Progress in Polyhedral Oligomeric Silsesquioxane (POSS) Photoresists: A Comprehensive Review across Lithographic Systems
Abstract
1. Introduction
2. Classification of the POSS-Base Photoresist
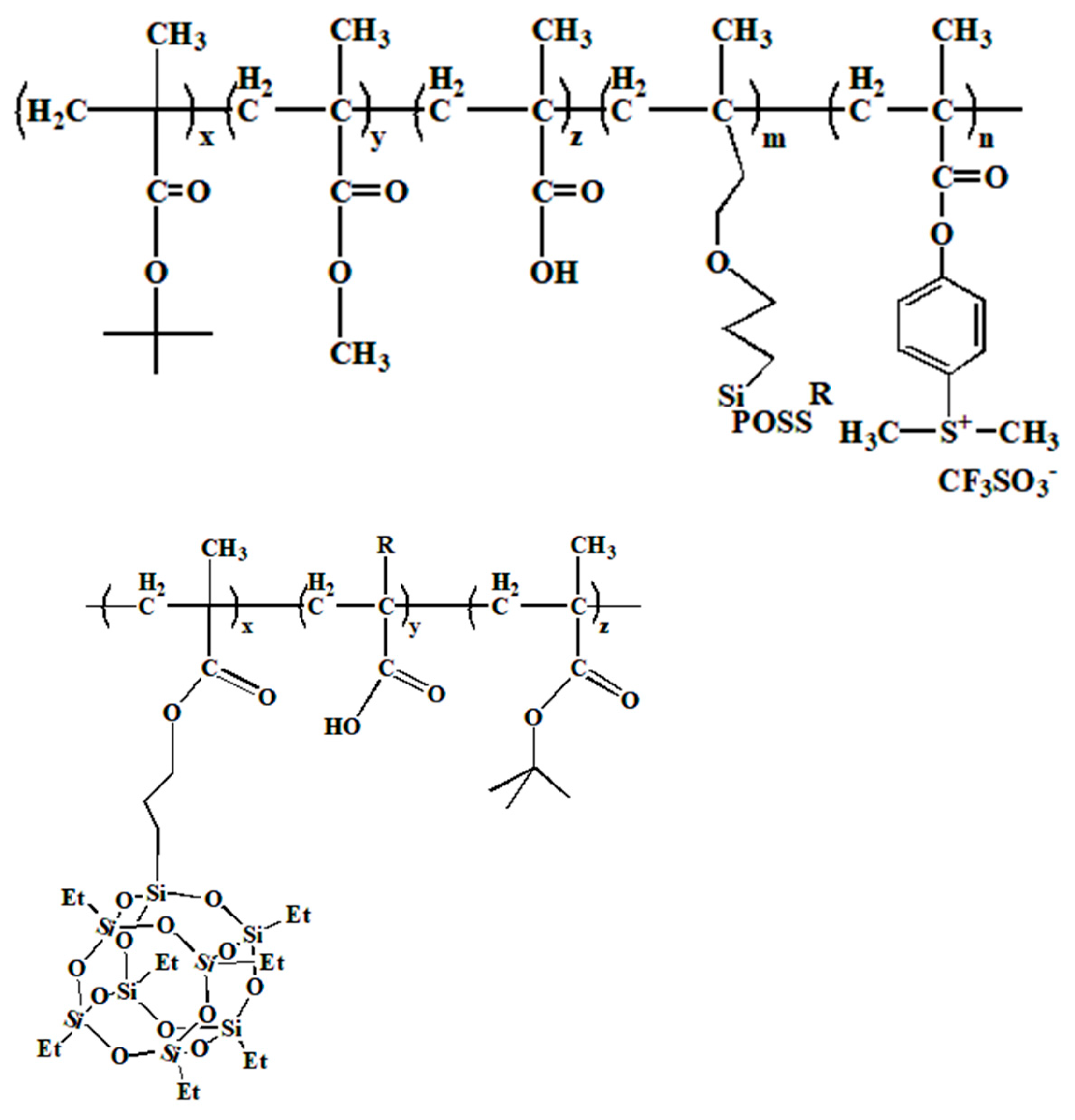
2.1. The EBL-POSS-Based Photoresist
2.2. The X-ray POSS-Based Photoresist
2.3. The UV-NIL POSS-Based Photoresist
2.4. The DUV-POSS-Based Photoresist
2.5. The EUV-POSS-Based Phtotresist
2.6. Directed Self-Assembly (DSA)-POSS-Based Photoresist
3. Conclusions
Author Contributions
Funding
Institutional Review Board Statement
Data Availability Statement
Acknowledgments
Conflicts of Interest
Abbreviations
| All molecular abbreviations and their full names | |
| HSQ (T-type H-POSS) | hydrogen silsesquioxane |
| POSS | polyhedral oligomeric silsesquioxane |
| PMMA | polymethyl methacrylate |
| TMAH | tetramethylammonium hydroxide |
| AQM-HSQ | applied quantum materials-HSQ |
| PAG | photosensitive acid-producing agents |
| HMDS | hexamethyldisilazane |
| APSQ | acetylated phenylsilsesquioxane oligomer |
| MA | methacrylic acid |
| Vi-POSS | octamer half-siloxane |
| MMA | methyl methacrylate |
| PMMA-POSS | polymethyl methacrylate-POSS |
| SH-POSS | sulfhydryl functionalization-POSS |
| TMPT | trihydroxymethylpropane triacrylate |
| PS | polystyrene |
| PDMS | polydimethylsiloxane |
| TBA | tert-butyl acrylate |
| CDEOPE-POSS | octa(chlorodimethylsilylethyl)-POSS |
| AcOSty | acetyloxystyrene |
| MAdMA | methacrylic acid 2-methyl-2-ammanyl ester |
| MaIBPOSS | methyl propylene isobutyl-POSS |
| AIBN | 2,2′-azodiisobutyric nitrile |
| t-BMA | tert-butyl methacrylate |
| LER | line edge roughness |
| DSA | directed self-assembly |
| BCPs | block copolymers |
| PS-b-PMMA | polystyrene-block-polymethyl methacrylate |
| PMAPOSS-b-PTFEMA | poly(polyhedral oligomeric silsesquioxane methacrylate-block-2,2,2-trifluoroethyl methacrylate) |
| BCPs | block Copolymers |
| POSS-A | acrylate POSS |
| POSS-G | epoxy POSS |
| PS-b-PDMS | polystyrene-block-polydimethylsiloxane |
| POSS-BCPs | POSS-block copolymers |
| XRL | X-ray lithography |
| DUV-NIL | deep ultraviolet nanoimprint lithography |
| DSA | guided self-assembled lithography |
| EUV | extreme ultraviolet lithography |
| UV | ultraviolet |
| DUV | deep ultraviolet |
| EBL | electron Beam Lithography |
| NIL | nanoimprint lithography |
| UV-NIL | ultraviolet nanoimprint lithography |
| CAR | chemically amplified resist |
| T-NIL | thermal nano-imprint lithography |
| A-POSS | octa-aminopropyl POSS |
| C-POSS | octa-substituted carboxy-terminal POSS |
| SH-POSS | sulfhydryl functionalization-POSS |
References
- Kim, J.; Lee, J.K.; Chae, B.; Ahn, J.; Lee, S. Near-field infrared nanoscopic study of EUV- and e-beam-exposed hydrogen silsesquioxane photoresist. Nano Converg. 2022, 9, 53. [Google Scholar] [CrossRef] [PubMed]
- Gao, J.X.; Zhang, S.L.; Cui, X.W.; Cong, X.; Guo, X.D.; Hu, R.; Wang, S.Q.; Chen, J.P.; Li, Y.; Yang, G.Q. Effective Optimization Strategy for Electron Beam Lithography of Molecular Glass Negative Photoresist. Adv. Mater. Interfaces 2023, 10, 2300194. [Google Scholar] [CrossRef]
- Li, L.; Liu, X.; Pal, S.; Wang, S.; Ober, C.K.; Giannelis, E.P. Extreme ultraviolet resist materials for sub-7 nm patterning. Chem. Soc. Rev. 2017, 46, 4855–4866. [Google Scholar] [CrossRef] [PubMed]
- Sutikno; Defi, E.A. Synthesis of organic photoresist of Hibiscus tiliaceus L. flowers for patterning with X-Ray and UV exposure. J. Phys. Conf. Ser. 2020, 1567, 022002. [Google Scholar] [CrossRef]
- Gao, C.; Shi, D.; Li, C.; Yu, X.; Zhang, X.; Liu, Z.; Zhang, G.; Zhang, D. A Dual Functional Diketopyrrolopyrrole-Based Conjugated Polymer as Single Component Semiconducting Photoresist by Appending Azide Groups in the Side Chains. Adv. Sci. 2022, 9, 2106087. [Google Scholar] [CrossRef] [PubMed]
- Kerwin, R.E.; Goldrick, M.R. Thermally stable photoresist polymer. Polym. Eng. Sci. 1971, 11, 426–430. [Google Scholar] [CrossRef]
