Non-Isocyanate Synthesis of Aliphatic Polyurethane by BiCl3-Catalyzed Transurethanization Polycondensation
Abstract
1. Introduction
2. Materials and Methods
2.1. Materials
2.2. Measurements
2.3. Polycondensation of BHU6 (Typical Procedure)
3. Results
3.1. Effect of Catalyst
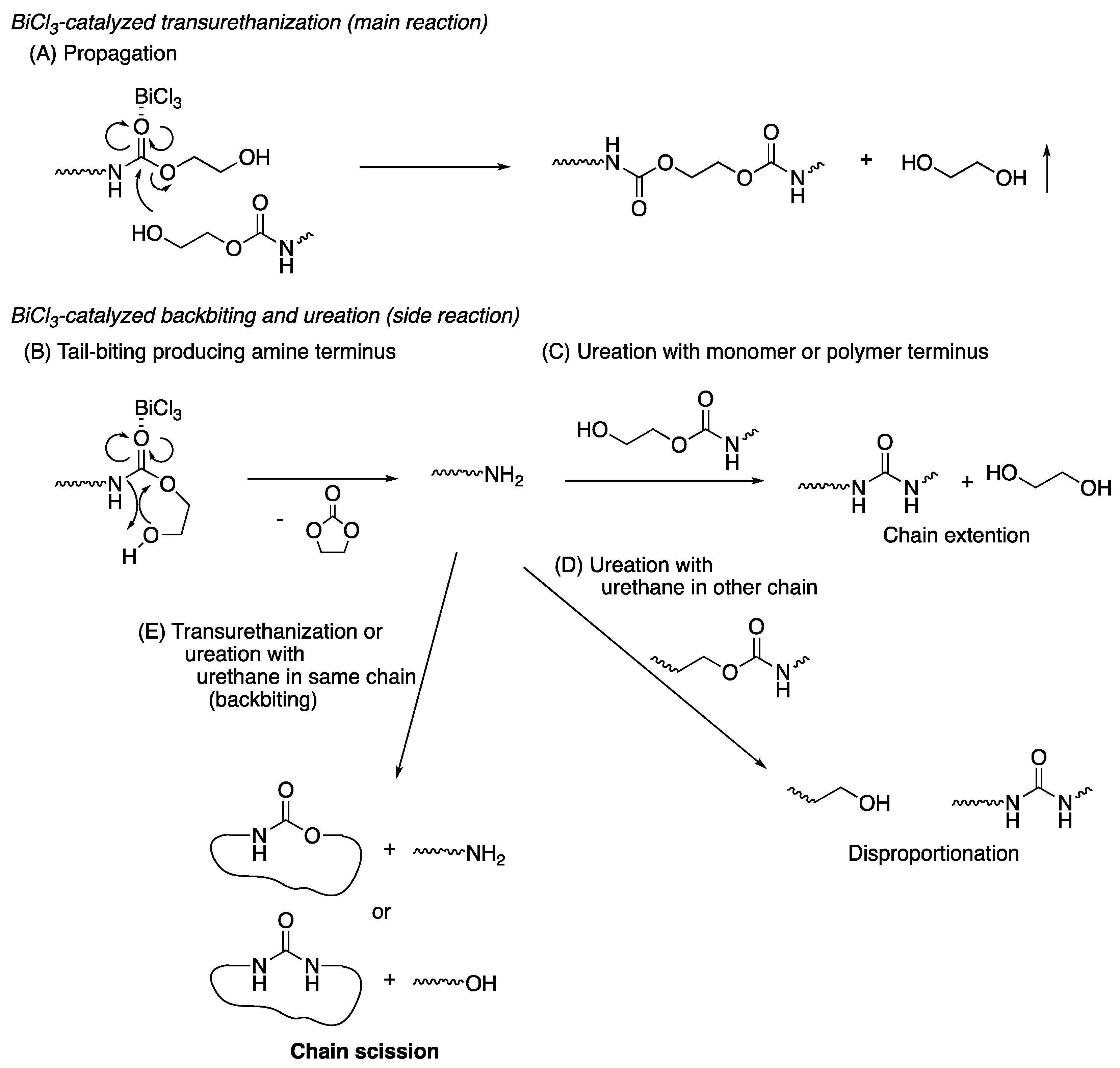
3.2. Mechanism of Catalysis
3.3. Optimization of Conditions
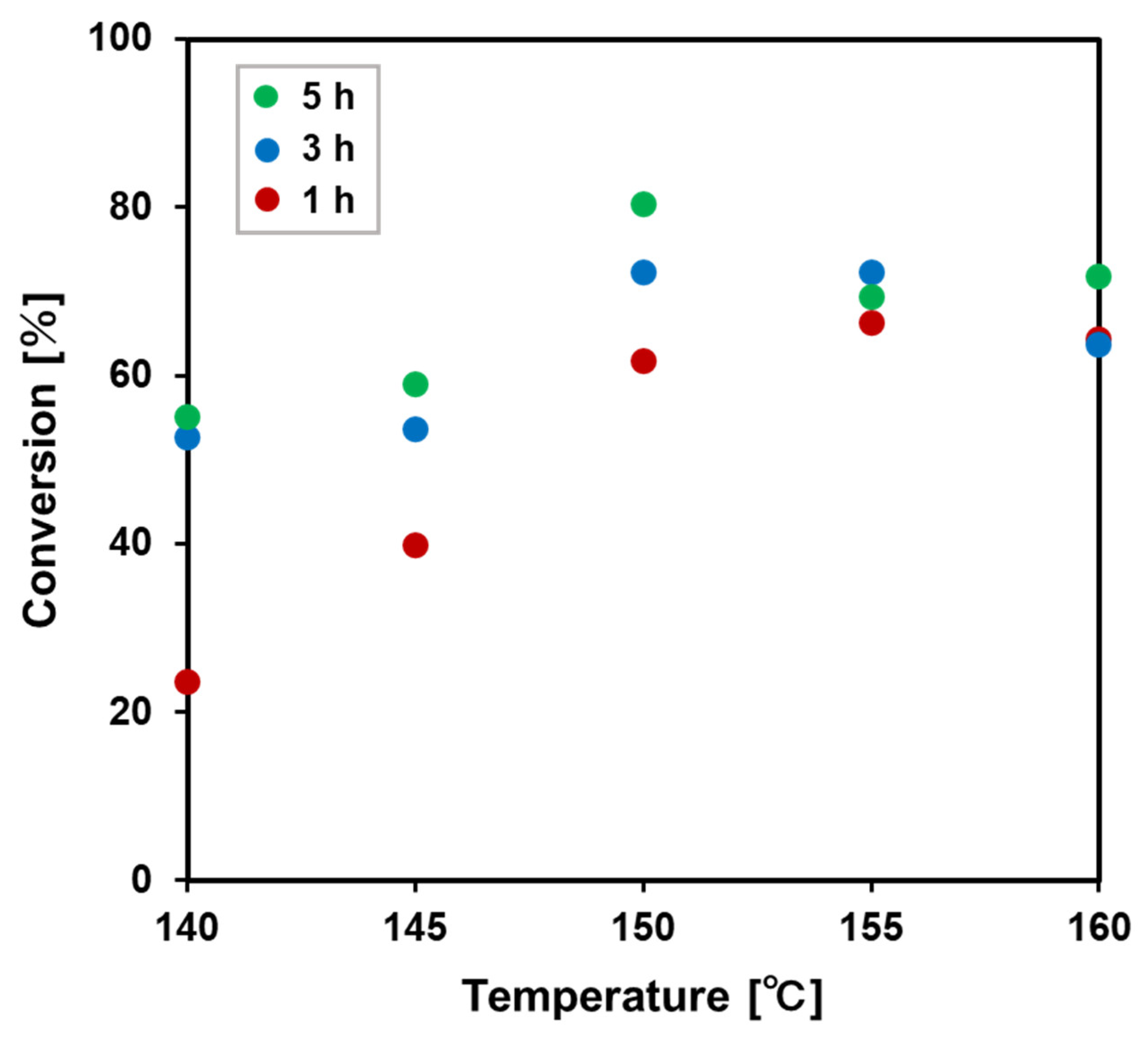
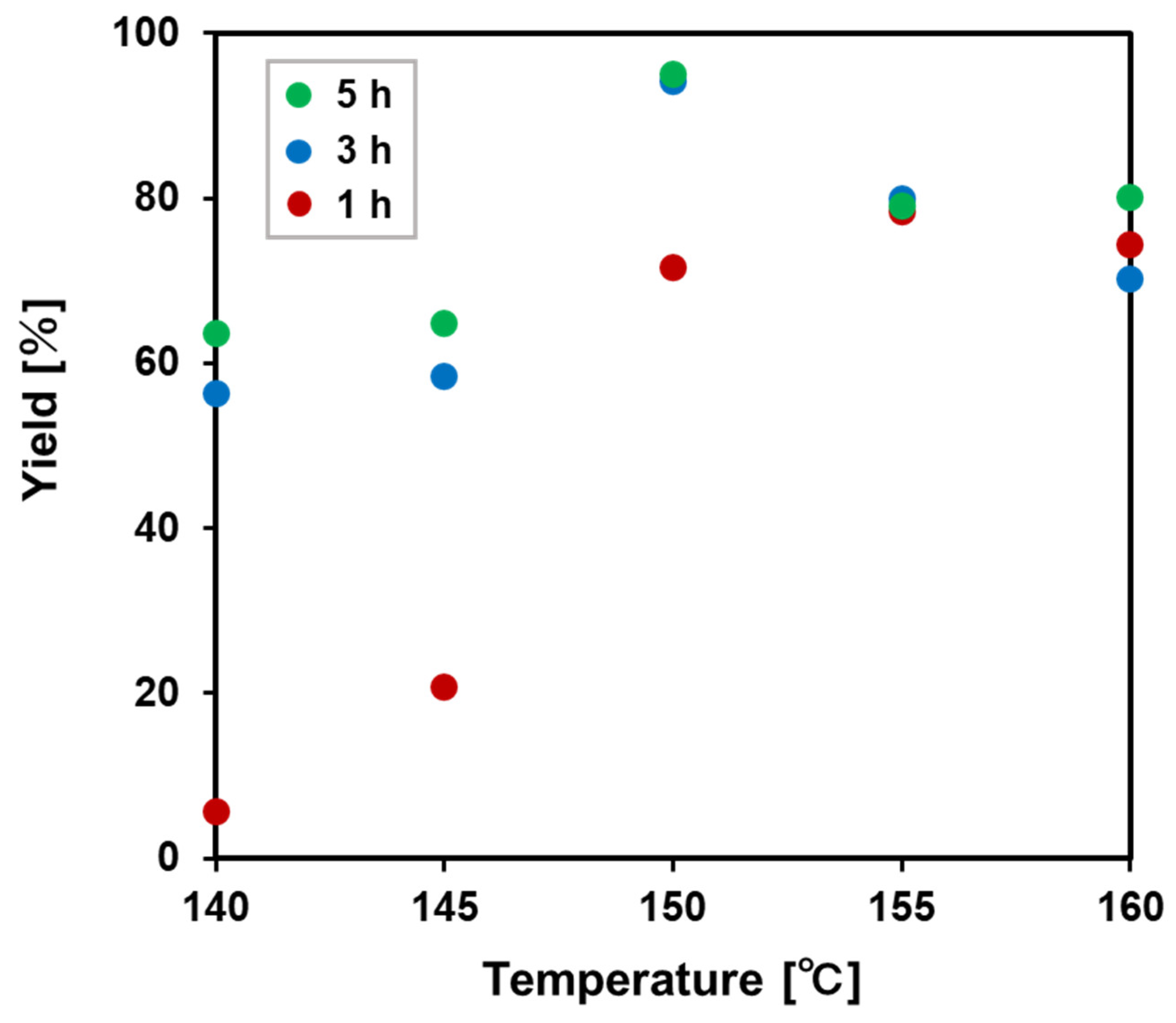
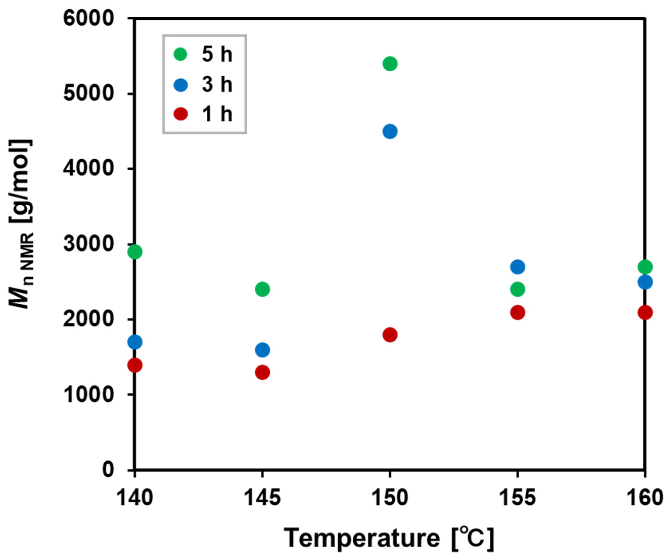
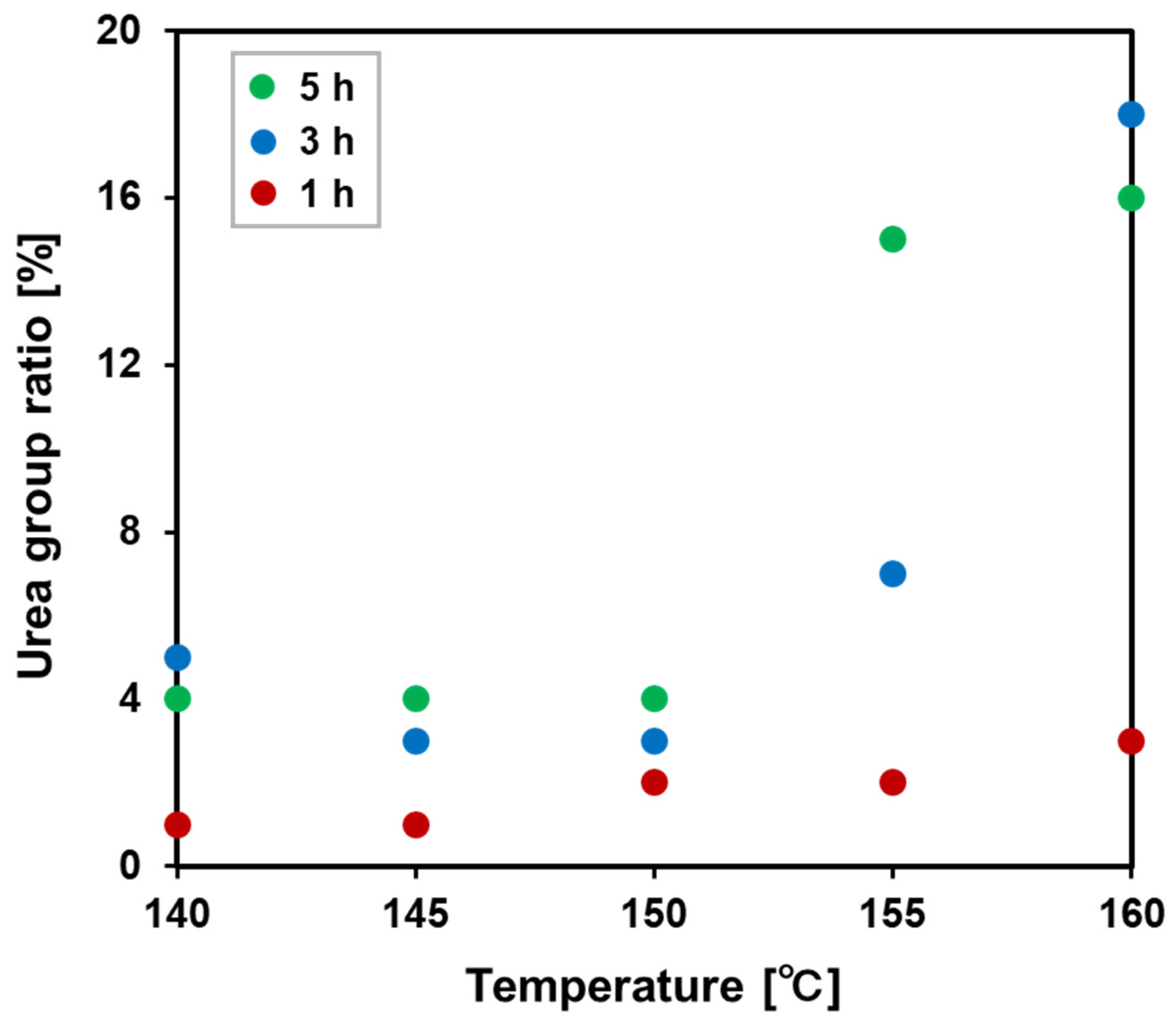
3.3.1. Effect of Time and Temperature
3.3.2. Discussion on the Mechanism
3.3.3. Effect of Solvent
3.3.4. Effect of Catalyst Amount
3.3.5. Polycondensation under Optimized Conditions Using BiCl3, BiBr3, and Bu2SnO
4. Conclusions
Supplementary Materials
Author Contributions
Funding
Institutional Review Board Statement
Data Availability Statement
Conflicts of Interest
References
- Bayer, O. Das Di-Isocyanat-Polyadditionsverfahren (Polyurethane). Angew. Chem. 1947, 59, 257–272. [Google Scholar] [CrossRef]
- Bayer, O.; Müller, E.; Petersen, S.; Piepenbrink, H.-F.; Windemuth, E. Über neuartige hochelastische Stoffe „Vulcollan”. Angew. Chem. 1950, 62, 57–66. [Google Scholar] [CrossRef]
