Mechanistic Insights of Ethylene Polymerization on Phillips Chromium Catalysts
Abstract
1. Introduction
2. Preparation of Chromium-Impregnated Supports
2.1. Type and Chemical Characteristics of the Support—The Preference for Silica
2.2. Porosity of the Support
2.3. Chromium Source
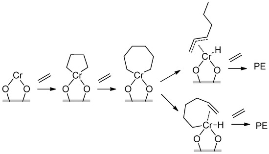
3. Thermooxidative Treatment of Cr-Impregnated Supports
3.1. Experimental Observations
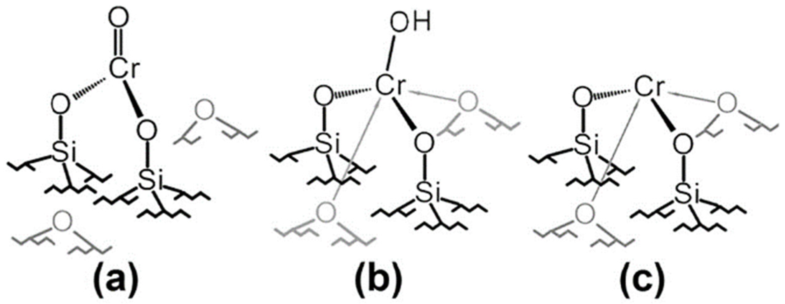
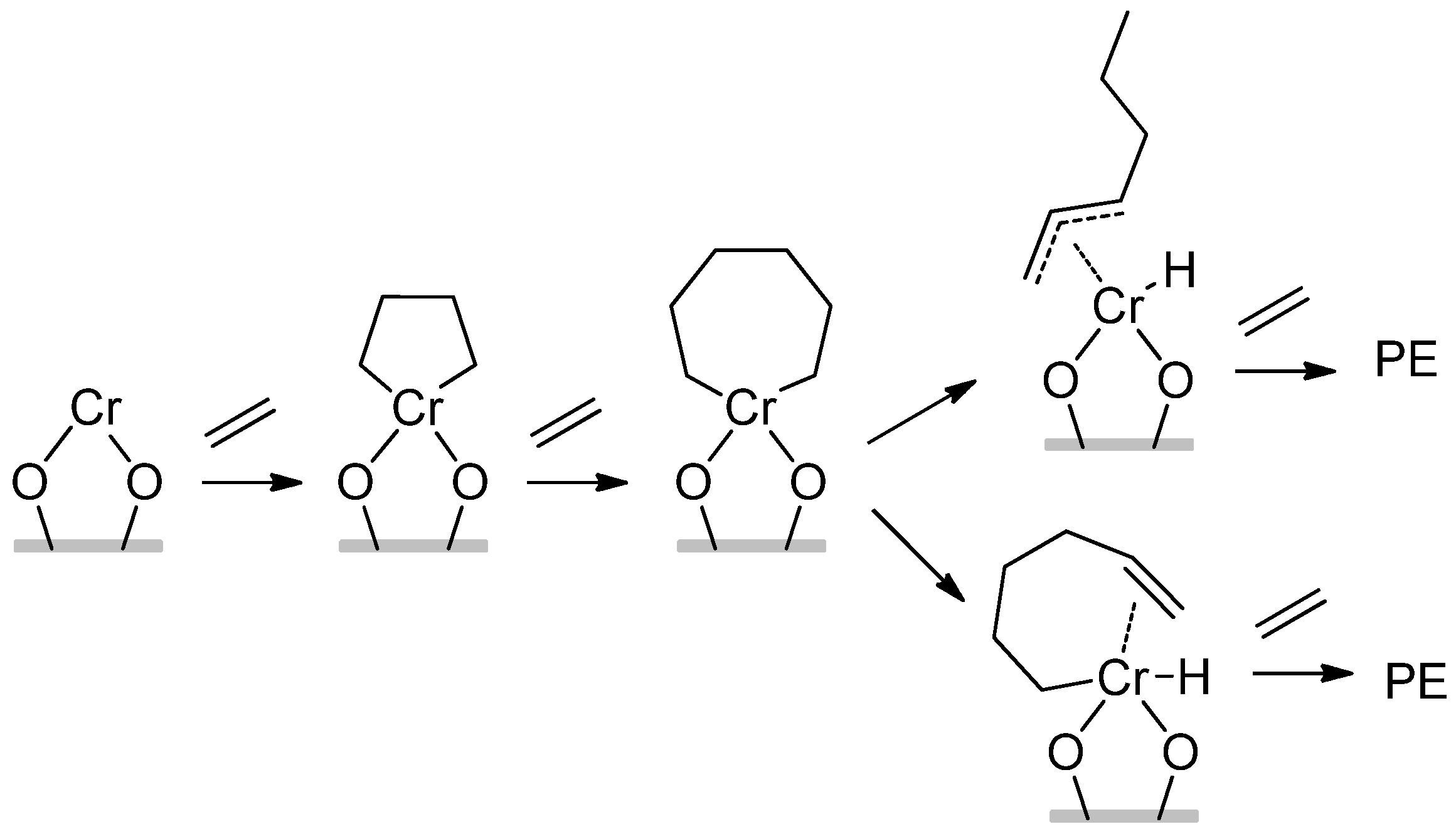
3.2. Theoretical Studies
4. Reduction and Activation of the Cr(VI)/SiO2
4.1. Reduction by CO
4.2. Reduction and Activation by Ethylene
4.3. Reduction and Activation by the Olefins Distinct from Ethylene
4.4. Reduction and Activation by Nonolefinic Hydrocarbons
4.5. Organoaluminum Activators
5. Activation of the Cr(II)/SiO2
5.1. Activation by Ethylene
5.2. The Recent Comparative Results of the Spectroscopic Studies of the CrOx/SiO2 Activation
5.3. Reaction with N2O
5.4. Reaction with Silanes
5.5. Reaction with Organioaluminum Compounds
5.6. The Search for an Alternative Catalytic Species
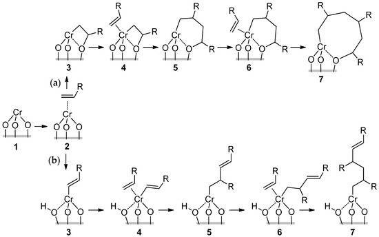
6. Ethylene Polymerization and Copolymerization on PCC
6.1. Mechanisms of Chain Propagation
6.2. Effect of Titania and Other Metal Oxides
6.3. Alkylaluminum-Activated Catalysts
6.4. Copolymerization and Comonomer Effect
6.5. Fluorine Effect
7. Alternatives to Cr/SiO2 and Further Development of PCCs
7.1. Alternative Supports
7.2. Hybrid Catalysts
8. Conclusions
- Might strained SiOSi fragments be involved to the formation of immobilized chromium catalysts when using aprotic solvents and an appropriate chromium source?
 - Is it possible to introduce the activating elements (Al, Ti, F) via the impregnation of the Cr complexes that include these elements in their composition?
 - Is the use of polynuclear Cr complexes prospective for the preparation of next-generation PCCs?
