Experimental Study of a Superabsorbent Polymer Hydrogel in an Alkali Environment and Its Effects on the Mechanical and Shrinkage Properties of Cement Mortars
Abstract
1. Introduction
2. Materials and Methods
2.1. Materials
2.1.1. Cement and Aggregate
2.1.2. Superabsorbent Polymers (SAPs) and Sodium Silicate (SS)
2.1.3. Mix Proportion and Specimen Preparation
2.2. Testing Procedure
2.2.1. Water Absorption Capacities of SAPs
2.2.2. Water Retention (WR) Test
2.2.3. Fluidity Test
2.2.4. Mechanical Properties Test
2.2.5. Restrained Shrinkage Properties Test
Cracks Observation
- The test pieces were divided into four sides with a rectangular part drawn on the outer side and facing forward.
- We limited our use of conductive adhesive paste (8 cm and 1 cm) because of the stress concentration on the narrow section of specimen in the steel ring.
- Wires were joined to the conductive silver adhesive paste (CSA) application zone and secured with adhesive tape to prevent loosening.
- All the apparatus were connected accordingly to record the cracking time; crack development paths were observed at 5 h intervals.
2.3. Analysis of Variance (ANOVA)
3. Results and Discussion
3.1. Water Absorption Capacities of SAPs
3.2. The Effect of Temperature on the Water Absorption of the SAPs
3.3. Water Retention Test
The Effect of Temperature on the Water Retention of the SAPs
3.4. Fluidity of SAP Mortars
3.5. Mechanical Properties of SAP Mortars
3.5.1. Compressive Strength
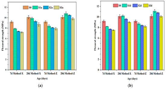
3.5.2. Flexural Strength
3.6. Autogenous Shrinkage Properties
3.7. ANOVA Results
4. Conclusions
- The SAPs exhibited rapid water absorption, exceeding 85% within the first 30 min before reaching a saturation point. This equilibrium state occurs when the osmotic pressure within the gel and the surrounding environment equalizes. The chemical and temperature variations in the water significantly affect water absorption and desorption. However, the SAP hydrogel retains a portion of water, even in an alkaline environment, for extended periods unless there is a significant change in pH or ion concentration.
- The simulations conducted in an alkaline environment created by adding SS indicate that the ion concentration remains constant. In contrast, in a cementitious climate, the ion concentration increases with time (hydration degree) as the SAP releases water over days.
- The filtration experiments revealed that SAP-d exhibited the slowest water release rate, retaining water for significantly longer than the other three types, making it particularly beneficial for delaying cracking and reducing shrinkage. The addition of SAP content using the dry mixing method reduces mortar fluidity. Conversely, pre-wet blending with SAPs results in a slight increase in fluidity as the SAP content increases.
- The compressive and flexural strength of SAP mortars is reduced due to the addition of SAPs at early ages. Under the dry mixing method, compressive and flexural strength decreases with increases in SAP content due to the formation of larger macro-voids. However, pre-wet mixing leads to increased strength at later ages compared to dry-mixing, attributed to the enhanced hydration reaction triggered by the water released from the reservoirs.
- SAP incorporation delays the average cracking time of mortars with increasing dosage. Superabsorbent polymers effectively control shrinkage stability and prevent premature cracking when the dosage reaches 0.3%. SAP-d, with its slow release and smaller bulk surface, also demonstrated a superior ability to inhibit the early cracking of cement mortars.
- The statistical analyses provided clear evidence of the significant impact of SAP dosage, curing time, and mixing method on the fluidity, mechanical strength, and shrinkage characteristics of cement mortars. These findings underscore the critical importance of optimizing SAP modifications to enhance the performance and durability of construction materials.
