Due to scheduled maintenance work on our servers, there may be short service disruptions on this website between 11:00 and 12:00 CEST on March 28th.
Sign in to use this feature.

Years

Between: -

Subjects

remove_circle_outline
remove_circle_outline
remove_circle_outline
remove_circle_outline
remove_circle_outline
remove_circle_outline
remove_circle_outline
remove_circle_outline
remove_circle_outline

Journals

remove_circle_outline
remove_circle_outline
remove_circle_outline
remove_circle_outline
remove_circle_outline
remove_circle_outline
remove_circle_outline
remove_circle_outline
remove_circle_outline
remove_circle_outline
remove_circle_outline
remove_circle_outline
remove_circle_outline

Article Types

Countries / Regions

remove_circle_outline
remove_circle_outline
remove_circle_outline
remove_circle_outline
remove_circle_outline
remove_circle_outline
remove_circle_outline

Search Results (3,987)

Search Parameters:
Keywords = mortar

Order results
Result details
Results per page
Select all
Export citation of selected articles as:
14 pages, 2870 KB  
Article
Cementitious Mortars as Structural Supercapacitors: Role of Zeolite Additives and Moisture Evolution
by Michail Galetakis and Alexandra Gkoutzou
Buildings 2026, 16(7), 1343; https://doi.org/10.3390/buildings16071343 - 27 Mar 2026
Abstract
This study aims to investigate the potential for using commercial building materials such as cement and quarry sand for developing functional building components with electrical energy storage capacities. Cubic specimens of cement mortars made from commercial Portland cement and quarry sand were fabricated, [...] Read more.
This study aims to investigate the potential for using commercial building materials such as cement and quarry sand for developing functional building components with electrical energy storage capacities. Cubic specimens of cement mortars made from commercial Portland cement and quarry sand were fabricated, while commercial galvanized mesh, used for mortar reinforcement, was used as electrodes. Moreover, natural zeolites were used as additives to modify mortar electrical properties. Cyclic voltammetry (CV), and electrochemical impedance spectroscopy (EIS) were used to assess the capacity of the fabricated specimens for electrical energy storage. Results indicated that the studied cement mortars modified with natural zeolites behave as a non-ideal electrical double-layer capacitor (EDLC) with stable capacitive behavior over time. This makes these cementitious materials promising for further research in electrical energy storage applications. Full article
(This article belongs to the Special Issue Advanced Composite Materials for Sustainable Construction)
Show Figures

Figure 1

20 pages, 3772 KB  
Article
Study on the Mechanism of Enhanced Early-Age Properties of Steel Slag Cement Mortar Through Modified Nano-SiO2
by Ridong Fan and Baiyang Mao
Materials 2026, 19(7), 1338; https://doi.org/10.3390/ma19071338 - 27 Mar 2026
Abstract
To enhance the early-age properties of steel slag cement mortar and promote the resource utilization of metallurgical solid waste, in this study, nano-SiO2 (KH-NS) was modified using a KH550 silane coupling agent. The hydration kinetics and microstructure evolution were systematically analyzed by [...] Read more.
To enhance the early-age properties of steel slag cement mortar and promote the resource utilization of metallurgical solid waste, in this study, nano-SiO2 (KH-NS) was modified using a KH550 silane coupling agent. The hydration kinetics and microstructure evolution were systematically analyzed by means of a macroscopic performance test (setting time and compressive strength) and multi-scale microscopic characterization (characterized by Fourier Transform Infrared Spectroscopy, Scanning Electron Microscopy, X-ray Diffraction, Thermogravimetry-Differential Thermal Analysis, and isothermal calorimetry). The influence mechanism of its content on the early performance of the steel slag cement system was systematically studied. Research findings indicate that at a given dosage, increasing the proportion of KH-NS results in a shorter setting time for steel slag mortar. When the KH-NS dosage reaches 1.5%, the initial and final setting times of steel slag mortar decrease by 24.21% and 21.20%, respectively. The addition of KH-NS effectively enhances the compressive strength of mortar, with a particularly pronounced effect on early strength prior to 14 h of curing. At a KH-NS dosage of 1.5%, the onset of the accelerated phase of hydration heat release in steel slag cement mortar is advanced by 2.5 h. Mechanistic studies indicate that KH-NS accelerates cement hydration by promoting C3S dissolution and C-S-H gel nucleation through interactions between surface silanol groups (Si-OH) and amino groups (-NH2). Furthermore, KH-NS refines the pore structure via a micro-aggregate filling effect, reducing the number of harmful pores and improving the pore size distribution. KH-NS continuously consumes Ca(OH)2 through pozzolanic reactions to generate C-S-H, with its reactivity increasing with higher dosage. Research confirms that KH-NS significantly enhances the early strength and density of steel slag mortar, providing both theoretical justification and technical support for developing low-carbon building materials based on solid waste with high dosage. Full article
(This article belongs to the Section Construction and Building Materials)
Show Figures