- Wang, X.; Tao, P.; Wang, Q.; Zhao, R.; Liu, T.; Hu, Y.; Hu, Z.; Wang, Y.; Wang, J.; Tang, Y.; et al. Trends in photoresist materials for extreme ultraviolet lithography: A review. Mater. Today 2023, 67, 299–319. [Google Scholar] [CrossRef]
- Tarascon-Auriol, R.G.; Willson, C.G.; Dammel, R.R.; Reiser, A. Advances in Resist Technology and Processing XIV. In Proceedings of the Photoresist Materials: A Historical Perspective, Santa Clara, CA, USA, 7 July 1997. [Google Scholar]
- Lim, G.; Lee, K.; Choi, S.; Yoon, H.J. Organometallic and coordinative photoresist materials for EUV lithography and related photolytic mechanisms. Coord. Chem. Rev. 2023, 493, 215307. [Google Scholar] [CrossRef]
- Yoon, T.; Park, W.; Kim, Y.; Choi, H.; Chung, S.; Park, J.; Chang, H.J.; Na, S. Silk-based organic photoresists for extreme ultraviolet lithography: A multiscale in silico study. J. Mater. Chem. C 2023, 11, 4415–4425. [Google Scholar] [CrossRef]
- Luo, C.; Xu, C.; Lv, L.; Li, H.; Huang, X.; Liu, W. Review of recent advances in inorganic photoresists. RSC Adv. 2020, 10, 8385–8395. [Google Scholar] [CrossRef]
- Wu, R.; Luo, M.; Liu, L.; Liu, L.; Zhao, W.; Sun, W.H. Structural investigation of zinc-based photoresists with different substituents for high-resolution lithography. Appl. Organomet. Chem. 2023, 37, e7158. [Google Scholar] [CrossRef]
- Olynick, D.L.; Cord, B.; Schipotinin, A.; Ogletree, D.F.; Schuck, P.J. Electron-beam exposure mechanisms in hydrogen silsesquioxane investigated by vibrational spectroscopy and in situ electron-beam-induced desorption. J. Vac. SCI Technol. B 2010, 28, 581–587. [Google Scholar] [CrossRef]
- Yang, C.-C.; Chen, W.-C. The structures and properties of hydrogen silsesquioxane (HSQ) films produced by thermal curing. J. Mater. Chem. 2002, 12, 1138–11141. [Google Scholar]
- Yang, Z.; Chen, Y.; Zhou, Y.; Wang, Y.; Dai, P.; Zhu, X.; Duan, H. Microscopic Interference Full-Color Printing Using Grayscale-Patterned Fabry Perot Resonance Cavities. Adv. Opt. Mater. 2017, 5, 1700029. [Google Scholar] [CrossRef]
- Gangnaik, A.S.; Georgiev, Y.M.; Holmes, J.D. New Generation Electron Beam Resists: A Review. Chem. Mater. 2017, 29, 1898–1917. [Google Scholar] [CrossRef]
- Jin, F.; Liu, J.; Zhao, Y.Y.; Dong, X.Z.; Zheng, M.L.; Duan, X.M. λ/30 inorganic features achieved by multi-photon 3D lithography. Nat. Commun. 2022, 13, 1357. [Google Scholar] [CrossRef] [PubMed]
- Zhang, Z.; Zhou, Y.; Yang, Y.; Ma, X.; Xuan, L.; Wu, X. Synthesis of tetra(epoxy)-terminated open-cage POSS and its particle thermo-crosslinking with diphenols for fabricating high performance low-k composites adopted in electronic packaging. Compos. Sci. Technol. 2023, 231, 109825. [Google Scholar] [CrossRef]
- Tian, K.; Luh, T.-Y.; Wang, X.; Hao, C.; Yang, X.; Li, Z.; Lai, G. Caterpillar-shaped polysilsesquioxanes. Chem. Commun. 2019, 55, 2613–2615. [Google Scholar] [CrossRef]
- Kuo, S.-W.; Chang, F.-C. POSS related polymer nanocomposites. Prog. Polym. Sci. 2011, 36, 1649–1696. [Google Scholar] [CrossRef]
- Li, Z.; Kong, J.; Wang, F.; He, C. Polyhedral oligomeric silsesquioxanes (POSSs): An important building block for organic optoelectronic materials. J. Mater. Chem. C 2017, 5, 5283–5298. [Google Scholar] [CrossRef]
- Du, Y.; Liu, H. Cage-like silsesquioxanes-based hybrid materials. Dalton Trans. 2020, 49, 5396–5405. [Google Scholar] [CrossRef]
- Zhou, H.; Ye, Q.; Xu, J. Polyhedral oligomeric silsesquioxane-based hybrid materials and their applications. Mater. Chem. Front. 2017, 1, 212–230. [Google Scholar] [CrossRef]
- Li, Y.; Zhong, J.; Wu, L.; Weng, Z.; Zheng, L.; Peng, S.; Zhang, X. High performance POSS filled nanocomposites prepared via UV-curing based on 3D stereolithography printing. Compos. Part. A Appl. Sci. 2019, 117, 276–286. [Google Scholar] [CrossRef]