 - Since ethylene-reduced PCCs contain methyl formate, is it possible to fine-tune the catalyst by introducing other donors?
 
Author Contributions
Funding
Institutional Review Board Statement
Data Availability Statement
Conflicts of Interest
References
- Jubinville, D.; Esmizadeh, E.; Saikrishnan, S.; Tzoganakis, C.; Mekonnen, T. A comprehensive review of global production and recycling methods of polyolefin (PO) based products and their post-recycling applications. Sust. Mater. Technol. 2020, 25, e00188. [Google Scholar] [CrossRef]
 - Geyer, R.; Jambeck, J.R.; Law, K.L. Production, use, and fate of all plastics ever made. Sci. Adv. 2017, 3, e1700782. [Google Scholar] [CrossRef] [PubMed]
 - McDaniel, M.P. A Review of the Phillips Chromium Catalyst for Ethylene Polymerization. In Handbook of Transition Metal Polymerization Catalysts, 2nd ed.; Hoff, R., Ed.; Wiley: Hoboken, NJ, USA, 2016; pp. 401–571. [Google Scholar] [CrossRef]
 - Liu, Z.; He, X.; Cheng, R.; Eisen, M.S.; Terano, M.; Scott, S.L.; Liu, B. Chapter Three—Chromium Catalysts for Ethylene Polymerization and Oligomerization. In Advances in Chemical Engineering; Marin, G.B., Ed.; Academic Press: Cambridge, MA, USA, 2014; pp. 127–191. [Google Scholar] [CrossRef]
 - Groppo, E.; Lamberti, C.; Bordiga, S.; Spoto, G.; Zecchina, A. The Structure of Active Centers and the Ethylene Polymerization Mechanism on the Cr/SiO2 Catalyst: A Frontier for the Characterization Methods. Chem. Rev. 2005, 105, 115–184. [Google Scholar] [CrossRef]
 - Zecchina, A.; Groppo, E.; Damin, A.; Prestipino, C. Anatomy of Catalytic Centers in Phillips Ethylene Polymerization Catalyst. In Surface and Interfacial Organometallic Chemistry and Catalysis; Copéret, C., Chaudret, B., Eds.; Topics in Organometallic Chemistry; Springer: Berlin/Heidelberg, Germany, 2005; Volume 16, pp. 1–35. [Google Scholar] [CrossRef]
 - McDaniel, M.P. Chapter 3—A Review of the Phillips Supported Chromium Catalyst and Its Commercial Use for Ethylene Polymerization. Adv. Catal. 2010, 53, 123–606. [Google Scholar] [CrossRef]
 - Cheng, R.; Liu, Z.; Zhong, L.; He, X.; Qiu, P.; Terano, M.; Eisen, M.S.; Scott, S.L.; Liu, B. Phillips Cr/Silica Catalyst for Ethylene Polymerization. In Polyolefins: 50 Years after Ziegler and Natta I; Kaminsky, W., Ed.; Advances in Polymer Science; Springer: Berlin/Heidelberg, Germany, 2016; Volume 257, pp. 135–202. [Google Scholar] [CrossRef]
 - Groppo, E.; Martino, G.A.; Piovano, A.; Barzan, C. The Active Sites in the Phillips Catalysts: Origins of a Lively Debate and a Vision for the Future. ACS Catal. 2018, 8, 10846–10863. [Google Scholar] [CrossRef]
 - Liu, Z.; Liu, B. Computational Studies of Chromium/Silica Catalysts. In Handbook of Transition Metal Polymerization Catalysts, 2nd ed.; Hoff, R., Ed.; Wiley: Hoboken, NJ, USA, 2018; pp. 131–160. [Google Scholar] [CrossRef]
 - Chakrabarti, A.; Wachs, I.E. The Nature of Surface CrOx Sites on SiO2 in Different Environments. Catal. Lett. 2015, 145, 985–994. [Google Scholar] [CrossRef]
 - Guda, A.A.; Guda, S.A.; Lomachenko, K.A.; Soldatov, M.A.; Pankin, I.A.; Soldatov, A.V.; Braglia, L.; Bugaev, A.L.; Martini, A.; Signorile, M.; et al. Quantitative structural determination of active sites from in situ and operando XANES spectra: From standard ab initio simulations to chemometric and machine learning approaches. Catal. Today 2019, 336, 3–21. [Google Scholar] [CrossRef]
 - Piovano, A.; Groppo, E. Flexible ligands in heterogeneous catalysts for olefin polymerization: Insights from spectroscopy. Coord. Chem. Rev. 2022, 451, 214258. [Google Scholar] [CrossRef]
 - Piovano, A.; Groppo, E. Operando spectroscopies and heterogeneous olefin polymerization catalysis: A rare marriage with a lot of potential beyond usual understanding. Catal. Today 2024, 429, 114494. [Google Scholar] [CrossRef]
 - Jayaratn, K.C.; Cymbaluk, T.H.; Jensen, M.D. A Career in Catalysis: Max McDaniel. ACS Catal. 2018, 8, 602–614. [Google Scholar] [CrossRef]
 - Yang, Q.; McDaniel, M.P. Comparison of Support Effects on Phillips and Metallocene Catalysts. Catalysts 2021, 11, 842. [Google Scholar] [CrossRef]
 - Huang, C.; Liu, Z.; Liu, B.; Terano, M.; Jin, Y. Computational Insights into the Multisite Nature of the Phillips CrOx/SiO2 Catalyst for Ethylene Polymerization: The Perspective of Chromasiloxane Ring Size and F Modification. ACS Catal. 2022, 12, 3589–3603. [Google Scholar] [CrossRef]
 - Sun, Q.; Cheng, R.; Liu, Z.; He, X.; Zhao, N.; Liu, B. Effect of Fluoride-Modification on the Phillips Cr/SiO2 Catalyst for Ethylene Polymerization. ChemCatChem 2017, 9, 3364–3373. [Google Scholar] [CrossRef]
 - Tielens, F.; Gierada, M.; Handzlik, J.; Calatayud, M. Characterization of amorphous silica based catalysts using DFT computational methods. Catal. Today 2020, 354, 3–18. [Google Scholar] [CrossRef]
 - Zhao, X.; Ong, S.; Wang, H.; Eisenthal, K.B. New method for determination of surface pKa using second harmonic generation. Chem. Phys. Lett. 1993, 214, 203–207. [Google Scholar] [CrossRef]