- Müller, E.; Bayer, O.; Petersen, S.; Piepenbrink, H.-F.; Schmidt, F.; Weinbrenner, E. Über neuartige hochelastische Stoffe „Vulcollan”. II. Teil 9. Mitteilung über Polyurethane. Angew. Chem. 1952, 64, 523–531. [Google Scholar] [CrossRef]
- Whelan, J.M., Jr.; Cotter, R.J. Multiple Cyclic Carbonate Polymers. US3072613, 8 January 1963. [Google Scholar]
- Mikheev, V.V.; Svetlaov, N.V.; Sysoev, V.A.; Brus’ko, N.V. Synthesis and some properties of linear hydroxyl containing polyurethanes. Chem. Abstr. 1983, 98, 127745a. [Google Scholar]
- Rokicki, G.; Łaziński, R. Polyamines containing β-hydroxyurethane linkages as curing agents for epoxy resin. Angew. Makromol. Chem. 1989, 170, 211–225. [Google Scholar] [CrossRef]
- Rokicki, G.; Gzajkowaska, J. Badania nad syntezq polihydroksyuretanów z wykorzystaniem diepoksydów, dwutlenku węgla i diamin. Polimery 1989, 34, 141–147. [Google Scholar] [CrossRef]
- Kihara, N.; Endo, T. Synthesis and properties of poly(hydroxyurethane)s. J. Polym. Sci. Part A Polym. Chem. 1993, 31, 2765–2773. [Google Scholar] [CrossRef]
- Deepa, P.; Jayakannan, M. Solvent-free and nonisocyanate melt transurethane reaction for aliphatic polyurethanes and mechanistic aspects. J. Polym. Sci. Part A Polym. Chem. 2008, 46, 2445–2458. [Google Scholar] [CrossRef]
- Rokicki, G.; Piotrowska, A. A new route to polyurethanes from ethylene carbonate, diamines and diols. Polymer 2002, 43, 2927–2935. [Google Scholar] [CrossRef]