Figure 1

25 pages, 5434 KB  
Article
An Experimental Study on the Consolidation of Earthen Surfaces Using Nanoparticle-Based Products
by Silvia Rescic, Loredana Luvidi, Oana Adriana Cuzman and Barbara Sacchi
Heritage 2026, 9(4), 130; https://doi.org/10.3390/heritage9040130 - 26 Mar 2026
Abstract
This paper presents the results of research conducted as part of a bilateral cooperation project between National Research Council (Italy) and Chinese Academy of Cultural Heritage (China) for the conservation of the earthen walls of Ancient Ulanbay City (Xinjiang, China). In 2007 and [...] Read more.
This paper presents the results of research conducted as part of a bilateral cooperation project between National Research Council (Italy) and Chinese Academy of Cultural Heritage (China) for the conservation of the earthen walls of Ancient Ulanbay City (Xinjiang, China). In 2007 and 2012, conservation interventions were carried out on the remains of the ancient walls, focusing on areas at risk of collapse. This involved the construction of new adobe masonry (sun-dried earthen bricks and mud mortar) to support the ancient rammed-earth walls, which required consolidation treatments due to their exposure to weathering. In order to support the site’s conservation efforts, several nanoproducts were selected for testing as consolidants for the adobe bricks. Nano-silica (NanoEstel) and nano-lime (Calosil E25), with and without ethyl silicate, and a nano-calcium oxalate-functionalized ethyl silicate (SurfaPore FX WB) were tested and compared with commonly used products for surface consolidation. Ethyl silicate was applied alone as a reference treatment. The mixtures tested in this research had not been previously explored, thus offering new opportunities to identify suitable solutions for the consolidation of earthen structures exposed to environmental conditions. In this study, adobe bricks were sampled from the archaeological site, and the effectiveness of each treatment was assessed based on changes in chromatic appearance, cohesion, and water behaviour. The results showed different behaviours of nanoproducts. Nano-silica, alone or especially in combination with ethyl silicate, is overall more effective than nano-lime for the consolidation of earthen materials, thanks to its greater compatibility with these materials. Full article
(This article belongs to the Section Cultural Heritage)
25 pages, 17253 KB  
Article
Performance and Mesoscopic Simulation of Self-Compacting Concrete Made with Different Lithological Types of Manufactured Sand
by Shuyun Zhang, Anni Zhang, Bowen Chen and Huijuan Dai
Buildings 2026, 16(7), 1291; https://doi.org/10.3390/buildings16071291 - 25 Mar 2026
Viewed by 34
Abstract
The development of green building materials and high-performance concrete has promoted the use of manufactured sand (MS) in self-compacting concrete (SCC). To investigate the effect of MS lithology on concrete performance, this study prepared C40-SCC using basalt, limestone, and granite manufactured sand, as [...] Read more.
The development of green building materials and high-performance concrete has promoted the use of manufactured sand (MS) in self-compacting concrete (SCC). To investigate the effect of MS lithology on concrete performance, this study prepared C40-SCC using basalt, limestone, and granite manufactured sand, as well as river sand. Workability and mechanical properties were measured via macro-scale tests. A meso-scale random aggregate model, including mortar, aggregate, and interfacial transition zone (ITZ), was established to simulate uniaxial compression. The macro-test results indicate that workability decreases in the order of river sand, granite, limestone, and basalt, while mechanical strength decreases in the order of granite, limestone, basalt, and river sand. The meso-scale simulation reveals that damage initiates at the ITZ and extends into mortar. The simulated stress–strain curves match the experimental data in the ascending branch, with peak stress errors between 1.1% and 6.9%. The failure modes also align with experimental observations. The consistency between the simulation and experimental results verifies the reliability of the meso-scale model. By combining macro-experiments and meso-simulation, this study compares concrete performance and explains the differences from the perspective of damage evolution. The results indicate that MS lithology affects interfacial properties and damage development, thereby determining macro-mechanical behavior. This research provides a theoretical basis for the appropriate selection of MS in SCC. Full article
(This article belongs to the Section Building Materials, and Repair & Renovation)
Show Figures