 - Pfeiffer-Laplaud, M.; Costa, D.; Tielens, F.; Gaigeot, M.-P.; Sulpizi, M. Bimodal Acidity at the Amorphous Silica/Water Interface. J. Phys. Chem. C 2015, 119, 27354–27362. [Google Scholar] [CrossRef]
 - Gierada, M.; De Proft, F.; Sulpizi, M.; Tielens, F. Understanding the Acidic Properties of the Amorphous Hydroxylated Silica Surface. J. Phys. Chem. C 2019, 123, 17343–17352. [Google Scholar] [CrossRef]
 - Kim, H.N.; Lee, S.K. Atomic structure and dehydration mechanism of amorphous silica: Insights from 29Si and 1H solid-state MAS NMR study of SiO2 nanoparticles. Geochim. Cosmochim. Acta 2013, 120, 39–64. [Google Scholar] [CrossRef]
 - Rascón, F.; Wischert, R.; Copéret, C. Molecular nature of support effects in single-site heterogeneous catalysts: Silica vs.alumina. Chem. Sci. 2011, 2, 1449–1456. [Google Scholar] [CrossRef]
 - Ewing, C.S.; Bhavsar, S.; Veser, G.; McCarthy, J.J.; Johnson, J.K. Accurate Amorphous Silica Surface Models from First-Principles Thermodynamics of Surface Dehydroxylation. Langmuir 2014, 30, 5133–5141. [Google Scholar] [CrossRef] [PubMed]
 - Comas-Vives, A. Amorphous SiO2 surface models: Energetics of the dehydroxylation process, strain, ab initio atomistic thermodynamics and IR spectroscopic signatures. Phys. Chem. Chem. Phys. 2016, 18, 7475–7482. [Google Scholar] [CrossRef] [PubMed]
 - Ugliengo, P.; Sodupe, M.; Musso, F.; Bush, I.J.; Orlando, R.; Dovesi, R. Realistic Models of Hydroxylated Amorphous Silica Surfaces and MCM-41 Mesoporous Material Simulated by Large-scale Periodic B3LYP Calculations. Adv. Mater. 2008, 20, 4579–4583. [Google Scholar] [CrossRef]
 - Vaccaro, G.; Agnello, S.; Buscarino, G.; Gelardi, F.M. Thermally Induced Structural Modification of Silica Nanoparticles Investigated by Raman and Infrared Absorption Spectroscopies. J. Phys. Chem. C 2010, 114, 13991–13997. [Google Scholar] [CrossRef]
 - Cheng, Z.; Shan, H.; Sun, Y.; Zhang, L.; Jiang, H.; Li, C. Evolution mechanism of surface hydroxyl groups of silica during heat treatment. Appl. Surface Sci. 2020, 513, 145766. [Google Scholar] [CrossRef]
 - McDaniel, M.P. Influence of Catalyst Porosity on Ethylene Polymerization. ACS Catal. 2011, 1, 1394–1407. [Google Scholar] [CrossRef]
 - McDaniel, M.P.; Kelly, S.L. Reinforcement of Cr/silica catalysts by secondary deposition of silicate oligomers. Appl. Catal. A Gen. 2018, 554, 88–94. [Google Scholar] [CrossRef]
 - ASTM D1238-10; Standard Test Method for Melt Flow Rates of Thermoplastics by Extrusion Plastometer. ASTM International: West Conshohocken, PA, USA, 2013.
 - Tonosaki, K.; Taniike, T.; Terano, M. Comprehensive Investigation of Catalyst Structure and Polymerization Conditions for Chain Branching in Ethylene Polymerization with Phillips-Type Catalysts. Macromol. React. Eng. 2011, 5, 332–339. [Google Scholar] [CrossRef]
 - Jeon, S.Y.; Park, D.S.; Lee, D.H.; Eo, S.C.; Park, S.Y.; Jeong, M.S.; Kang, Y.Y.; Lee, J.; Lee, B.Y. A chromium precursor for the Phillips ethylene trimerization catalyst: (2-ethylhexanoate)2CrOH. Dalton Trans. 2015, 44, 11004–11012. [Google Scholar] [CrossRef]
 - McDaniel, M.P.; Collins, K.S.; Benham, E.A. Activation of Phillips Cr/silica catalysts: IV. Mobility of Cr(VI). J. Catal. 2007, 252, 281–295. [Google Scholar] [CrossRef]
 - McDaniel, M. Manipulating polymerization chemistry of Cr/silica catalysts through calcination. Appl. Catal. A Gen. 2017, 542, 392–410. [Google Scholar] [CrossRef]
 - Panchenko, V.N.; Zakharov, V.A.; Paukshtis, E.A. DRIFTS and DRS studies of Phillips ethylene polymerization catalysts. Appl. Catal. A Gen. 2006, 313, 130–136. [Google Scholar] [CrossRef]
 - van Kimmenade, E.M.E.; Kuiper, A.E.T.; Tamminga, Y.; Thüne, P.C.; Niemantsverdriet, J.W. A surface science model for the Phillips ethylene polymerization catalyst: Thermal activation and polymerization activity. J. Catal. 2004, 223, 134–141. [Google Scholar] [CrossRef]
 - Handzlik, J.; Grybos, R.; Tielens, F. Structure of Monomeric Chromium(VI) Oxide Species Supported on Silica: Periodic and Cluster DFT Studies. J. Phys. Chem. C 2013, 117, 8138–8149. [Google Scholar] [CrossRef]
 - Chakrabarti, A.; Gierada, M.; Handzlik, J.; Wachs, I.E. Operando Molecular Spectroscopy During Ethylene Polymerization by Supported CrOx/SiO2 Catalysts: Active Sites, Reaction Intermediates, and Structure-Activity Relationship. Top. Catal. 2016, 59, 725–739. [Google Scholar] [CrossRef]
 - Gierada, M.; Handzlik, J. Computational insights into reduction of the Phillips CrOx/SiO2 catalyst by ethylene and CO. J. Catal. 2018, 359, 261–271. [Google Scholar] [CrossRef]
 - Peek, N.M.; Jeffcoat, D.B.; Moisii, C.; van de Burgt, L.; Profeta, S., Jr.; Scott, S.L.; Stiegman, A.E. Reassessment of the Electronic Structure of Cr(VI) Sites Supported on Amorphous Silica and Implications for Cr Coordination Number. J. Phys. Chem. C 2018, 122, 4349–4358. [Google Scholar] [CrossRef]
 - Handzlik, J.; Grybos, R.; Tielens, F. Isolated Chromium(VI) Oxide Species Supported on Al-Modified Silica: A Molecular Description. J. Phys. Chem. C 2016, 120, 17594–17603. [Google Scholar] [CrossRef]