- Ochiai, B.; Utsuno, T. Non-isocyanate synthesis and application of telechelic polyurethanes via polycondensation of diurethanes obtained from ethylene carbonate and diamines. J. Polym. Sci. Part A Polym. Chem. 2013, 51, 525–533. [Google Scholar] [CrossRef]
- Deng, Y.; Li, S.; Zhao, J.; Zhang, Z.; Yang, W. Crystallizable and tough aliphatic thermoplastic poly(ether urethane)s synthesized through a non-isocyanate route. RSC Adv. 2014, 4, 43406–43414. [Google Scholar] [CrossRef]
- Kotanen, S.; Wirtanen, T.; Mahlberg, R.; Anghelescu-Hakala, A.; Harjunalanen, T.; Willberg-Keyrilainen, P.; Laaksonen, T.; Sarlin, E. Cyclic carbonates as building blocks for non-isocyanate polyurethanes. J. Appl. Polym. Sci. 2023, 140, e53964. [Google Scholar] [CrossRef]
- Ochiai, B.; Endo, T. Carbon dioxide and carbon disulfide as resources for functional polymers. Prog. Polym. Sci. 2005, 30, 183–215. [Google Scholar] [CrossRef]
- Maisonneuve, L.; Lamarzelle, O.; Rix, E.; Grau, E.; Cramail, H. Isocyanate-free routes to polyurethanes and poly(hydroxy urethane)s. Chem. Rev. 2015, 115, 12407–12439. [Google Scholar] [CrossRef] [PubMed]
- Ou, X.; Niu, Y.; Liu, Q.; Li, L.; Wei, F.; Cui, Y.; Zhou, Y.; Yan, F. Recent progress in CO2-based polyurethanes and polyureas. Prog. Polym. Sci. 2024, 149, 1017180. [Google Scholar] [CrossRef]