- Panda, R.; Pant, K.K.; Bhaskar, T.; Naik, S.N. Dissolution of brominated epoxy resin for environment friendly recovery of copper as cupric oxide nanoparticles from waste printed circuit boards using ammonium chloride roasting. J. Clean. Prod. 2021, 291, 125928. [Google Scholar] [CrossRef]
- Schmidt, C.; Ciesielski, M.; Greiner, L.; Döring, M. Novel organophosphorus flame retardants and their synergistic application in novolac epoxy resin. Polym. Degrad. Stab. 2018, 158, 190–201. [Google Scholar] [CrossRef]
- Wu, Y.; Li, L.; Feng, S.; Liu, H. Hybrid nanocomposites based on novolac resin and octa(phenethyl) polyhedral oligomeric silsesquioxanes (POSS): Miscibility, specific interactions and thermomechanical properties. Polym. Bull. 2013, 70, 3261–3277. [Google Scholar] [CrossRef]
- Hu, Z.; Liu, M.; Che, J.; Kang, Q.; Liu, Z.; Qiang, Z.; Liu, X.; Xia, Y.; Huang, S.; Zhang, J.; et al. SLA printing of POSS-containing, bio-based composites with low dielectric constant and shape-memory function. Compos. Commun. 2023, 39, 101566. [Google Scholar] [CrossRef]
- Liu, C.; Chen, T.; Yuan, C.H.; Song, C.F.; Chang, Y.; Chen, G.R.; Xu, Y.T.; Dai, L.Z. Modification of epoxy resin through the self-assembly of a surfactant-like multi-element flame retardant. J. Mater. Chem. A 2016, 4, 3462–3470. [Google Scholar] [CrossRef]
- Liu, Y.R.; Huang, Y.D.; Liu, L. Influence of methacryl polyhedral oligomeric silsesquioxane on the thermal and mechanical properties of methylsilicone resin. J. Appl. Polym. Sci. 2008, 110, 2989–2995. [Google Scholar] [CrossRef]
- Yu, T.; Xu, Z.; Su, W.; Zhao, Y.; Zhang, H.; Bao, Y. Highly efficient phosphorescent materials based on Ir(iii) complexes-grafted on a polyhedral oligomeric silsesquioxane core. Dalton Trans. 2016, 45, 13491–13502. [Google Scholar] [CrossRef]
- Feng, Y.; Zhang, J.; He, J.; Zhang, J. Transparent cellulose/polyhedral oligomeric silsesquioxane nanocomposites with enhanced UV-shielding properties. Carbohydr. Polym. 2016, 147, 171–177. [Google Scholar] [CrossRef]
- Zhang, Z.; Zhou, Y.; Cai, L.; Xuan, L.; Wu, X.; Ma, X. Synthesis of eugenol-functionalized polyhedral oligomer silsesquioxane for low-k bismaleimide resin combined with excellent mechanical and thermal properties as well as its composite reinforced by silicon fiber. Chem. Eng. J. 2022, 439, 135740. [Google Scholar] [CrossRef]
- Guenthner, A.J.; Lamison, K.R.; Lubin, L.M.; Haddad, T.S.; Mabry, J.M. Hansen Solubility Parameters for Octahedral Oligomeric Silsesquioxanes. Ind. Eng. Chem. Res. 2012, 51, 12282–12293. [Google Scholar] [CrossRef]
- Zhang, W.; Huang, J.; Guo, X.; Zhang, W.; Qin, Z.; Yang, R. Preparation and mechanism of toughening and flame retardance of epoxy resin using novel silsesquioxane molecules. React. Funct. Polym. 2023, 190, 105645. [Google Scholar] [CrossRef]
- Zhang, P.; Xue, K.; Liu, H.; Song, Z.; Sun, X.; Yao, T.; Liu, L. Preparation of a low dielectric POSS/epoxy hybrid polymer without sacrificing the mechanical performance. New J. Chem. 2023, 47, 10169–10177. [Google Scholar] [CrossRef]
- Liu, Y.; Liu, X.; Wan, D.; Jin, M. Ternary hybrid materials based on the photoinduced cationic polymerization of functional twin monomer and epoxides. Eur. Polym. J. 2022, 164, 110987. [Google Scholar] [CrossRef]
- Lin, H.-M.; Wu, S.-Y.; Huang, P.-Y.; Huang, C.-F.; Kuo, S.-W.; Chang, F.-C. Polyhedral Oligomeric Silsesquioxane Containing Copolymers for Negative-Type Photoresists. Macromol. Rapid Commun. 2006, 27, 1550–1555. [Google Scholar] [CrossRef]
- Tseng, A.A.; Kuan, C.; Chen, C.D.; Ma, K.J. Electron beam lithography in nanoscale fabrication: Recent development. IEEE T. Electron. Pack. 2003, 26, 141–149. [Google Scholar] [CrossRef]
- Gonsalves, K.E.; Merhari, L.; Wu, H.; Hu, Y. Organic–Inorganic Nanocomposites: Unique Resists for Nanolithography. Adv. Mater. 2001, 13, 703–714. [Google Scholar] [CrossRef]
- Nagase, M.; Namatsu, H.; Kurihara, K.; Iwadate, K.; Murase, K.; Makino, T. Nano-scale fluctuations in electron beam resist pattern evaluated by atomic force microscopy. Microelectron. Eng. 1996, 30, 419–422. [Google Scholar] [CrossRef]