Figure 1

19 pages, 4126 KB  
Article
Prestressing and Self-Healing of Fiber-Reinforced and Ultra-High-Performance Concrete Using Shape Memory Alloys
by Alexander Chen and Bassem Andrawes
Buildings 2026, 16(7), 1289; https://doi.org/10.3390/buildings16071289 - 25 Mar 2026
Viewed by 43
Abstract
A large number of existing studies show that fiber-reinforced concrete (FRC) and ultra-high-performance concrete (UHPC) have improved crack resistance relative to conventional concrete, but there is limited research on further advancing the structural performance of FRC and UHPC through prestressing and self-healing. This [...] Read more.
A large number of existing studies show that fiber-reinforced concrete (FRC) and ultra-high-performance concrete (UHPC) have improved crack resistance relative to conventional concrete, but there is limited research on further advancing the structural performance of FRC and UHPC through prestressing and self-healing. This study addresses this knowledge gap by introducing shape memory alloy (SMA) bars as reinforcement. Existing studies on using SMA bars for prestressing or healing are focused on conventional concrete. Thus, this study experimentally evaluates SMA bars in FRC and UHPC. Small-scale flexural specimens are fabricated for this purpose. Three mix designs are considered, corresponding to mortar, FRC, and UHPC. The prestrained and embedded SMA bars are employed in two different ways. The first method is to activate the SMA to prestress the concrete, thereby delaying cracking. The second is to activate the SMA after cracks develop, thereby closing and “healing” the cracks. Additionally, different heating methods are considered. Heating with electricity is compared to heating by electromagnetic induction to study their efficiency and safety. The experimental results validate the use of SMA for prestressing the different types of concrete. The concept of healing is also validated for all three types of concrete. Reductions in crack width as high as 80%, 90%, and 84% are measured in the mortar, FRC, and UHPC specimens, respectively. Full article
Show Figures

Figure 1

19 pages, 9165 KB  
Article
Freeze–Thaw Resistance of Class C/Class F Fly Ash Geopolymer Mortars with Different Ash-to-Sand Ratios
by Xiaodong Li, Zhenyu Chu, Ge Zhu, Tao Yu, Hengqiang Su, Yueyong Shao, Xueying Li, Zhenpeng Jiang and Zhenzhen Jiao
Buildings 2026, 16(7), 1288; https://doi.org/10.3390/buildings16071288 - 25 Mar 2026
Viewed by 57
Abstract
This paper investigates the freeze–thaw durability of geopolymer mortars synthesized from class C and class F fly ash, with varying ash-to-sand ratios ranging from 1:1 to 1:1.8. Optimizing freeze–thaw resistance is critical for promoting the practical application of geopolymer materials in cold regions, [...] Read more.
This paper investigates the freeze–thaw durability of geopolymer mortars synthesized from class C and class F fly ash, with varying ash-to-sand ratios ranging from 1:1 to 1:1.8. Optimizing freeze–thaw resistance is critical for promoting the practical application of geopolymer materials in cold regions, where cyclic freezing and thawing significantly threaten long-term durability. The performance of the mortars was evaluated through laboratory freeze–thaw cycling and natural environmental exposure. Freeze–thaw resistance was assessed by measuring mass loss and compressive strength after 60 laboratory cycles and 90 days of natural environmental exposure, while specimens cured under standard conditions were used as reference samples. The results demonstrate that the ash-to-sand ratio significantly influences durability performance. After 60 laboratory freeze–thaw cycles, specimens with a ratio of 1:1 exhibited a severe mass loss of 17.31%, whereas those with ratios between 1:1.4 and 1:1.8 maintained mass losses below 5%. Under natural environmental exposure, which reflects multiple coupled environmental factors such as moisture fluctuation, drying, and carbonation rather than freeze–thaw action alone, mass loss increased from approximately 2.26–3.64% at 15 days to 9.00–11.74% at 90 days. The geopolymer mortars with an ash-to-sand ratio of 1:1.4 exhibited superior freeze–thaw resistance, characterized by the lowest mass loss and the highest compressive strength. Microstructural and phase analyses indicated environment-dependent phase evolution and pore structure changes in the geopolymer matrix, which were associated with the observed durability performance. These findings contribute to the understanding of durability in geopolymer systems, offering insights into optimizing ash-to-sand ratios for enhanced freeze–thaw resilience. Full article
Show Figures