- Dyer, E.; Scott, H. The preparation of polymeric and cyclic urethans and ureas from ethylene carbonate and amines. J. Am. Chem. Soc. 1957, 79, 672–675. [Google Scholar] [CrossRef]
- Wołosz, D.; Parzuchowski, P.; Rolińska, K. Environmentally friendly synthesis of urea-free poly(carbonate-urethane) elastomers. Macromolecules 2022, 55, 4995–5008. [Google Scholar] [CrossRef]
- Bourguignon, M.; Grignard, B.; Detrembleur, C. Water-induced self-blown non-isocyanate polyurethane foams. Angew. Chem. Int. Ed. 2022, 61, e202213422. [Google Scholar] [CrossRef] [PubMed]
- Bourguignon, M.; Grignard, B.; Detrembleur, C. Cascade exotherms for rapidly producing hybrid nonisocyanate polyurethane foams from room temperature formulations. J. Am. Chem. Soc. 2024, 146, 988–1000. [Google Scholar] [CrossRef]
- Pierrard, A.; Melo, S.F.; Thijssen, Q.; Van Vlierberghe, S.; Lancellotti, P.; Oury, C.; Detrembleur, C.; Jérôme, C. Design of 3D-photoprintable, bio-, and hemocompatible nonisocyanate polyurethane elastomers for biomedical implants. Biomacromolecules 2024, 25, 1810–1824. [Google Scholar] [CrossRef]
- Peppel, W.J. Preparation and properties of the alkylene carbonates. Ind. Eng. Chem. 1958, 50, 767–770. [Google Scholar] [CrossRef]