- Namatsu, H.; Yamaguchi, T.; Nagase, M.; Yamazaki, K.; Kurihara, K. Nano-patterning of a hydrogen silsesquioxane resist with reduced linewidth fluctuations. Microelectron. Eng. 1998, 41–42, 331–334. [Google Scholar] [CrossRef]
- Yang, J.K.W.; Cord, B.; Duan, H.; Berggren, K.K.; Klingfus, J.; Nam, S.-W.; Kim, K.-B.; Rooks, M.J. Understanding of hydrogen silsesquioxane electron resist for sub-5-nm-half-pitch lithography. J. Vac. Sci. Technol. B 2009, 27, 2622–2627. [Google Scholar] [CrossRef]
- Andok, R.; Vutova, K.; Bencurova, A.; Kostic, I.; Koleva, E. Study and comparison of resist characteristics for different negative tone electron beam resists. J. Phys. Conf. Ser. 2023, 2443, 012006. [Google Scholar] [CrossRef]
- Word, M.J.; Adesida, I.; Berger, P.R. Nanometer-period gratings in hydrogen silsesquioxane fabricated by electron beam lithography. J. Vac. Sci. Technol. B 2003, 21, L12–L15. [Google Scholar] [CrossRef]
- Lee, B.K.; Cha, N.-G.; Hong, L.-Y.; Kim, D.-P.; Tanaka, H.; Lee, H.Y.; Kawai, T. Photocurable Silsesquioxane-Based Formulations as Versatile Resins for Nanoimprint Lithography. Langmuir 2010, 26, 14915–14922. [Google Scholar] [CrossRef] [PubMed]
- Gonsalves, K.E.; Wang, J.; Wu, H. Combinatorial approach for the synthesis of terpolymers and their novel application as very-high-contrast resists for x-ray nanolithography. J. Vac. Sci. Technol. B 2000, 18, 325–327. [Google Scholar] [CrossRef]
- Loy, D.A.; Baugher, B.M.; Baugher, C.R.; Schneider, D.A.; Rahimian, K. Substituent Effects on the Sol−Gel Chemistry of Organotrialkoxysilanes. Chem. Mater. 2000, 12, 3624–3632. [Google Scholar] [CrossRef]
- Sim, J.H.; Lee, S.-I.; Lee, H.-J.; Kasica, R.; Kim, H.-M.; Soles, C.L.; Kim, K.-B.; Yoon, D.Y. Novel Organosilicate Polymer Resists for High Resolution E-Beam Lithography. Chem. Mater. 2010, 22, 3021–3023. [Google Scholar] [CrossRef]
- Shen, J.; Aydinoglu, F.; Soltani, M.; Cui, B. E-beam lithography using dry powder resist of hydrogen silsesquioxane having long shelf life. J. Vac. Sci. Technol. B 2019, 37, 021601. [Google Scholar] [CrossRef]
- Azam Ali, M.; Gonsalves, K.E.; Agrawal, A.; Jeyakumar, A.; Henderson, C.L. A new nanocomposite resist for low and high voltage electron beam lithography. Microelectron. Eng. 2003, 70, 19–29. [Google Scholar] [CrossRef]
- Azam Ali, M.; Gonsalves, K.E.; Golovkina, V.; Cerrina, F. High sensitivity nanocomposite resists for EUV lithography. Microelectron. Eng. 2003, 65, 454–462. [Google Scholar] [CrossRef]
- Douvas, A.M.; Van Roey, F.; Goethals, M.; Papadokostaki, K.G.; Yannakopoulou, K.; Niakoula, D.; Gogolides, E.; Argitis, P. Partially Fluorinated, Polyhedral Oligomeric Silsesquioxane-Functionalized (Meth)Acrylate Resists for 193 nm Bilayer Lithography. Chem. Mater. 2006, 18, 4040–4048. [Google Scholar] [CrossRef]
- Manfrinato, V.R.; Zhang, L.; Su, D.; Duan, H.; Hobbs, R.G.; Stach, E.A.; Berggren, K.K. Resolution Limits of Electron-Beam Lithography toward the Atomic Scale. Nano Lett. 2013, 13, 1555–1558. [Google Scholar] [CrossRef] [PubMed]
- Liu, Q.; Zhao, J.; Guo, J.; Wu, R.; Liu, W.; Chen, Y.; Du, G.; Duan, H. Sub-5 nm Lithography with Single GeV Heavy Ions Using Inorganic Resist. Nano Lett. 2021, 21, 2390–2396. [Google Scholar] [CrossRef] [PubMed]
- Grigorescu, A.E.; Hagen, C.W. Resists for sub-20-nm electron beam lithography with a focus on HSQ: State of the art. Nanotechnology 2009, 20, 292001. [Google Scholar] [CrossRef] [PubMed]
- Zhao, J.; Yang, S.; Xue, C.; Wang, L.; Liang, Z.; Zhang, L.; Wang, Y.; Wu, Y.; Tai, R. The recent development of soft X-ray interference lithography in SSRF. Int. J. Extrem. Manuf. 2020, 2, 012005. [Google Scholar] [CrossRef]