Figure 1

59 pages, 18673 KB  
Article
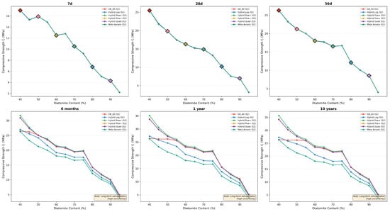
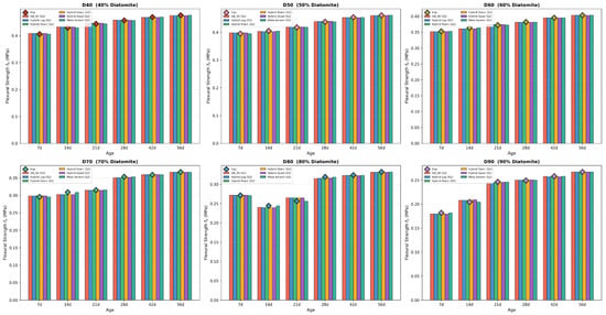
Characterization and Predictive Modeling of Diatomite Mortar Performance: A Hybrid Framework Based on Experimental Analysis and Machine Learning Meta-Models
by Sihem Brahimi, Miloud Hamadache and Mhand Hifi
Buildings 2026, 16(7), 1281; https://doi.org/10.3390/buildings16071281 - 24 Mar 2026
Viewed by 31
Abstract
Decarbonizing the construction sector requires high-volume replacement of Portland clinker with non-calcined supplementary cementitious materials (SCMs). This study investigates white cement pastes incorporating raw Algerian diatomite—a silica-rich biogenic mineral—at substitution levels from 40% to 95% (5% increments) and a fixed water-to-binder ratio of [...] Read more.
Decarbonizing the construction sector requires high-volume replacement of Portland clinker with non-calcined supplementary cementitious materials (SCMs). This study investigates white cement pastes incorporating raw Algerian diatomite—a silica-rich biogenic mineral—at substitution levels from 40% to 95% (5% increments) and a fixed water-to-binder ratio of 0.5. The target application is ultra-lightweight, multifunctional composites for non-structural uses such as decorative panels and partition elements. Increasing diatomite content progressively reduced bulk density from 1.483 g/cm3 (D40) to 0.557 g/cm3 (D95) and increased porosity. 28-day compressive strength decreased monotonically from 16 MPa (D40) to 2.4 MPa (D95) as clinker dilution intensified. Ultrasonic pulse velocity dropped from 6205 m/s to 1495 m/s, reflecting progressive pore development and confirming the material’s lightweight potential. Statistically significant strength gains beyond 28 days were recorded (+25.87% for compression, p-value < 0.05), evidencing delayed pozzolanic activity. These results confirm that raw, non-calcined diatomite is a viable SCM for eco-efficient, low-density construction systems. To overcome the extrapolation instability of purely data-driven approaches, a Meta-Avrami Hybrid Framework was developed. It anchors Gradient Boosting residual learning to a sigmoidal Avrami hydration kernel. The model achieved high predictive accuracy (R20.999, RMSE0.010) under 10-fold cross-validation. Generalization was well-controlled, with a low overfitting gap (ΔR2=0.0226) and stable fold-to-fold performance (Std=0.0204). These metrics confirm suitability for unseen mix designs. This is particularly relevant for service-life assessment of partition panels and lightweight façade elements, where long-term performance guarantees are required. The physics-informed architecture ensures asymptotic strength stabilization up to a 10-year horizon (amplification ratios 1.03–1.05). This prevents the non-physical divergence observed in polynomial and power-law hybrids (ratios 1.36–1.70). The framework provides a reliable and interpretable tool for service-life design of sustainable low-carbon cementitious systems. Full article
(This article belongs to the Section Building Materials, and Repair & Renovation)
Show Figures

