Kim, S.-B. Polyhydroxyalkanoate Decelerates the Release of Paclitaxel from Poly (lactic-co-glycolic acid) Nanoparticles. Pharmaceutics 2022, 14, 1618. [Google Scholar] [CrossRef] [PubMed]
 - Nandiyanto, A.B.D.; Oktiani, R.; Ragadhita, R. How to Read and Interpret FTIR Spectroscope of Organic Material. Indones. J. Sci. Technol. 2019, 4, 97. [Google Scholar] [CrossRef]
 - Musuc, A.M.; Anuta, V.; Atkinson, I.; Sarbu, I.; Popa, V.T.; Munteanu, C.; Mircioiu, C.; Ozon, E.A.; Nitulescu, G.M.; Mitu, M.A. Formulation of Chewable Tablets Containing Carbamazepine-β-cyclodextrin Inclusion Complex and F-Melt Disintegration Excipient. The Mathematical Modeling of the Release Kinetics of Carbamazepine. Pharmaceutics 2021, 13, 915. [Google Scholar] [CrossRef] [PubMed]
 - Barbălată-Mândru, M.; Serbezeanu, D.; Butnaru, M.; Rîmbu, C.M.; Enache, A.A.; Aflori, M. Poly(vinyl alcohol)/Plant Extracts Films: Preparation, Surface Characterization and Antibacterial Studies against Gram Positive and Gram Negative Bacteria. Materials 2022, 15, 2493. [Google Scholar] [CrossRef]
 - Musuc, A.M.; Badea-Doni, M.; Jecu, L.; Rusu, A.; Popa, V.T. FTIR, XRD, and DSC analysis of the rosemary extract effect on polyethylene structure and biodegradability. J. Therm. Anal. Calorim. 2013, 114, 169–177. [Google Scholar] [CrossRef]
 - Popovici, V.; Matei, E.; Cozaru, G.-C.; Bucur, L.; Gîrd, C.E.; Schröder, V.; Ozon, E.A.; Sarbu, I.; Musuc, A.M.; Atkinson, I.; et al. Formulation and Development of Bioadhesive Oral Films Containing Usnea barbata (L.) F.H.Wigg Dry Ethanol Extract (F-UBE-HPC) with Antimicrobial and Anticancer Properties for Potential Use in Oral Cancer Complementary Therapy. Pharmaceutics 2022, 14, 1808. [Google Scholar] [CrossRef]
 - Popovici, V.; Matei, E.; Cozaru, G.C.; Bucur, L.; Gîrd, C.E.; Schröder, V.; Ozon, E.A.; Mitu, M.A.; Musuc, A.M.; Petrescu, S.; et al. Design, Characterization, and Anticancer and Antimicrobial Activities of Mucoadhesive Oral Patches Loaded with Usnea barbata (L.) F. H. Wigg Ethanol Extract F-UBE-HPMC. Antioxidants 2022, 11, 1801. [Google Scholar] [CrossRef]
 - Chelu, M.; Popa, M.; Ozon, E.A.; Pandele Cusu, J.; Anastasescu, M.; Surdu, V.A.; Calderon Moreno, J.; Musuc, A.M. High-Content Aloe vera Based Hydrogels: Physicochemical and Pharmaceutical Properties. Polymers 2023, 15, 1312. [Google Scholar] [CrossRef]
 - Rincón, M.; Silva-Abreu, M.; Espinoza, L.C.; Sosa, L.; Calpena, A.C.; Rodríguez-Lagunas, M.J.; Colom, H. Enhanced Transdermal Delivery of Pranoprofen Using a Thermo-Reversible Hydrogel Loaded with Lipid Nanocarriers for the Treatment of Local Inflammation. Pharmaceuticals 2021, 15, 22. [Google Scholar] [CrossRef]
 - Guo, F.; He, Y.; Hassanpour, A.; Gardy, J.; Zhong, Z. Thermogravimetric analysis on the co-combustion of biomass pellets with lignite and bituminous coal. Energy 2020, 197, 117147. [Google Scholar] [CrossRef]
 - Loganathan, S.; Valapa, R.B.; Mishra, R.K.; Pugazhenthi, G.; Thomas, S. Thermogravimetric Analysis for Characterization of Nanomaterials. In Thermal and Rheological Measurement Techniques for Nanomaterials Characterization; Elsevier: Amsterdam, The Netherlands, 2017; pp. 67–108. ISBN 978-0-323-46139-9. [Google Scholar] [CrossRef]
 - Errico, C.; Bartoli, C.; Chiellini, F.; Chiellini, E. Poly (hydroxyalkanoates)-Based Polymeric Nanoparticles for Drug Delivery. BioMed Res. Int. 2009, 2009, 571702. [Google Scholar] [CrossRef] [PubMed]
 - Marecki, E.K.; Oh, K.W.; Knight, P.R.; Davidson, B.A. Poly (lactic-co-glycolic acid) nanoparticle fabrication, functionalization, and biological considerations for drug delivery. Biomicrofluidics 2024, 18, 051503. [Google Scholar] [CrossRef] [PubMed]