- Rathore, A.; Pollentier, I.; Cipriani, M.; Singh, H.; De Simone, D.; Ingólfsson, O.; De Gendt, S. Extreme Ultraviolet-Printability and Mechanistic Studies of Engineered Hydrogen Silsesquioxane Photoresist Systems. CS Appl. Polym. Mater. 2021, 3, 1964–1972. [Google Scholar] [CrossRef]
- Smith, H.I.; Spears, D.L.; Bernacki, S.E. X-Ray Lithography: A Complementary Technique to Electron Beam Lithography. J. Vac. Sci. Technol. 1973, 10, 913–917. [Google Scholar] [CrossRef]
- Feder, R.; Spiller, E.; Topalian, J. X-ray lithography. Polym. Eng. Sci. 1977, 17, 385–389. [Google Scholar] [CrossRef]
- Maldonado, J.R.; Peckerar, M. X-ray lithography: Some history, current status and future prospects. Microelectron. Eng. 2016, 161, 87–93. [Google Scholar] [CrossRef]
- Cheng, C.-M.; Chen, R.-H. Key issues in fabricating microstructures with high aspect ratios by using deep X-ray lithography. Microelectron. Eng. 2004, 71, 335–342. [Google Scholar] [CrossRef]
- Khan Malek, C.G. SU8 resist for low-cost X-ray patterning of high-resolution, high-aspect-ratio MEMS. Microelectron. J. 2002, 33, 101–105. [Google Scholar] [CrossRef]
- Ban, H.; Tanaka, A.; Kawai, Y.; Imamura, S. Synthesis of alkali-soluble silicone resin suitable for resist material in microlithography. Polymer 1990, 31, 564–568. [Google Scholar] [CrossRef]
- Liu, B.; Huang, Y.; Zhao, L.; Huang, Y.; Song, A.; Lin, Y.; Wang, M.; Li, X.; Cao, H. A novel non-woven fabric supported gel polymer electrolyte based on poly(methylmethacrylate-polyhedral oligomeric silsesquioxane) by phase inversion method for lithium ion batteries. J. Membr. Sci. 2018, 564, 62–72. [Google Scholar] [CrossRef]
- Zhou, D.L.; Li, J.H.; Guo, Q.Y.; Lin, X.; Zhang, Q.; Chen, F.; Han, D.; Fu, Q. Polyhedral Oligomeric Silsesquioxanes Based Ultralow-k Materials: The Effect of Cage Size. Adv. Funct. Mater. 2021, 31, 2102074. [Google Scholar] [CrossRef]
- Zeng, K.; Zheng, S. Nanostructures and Surface Dewettability of Epoxy Thermosets Containing Hepta(3,3,3-trifluoropropyl) Polyhedral Oligomeric Silsesquioxane-Capped Poly(ethylene Oxide). J. Phys. Chem. B 2007, 111, 13919–13928. [Google Scholar] [CrossRef] [PubMed]
- Ohki, S.; Ishihara, S. An overview of X-ray lithography. Microelectron. Eng. 1996, 30, 171–178. [Google Scholar] [CrossRef]
- Radzievskaya, T.A.; Ivanov, N.N.; Tarasov, S.A. Cut-Off UV Light Filter to Prevent the Negative Slope of the Soft Lithography Hard Mold Walls. Russ. Microelectron. 2023, 51, 539–544. [Google Scholar] [CrossRef]
- Chou, S.Y. Foreword. Appl. Phys. A 2015, 121, 317–318. [Google Scholar] [CrossRef][Green Version]
- Brittman, S.; Oener, S.Z.; Guo, K.; Āboliņš, H.; Koenderink, A.F.; Garnett, E.C. Controlling crystallization to imprint nanophotonic structures into halide perovskites using soft lithography. J. Mater. Chem. C 2017, 5, 8301–8307. [Google Scholar] [CrossRef]
- Polman, A.; Atwater, H.A. Photonic design principles for ultrahigh-efficiency photovoltaics. Nat. Mater. 2012, 11, 174–177. [Google Scholar] [CrossRef] [PubMed]
- Dundar Arisoy, F.; Kolewe, K.W.; Homyak, B.; Kurtz, I.S.; Schiffman, J.D.; Watkins, J.J. Bioinspired Photocatalytic Shark-Skin Surfaces with Antibacterial and Antifouling Activity via Nanoimprint Lithography. ACS Appl. Mater. Interfaces 2018, 10, 20055–20063. [Google Scholar] [CrossRef] [PubMed]
- Beaulieu, M.R.; Hendricks, N.R.; Watkins, J.J. Large-Area Printing of Optical Gratings and 3D Photonic Crystals Using Solution-Processable Nanoparticle/Polymer Composites. ACS Photonics 2014, 1, 799–805. [Google Scholar] [CrossRef]
- Oh, Y.S.; Choi, D.Y.; Sung, H.J. Direct imprinting of thermally reduced silver nanoparticles via deformation-driven ink injection for high-performance, flexible metal grid embedded transparent conductors. RSC Adv. 2015, 5, 64661–64668. [Google Scholar] [CrossRef]
- Visser, D.; Chen, D.Y.; Désières, Y.; Ravishankar, A.P.; Anand, S. Embossed Mie resonator arrays composed of compacted TiO2 nanoparticles for broadband anti-reflection in solar cells. Sci. Rep. 2020, 10, 12527. [Google Scholar] [CrossRef] [PubMed]