- Brindoepke, G.; Marten, M. Verfahren zur herstellung von 2-oxo-1,3-dioxolanen. DE3529263, 16 August 1987. [Google Scholar]
- Kihara, N.; Hara, M.; Endo, T. Catalytic activity of various salts in the reaction of 2,3-epoxypropyl phenyl ether and carbon dioxide under atmospheric pressure. J. Org. Chem. 1993, 58, 6198–6202. [Google Scholar] [CrossRef]
- Rollin, P.; Soares, L.K.; Barcellos, A.M.; Araujo, D.R.; Lenardão, E.J.; Jacob, R.G.; Perin, G. Five-membered cyclic carbonates: Versatility for applications in organic synthesis, pharmaceutical, and materials sciences. Appl. Sci. 2021, 11, 5024. [Google Scholar] [CrossRef]
- Mohan, R. Green bismuth. Nat. Chem. 2010, 2, 336. [Google Scholar] [CrossRef] [PubMed]
- Pretti, C.; Oliva, M.; Mennillo, E.; Barbaglia, M.; Funel, M.; Yasani, B.R.; Martinelli, E.; Galli, G. An ecotoxicological study on tin- and bismuth-catalysed PDMS based coatings containing a surface-active polymer. Ecotoxic. Environ. Safety 2013, 98, 250–256. [Google Scholar] [CrossRef]
- Kobayashi, J.; Ikeda, K.; Sugiyama, H. Cytotoxicity of Bismuth Compounds to Cultured Cancer Cells. J. Environ. Anal. Toxicol. 2017, 7, 1000462. [Google Scholar] [CrossRef]