 - Cheng, R.; Liu, X.; Fang, Y.; Terano, M.; Liu, B. High-resolution 29Si CP/MAS solid state NMR spectroscopy and DFT investigation on the role of geminal and single silanols in grafting chromium species over Phillips Cr/silica catalyst. Appl. Catal. A Gen. 2017, 543, 26–33. [Google Scholar] [CrossRef]
 - Zeng, Y.; Liu, S.; Terano, M. Silsesquioxane-Supported Chromium Catalyst for Insight into Phillips-Type Ethylene Polymerization. Macromol. React. Eng. 2018, 12, 1800049. [Google Scholar] [CrossRef]
 - Vandervelden, C.; Jystad, A.; Peters, B.; Caricato, M. Predicted Properties of Active Catalyst Sites on Amorphous Silica: Impact of Silica Preoptimization Protocol. Ind. Eng. Chem. Res. 2021, 60, 12834–12846. [Google Scholar] [CrossRef]
 - Brown, C.; Krzystek, J.; Achey, R.; Lita, A.; Fu, R.; Meulenberg, R.W.; Polinski, M.; Peek, N.; Wang, Y.; van de Burgt, L.J.; et al. Mechanism of Initiation in the Phillips Ethylene Polymerization Catalyst: Redox Processes Leading to the Active Site. ACS Catal. 2015, 5, 5574–5583. [Google Scholar] [CrossRef]
 - Zhong, L.; Lee, M.-Y.; Liu, Z.; Wanglee, Y.-J.; Liu, B.; Scott, S.L. Spectroscopic and structural characterization of Cr(II)/SiO2 active site precursors in model Phillips polymerization catalysts. J. Catal. 2012, 293, 1–12. [Google Scholar] [CrossRef]
 - Budnyk, A.; Damin, A.; Groppo, E.; Zecchina, A.; Bordiga, S. Effect of surface hydroxylation on the catalytic activity of a Cr(II)/SiO2 model system of Phillips catalyst. J. Catal. 2015, 324, 79–87. [Google Scholar] [CrossRef]
 - Gierada, M.; Michorczyk, P.; Tielens, F.; Handzlik, J. Reduction of chromia–silica catalysts: A molecular picture. J. Catal. 2016, 340, 122–135. [Google Scholar] [CrossRef]
 - Mino, L.; Barzan, C.; Martino, G.A.; Piovano, A.; Spoto, G.; Zecchina, A.; Groppo, E. Photoinduced Ethylene Polymerization on the CrVI/SiO2 Phillips Catalyst. J. Phys. Chem. C 2019, 123, 8145–8152. [Google Scholar] [CrossRef]
 - Groppo, E.; Lamberti, C.; Spoto, G.; Bordiga, S.; Magnacca, G.; Zecchina, A. Tuning the structure, distribution and reactivity of polymerization centres of Cr(II)/SiO2 Phillips catalyst by controlled annealing. J. Catal. 2005, 236, 233–244. [Google Scholar] [CrossRef]
 - Zhong, L.; Liu, Z.; Cheng, R.; Tang, S.; Qiu, P.; He, X.; Terano, M.; Liu, B. Active Site Transformation During the Induction Period of Ethylene Polymerization over the Phillips CrOx/SiO2 Catalyst. ChemCatChem 2012, 4, 872–881. [Google Scholar] [CrossRef]
 - Barzan, C.; Braglia, A.P.L.; Martino, G.A.; Lamberti, C.; Bordiga, S.; Groppo, E. Ligands Make the Difference! Molecular Insights into CrVI/SiO2 Phillips Catalyst during Ethylene Polymerization. J. Am. Chem. Soc. 2017, 139, 17064–17073. [Google Scholar] [CrossRef]
 - Morra, E.; Martino, G.A.; Piovano, A.; Barzan, C.; Groppo, E.; Chiesa, M. In Situ X- and Q-Band EPR Investigation of Ethylene Polymerization on Cr/SiO Phillips Catalyst. J. Phys. Chem. C 2018, 122, 21531–21536. [Google Scholar] [CrossRef]
 - Potter, K.C.; Beckerle, C.W.; Jentoft, F.C.; Schwerdtfeger, E.; McDaniel, M.P. Reduction of the Phillips catalyst by various olefins: Stoichiometry, thermochemistry, reaction products and polymerization activity. J. Catal. 2016, 344, 657–668. [Google Scholar] [CrossRef]
 - Baker, L.M.; Carrick, W.L. Oxidation of olefins by supported chromium oxide. J. Org. Chem. 1968, 33, 616–618. [Google Scholar] [CrossRef]
 - Barzan, C.; Damin, A.A.; Budnyk, A.; Zecchina, A.; Bordiga, S.; Groppo, E. Pre-reduction of the Phillips CrVI/SiO2 catalyst by cyclohexene: A model for the induction period of ethylene polymerization. J. Catal. 2016, 337, 45–51. [Google Scholar] [CrossRef]
 - Schwerdtfeger, E.; Buck, R.; McDaniel, M. Reduction of Cr(VI) polymerization catalysts by non-olefinic hydrocarbons. Appl. Catal. A Gen. 2012, 423–424, 91–99. [Google Scholar] [CrossRef]
 - Cruz, C.A.; Monwar, M.M.; McDaniel, M.P.; Barr, J.L.; Clear, K.S.; Ellis, W.C. Chromium-Catalyzed Production of Alcohols from Hydrocarbons. U.S. Patent US11180435 (B2), 23 November 2021. [Google Scholar]
 - McDaniel, M.P.; Cruz, C.A.; Monwar, M.M.; Barr, J.L.; Ellis, W.C. Chromium-Catalyzed Production of Alcohols from Hydrocarbons. U.S. Patent US11440864 (B2), 13 September 2022. [Google Scholar]
 - Monwar, M.; Cruz, C.; Barr, J.; McDaniel, M. Ethylene polymerization by hydrocarbon-reduced Cr/silica catalyst. J. Catal. 2021, 394, 451–464. [Google Scholar] [CrossRef]
 - Barzan, C.; Piovano, A.; Botavina, M.; Martino, G.A.; Agostini, G.; Martra, G.; Groppo, E. Exploring the benefits beyond the pre-reduction in methane of the Cr/SiO2 Phillips catalyst: The molecular structure of the Cr sites and their role in the catalytic performance. J. Catal. 2019, 373, 173–179. [Google Scholar] [CrossRef]
 - Zeng, Y.; Chammingkwan, P.; Baba, R.; Taniike, T.; Terano, M. Activation and Deactivation of Phillips Catalyst for Ethylene Polymerization Using Various Activators. Macromol. React. Eng. 2017, 11, 1600046. [Google Scholar] [CrossRef]
 - Martino, G.A.; Piovano, A.; Barzan, C.; Rabeah, J.; Agostini, G.; Bruekner, A.; Leone, G.; Zanchin, G.; Monoi, T.; Groppo, E. Rationalizing the Effect of Triethylaluminum on the Cr/SiO2 Phillips Catalysts. ACS Catal. 2020, 10, 2694–2706. [Google Scholar] [CrossRef]