- Kehagias, N.; Zelsmann, M.; Chouiki, M.; Francone, A.; Reboud, V.; Schoeftner, R.; Torres, C.S. Low temperature direct imprint of polyhedral oligomeric silsesquioxane (POSS) resist. Microelectron. Eng. 2011, 88, 1997–1999. [Google Scholar] [CrossRef]
- Jiang, S.; Saito, M.; Murahashi, M.; Tamiya, E. Pressure free nanoimprinting lithography using ladder-type HSQ material for LSPR biosensor chip. Sens. Actuat. B Chem. 2017, 242, 47–55. [Google Scholar] [CrossRef]
- Tao, J.; Chen, Y.; Zhao, X.; Malik, A.; Cui, Z. Room temperature nanoimprint lithography using a bilayer of HSQ/PMMA resist stack. Microelectron. Eng. 2005, 78–79, 665–669. [Google Scholar] [CrossRef]
- Nakamatsu, K.-I.; Matsui, S. Nanoimprinting Using Liquid-Phase Hydrogen Silsesquioxane. Jpn. J. Appl. Phys. 2006, 45, L546–L548. [Google Scholar] [CrossRef]
- Liu, H.; Zheng, S.; Nie, K. Morphology and Thermomechanical Properties of Organic−Inorganic Hybrid Composites Involving Epoxy Resin and an Incompletely Condensed Polyhedral Oligomeric Silsesquioxane. Macromolecules 2005, 38, 5088–5097. [Google Scholar] [CrossRef]
- Lin, H.; Wan, X.; Jiang, X.; Wang, Q.; Yin, J. A Nanoimprint Lithography Hybrid Photoresist Based on the Thiol-Ene System. Adv. Funct. Mater. 2011, 21, 2960–2967. [Google Scholar] [CrossRef]
- Lin, H.; Gan, Y.; Jiang, X.; Yin, J. Thiol-yne Photo-curable Hybrid Resist: An Alternative for UV Nanoimprint Lithography (UV-NIL). J. Photopolym. Sci. Technol. 2014, 27, 121–129. [Google Scholar] [CrossRef]
- Choi, K.M.; Rogers, J.A. A Photocurable Poly(dimethylsiloxane) Chemistry Designed for Soft Lithographic Molding and Printing in the Nanometer Regime. J. Am. Chem. Soc. 2003, 125, 4060–4061. [Google Scholar] [CrossRef] [PubMed]
- Lin, H.; Wan, X.; Jiang, X.; Wang, Q.; Yin, J. A “thiol-ene” photo-curable hybrid fluorinated resist for the high-performance replica mold of nanoimprint lithography (NIL). J. Mater. Chem. 2012, 22, 2616–2623. [Google Scholar] [CrossRef]
- Shin, S.; Woo, S.A.; Kim, J.B. Diazoketo-functionalized POSS resists for high performance replica molds of ultraviolet-nanoimprint lithography. Nanotechnology 2016, 27, 475301. [Google Scholar] [CrossRef] [PubMed]
- Ro, H.W.; Popova, V.; Chen, L.; Forster, A.M.; Ding, Y.; Alvine, K.J.; Krug, D.J.; Laine, R.M.; Soles, C.L. Cubic Silsesquioxanes as a Green, High-Performance Mold Material for Nanoimprint Lithography. Adv. Mater. 2011, 23, 414–420. [Google Scholar] [CrossRef] [PubMed][Green Version]
- Wu, H.; Gonsalves, K.E. Novel Positive-Tone Chemically Amplified Resists with Photoacid Generator in the Polymer Chains. Adv. Mater. 2001, 13, 670–672. [Google Scholar] [CrossRef]
- Reichmanis, E.; Neenan, T.X.; Houlihan, F.M.; Reichmanis, E.; Kometani, J.M.; Bachman, B.J.; Thompson, L.F. Advances in Resist Technology and Processing VI. In Proceedings of the Chemically Amplified Resists: A Lithographic Comparison of Acid Generating Species, San Jose, CA, USA, 30 January 1989. [Google Scholar]
- Reichmanis, E.; Houlihan, F.M.; Nalamasu, O.; Neenan, T.X. Chemical amplification mechanisms for microlithography. Chem. Mater. 2002, 3, 394–407. [Google Scholar] [CrossRef]
- Kim, J.-B.; Ganesan, R.; Choi, J.-H.; Yun, H.-J.; Kwon, Y.-G.; Kim, K.-S.; Oh, T.-H. Photobleachable silicon-containing molecular resist for deep UV lithography. J. Mater. Chem. 2006, 16, 3448–3451. [Google Scholar] [CrossRef]
- Huang, S.Z.; Wu, K.Y. Health Risk Assessment of Photoresists Used in an Optoelectronic Semiconductor Factory. Risk Anal. 2019, 39, 2625–2639. [Google Scholar] [CrossRef]
- Zhang, J.; Luo, Z.; Wang, W.; Yang, Y.; Li, D.; Ma, Y. One-pot synthesis of bio-functionally water-soluble POSS derivatives via efficient click chemistry methodology. React. Funct. Polym. 2019, 140, 103–110. [Google Scholar] [CrossRef]