 - Chen, J.; Huang, H.; Lu, R.; Wan, X.; Yao, Y.; Yang, T.; Li, P.; Ning, N.; Zhang, S. Hydrogen-bond super-amphiphile based drug delivery system: Design, synthesis, and biological evaluation. RSC Adv. 2022, 12, 6076–6082. [Google Scholar] [CrossRef] [PubMed]
 - Liu, K.; Zha, X.-Q.; Li, Q.-M.; Pan, L.-H.; Luo, J.-P. Hydrophobic interaction and hydrogen bonding driving the self-assembling of quinoa protein and flavonoids. Food Hydrocoll. 2021, 118, 106807. [Google Scholar] [CrossRef]
 - Kamanda, S.N.; Jacobs, A. Multicomponent crystals of p-coumaric acid and trans-ferulic acid: Structures and physicochemical properties. J. Mol. Struct. 2021, 1244, 130830. [Google Scholar] [CrossRef]
 - Shrestha, S.; Wang, B.; Dutta, P. Nanoparticle processing: Understanding and controlling aggregation. Adv. Colloid Interface Sci. 2020, 279, 102162. [Google Scholar] [CrossRef]
 - Bi, M.; Liu, B.; Pei, D.; Di, D.; Liu, G. Adsorption of flavonoids with glycosides: Design and synthesis of chitosan-functionalized microspheres. Colloids Surf. Physicochem. Eng. Asp. 2022, 655, 130221. [Google Scholar] [CrossRef]
 - Espíndola, C. Some Nanocarrier’s Properties and Chemical Interaction Mechanisms with Flavones. Molecules 2023, 28, 2864. [Google Scholar] [CrossRef]
 - De, R.; Jo, K.W.; Kim, K.-T. Influence of Molecular Structures on Fluorescence of Flavonoids and Their Detection in Mammalian Cells. Biomedicines 2022, 10, 1265. [Google Scholar] [CrossRef]
 - Christelle, B.; Eduardo, B.D.O.; Latifa, C.; Elaine-Rose, M.; Bernard, M.; Evelyne, R.-H.; Mohamed, G.; Jean-Marc, E.; Catherine, H. Combined docking and molecular dynamics simulations to enlighten the capacity of Pseudomonas cepacia and Candida antarctica lipases to catalyze quercetin acetylation. J. Biotechnol. 2011, 156, 203–210. [Google Scholar] [CrossRef]
 - Samrot, A.V.; Samanvitha, S.K.; Shobana, N.; Renitta, E.R.; Senthilkumar, P.; Kumar, S.S.; Abirami, S.; Dhiva, S.; Bavanilatha, M.; Prakash, P.; et al. The Synthesis, Characterization and Applications of Polyhydroxyalkanoates (PHAs) and PHA-Based Nanoparticles. Polymers 2021, 13, 3302. [Google Scholar] [CrossRef] [PubMed]
 - Moreira, J.B.; Kuntzler, S.G.; Vaz, B.D.S.; Silva, C.K.D.; Costa, J.A.V.; Morais, M.G.D. Polyhydroxybutyrate (PHB)-based blends and composites. In Biodegradable Polymers, Blends and Composites; Elsevier: Amsterdam, The Netherlands, 2022; pp. 389–413. ISBN 978-0-12-823791-5. [Google Scholar] [CrossRef]
 - Liu, G.; McEnnis, K. Glass Transition Temperature of PLGA Particles and the Influence on Drug Delivery Applications. Polymers 2022, 14, 993. [Google Scholar] [CrossRef]
 - Halevas, E.G.; Avgoulas, D.I.; Katsipis, G.; Pantazaki, A.A. Flavonoid-liposomes formulations: Physico-chemical characteristics, biological activities and therapeutic applications. Eur. J. Med. Chem. Rep. 2022, 5, 100059. [Google Scholar] [CrossRef]
 - Sun, H.; Jiao, R.; An, G.; Xu, H.; Wang, D. Influence of particle size on the aggregation behavior of nanoparticles: Role of structural hydration layer. J. Environ. Sci. 2021, 103, 33–42. [Google Scholar] [CrossRef]
 - Singh, S.; Sithole, B.; Lekha, P.; Permaul, K.; Govinden, R. Optimization of cultivation medium and cyclic fed-batch fermentation strategy for enhanced polyhydroxyalkanoate production by Bacillus thuringiensis using a glucose-rich hydrolyzate. Bioresour. Bioprocess. 2021, 8, 11. [Google Scholar] [CrossRef]
 - Vahabi, H.; Michely, L.; Moradkhani, G.; Akbari, V.; Cochez, M.; Vagner, C.; Renard, E.; Saeb, M.R.; Langlois, V. Thermal Stability and Flammability Behavior of Poly (3-hydroxybutyrate) (PHB) Based Composites. Materials 2019, 12, 2239. [Google Scholar] [CrossRef] [PubMed]
 - Mathew, A.; Fukuda, T.; Nagaoka, Y.; Hasumura, T.; Morimoto, H.; Yoshida, Y.; Maekawa, T.; Venugopal, K.; Kumar, D.S. Curcumin Loaded-PLGA Nanoparticles Conjugated with Tet-1 Peptide for Potential Use in Alzheimer’s Disease. PLoS ONE 2012, 7, e32616. [Google Scholar] [CrossRef]