- Gonçalves, Â.; Matias, M.; Salvador, J.A.R.; Silvestre, S. Bioactive Bismuth Compounds: Is Their Toxicity a Barrier to Therapeutic Use? Int. J. Mol. Sci. 2024, 25, 1600. [Google Scholar] [CrossRef] [PubMed]
- Leckart, A.R.; Hansen, H.V. Bismuth Catalyst System for Preparing Polyurethane Elastomers. US4584362A, 22 April 1985. [Google Scholar]
- Luo, S.-G.; Tan, H.-M.; Zhang, J.-G.; Wu, Y.-J.; Pei, F.-K.; Meng, X.-H. Catalytic mechanisms of triphenyl bismuth, dibutyltin dilaurate, and their combination in polyurethane-forming reaction. J. Appl. Polym. Sci. 1997, 65, 1217–1225. [Google Scholar] [CrossRef]
- Vanbergen, T.; Verlent, I.; De Geeter, J.; Haelterman, B.; Claes, L.; De Vos, D. Recycling of flexible polyurethane foam by split-phase alcoholysis: Identification of additives and alcoholyzing agents to reach higher efficiencies. ChemSusChem 2020, 13, 3835–3843. [Google Scholar] [CrossRef]
- Jousseaume, B.; Laporte, C.; Toupance, T.; Bernard, J.M. Efficient bismuth catalysts for transcarbamoylation. Tetrahedron Lett. 2002, 43, 6305–6307. [Google Scholar] [CrossRef]
- Fortman, D.J.; Sheppard, D.T.; Dichtel, W.R. Reprocessing cross-linked polyurethanes by catalyzing carbamate exchange. Macromolecules 2019, 52, 6330–6335. [Google Scholar] [CrossRef]
- Safety Data Sheet of BiCl3. Available online: https://www.tcichemicals.com/BE/en/sds/B3546_EU_6N.pdf (accessed on 12 April 2024).