Figure 1

21 pages, 5701 KB  
Article
Accelerated Ageing of Blast Furnace Cement-Dolomite Mortars: Phase Changes, Microstructural Evolution, and Mechanical Performance
by Elena Sutormina, Marjan Marinšek and Anton Meden
Materials 2026, 19(7), 1283; https://doi.org/10.3390/ma19071283 - 24 Mar 2026
Viewed by 102
Abstract
Blast furnace cement-dolomite mortars prepared from commercial cement (CEM-III/B) containing ~75% of slag and natural dolomite were aged under accelerated conditions at 60 °C in 1 M NaOH for 0–24 months. The hydration products and microstructure features of the mortars were studied using [...] Read more.
Blast furnace cement-dolomite mortars prepared from commercial cement (CEM-III/B) containing ~75% of slag and natural dolomite were aged under accelerated conditions at 60 °C in 1 M NaOH for 0–24 months. The hydration products and microstructure features of the mortars were studied using XRD, TGA and SEM-EDS methods, with blast furnace cement paste for comparison. The results showed that the presence of dolomite enhanced slag hydration, as the carbonates released during dedolomitisation promoted Ca and Si dissolution from the slag grains. After prolonged ageing, a multi-rim structure was observed around the slag particles: the inner rim primarily consisted of a hydrotalcite-like phase mixed with C-S(A)-H gel, while the outer rims were richer in C-S(A)-H gel, with varying calcium content. Monocarbonate phase was additionally detected at the slag–paste interface in the presence of dolomite. The observed increase in mechanical strength during ageing had to do with two reasons: (i) the increase in hydration product content and (ii) the densification of microstructure due to the formation of calcium carbonate, which filled pores and microcracks and the possible carbonation of C-S (A)-H gel in the binding paste. Under the investigated alkaline ageing conditions, dolomite acts as a chemically active component rather than an inert filler, influencing both slag hydration kinetics and the composition of the resulting hydration products. Full article
(This article belongs to the Section Construction and Building Materials)
Show Figures

Graphical abstract

28 pages, 34091 KB  
Article
Effects of Titanium Gypsum and Flue Gas Desulfurization Gypsum on the Hydration and Mechanical Properties of Anhydrite–Phosphogypsum-Based Supersulfated Cement
by Youquan Xie, Li Yang, Xiaodong Li, Jiaqing Wang, Yanbo Li, Hao Zhou and Yueyang Hu
Materials 2026, 19(6), 1273; https://doi.org/10.3390/ma19061273 - 23 Mar 2026
Viewed by 161
Abstract
Supersulfated cement (SSC) is an environmentally friendly cementitious material with a low clinker content, in which industrial byproduct gypsum serves as the sulfate source, thereby enabling the valorization of solid waste. The hydration process, pore structure, microstructure, and hydration products were investigated using [...] Read more.
Supersulfated cement (SSC) is an environmentally friendly cementitious material with a low clinker content, in which industrial byproduct gypsum serves as the sulfate source, thereby enabling the valorization of solid waste. The hydration process, pore structure, microstructure, and hydration products were investigated using paste samples by means of isothermal calorimetry, X-ray diffraction (XRD), thermogravimetric analysis (TG–DTG), Fourier transform–infrared spectroscopy (FT-IR), mercury intrusion porosimetry (MIP), and scanning electron microscopy (SEM), while compressive strength was evaluated using mortar specimens. Compared with ordinary Portland cement (OPC), SSC offers clear advantages in reducing energy consumption and greenhouse gas emissions. In this study, the effects of titanium gypsum (TG) and flue gas desulfurization gypsum (FGD) on the hydration behavior, fluidity, mechanical properties, and microstructural evolution of an anhydrite (AH)–phosphogypsum (PG)-based SSC were systematically investigated. The results indicate that the incorporation of 11% TG and FGD mitigates the strong sulfate environment caused by the rapid dissolution of soluble AH, thereby regulating the hydration process. As the proportion of TG and FGD increased, the cumulative heat release within 72 h gradually decreased. When AH was completely replaced, the cumulative heat release of TG4 and FG4 decreased by approximately 19.7% and 28.6%, respectively. TG and FGD exhibited opposite effects on the fluidity of SSC while both promoting strength development. Among all mixtures, TG2 and FG2 showed the best performance, with the highest 28-day compressive strengths of 50.15 MPa and 51.95 MPa, respectively. Microstructural analysis reveals that differences in particle size distribution and dissolution kinetics among gypsums governed the sulfate release characteristics and slag activation mechanisms, thus leading to distinct hydration pathways, pore structure evolution, and microstructural densification. This study provides a theoretical basis for the efficient utilization of various industrial byproduct gypsums and offers important guidance for the controllable design of SSC performance. Full article
(This article belongs to the Special Issue Advances in Hydration Chemistry for Low-Carbon Cementitious Materials)
Show Figures