 - Da Costa, E.M.; Filho, J.M.B.; Do Nascimento, T.G.; Macêdo, R.O. Thermal characterization of the quercetin and rutin flavonoids. Thermochim. Acta 2002, 392–393, 79–84. [Google Scholar] [CrossRef]
 - Silva, M.F.; Hechenleitner, A.A.W.; Irache, J.M.; Oliveira, A.J.A.D.; Pineda, E.A.G. Study of Thermal Degradation of PLGA, PLGA Nanospheres and PLGA/Maghemite Superparamagnetic Nanospheres. Mater. Res. 2015, 18, 1400–1406. [Google Scholar] [CrossRef]
 - Figueroa-Lopez, K.J.; Vicente, A.A.; Reis, M.A.M.; Torres-Giner, S.; Lagaron, J.M. Antimicrobial and Antioxidant Performance of Various Essential Oils and Natural Extracts and Their Incorporation into Biowaste Derived Poly (3-hydroxybutyrate-co-3-hydroxyvalerate) Layers Made from Electrospun Ultrathin Fibers. Nanomaterials 2019, 9, 144. [Google Scholar] [CrossRef]
 









| Scale | 8 × 8 μm2 | 2 × 2 μm2 | ||||||||||
|---|---|---|---|---|---|---|---|---|---|---|---|---|
| Whole Surface | Red Line Profile | Whole Surface | Red Line Profile | |||||||||
| Parameter (nm)  | Rpv | Rq | Ra | Rpv | Rq | Ra | Rpv | Rq | Ra | Rpv | Rq | Ra | 
| EX-PHB | 106.65 | 19.185 | 16.045 | 81.926 | 21.996 | 18.263 | 60.335 | 11.078 | 9.078 | 52.201 | 12.128 | 9.841 | 
| EX-PLGA | 145.68 | 17.703 | 13.45 | 37.607 | 9.153 | 7.573 | 34.701 | 5.898 | 4.842 | 17.58 | 4.374 | 3.6 | 
| EX-PHB-PLGA | 519.144 | 59.758 | 32.872 | 49.723 | 12.129 | 9.616 | 36.116 | 5.829 | 4.752 | 25.295 | 5.83 | 4.7 | 
Disclaimer/Publisher’s Note: The statements, opinions and data contained in all publications are solely those of the individual author(s) and contributor(s) and not of MDPI and/or the editor(s). MDPI and/or the editor(s) disclaim responsibility for any injury to people or property resulting from any ideas, methods, instructions or products referred to in the content.  | 
© 2025 by the authors. Licensee MDPI, Basel, Switzerland. This article is an open access article distributed under the terms and conditions of the Creative Commons Attribution (CC BY) license (https://creativecommons.org/licenses/by/4.0/).
Share and Cite
Ungureanu, A.R.; Musuc, A.M.; Ozon, E.A.; Anastasescu, M.; Atkinson, I.; Mitran, R.-A.; Rusu, A.; Luță, E.-A.; Chițescu, C.L.; Gîrd, C.E. Physicochemical Investigations on Samples Composed of a Mixture of Plant Extracts and Biopolymers in the Broad Context of Further Pharmaceutical Development. Polymers 2025, 17, 1499. https://doi.org/10.3390/polym17111499
Ungureanu AR, Musuc AM, Ozon EA, Anastasescu M, Atkinson I, Mitran R-A, Rusu A, Luță E-A, Chițescu CL, Gîrd CE. Physicochemical Investigations on Samples Composed of a Mixture of Plant Extracts and Biopolymers in the Broad Context of Further Pharmaceutical Development. Polymers. 2025; 17(11):1499. https://doi.org/10.3390/polym17111499
Chicago/Turabian StyleUngureanu, Andreea Roxana, Adina Magdalena Musuc, Emma Adriana Ozon, Mihai Anastasescu, Irina Atkinson, Raul-Augustin Mitran, Adriana Rusu, Emanuela-Alice Luță, Carmen Lidia Chițescu, and Cerasela Elena Gîrd. 2025. "Physicochemical Investigations on Samples Composed of a Mixture of Plant Extracts and Biopolymers in the Broad Context of Further Pharmaceutical Development" Polymers 17, no. 11: 1499. https://doi.org/10.3390/polym17111499
APA StyleUngureanu, A. R., Musuc, A. M., Ozon, E. A., Anastasescu, M., Atkinson, I., Mitran, R.-A., Rusu, A., Luță, E.-A., Chițescu, C. L., & Gîrd, C. E. (2025). Physicochemical Investigations on Samples Composed of a Mixture of Plant Extracts and Biopolymers in the Broad Context of Further Pharmaceutical Development. Polymers, 17(11), 1499. https://doi.org/10.3390/polym17111499
        