- Safety Data Sheet of Bu2SnO. Available online: https://www.sigmaaldrich.com/JP/en/sds/mm/8.03539 (accessed on 12 April 2024).
- Safety Data Sheet of BaO. Available online: https://www.fishersci.com/store/msds?partNumber=AA4444022&productDescription=barm-oxid--excludin-g&vendorId=VN00024248&keyword=true&countryCode=US&language=en (accessed on 12 April 2024).
- Safety Data Sheet of Zinc Acetate. Available online: https://www.tcichemicals.com/BE/en/sds/Z0044_CA_6N.pdf (accessed on 12 April 2024).
- Safety Data Sheet of NaCl. Available online: https://www.tcichemicals.com/BE/en/sds/S0572_EU_6N.pdf (accessed on 12 April 2024).
- Safety Data Sheet of Ti(OBu)4. Available online: https://www.tcichemicals.com/BE/en/sds/B0742_EU_6N.pdf (accessed on 12 April 2024).
- Safety Data Sheet of Ti(OPri)4. Available online: https://www.tcichemicals.com/BE/en/sds/T0133_CA_6N.pdf (accessed on 12 April 2024).
- Guo, R.; Zhang, Q.; Wu, Y.; Chen, H.; Liu, Y.; Wang, J.; Duan, X.; Chen, Q.; Ge, Z.; Zhang, Y. Extremely strong and tough biodegradable poly(urethane) elastomers with unprecedented crack tolerance via hierarchical hydrogen-bonding interactions. Adv. Mater. 2023, 35, 2212130. [Google Scholar] [CrossRef] [PubMed]
- Kobayashi, S.; Busujima, T.; Nagayama, S. A novel classification of Lewis acids on the basis of activity and selectivity. Chem. Eur. J. 2000, 6, 3491–3494. [Google Scholar] [CrossRef] [PubMed]
- Le Roux, C.; Dubac, J. Bismuth(III) chloride and triflate: Novel catalysts for acylation and sulfonylation reactions. Survey and mechanistic aspects. Synlett 2002, 0181–0200. Available online: https://www.thieme-connect.de/products/ejournals/abstract/10.1055/s-2002-19743 (accessed on 28 March 2024).
- Gaspard-Iloughmane, H.; Le Roux, C. Bismuth(III) triflate in organic synthesis. Eur. J. Org. Chem. 2004, 2004, 2517–2532. [Google Scholar] [CrossRef]
- Lopez, E.; Thorp, S.C.; Mohan, R.S. Bismuth(III) compounds as catalysts in organic synthesis: A mini review. Polyhedron 2022, 222, 115765. [Google Scholar] [CrossRef]
- Paul, R.C.; Singh, D.; Saandhu, S.S. Acetyl chloride as a polar solvent. Part II. Solvolytic reactions in acetyl chloride. J. Chem. Soc. 1959, 319–322. [Google Scholar] [CrossRef]
- Bakkali-Hassani, C.; Berne, D.; Ladmiral, V.; Caillol, S. Transcarbamoylation in polyurethanes: Underestimated exchange reactions? Macromolecules 2022, 55, 7974–7991. [Google Scholar] [CrossRef]
- Li, C.; Li, S.; Zhao, J.; Zhang, Z.; Zhang, J.; Yang, W. Synthesis and characterization of aliphatic poly(amide urethane)s having different nylon 6 segments through non-isocyanate route. J. Polym. Res. 2014, 21, 498. [Google Scholar] [CrossRef]
- Ma, S.; Liu, C.; Sablong, R.J.; Noordover, B.A.J.; Hensen, E.J.M.; van Benthem, R.A.T.M.; Koning, C.E. Catalysts for Isocyanate-Free Polyurea Synthesis: Mechanism and Application. ACS Catal. 2016, 6, 6883–6891. [Google Scholar] [CrossRef]