 - Cruz, C.A.; Monwar, M.M.; Barr, J.; McDaniel, M.P. Identification of the Starting Group on the First PE Chain Produced by the Phillips Catalyst. Macromolecules 2019, 52, 5750–5760. [Google Scholar] [CrossRef]
 - Jongkind, M.K.; van Kessel, T.; Velthoen, M.E.Z.; Friederichs, N.; Weckhuysen, B.M. Tuning the Redox Chemistry of a Cr/SiO2 Phillips Catalyst for Controlling Activity, Induction Period and Polymer Properties. ChemPhysChem 2020, 21, 1665–1674. [Google Scholar] [CrossRef]
 - Jongkind, M.K.; Meirer, F.; Bossers, K.W.; ten Have, I.C.; Ohldag, H.; Watts, B.; van Kessel, T.; Friederichs, N.; Weckhuysen, B.M. Influence of Metal-Alkyls on Early-Stage Ethylene Polymerization over a Cr/SiO2 Phillips Catalyst: A Bulk Characterization and X-ray Chemical Imaging Study. Chem. Eur. J. 2021, 27, 1688–1699. [Google Scholar] [CrossRef]
 - Ruddick, V.J.; Badyal, J.P.S. Early Stages of Ethylene Polymerization Using the Phillips CrOx/Silica Catalyst. J. Phys. Chem. B 1998, 102, 2991–2994. [Google Scholar] [CrossRef]
 - Groppo, E.; Lamberti, C.; Bordiga, S.; Spoto, G.; Zecchina, A. In situ FTIR spectroscopy of key intermediates in the first stages of ethylene polymerization on the Cr/SiO2 Phillips catalyst: Solving the puzzle of the initiation mechanism? J. Catal. 2006, 240, 172–181. [Google Scholar] [CrossRef]
 - Fong, A.; Yuan, Y.; Ivry, S.L.; Scott, S.L.; Peters, B. Computational Kinetic Discrimination of Ethylene Polymerization Mechanisms for the Phillips (Cr/SiO2) Catalyst. ACS Catal. 2015, 5, 3360–3374. [Google Scholar] [CrossRef]
 - Fong, A.; Peters, B.; Scott, S.L. One-Electron-Redox Activation of the Reduced Phillips Polymerization Catalyst, via Alkylchromium(IV) Homolysis: A Computational Assessment. ACS Catal. 2016, 6, 6073–6085. [Google Scholar] [CrossRef]
 - Kissin, Y.V.; Brandolini, A.J. Chemistry of olefin polymerization reactions with chromium-based catalysts. J. Polym. Sci. A Polym. Chem. 2008, 46, 5330–5347. [Google Scholar] [CrossRef]
 - Brown, C.; Lita, A.; Tao, Y.; Peek, N.; Crosswhite, M.; Mileham, M.; Krzystek, J.; Achey, R.; Fu, R.; Bindra, J.K.; et al. Mechanism of Initiation in the Phillips Ethylene Polymerization Catalyst: Ethylene Activation by Cr(II) and the Structure of the Resulting Active Site. ACS Catal. 2017, 7, 7442–7455. [Google Scholar] [CrossRef]
 - Fong, A.; Vandervelden, C.; Scott, S.L.; Peters, B. Computational Support for Phillips Catalyst Initiation via Cr–C Bond Homolysis in a Chromacyclopentane Site. ACS Catal. 2018, 8, 1728–1733. [Google Scholar] [CrossRef]
 - Gierada, M.; Handzlik, J. Active sites formation and their transformations during ethylene polymerization by the Phillips CrOx/SiO2 catalyst. J. Catal. 2017, 352, 314–328. [Google Scholar] [CrossRef]
 - Delley, M.F.; Núñez-Zarur, F.; Conley, M.P.; Comas-Vives, A.; Siddiqi, G.; Norsic, S.; Monteil, V.; Safonova, O.V.; Copéret, C. Proton transfers are key elementary steps in ethylene polymerization on isolated chromium(III) silicates. Proc. Natl. Acad. Sci. USA 2014, 111, 11624–11629. [Google Scholar] [CrossRef] [PubMed]
 - Conley, M.P.; Delley, M.F.; Núñez-Zarur, F.; Comas-Vives, A.; Copéret, C. Heterolytic Activation of C–H Bonds on CrIII–O Surface Sites Is a Key Step in Catalytic Polymerization of Ethylene and Dehydrogenation of Propane. Inorg. Chem. 2015, 54, 5065–5078. [Google Scholar] [CrossRef]
 - Floryan, L.; Borosy, A.P.; Núñez-Zarur, F.; Comas-Vives, A.; Copéret, C. Strain effect and dual initiation pathway in CrIII/SiO2 polymerization catalysts from amorphous periodic models. J. Catal. 2017, 346, 50–56. [Google Scholar] [CrossRef]
 - Delley, M.F.; Praveen, C.S.; Borosy, A.P.; Núñez-Zarur, F.; Comas-Vives, A.; Copéret, C. Olefin polymerization on Cr(III)/SiO2: Mechanistic insights from the differences in reactivity between ethene and propene. J. Catal. 2017, 354, 223–230. [Google Scholar] [CrossRef]
 - Núñez-Zarur, F.; Comas-Vives, A. Understanding the Olefin Polymerization Initiation Mechanism by Cr(III)/SiO2 Using the Activation Strain Model. J. Phys. Chem. C 2022, 126, 296–308. [Google Scholar] [CrossRef]
 - Groppo, E.; Prestipino, C.; Cesano, F.; Bonino, F.; Bordiga, S.; Lamberti, C.; Thüne, P.C.; Niemantsverdriet, J.W.; Zecchina, A. In situ, Cr K-edge XAS study on the Phillips catalyst: Activation and ethylene polymerization. J. Catal. 2005, 230, 98–108. [Google Scholar] [CrossRef]
 - Trummer, D.; Searles, K.; Algasov, A.; Guda, S.A.; Soldatov, A.V.; Ramanantoanina, H.; Safonova, O.V.; Guda, A.A.; Copéret, C. Deciphering the Phillips Catalyst by Orbital Analysis and Supervised Machine Learning from Cr Pre-edge XANES of Molecular Libraries. J. Am. Chem. Soc. 2021, 143, 7326–7341. [Google Scholar] [CrossRef] [PubMed]
 - Kakiuchi, Y.; Shapovalova, S.; Protsenko, B.; Guda, S.; Safonova, O.V.; Guda, A.; Copéret, C. Influence of Strong π-Acceptor Ligands on Cr-K-edge X-Ray Absorption Spectral Signatures and Consequences on Interpretation of Surface Sites in the Phillips Catalyst. ChemRxiv 2023. [Google Scholar] [CrossRef]