Author Contributions
Funding
Institutional Review Board Statement
Data Availability Statement
Acknowledgments
Conflicts of Interest
References
- Bentz, D.P.; Jensen, O.M. Mitigation strategies for autogenous shrinkage cracking. Cem. Concr. Compos. 2004, 26, 677–685. [Google Scholar] [CrossRef]
- Snoeck, D.; Jensen, O.M.; De Belie, N. The influence of superabsorbent polymers on the autogenous shrinkage properties of cement pastes with supplementary cementitious materials. Cem. Concr. Res. 2015, 74, 59–67. [Google Scholar] [CrossRef]
- De Meyst, L.; Mannekens, E.; Van Tittelboom, K.; De Belie, N. The influence of superabsorbent polymers (SAPs) on autogenous shrinkage in cement paste, mortar and concrete. Constr. Build. Mater. 2021, 286, 122948. [Google Scholar] [CrossRef]
- Lefever, G.; Tsangouri, E.; Snoeck, D.; Aggelis, D.G.; De Belie, N.; Van Vlierberghe, S.; Van Hemelrijck, D. Combined use of superabsorbent polymers and nanosilica for reduction of restrained shrinkage and strength compensation in cementitious mortars. Constr. Build. Mater. 2020, 251, 118966. [Google Scholar] [CrossRef]
- Lefever, G.; Charkieh, A.S.; Abbass, M.; Van Hemelrijck, D.; Snoeck, D.; Aggelis, D.G. Ultrasonic evaluation of self-healing cementitious materials with superabsorbent polymers: Mortar vs. concrete. Dev. Built Environ. 2023, 13, 100112. [Google Scholar] [CrossRef]
- Hossain, M.R.; Sultana, R.; Patwary, M.M.; Khunga, N.; Sharma, P.; Shaker, S.J. Self-healing concrete for sustainable buildings. A review. Environ. Chem. Lett. 2022, 20, 1265–1273. [Google Scholar] [CrossRef]
- Snoeck, D.; De Belie, N. Autogenous healing in strain-hardening cementitious materials with and without superabsorbent polymers: An 8-year study. Front. Mater. 2019, 6, 48. [Google Scholar] [CrossRef]
- Kanellopoulou, I.A.; Kartsonakis, I.A.; Charitidis, C.A. The effect of superabsorbent polymers on the microstructure and self-healing properties of cementitious-based composite materials. Appl. Sci. 2021, 11, 700. [Google Scholar] [CrossRef]
- Lefever, G.; Snoeck, D.; Aggelis, D.G.; De Belie, N.; Van Vlierberghe, S.; Van Hemelrijck, D. Evaluation of the self-healing ability of mortar mixtures containing superabsorbent polymers and nanosilica. Materials 2020, 13, 380. [Google Scholar] [CrossRef]
- Schröfl, C.; Erk, K.A.; Siriwatwechakul, W.; Wyrzykowski, M.; Snoeck, D. Recent progress in superabsorbent polymers for concrete. Cem. Concr. Res. 2022, 151, 106648. [Google Scholar] [CrossRef]
- Craeye, B.; De Schutter, G. Experimental evaluation of mitigation of autogenous shrinkage by means of a vertical dilatometer for concrete. In Proceedings of the Eight International Conference on Creep, Shrinkage and Durability Mechanics of Concrete and Concrete Structures, Ise-shima, Japan, 30 September–2 October 2008; CRC Press: Boca Raton, FL, USA; Balkema: Rotterdam, The Netherlands, 2008; pp. 909–914. [Google Scholar]
- Yang, Y.; Liang, Z.; Zhang, R.; Zhou, S.; Yang, H.; Chen, Y.; Zhang, J.; Yin, H.; Yu, D. Research Advances in Superabsorbent Polymers. Polymers 2024, 16, 501. [Google Scholar] [CrossRef] [PubMed]
- Al-kahtani, M.S.M.; Zhu, H.; Ibrahim, Y.E.; Haruna, S.I. Experimental study on the strength and durability-related properties of ordinary Portland and rapid hardening Portland cement mortar containing polyurethane binder. Case Stud. Constr. Mater. 2022, 17, e01530. [Google Scholar] [CrossRef]
- Yaseen, M.; Khan, A.; Humayun, M.; Bibi, S.; Farooq, S.; Bououdina, M.; Ahmad, S. Fabrication and characterization of CuO–SiO2/PVA polymer nanocomposite for effective wastewater treatment and prospective biological applications. Green Chem. Lett. Rev. 2024, 17, 2321251. [Google Scholar] [CrossRef]