| Entry | Catalyst | Yield (%) a | MnNMR b | Urethane/Urea b |
|---|---|---|---|---|
| 1 | BiCl3 | 59 | 1600 | 97/3 |
| 2 | BiBr3 | 74 | 2100 | 95/5 |
| 3 | Bismuth subsalicylate | 66 | 2000 | 87/13 |
| 4 | Bi(OH)3 | 51 | 1400 | 92/8 |
| 5 | BiF3 | 45 | 1400 | 88/12 |
| 6 | Bi2O3 | 23 | 1400 | 91/9 |
| 7 | Bi(OCOCH3)3 | 25 | 1300 | 88/12 |
| 8 | Bi2(SO4)3 | 20 | 1300 | 99/1 |
| 9 | Bismuth hydroxide nitrate | 16 | 1300 | 97/3 |
| 10 | BiPh3 | 1 | 860 | 39/61 |
| c.f. | Bu2SnO | 82 | 2400 | 86/14 |
| Entry | Solvent | Yield (%) a | MnNMR b | Urethane/Urea b |
|---|---|---|---|---|
| 1 | DMF | No polymerization | ||
| 2 | DMSO | No polymerization | ||
| 3 | Anisol | 48 | 1800 | 89/11 |
| c.f. | Xylene | 95 | 5400 | 96/4 |
| Entry | Xylene/BHU6 (L/mol) | Yield (%) a | MnNMR b | Urethane/Urea b |
|---|---|---|---|---|
| 1 | 15 | 91 | 4700 | 97/3 |
| 2 | 10 | 91 | 4600 | 90/10 |
| 3 | 8 | 89 | 3400 | 93/7 |
| 4 | 5 | 95 | 5400 | 96/4 |
| 5 | 3 | 67 | 2300 | 87/13 |
| Entry | BiCl3 (mol%) | Yield (%) a | MnNMR b | Urethane/Urea b |
|---|---|---|---|---|
| 1 | 5 | 91 | 3700 | 96/4 |
| 2 | 10 | 95 | 5400 | 96/4 |
| 3 | 15 | 90 | 5100 | 94/6 |
| Entry | Catalyst | Yield (%) a | MnNMR b | Urethane/Urea b |
|---|---|---|---|---|
| 1 | BiBr3 | 90 | 4000 | 93/7 |
| 2 | Bu2SnO | 95 | 4900 | 91/9 |
| c.f. | BiCl3 | 95 | 5400 | 96/4 |
Disclaimer/Publisher’s Note: The statements, opinions and data contained in all publications are solely those of the individual author(s) and contributor(s) and not of MDPI and/or the editor(s). MDPI and/or the editor(s) disclaim responsibility for any injury to people or property resulting from any ideas, methods, instructions or products referred to in the content. |
© 2024 by the authors. Licensee MDPI, Basel, Switzerland. This article is an open access article distributed under the terms and conditions of the Creative Commons Attribution (CC BY) license (https://creativecommons.org/licenses/by/4.0/).
Share and Cite
Ochiai, B.; Kobayashi, Y. Non-Isocyanate Synthesis of Aliphatic Polyurethane by BiCl3-Catalyzed Transurethanization Polycondensation. Polymers 2024, 16, 1136. https://doi.org/10.3390/polym16081136
Ochiai B, Kobayashi Y. Non-Isocyanate Synthesis of Aliphatic Polyurethane by BiCl3-Catalyzed Transurethanization Polycondensation. Polymers. 2024; 16(8):1136. https://doi.org/10.3390/polym16081136
Chicago/Turabian StyleOchiai, Bungo, and Yuriko Kobayashi. 2024. "Non-Isocyanate Synthesis of Aliphatic Polyurethane by BiCl3-Catalyzed Transurethanization Polycondensation" Polymers 16, no. 8: 1136. https://doi.org/10.3390/polym16081136
APA StyleOchiai, B., & Kobayashi, Y. (2024). Non-Isocyanate Synthesis of Aliphatic Polyurethane by BiCl3-Catalyzed Transurethanization Polycondensation. Polymers, 16(8), 1136. https://doi.org/10.3390/polym16081136