- Tanaka, K.; Inafuku, K.; Adachi, S.; Chujo, Y. Tuning of Properties of POSS-Condensed Water-Soluble Network Polymers by Modulating the Cross-Linking Ratio between POSS. Macromolecules 2009, 42, 3489–3492. [Google Scholar] [CrossRef]
- Jang, M.; Yoon, C.; Park, J.; Kwon, O. Evaluation of Hazardous Chemicals with Material Safety Data Sheet and By-products of a Photoresist Used in the Semiconductor-Manufacturing Industry. Saf. Health Work 2019, 10, 114–121. [Google Scholar] [CrossRef] [PubMed]
- Horibe, H.; Yamamoto, M.; Takamatsu, S.; Ichikawa, T. Resolution and Sensitivity of a Resist with and without Hexamethyldisilazane Determined Using Profilometry. J. Photopolym. Sci. Technol. 2006, 19, 75–80. [Google Scholar] [CrossRef]
- Wang, Z.J.; Wylie, K.; Maric, M. Synthesis of Narrow Molecular Weight Distribution Copolymers for ArF Photoresist Materials by Nitroxide Mediated Polymerization. Macromol. React. Eng. 2017, 11, 1600029. [Google Scholar] [CrossRef]
- Henderson, C.; Wheeler, D.; Pollagi, T.; Cardinale, G.; O’Connell, D.; Fisher, A.; Rao, V.; Goldsmith, J. Top Surface Imaging for Extreme Ultraviolet Lithography. J. Photopolym. Sci. Technol. 1998, 11, 459–464. [Google Scholar] [CrossRef]
- Fan, D.; Ekinci, Y. Photolithography reaches 6 nm half-pitch using extreme ultraviolet light. J. Micro-Nanolith. MEMS MOEMS 2016, 15, 033505. [Google Scholar] [CrossRef]
- Ogawa, T.; Yamaguchi, A.; Yamanashi, H.; Ito, M.; Tachibana, H.; Matsumoto, M.; Sekitani, T.; Tanaka, K. Photon-Stimulated Ion Desorption Measurement of Organosilicon Resist Reactions in Extreme Ultraviolet Lithography. Jpn. J. Appl. Phys. 1996, 35, 6487–6490. [Google Scholar] [CrossRef]
- Choi, J.H.; Kang, P.H.; Nho, Y.C.; Hong, S.K. POSS-Containing Nanocomposite Materials for Next Generation Nanolithography. Solid. State Phenom. 2007, 119, 299–302. [Google Scholar] [CrossRef]
- Tallents, G.; Wagenaars, E.; Pert, G. Lithography at EUV wavelengths. Nat. Photonics 2010, 4, 809–811. [Google Scholar] [CrossRef]
- Desai, V.; Mellish, M.; Bennett, S.; Cady, N.C. Process development for high resolution hydrogen silsesquioxane patterning using a commercial scanner for extreme ultraviolet lithography. J. Vac. Sci. Technol. B 2017, 35, 021603. [Google Scholar] [CrossRef]
- Ober, C.K.; Käfer, F.; Yuan, C. Recent developments in photoresists for extreme-ultraviolet lithography. Polymer 2023, 280, 126020. [Google Scholar] [CrossRef]
- Sysova, O.; Durin, P.; Gablin, C.; Léonard, D.; Téolis, A.; Trombotto, S.; Delair, T.; Berling, D.; Servin, I.; Tiron, R.; et al. Green deep-UV photoresist based on chitosan for microelectronics. J. Appl. Polym. Sci. 2023, 140, e54244. [Google Scholar] [CrossRef]
- Yamada, S.; Mrozek, T.; Rager, T.; Owens, J.; Rangel, J.; Willson, C.G.; Byers, J. Toward Environmentally Friendly Photolithographic Materials: A New Class of Water-Soluble Photoresists. Macromolecules 2003, 37, 377–384. [Google Scholar] [CrossRef]
- Kwark, Y.-J.; Bravo-Vasquez, J.P.; Cao, H.B.; Deng, H.; Ober, C.K. Silicon Containing Organic-Inorganic Hybrid Materials as EUV Photoresists. J. Photopolym. Sci. Technol. 2005, 18, 481–487. [Google Scholar] [CrossRef]
- Kowalewska, A. Self-Assembling Polyhedral Silsesquioxanes—Structure and Properties. Curr. Org. Chem. 2017, 21, 1243–1264. [Google Scholar] [CrossRef]
- Nakatani, R.; Takano, H.; Chandra, A.; Yoshimura, Y.; Wang, L.; Suzuki, Y.; Tanaka, Y.; Maeda, R.; Kihara, N.; Minegishi, S.; et al. Perpendicular Orientation Control without Interfacial Treatment of RAFT-Synthesized High-χ Block Copolymer Thin Films with Sub-10 nm Features Prepared via Thermal Annealing. ACS Appl. Mater. Interfaces 2017, 9, 31266–31278. [Google Scholar] [CrossRef] [PubMed]
- Borah, D.; Rasappa, S.; Salaun, M.; Zellsman, M.; Lorret, O.; Liontos, G.; Ntetsikas, K.; Avgeropoulos, A.; Morris, M.A. Soft Graphoepitaxy for Large Area Directed Self-Assembly of Polystyrene-block-Poly(dimethylsiloxane) Block Copolymer on Nanopatterned POSS Substrates Fabricated by Nanoimprint Lithography. Adv. Funct. Mater. 2015, 25, 3425–3432. [Google Scholar] [CrossRef]