 - Groppo, E.; Damin, A.; Arean, C.O.; Zecchina, A. Enhancing the Initial Rate of Polymerisation of the Reduced Phillips Catalyst by One Order of Magnitude. Chem. Eur. J. 2011, 17, 11110–11114. [Google Scholar] [CrossRef]
 - Barzan, C.; Groppo, E.; Quadrelli, E.A.; Monteil, V.; Bordiga, S. Ethylene polymerization on a SiH4-modified Phillips catalyst: Detection of in situ produced α-olefins by operando FT-IR spectroscopy. Phys. Chem. Chem. Phys. 2012, 14, 2239–2245. [Google Scholar] [CrossRef]
 - Barzan, C.; Bordiga, S.; Quadrelli, E.A.; Groppo, E. Reactivity of Hydrosilanes with the CrII/SiO2 Phillips Catalyst: Observation of Intermediates and Properties of the Modified CrII Sites. Top. Catal. 2016, 59, 1732–1739. [Google Scholar] [CrossRef]
 - Martino, G.A.; Piovano, A.; Barzan, C.; Bordiga, S.; Groppo, E. The Effect of Al-Alkyls on the Phillips Catalyst for Ethylene Polymerization: The Case of Diethylaluminum Ethoxide (DEALE). Top. Catal. 2018, 61, 1465–1473. [Google Scholar] [CrossRef]
 - Delley, M.F.; Conley, M.P.; Copéret, C. Polymerization on CO-Reduced Phillips Catalyst initiates through the C–H bond Activation of Ethylene on Cr–O Sites. Catal. Lett. 2014, 144, 805–808. [Google Scholar] [CrossRef]
 - Theopold, K.H. Deprotonation of coordinated ethylene may start Phillips catalysis. Proc. Natl. Acad. Sci. USA 2014, 111, 11578–11579. [Google Scholar] [CrossRef] [PubMed]
 - Peters, B.; Scott, S.L.; Fong, A.; Wang, Y.; Stiegman, A.E. Reexamining the evidence for proton transfers in ethylene polymerization. Proc. Natl. Acad. Sci. USA 2015, 112, E4160–E4161. [Google Scholar] [CrossRef] [PubMed]
 - Delley, M.F.; Nuñez-Zarur, F.; Conley, M.P.; Comas-Vives, A.; Siddiqi, G.; Norsic, S.; Monteil, V.; Safonova, O.V.; Copéret, C. Reply to Peters et al.: Proton transfers are plausible initiation and termination steps on Cr(III) sites in ethylene polymerization. Proc. Natl. Acad. Sci. USA 2015, 112, E4162–E4163. [Google Scholar] [CrossRef]
 - Núñez-Zarur, F.; Comas-Vives, A. The Effect of the Electronic Nature of Spectator Ligands in the C–H Bond Activation of Ethylene by Cr(III) Silicates: An ab initio Study. Chimia 2015, 69, 225–229. [Google Scholar] [CrossRef]
 - Conley, M.P.; Delley, M.F.; Siddiqi, G.; Lapadula, G.; Norsic, S.; Monteil, V.; Safonova, O.V.; Copéret, C. Polymerization of Ethylene by Silica-Supported Dinuclear CrIII Sites through an Initiation Step Involving C–H Bond Activation. Angew. Chem. Int. Ed. 2014, 53, 1872–1876, Erratum in Angew. Chem. Int. Ed. 2015, 54, 6670. [Google Scholar] [CrossRef]
 - Martino, G.A.; Piovano, A.; Barzan, C.; Liao, Y.-K.; Morra, E.; Hirokane, K.; Chiesa, M.; Monoi, T.; Groppo, E. Cr[CH(SiMe3)2]3/SiO2 catalysts for ethene polymerization: The correlation at a molecular level between the chromium loading and the microstructure of the produced polymer. J. Catal. 2021, 324, 131–141. [Google Scholar] [CrossRef]
 - Ashuiev, A.; Nobile, A.G.; Trummer, D.; Klose, D.; Guda, S.; Safonova, O.V.; Copéret, C.; Guda, A.; Jeschke, G. Active Sites in Cr(III)-Based Ethylene Polymerization Catalysts from Machine-Learning-Supported XAS and EPR Spectroscopy. Angew. Chem. Int. Ed. 2024, 63, e202313348. [Google Scholar] [CrossRef]
 - Pan, Q.; Li, L.; Shaikhutdinov, S.; Freund, H.-J. Planar model system of the Phillips (Cr/SiO2) catalyst based on a well-defined thin silicate film. J. Catal. 2018, 357, 12–19. [Google Scholar] [CrossRef]
 - McGuinness, D.S.; Davies, N.W.; Horne, J.; Ivanov, I. Unraveling the Mechanism of Polymerization with the Phillips Catalyst. Organometallics 2010, 29, 6111–6116. [Google Scholar] [CrossRef]
 - Tonosakianel, K.; Taniike, T.; Terano, M. Origin of broad molecular weight distribution of polyethylene produced by Phillips-type silica-supported chromium catalyst. J. Mol. Catal. A Chem. 2011, 340, 33–38. [Google Scholar] [CrossRef]
 - DesLauriers, P.J.; McDaniel, M.P. Short chain branching profiles in polyethylene from the Phillips Cr/silica catalyst. J. Polym. Sci. A Polym. Chem. 2007, 45, 3135–3149. [Google Scholar] [CrossRef]
 - Cicmil, D.; Meeuwissen, J.; Vantomme, A.; Weckhuysen, B.M. Real-time Analysis of a Working Triethylaluminium-Modified Cr/Ti/SiO2 Ethylene Polymerization Catalyst with In Situ Infrared Spectroscopy. ChemCatChem 2016, 8, 1937–1944. [Google Scholar] [CrossRef] [PubMed]
 - Leonhardt, B.E.; Shen, H.; Head-Gordon, M.; Bell, A.T. Experimental and Theoretical Evidence for Distorted Tetrahedral ≡Ti–OH Sites Supported on Amorphous Silica and Their Effect on the Adsorption of Polar Molecules. J. Phys. Chem. C 2024, 128, 129–145. [Google Scholar] [CrossRef]
 - Zeng, Y.; Matta, A.; Dwivedi, S.; Taniike, T.; Terano, M. Development of a Hetero-Bimetallic Phillips-Type Catalyst for Ethylene Polymerization. Macromol. React. Eng. 2013, 7, 668–673. [Google Scholar] [CrossRef]
 - Cheng, R.; Xue, X.; Liu, W.; Zhao, N.; He, X.; Liu, Z.; Liu, B. Novel SiO2-Supported Chromium Oxide(Cr)/Vanadium Oxide(V) Bimetallic Catalysts for Production of Bimodal Polyethylene. Macromol. React. Eng. 2015, 9, 462–472. [Google Scholar] [CrossRef]