- Junaedi, H.; Khan, T.; Sebaey, T.A. Characteristics of Carbon-Fiber-Reinforced Polymer Face Sheet and Glass-Fiber-Reinforced Rigid Polyurethane Foam Sandwich Structures under Flexural and Compression Tests. Materials 2023, 16, 5101. [Google Scholar] [CrossRef] [PubMed]
- Haruna, S.I.; Ibrahim, Y.E.; Han, Z.; Farouk, A.I.B. Flexural Response of Concrete Specimen Retrofitted with PU Grout Material: Experimental and Numerical Modeling. Polymers 2023, 15, 4114. [Google Scholar] [CrossRef]
- Niu, X.; Zhang, Y.; Elakneswaran, Y.; Sasaki, M.; Takayama, T.; Kawai, H. Effect of Superabsorbent Polymer (SAP) Size on Microstructure and Compressive Strength of Concrete. Polymers 2024, 16, 197. [Google Scholar] [CrossRef]
- Qin, X.; Lin, Y.; Mao, J.; Sun, X.; Xie, Z.; Huang, Q. Research of Water Absorption and Release Mechanism of Superabsorbent Polymer in Cement Paste. Polymers 2023, 15, 3062. [Google Scholar] [CrossRef]
- Moradllo, M.K.; Montanari, L.; Suraneni, P.; Reese, S.R.; Weiss, J. Examining curing efficiency using neutron radiography. Transp. Res. Rec. 2018, 2672, 13–23. [Google Scholar] [CrossRef]
- Kang, S.-H.; Hong, S.-G.; Moon, J. Absorption kinetics of superabsorbent polymers (SAP) in various cement-based solutions. Cem. Concr. Res. 2017, 97, 73–83. [Google Scholar] [CrossRef]
- Yang, J.; Wang, F.; Liu, Z.; Liu, Y.; Hu, S. Early-state water migration characteristics of superabsorbent polymers in cement pastes. Cem. Concr. Res. 2019, 118, 25–37. [Google Scholar] [CrossRef]
- Lee, H.X.D.; Wong, H.S.; Buenfeld, N.R. Effect of alkalinity and calcium concentration of pore solution on the swelling and ionic exchange of superabsorbent polymers in cement paste. Cem. Concr. Compos. 2018, 88, 150–164. [Google Scholar] [CrossRef]
- Oh, S.; Choi, S. Effects of superabsorbent polymers (SAP) on the rheological behavior of cement mortars: A rheological study on performance requirements for 3D printable cementitious materials. Constr. Build. Mater. 2023, 392, 131856. [Google Scholar] [CrossRef]
- Tan, Y.; Chen, H.; Wang, Z.; Xue, C.; He, R. Performances of Cement Mortar Incorporating Superabsorbent Polymer (SAP) Using Different Dosing Methods. Materials 2019, 12, 1619. [Google Scholar] [CrossRef] [PubMed]
- ASTM C136/C136M-19; Standard Test Method for Sieve Analysis of Fine and Coarse Aggregates. ASTM International: West Conshohocken, PA, USA, 2019. Available online: www.astm.org (accessed on 17 April 2022).
- Jensen, O.M. Use of superabsorbent polymers in construction materials. In Proceedings of the 1st International Conference on Microstructure Related Durability of Cementitious Composites, Nanjing, China, 13–15 October 2008; Rilem Publications: Bagneux, France, 2008; pp. 757–764. [Google Scholar]
- Snoeck, D.; Van Tittelboom, K.; Steuperaert, S.; Dubruel, P.; De Belie, N. Self-healing cementitious materials by the combination of microfibres and superabsorbent polymers. J. Intell. Mater. Syst. Struct. 2014, 25, 13–24. [Google Scholar] [CrossRef]
- Mechtcherine, V.; Snoeck, D.; Schröfl, C.; De Belie, N.; Klemm, A.J.; Ichimiya, K.; Moon, J.; Wyrzykowski, M.; Lura, P.; Toropovs, N. Testing superabsorbent polymer (SAP) sorption properties prior to implementation in concrete: Results of a RILEM Round-Robin Test. Mater. Struct. 2018, 51, 28. [Google Scholar] [CrossRef]
- GB/T2419-2005; Test Methods of Fluidity of Cement Mortar. Chinese National Standard: Beijing, China, 2005.