- Borah, D.; Simao, C.D.; Senthamaraikannan, R.; Rasappa, S.; Francone, A.; Lorret, O.; Salaun, M.; Kosmala, B.; Kehagias, N.; Zelsmann, M.; et al. Soft-graphoepitaxy using nanoimprinted polyhedral oligomeric silsesquioxane substrates for the directed self-assembly of PS-b-PDMS. Eur. Polym. J. 2013, 49, 3512–3521. [Google Scholar] [CrossRef]
- Schmid, G.M.; Stewart, M.D.; Wetzel, J.; Palmieri, F.; Hao, J.; Nishimura, Y.; Jen, K.; Kim, E.K.; Resnick, D.J.; Liddle, J.A.; et al. Implementation of an imprint damascene process for interconnect fabrication. J. Vac. Sci. Technol. B 2006, 24, 1283–1291. [Google Scholar] [CrossRef]
- Li, J.; Yang, S. Fabrication of high-aspect-ratio (up to 10) one-dimensional organic/inorganic hybrid nanogratings via holographic lithography. Microelectron. Eng. 2014, 128, 7–11. [Google Scholar] [CrossRef]
























| POSS (wt.%) | MMA/TBA (wt.%/wt.%) | ||||
|---|---|---|---|---|---|
| 66.6/33.3 | 62/36 | 60.6/30.3 | 58.8/29.4 | 57.1/28.6 | |
| 0 | ![]() POSS0 | ![]() | ![]() | ![]() | ![]() |
| 2 | POSS1 | ||||
| 9.1 | POSS2 | ||||
| 9.6 | POSS8 | ||||
| 11.8 | ![]() | POSS5 | POSS3 | ||
| 14.3 | ![]() | POSS6 | POSS4 | ||
| 16.7 | ![]() | POSS7![]() | |||
| POSS (wt.%) | 89.5/0.9 | 88.2/0 | 85.7/0 | 83.3/0 | |
| MMA/TBA (wt.%/wt.%) | |||||
| Some Limiting Factors for the POSS-Based Photoresist Resin | |||
|---|---|---|---|
| Lithography System | POSS-Based Photoresists | Limitations | References |
| EBL | HSQ (T-type-POSS) | the chemical stability; the process of storage; the green issue of sustainability | [13,48,58] |
| X-ray | PMMA-POSS; POSS/MMA | thermal effects and signal integrity | [47,59,61,67,68] |
| UV-NIL | HSQ; epoxy-functionalized POSS;SH-POSS; PMMA-POSS; diazenone-POSS | economic challenges; “residual layer” and pattern collapse stemming from mold removal | [46,77,79,81,87,88] |
| DUV | CDEOPE-POSS | PAG diffusion | [91] |
| EUV | MaIBPOSS; HSQ | certain limitations inherent to EUV photoresist resins | [7,101,102,103] |
| DSA | PMAPOSS-b-PTFEMA; POSS-A; POSS-G | the application of POSS-based photoresist resins in DSA lithography research remains relatively nascent | [109,110] |
Disclaimer/Publisher’s Note: The statements, opinions and data contained in all publications are solely those of the individual author(s) and contributor(s) and not of MDPI and/or the editor(s). MDPI and/or the editor(s) disclaim responsibility for any injury to people or property resulting from any ideas, methods, instructions or products referred to in the content. |
© 2024 by the authors. Licensee MDPI, Basel, Switzerland. This article is an open access article distributed under the terms and conditions of the Creative Commons Attribution (CC BY) license (https://creativecommons.org/licenses/by/4.0/).
Share and Cite
Wen, Z.; Liu, X.; Chen, W.; Zhou, R.; Wu, H.; Xia, Y.; Wu, L. Progress in Polyhedral Oligomeric Silsesquioxane (POSS) Photoresists: A Comprehensive Review across Lithographic Systems. Polymers 2024, 16, 846. https://doi.org/10.3390/polym16060846
Wen Z, Liu X, Chen W, Zhou R, Wu H, Xia Y, Wu L. Progress in Polyhedral Oligomeric Silsesquioxane (POSS) Photoresists: A Comprehensive Review across Lithographic Systems. Polymers. 2024; 16(6):846. https://doi.org/10.3390/polym16060846
Chicago/Turabian StyleWen, Zaoxia, Xingyu Liu, Wenxiu Chen, Ruolin Zhou, Hao Wu, Yongmei Xia, and Lianbin Wu. 2024. "Progress in Polyhedral Oligomeric Silsesquioxane (POSS) Photoresists: A Comprehensive Review across Lithographic Systems" Polymers 16, no. 6: 846. https://doi.org/10.3390/polym16060846
APA StyleWen, Z., Liu, X., Chen, W., Zhou, R., Wu, H., Xia, Y., & Wu, L. (2024). Progress in Polyhedral Oligomeric Silsesquioxane (POSS) Photoresists: A Comprehensive Review across Lithographic Systems. Polymers, 16(6), 846. https://doi.org/10.3390/polym16060846