Graphical abstract

18 pages, 9265 KB  
Article
Geopolymer Based on Municipal Solid Waste Incineration Fly Ash, Waste Glass Powder, and Metakaolin: Compressive Strength and Microstructure of Mortar and Application in Pavement Concrete Bricks
by Juan Chen, Runjie Min and Zixiang He
Appl. Sci. 2026, 16(6), 3080; https://doi.org/10.3390/app16063080 - 23 Mar 2026
Viewed by 141
Abstract
In order to realize the large-scale resource utilization of solid waste in building materials, geopolymer mortar was prepared by alkali excitation technology with municipal solid waste incineration fly ash (MSWIFA), waste glass powder (WGP) and metakaolin (MK) as raw materials. After 28 days [...] Read more.
In order to realize the large-scale resource utilization of solid waste in building materials, geopolymer mortar was prepared by alkali excitation technology with municipal solid waste incineration fly ash (MSWIFA), waste glass powder (WGP) and metakaolin (MK) as raw materials. After 28 days of curing, compressive strength and heavy metal leaching concentration of MSWIFA-WGP-MK geopolymer mortar were measured. The microstructure and phase composition of geopolymer samples were examined using scanning electron microscopy, energy-dispersive spectroscopy and X-ray diffraction analysis. The results demonstrated that the compressive strength of mortar increased as the MSWIFA content decreased and the alkali activator (AA) content increased. The mortar containing 30% MSWIFA and 35% AA achieved the highest 28-day compressive strength of 70.9 MPa. The high compressive strength was strongly associated with the compact microstructure, as revealed through scanning electron microscopy. The heavy metals in MSWIFA were solidified well in geopolymer matrix, and the leaching concentrations of heavy metals were below the regulatory thresholds. Based on the test results of mortars, concrete pavement bricks were produced. The performance of the optimized concrete paving brick satisfied requirements of the specification. The results indicated that the MSWIFA and WGP can be utilized in building materials. Full article
(This article belongs to the Special Issue Advances in Sustainable and Green Building Materials)
Show Figures

Figure 1

17 pages, 6264 KB  
Article
Mechanism of the EICP Centrifugal Cementation Method for Short-Term Brick Crack Rehabilitation
by Zhongyuan Chen, Xiaolong Xu, Jianping Wei, Xueyan Guo and Xinyi Ke
Buildings 2026, 16(6), 1251; https://doi.org/10.3390/buildings16061251 - 21 Mar 2026
Viewed by 98
Abstract
Traditional enzyme-induced carbonate precipitation (EICP) technology for brick crack rehabilitation is commonly plagued by solution clogging and low repair efficiency. To overcome these technical limitations, a novel centrifugal cementation method was proposed in this study, with its core innovation lying in decoupling the [...] Read more.
Traditional enzyme-induced carbonate precipitation (EICP) technology for brick crack rehabilitation is commonly plagued by solution clogging and low repair efficiency. To overcome these technical limitations, a novel centrifugal cementation method was proposed in this study, with its core innovation lying in decoupling the EICP reaction from the masonry reinforcement process. After the complete reaction of urease with the cementation solution, a high-concentration calcium carbonate colloid was extracted via centrifugation, which was then mixed with fine sand to prepare a repair mortar for direct injection into brick cracks. The experimental results, based on a single-factor design with a fixed soybean powder concentration (180 g/L, peak urease activity), showed that the maximum flexural strength of the repaired bricks reached 2.31 MPa, recovering as much as 122.9% of that of the cracked unrepaired bricks. Furthermore, the flexural strength of the repaired bricks exhibited a significant positive correlation with the calcium carbonate content (20–100%) and curing time (3–28 days). Phase analysis indicated that the repair mortar was primarily composed of calcite and quartz. The high shear force generated by centrifugation triggered explosive nucleation of calcium carbonate, and spherical calcite particles were formed through Ostwald ripening, exhibiting a distinct characteristic of decoupling between the spherical morphology and calcite crystal phase. The centrifugal cementation method proposed in this study achieves excellent short-term repair effects for masonry structures under laboratory conditions, thus providing a novel technical approach for the crack rehabilitation of masonry structures. Full article
(This article belongs to the Section Building Materials, and Repair & Renovation)
Show Figures