- GB/T17671-1999; Method of Testing Cements—Determination of Strength. Chinese National Standard: Beijing, China, 1999.
- Shao, J.; Zhu, H.; Xue, G.; Yu, Y.; Mirgan Borito, S.; Jiang, W. Mechanical and restrained shrinkage behaviors of cement mortar incorporating waste tire rubber particles and expansive agent. Constr. Build. Mater. 2021, 296, 123742. [Google Scholar] [CrossRef]
- Zhu, H.; Li, H.; Zhu, X. On concrete restrained eccentric ring and squared eccentric ring shrinkage test methods. Constr. Build. Mater. 2015, 84, 239–244. [Google Scholar] [CrossRef]
- Krafcik, M.J.; Erk, K.A. Characterization of superabsorbent poly(sodium-acrylate acrylamide) hydrogels and influence of chemical structure on internally cured mortar. Mater. Struct. 2016, 49, 4765–4778. [Google Scholar] [CrossRef]
- Mignon, A.; Snoeck, D.; Schaubroeck, D.; Luickx, N.; Dubruel, P.; Van Vlierberghe, S.; De Belie, N. pH-responsive superabsorbent polymers: A pathway to self-healing of mortar. React. Funct. Polym. 2015, 93, 68–76. [Google Scholar] [CrossRef]
- Krafcik, M.J.; Macke, N.D.; Erk, K.A. Improved Concrete Materials with Hydrogel-Based Internal Curing Agents. Gels 2017, 3, 46. [Google Scholar] [CrossRef]
- Hasholt, M.T.; Jensen, O.M.; Kovler, K.; Zhutovsky, S. Can superabsorent polymers mitigate autogenous shrinkage of internally cured concrete without compromising the strength? Constr. Build. Mater. 2012, 31, 226–230. [Google Scholar] [CrossRef]
- Šavija, B.; Zhang, H.; Schlangen, E. Influence of microencapsulated phase change material (PCM) addition on (micro) mechanical properties of cement paste. Materials 2017, 10, 863. [Google Scholar] [CrossRef] [PubMed]

















| Cement | Oxides | ||||||
|---|---|---|---|---|---|---|---|
| OPC | SiO2 | Al2O3 | Fe2O3 | CaO | MgO | SO3 | LOI |
| 21.20 | 4.64 | 3.13 | 61.24 | 4.60 | 1.76 | 2.15 | |
| Properties | SAP-A | SAP-B | SAP-C | SAP-D |
|---|---|---|---|---|
| Appearance | White | White | White | White |
| Fineness (mesh) | 30–60 | 60–100 | 120–180 | 300–400 |
| Absorption in tap water/(g/g) | ≥200 | ≥130 | ≥100 | ≥90 |
| Water holding capacity (0.9% NaCl)/(g/g) | ≥60 | ≥60 | ≥50 | ≥45 |
| Bulk density g/m | 0.65–0.85 | 0.65–0.85 | 0.65–0.85 | 0.65–0.85 |
| pH values | 5.5–6.5 | 5.5–6.5 | 5.5–6.5 | 5.5–6.5 |
| Na2O (%) | SiO2 (%) | Baume Degree (20 °C) | Solid Content (%) | pH Value |
|---|---|---|---|---|
| ≥12.80 | ≥29.20 | 50.0–51.0 | 42.0 | 14.0 |
| Materials | Method-X | Method-Z | |||||
|---|---|---|---|---|---|---|---|
| 0 | 0.1% | 0.2% | 0.3% | 0.1% | 0.2% | 0.3% | |
| Cement | 530 | 530 | 530 | 530 | 530 | 530 | 530 |
| Water | 223 | 223 | 223 | 223 | 223 | 223 | 223 |
| Fine aggregate | 1325 | 1325 | 1 325 | 1325 | 1325 | 1325 | 1325 |
| SAP | - | 0.53 | 1.06 | 1.59 | 0.53 | 1.06 | 1.59 |
| Water-reducing agent | 2.1 | 2.1 | 2.1 | 2.1 | 2.1 | 2.4 | 2.4 |
| Flow Value (mm) | ||||||