 - Ling, S.; Ren, H.; Zhang, R.; Liu, Y.; Liu, B.; Cheng, R. Insights into the effect of vanadium on chromium-vanadium Phillips catalysts for the ethylene polymerization. Polyolefins J. 2020, 7, 61–78. [Google Scholar] [CrossRef]
 - Liu, B.; Tian, Z.; Jin, Y.; Zhao, N.; Liu, B. Effect of Alkyl Aluminums on Ethylene Polymerization Reactions with a Cr-V Bimetallic Catalyst. Macromol. React. Eng. 2018, 12, 1700059. [Google Scholar] [CrossRef]
 - Ma, Y.; Cheng, R.; Li, J.; Zhong, L.; Liu, Z.; He, X.; Liu, B. Reprint of: Effect of Mo-modification over Phillips CrOx/SiO2 catalyst for ethylene polymerization. J. Organomet. Chem. 2015, 798, 317–327. [Google Scholar] [CrossRef]
 - Wang, S.; Liu, B.; Jin, Y. Why could the CrOx/SiO2 and VOx/SiO2 catalysts show so different behaviors in ethylene polymerization? A theoretical approach. Mol. Catal. 2020, 493, 111090. [Google Scholar] [CrossRef]
 - Liu, K.; Liu, Z.; Cheng, R.; He, X.; Liu, B. Mechanistic study of vanadium-modified and sulfation-modified Phillips catalyst. Mol. Catal. 2021, 513, 111777. [Google Scholar] [CrossRef]
 - Ma, Y.; Wang, L.; Liu, Z.; Cheng, R.; Zhong, L.; Yang, Y.; He, X.; Fang, Y.; Terano, M.; Liu, B. High-resolution XPS and DFT investigations into Al-modified Phillips CrOx/SiO2 catalysts. J. Mol. Catal. A Chem. 2015, 401, 1–12. [Google Scholar] [CrossRef]
 - Cicmil, D.; van Ravenhorst, I.K.; Meeuwissen, J.; Vantomme, A.; Weckhuysen, B.M. Structure–performance relationships of Cr/Ti/SiO2 catalysts modified with TEAl for oligomerisation of ethylene: Tuning the selectivity towards 1-hexene. Catal. Sci. Technol. 2016, 6, 731–743. [Google Scholar] [CrossRef]
 - Cicmil, D.; Meeuwissen, J.; Vantomme, A.; Wang, J.; van Ravenhorst, I.K.; van der Bij, H.E.; Muñoz-Murillo, A.; Weckhuysen, B.M. Polyethylene with Reverse Co-monomer Incorporation: From an Industrial Serendipitous Discovery to Fundamental Understanding. Angew. Chem. Int. Ed. 2015, 54, 13073–13079. [Google Scholar] [CrossRef]
 - McDaniel, M.P.; Schwerdtfeger, E.D.; Jensen, M.D. The “comonomer effect” on chromium polymerization catalysts. J. Catal. 2014, 314, 109–116. [Google Scholar] [CrossRef]
 - Barzan, C.; Bordiga, S.; Groppo, E. Toward the Understanding of the Comonomer Effect on CrII/SiO2 Phillips Catalyst. ACS Catal. 2016, 6, 2918–2922. [Google Scholar] [CrossRef]
 - Sun, Q.; Wang, L.; Cheng, R.; Liu, Z.; He, X.; Zhao, N.; Liu, B. A Novel SiO2-Supported Fluorine Modified Chromium–Vanadium Bimetallic Catalyst for Ethylene Polymerization and Ethylene/1-Hexene Copolymerization. Macromol. React. Eng. 2017, 11, 1600055. [Google Scholar] [CrossRef]
 - Yang, Q.; Jensen, M.D.; McDaniel, M.P. Alternative View of Long Chain Branch Formation by Metallocene Catalysts. Macromolecules 2010, 43, 8836–8852. [Google Scholar] [CrossRef]
 - Nifant’ev, I.E.; Vinogradov, A.A.; Vinogradov, A.A.; Sadrtdinova, G.I.; Komarov, P.D.; Minyaev, M.E.; Ilyin, S.O.; Kiselev, A.V.; Samurganova, T.I.; Ivchenko, P.V. Synthesis, molecular structure and catalytic performance of heterocycle-fused cyclopentadienyl-amido CGC of Ti (IV) in ethylene (co)polymerization: The formation and precision rheometry of long-chain branched polyethylenes. Eur. Polym. J. 2022, 176, 111397. [Google Scholar] [CrossRef]
 - Jensen, M.D.; Yang, Q.; Yu, Y.; McDaniel, M.P. Kinetics of Long-Chain Branch Formation in Polyethylene. ACS Catal. 2018, 8, 725–737. [Google Scholar] [CrossRef]
 - Prades, F.; Broyer, J.-P.; Belaid, I.; Boyron, O.; Miserque, O.; Spitz, R.; Boisson, C. Borate and MAO Free Activating Supports for Metallocene Complexes. ACS Catal. 2013, 3, 2288–2293. [Google Scholar] [CrossRef]
 - Nifant’ev, I.E.; Komarov, P.D.; Kostomarova, O.D.; Kolosov, N.A.; Ivchenko, P.V. MAO- and Borate-Free Activating Supports for Group 4 Metallocene and Post-Metallocene Catalysts of α-Olefin Polymerization and Oligomerization. Polymers 2023, 15, 3095. [Google Scholar] [CrossRef]
 - Martino, G.A.; Barzan, C.; Piovano, A.; Budnyk, A.; Groppo, E. Tracking the reasons for the peculiarity of Cr/Al2O3 catalyst in ethylene polymerization. J. Catal. 2018, 357, 206–212. [Google Scholar] [CrossRef]
 - Moreno, J.; van Grieken, R.; Carrero, A.; Paredes, B. Development of novel chromium oxide/metallocene hybrid catalysts for bimodal polyethylene. Polymer 2011, 52, 1891–1899. [Google Scholar] [CrossRef]
 - Cann, K.J.; Jorgensen, R.J.; Mariott, W.R.; Goode, M.G.; Moorhouse, J.H. Mixed Compatible Ziegler-Natta/Chromium Catalysts for Improved Polymer Products. U.S. Patent US10221263 (B2), 5 March 2019. [Google Scholar]
 - Ding, E.; Yang, Q.; Guatney, L.W.; Greco, J.F. Ziegler-Natta–Metallocene Dual Catalyst Systems with Activator-Supports. U.S. Patent US9540457 (B1), 10 January 2017. [Google Scholar]
 - Ding, E.; Yang, Q.; Guatney, L.W.; Greco, J.F. Heterogeneous Ziegler-Natta Catalysts with Fluorided Silica-Coated Alumina. U.S. Patent US9758599 (B2), 12 September 2017. [Google Scholar]