Figure 1

15 pages, 8850 KB  
Article
Enhancing Self-Healing Performance of Cement-Based Materials Through Sodium Silicate and SAP Composite Incorporation
by Yumei Kang, Rongbao Wu, Yu Qiao and Chang Xu
Materials 2026, 19(6), 1249; https://doi.org/10.3390/ma19061249 - 21 Mar 2026
Viewed by 229
Abstract
Conventional admixture-based self-healing technologies are often limited by inadequate internal water supply and a scarcity of unhydrated gel particles. Therefore, this study proposes a new self-healing method that leverages the synergistic interplay between the chemical repair of sodium silicate and the physical clogging [...] Read more.
Conventional admixture-based self-healing technologies are often limited by inadequate internal water supply and a scarcity of unhydrated gel particles. Therefore, this study proposes a new self-healing method that leverages the synergistic interplay between the chemical repair of sodium silicate and the physical clogging of superabsorbent polymers (SAPs) to overcome the aforementioned limitations. The healing efficiency of cement mortar was assessed through compressive strength recovery, capillary water absorption, and ultrasonic pulse velocity (UPV). Microstructural evolution and healing mechanisms were elucidated using scanning electron microscopy (SEM) and X-ray diffraction (XRD). Results indicate that at an optimal dosage (0.5 wt.% for both admixtures), the healing performance is significantly enhanced: the compressive strength recovery rate reaches 103.1%, the capillary water absorption coefficient decreases by 16.57 × 10−3, and the UPV recovery achieves 95.4%. Microstructural analysis reveals that sodium silicate facilitates the reaction between Ca2+ and SiO32 ions, leading to the in situ precipitation of dense C-S-H gel at the crack interface, thereby enabling chemical repair. In contrast, SAP contributes to physical sealing via a swelling and release mechanism. Full article
(This article belongs to the Section Construction and Building Materials)
Show Figures

Figure 1

18 pages, 3901 KB  
Article
Study on the Influence of Sugarcane Bagasse Fiber on the Physical and Mechanical Properties of Lightweight Mortar
by Mo Zhou, Guimeng Ban, Qin Hu, Yuanming Luo, Jintuan Zhang, Tian Su, Zixing Chen, Wenkai Lei, Jingyun Zhang and Tong Han
Coatings 2026, 16(3), 384; https://doi.org/10.3390/coatings16030384 - 20 Mar 2026
Viewed by 204
Abstract
In the context of the “dual-carbon” targets and the development of green building materials, lightweight mortar has attracted considerable attention, owing to its low density and excellent thermal insulation properties. However, lightweight aggregates, such as vitrified microspheres, while effectively reducing mortar density, exhibit [...] Read more.
In the context of the “dual-carbon” targets and the development of green building materials, lightweight mortar has attracted considerable attention, owing to its low density and excellent thermal insulation properties. However, lightweight aggregates, such as vitrified microspheres, while effectively reducing mortar density, exhibit high porosity and weak interfacial bonding, which compromise mechanical performance. To address this issue, this study introduces sugarcane bagasse fiber (SBF) as a reinforcing material, with contents of 0%, 0.4%, 0.8%, 1.2%, and 1.6%. The effects of SBF on physical properties (consistency, density, water absorption) and mechanical properties (compressive strength, flexural strength, and tensile bond strength) were systematically evaluated. Furthermore, low-field nuclear magnetic resonance (LF-NMR) and scanning electron microscopy (SEM) were employed to analyze pore structure and interfacial transition zone (ITZ) characteristics at multiple scales. The results indicate that: (1) at low contents (0.4–0.8%), SBF was uniformly dispersed, improving matrix compactness; (2) compared with the control group, the 28-day compressive, flexural, and tensile bond strengths increased by 7.1%, 13.1%, and 25%, respectively; (3) NMR analysis revealed that the incorporation of SBF significantly increased the proportion of capillary pores, reduced total porosity, and enhanced mortar compactness, thereby improving mechanical strength; (4) fractal dimension analysis showed that contents of 0.4% and 0.8% increased structural complexity while reducing pore connectivity, leading to higher compressive strength; (5) SEM observations further demonstrated that the fibers provided bridging and anchoring effects within the ITZ, promoted the deposition of hydration products, and enhanced interfacial compactness. Full article
(This article belongs to the Section Environmental Aspects in Colloid and Interface Science)
Show Figures