| Variables | A: SAP type | B: SAP dosage | C: Mixing method | Interaction AB | Interaction BC | Interaction AC |
| p-values | 0.545629 | 0.007302 | 1.000 | 0.133070 | 0.177954 | 0.648050 |
| Variables | p-Values | |
|---|---|---|
| Compressive Strength (MPa) | Flexural Strength (MPa) | |
| A: SAP dosage | 0.015711 | 0.001812 |
| B: Curing time | 0.000069 | 0.000071 |
| C: Mixing method | 0.029501 | 0.001411 |
| Interaction AB | 0.113222 | 0.009991 |
| Interaction AC | 0.264351 | 0.024546 |
| Interaction BC | 0.103837 | 0.060931 |
| Variables | p-Values | |
|---|---|---|
| Compressive Strength (MPa) | Flexural Strength (MPa) | |
| A: SAP dosage | 0.035844 | 0.003410 |
| B: Curing time | 0.000186 | 0.000071 |
| C: Mixing method | 0.031857 | 0.001411 |
| Interaction AB | 0.175931 | 0.009991 |
| Interaction AC | 0.351723 | 0.024546 |
| Interaction BC | 0.122590 | 0.060931 |
| Average Cracking Time (h) | |||||
| Variables | A: SAP dosage | B: SAP type | C: Mixing method | Interaction BC | Interaction AC |
| p-values | 0.000384 | 0.075096 | 1.000 | 0.625455 | 0.114590 |
Disclaimer/Publisher’s Note: The statements, opinions and data contained in all publications are solely those of the individual author(s) and contributor(s) and not of MDPI and/or the editor(s). MDPI and/or the editor(s) disclaim responsibility for any injury to people or property resulting from any ideas, methods, instructions or products referred to in the content. |
© 2024 by the authors. Licensee MDPI, Basel, Switzerland. This article is an open access article distributed under the terms and conditions of the Creative Commons Attribution (CC BY) license (https://creativecommons.org/licenses/by/4.0/).
Share and Cite
Al-Shawafi, A.; Zhu, H.; Haruna, S.I.; Ibrahim, Y.E.; Yang, J.; Borito, S.M. Experimental Study of a Superabsorbent Polymer Hydrogel in an Alkali Environment and Its Effects on the Mechanical and Shrinkage Properties of Cement Mortars. Polymers 2024, 16, 1158. https://doi.org/10.3390/polym16081158
Al-Shawafi A, Zhu H, Haruna SI, Ibrahim YE, Yang J, Borito SM. Experimental Study of a Superabsorbent Polymer Hydrogel in an Alkali Environment and Its Effects on the Mechanical and Shrinkage Properties of Cement Mortars. Polymers. 2024; 16(8):1158. https://doi.org/10.3390/polym16081158
Chicago/Turabian StyleAl-Shawafi, Ali, Han Zhu, Sadi Ibrahim Haruna, Yasser E. Ibrahim, Jian Yang, and Said Mirgan Borito. 2024. "Experimental Study of a Superabsorbent Polymer Hydrogel in an Alkali Environment and Its Effects on the Mechanical and Shrinkage Properties of Cement Mortars" Polymers 16, no. 8: 1158. https://doi.org/10.3390/polym16081158
APA StyleAl-Shawafi, A., Zhu, H., Haruna, S. I., Ibrahim, Y. E., Yang, J., & Borito, S. M. (2024). Experimental Study of a Superabsorbent Polymer Hydrogel in an Alkali Environment and Its Effects on the Mechanical and Shrinkage Properties of Cement Mortars. Polymers, 16(8), 1158. https://doi.org/10.3390/polym16081158