Figure 1

13 pages, 2937 KB  
Article
Modeling the Mechanical Bending Behavior of Steel Fiber-Reinforced Self-Compacting Mortars: Analysis of Fiber Distribution Effect
by Hamza Mechakra, Lynda Kheddache, Brahim Safi, Alena Pribulova, Peter Futas, Kahina Chahour, Miktha Farid Alkadri and Beata Grabowska
J. Compos. Sci. 2026, 10(3), 168; https://doi.org/10.3390/jcs10030168 - 20 Mar 2026
Viewed by 248
Abstract
This paper presents an experimental and numerical study on the effect of steel fiber distribution on the flexural behavior of self-compacting mortars (FRSCMs). Six FRSCM mixtures were modeled in ABAQUS as prismatic specimens (40 × 40 × 160 mm3) subjected to [...] Read more.
This paper presents an experimental and numerical study on the effect of steel fiber distribution on the flexural behavior of self-compacting mortars (FRSCMs). Six FRSCM mixtures were modeled in ABAQUS as prismatic specimens (40 × 40 × 160 mm3) subjected to static three-point bending. The methodology involved two steps: (i) preparation of six mortar variants composed of three layers with different hooked steel fiber dosages (20, 30, and 40 kg/m3 for M20, M30, and M40) assembled in various configurations to study fiber distribution effects; (ii) numerical modeling of prismatic specimens in ABAQUS, using structured meshing with C3D8R hexahedral elements. Each layer was meshed separately with aligned nodes to ensure proper assembly. Our results highlight the strong influence of fiber distribution: despite identical fiber content (90 kg/m3 of hooked steel fibers), flexural strength varied across beam configurations. Layered casting led to an increase in flexural strength of up to 71.83% compared to the reference. The numerical predictions closely matched the experimental results, with relative errors ranging from 1% to 8.13% for most variants, demonstrating the reliability of the model. The larger discrepancies observed for specimens M324 and M342 are attributed to the limitation of the study to the elastic domain, as damage and plasticity effects were not included in the simulations. The distribution and orientation of fibers (particularly steel fibers) in a cementitious matrix, namely concrete or cement mortar, has been the subject of several studies aimed at determining the best mechanical performance of fiber-reinforced concrete. The proposed modeling approach of bending mechanical behavior allows us to predict the effects of fiber distribution in fluid mortars and reinforced self-compacting mortars, thereby reducing the need for extensive experimental testing. It also represents a significant improvement over existing approaches reported in the literature. Full article
(This article belongs to the Section Composites Manufacturing and Processing)
Show Figures

Figure 1

22 pages, 2795 KB  
Article
Industrial Mineral-Based Ca-Rich Fly Ash Cement Mortars: 24-Month Durability Under Marine Exposure
by Nikolaos Chousidis
Minerals 2026, 16(3), 328; https://doi.org/10.3390/min16030328 - 20 Mar 2026
Viewed by 167
Abstract
This study investigates the long-term durability performance of Portland cement mortars incorporating 5% and 10% Ca-rich fly ash under 24 months of natural marine atmospheric exposure. An integrated experimental methodology was applied, combining gravimetric steel mass loss, half-cell potential monitoring (SCE), water-soluble chloride [...] Read more.
This study investigates the long-term durability performance of Portland cement mortars incorporating 5% and 10% Ca-rich fly ash under 24 months of natural marine atmospheric exposure. An integrated experimental methodology was applied, combining gravimetric steel mass loss, half-cell potential monitoring (SCE), water-soluble chloride determination at reinforcement depth, carbonation depth evaluation interpreted through the diffusion-based square-root model (x = k√t), and pore structure characterization by MIP and SEM. After 24 months, cumulative steel mass loss decreased by 26.6% (FA5) and 33.6% (FA10) relative to the reference mortar. The water-soluble chloride concentration at reinforcement depth was reduced from 976 mg/L in CM-REF to 875 mg/L (−10.2%) and 805 mg/L (−17.5%) in CM-FA5 and CM-FA10, respectively. Carbonation depth after 24 months decreased from 5.97 mm in the reference mortar to 4.56 mm (−23.6%) and 2.48 mm (−58.5%) for FA5 and FA10, confirming a transport-controlled mitigation of carbonation progression. Within the investigated replacement range, moderate Ca-rich fly ash incorporation produces measurable reductions in chloride availability, carbonation rate, and cumulative corrosion damage under realistic coastal exposure conditions, demonstrating that limited clinker substitution can yield substantial long-term durability benefits. These findings demonstrate that Ca-rich fly ash incorporation (5%–10%) effectively enhances resistance to chloride ingress, carbonation progression, and reinforcement corrosion under natural marine exposure, supporting its use as a performance-oriented strategy for durable, low-clinker mortar design in coastal infrastructure. Full article
(This article belongs to the Section Clays and Engineered Mineral Materials)
Show Figures

Graphical abstract

Back to TopTop