 - Wang, K.; Jin, Y.; Liu, B.; Zhang, R.; Ren, H.; Zhao, N.; He, X. Novel SiO2-Supported Chromium Oxide/Chromocene Dual Site Catalysts for Synthesis of Bimodal UHMWPE/HDPE in Reactor Alloys. Macromol. Chem. Phys. 2020, 221, 1900503. [Google Scholar] [CrossRef]
 - Bergmeister, J.J. Process for Producing Polyolefins. U.S. Patent US5543376 (A), 6 August 1996. [Google Scholar]
 





























































| Calcination Temperature, °C | 400 | 500 | 600 | 700 | 800 | 900 | 
|---|---|---|---|---|---|---|
| [OH]∙nm−2 on virgin silica | 2.42 | 1.80 | 1.41 | 1.13 | 0.92 | 0.76 | 
| Maximum [Cr(VI)]∙nm−2 | 2.3 | 1.5 | 1.2 | 0.9 | 0.6 | 0.5 | 
| % of Cr as dichromate at  [Cr(VI)]∙nm−2 = 0.38  | 0 | 5 | 18 | 35 | 50 | 58 | 
| Activity, kg∙g−1∙h−1 | 0.4 | 1.1 | 2.0 | 3.3 | 4.0 | 5.7 | 
| MI, 1 g∙(10 min)−1 | 0.012 | 0.017 | 0.026 | 0.052 | 0.24 | 0.46 | 
| HLMI, 2 g∙(10 min)−1 | 0.94 | 1.05 | 1.65 | 3.31 | 13.99 | 26.10 | 
| Mw, kDa | 454 | 460 | 406 | 322 | 229 | 172 | 
| ĐM | 37.1 | 28.4 | 14.9 | 12.3 | 7.6 | 6.9 | 
| LCB content, LCB∙10−6 C | 1.4 | 1.5 | 1.8 | 2.7 | 7.7 | 9.8 | 
| Reductant | Color | Activity, 1 kgPE∙g−1∙h−1 | Organic Products and Their Content, mol% | 
|---|---|---|---|
| No | Orange | 2.58–2.66 | – | 
| Methane | Green | 4.54 | MeOH (97); HCOOH (3) | 
| Ethane | Blue | 2.00 | EtOH (98); AcOH (2) | 
| n-pentane | Blue | 3.19 | Pentan-2&3-ols (46); pentan-2-one (25); pentan-1-ol (16); pentan-3-one (10); 2-penten-1-ol (2); pent-2-enal (1)  | 
| n-hexane | Blue | 2.60 | Hexan-2-ol (25); hexan-2-one (23); hexan-3-ol (20); hexan-3-one (17); hexan-1-ol (15)  | 
| Isobutane | Blue | n.d. 2 | t-butanol (52); isobutanol (38); isobutanal (7) | 
| i-pentane | Blue- green  | n.d. | 2-methylbutan-2-ol (30); 3-methylbutan-1-ol (20); 3-methylbutan-2-one (18); 2-methylbutan-1-ol (16); 3-methylbutan-2-ol (13); 3-methylbut-3-en-2-one (3)  | 
| Cyclopentane | Blue | n.d. | Cyclopentanol (75); cyclopentanone (17); cyclopentene oxide (6); cyclopent-2-en-1-one (2) | 
| Cyclohexane | Blue | 0.94 | Cyclohexanol (65); cyclohexanone (27); Cyclohex-2-en-1-one (3); cyclohexene oxide (3) | 
| Decalin | Blue | 2.09 | n.d. | 
| Toluene | Dark blue | 2.61 | Benzaldehyde (42); benzophone-type dimers (29); Benzyl alcohol (17); 2&4-methylphenols (10)  | 
| Method of Analysis | P1 | P2 | P3 | 
|---|---|---|---|
| LCF 1 of descriptors | 5.5–6.0 | 2.0–2.5 | 3.2–4.0 | 
| Best pair for the LCF of descriptors 2 | VI.1, V.3 | II.6, III.6 | III.7, VI.1 | 
| ML 3 prediction for descriptors | 5.7–6.0 | 2.1–2.7 | 3.2–3.8 | 
| LCF of XANES (pre-edge) | 5.6–6.0 | 2.0–2.5 | 3.5–4.1 | 
| Best pair for the LCF of the pre-edge | VI.1, IV.6 | II.6, IV.2 | III.7, VI.1 | 
| ML prediction for XANES (pre-edge) | 5.6–6.0 | 2.1–2.7 | 3.4–4.0 | 
| LCF of XANES (postedge) | 5.5–5.9 | 2.4–2.8 | 3.6–4.0 | 
| Best pair for the LCF of the postedge | Na2CrO4, V.1 | II.3, IV.2 | III.4, V.2/VI.2 | 
| ML prediction for XANES (postedge) | 5.4–5.8 | 2.7–3.1 | 3.7–4.1 | 
| Sample | Neighboring Atom | Number of Neighboring Atoms | r (Å) 1 | σ2(Å2) 2 | 
|---|---|---|---|---|
| 1 | O | 3 | 1.866(5) | 0.0049(9) | 
| O | 2 | 2.018(5) | 0.0049(9) | |
| C | 4 | 2.97(1) | 0.010(4) | |
| Si | 3 | 3.553(8) | 0.010(3) | |
| 2 | O | 3 | 1.95(3) | 0.013(3) | 
| O | 1 | 2.00(2) | 0.003(2) | |
| C | 2 | 3.02(2) | 0.003(2) | |
| Si | 3 | 3.2(1) | 0.05(3) | |
| 3 | O | 3 | 1.973(9) | 0.0027(8) | 
| O | 0.4 | 2.50(6) | 0.0027(8) | |
| Si | 3 | 3.21(2) | 0.009(2) | 
| Second Metal Precursor | Activity, kgPE∙g−1∙h−1 | Branch Frequency/10,000 C | 
|---|---|---|
| – | 0.79 | 0.43 | 
| Al(NO3)3 | 0.78 | 0.48 | 
| TiO(acac)2 | 0.85 | 0.51 | 
| V(acac)3 | 0.87 | 0.56 | 
| Mn(NO3)2 | 0.53 | 0.35 | 
| Fe(NO3)3 | 0.78 | 0.47 | 
| Co(NO3)2 | 0.72 | 0.46 | 
| Ni(NO3)2 | 0.80 | 0.35 | 
| Cu(NO3)2 | 0.81 | 0.47 | 
| Zn(NO3)2 | 0.86 | 0.50 | 
| ZrO(NO3)2 | 0.92 | 0.52 | 
| (NH4)6Mo7O24 | 0.65 | 0.45 | 
| (NH4)6H2W12O40 | 0.62 | 0.44 | 
| Structure 1 | Model A | Model B | Model C | 
|---|---|---|---|
| 1 1 | 0.0 | 0.0 | 0.0 | 
| 1 2 | 3.7 | 5.3 | 11.6 | 
| 3 2 | −23.3 | −23.2 | −27.2 | 
| 3 2–3 TS | 1.5 | 4.7 | 0.5 | 
| 3 3 | −0.6 | 3.4 | −1.1 | 
| 5 3 | −23.8 | −20.1 | −19.5 | 
| 5 3–4a TS | −3.0 | 0.0 | 0.7 | 
| 5 4a | −21.7 | −7.4 | −5.3 | 
| 5 4a–5a TS | −0.7 | 14.1 | 13.8 | 
| 5 5a | −8.5 | 12.5 | 11.5 | 
| 5 3–4b TS | 16.5 | 21.7 | 14.4 | 
| 5 4b | 10.5 | 15.3 | 11.8 | 
| 5 4b–5b TS | 34.2 | 37.1 | 39.1 | 
| 5 5b | 23.3 | 27.3 | 32.6 | 
| Model | First Insertion (Ethylene or Comonomer)  | Second Insertion  (Ethylene)  | β-H Shift to Ethylene | Δ(Etransfer − Epropagation) | ||||
|---|---|---|---|---|---|---|---|---|
| C2H4 | 1-C6H12 | C2H4 | 1-C6H12 | C2H4 | 1-C6H12 | C2H4 | 1-C6H12 | |
| A | 21.52 | 23.07 | 21.92 | 21.55 | 29.74 | 28.44 | 7.82 | 6.89 | 
| B | 23.63 | 26.59 | 24.05 | 24.53 | 31.76 | 30.54 | 7.71 | 6.02 | 
| C | 25.74 | 28.90 | 26.12 | 28.58 | 33.56 | 32.43 | 7.44 | 3.85 | 
| Titania [Ti]∙nm−2 | Activity, kgPE∙gCat−1∙h−1  | Mw, kDa | ĐM | LCB∙10−6 C | 
|---|---|---|---|---|
| 0.00 | 1.9 | 158 | 7.9 | 2.8 | 
| 0.25 | 3.4 | 152 | 9.3 | 3.4 | 
| 0.50 | 3.8 | 143 | 12.3 | 5.1 | 
| 0.80 | 4.5 | 134 | 16.2 | 7.0 | 
| 1.10 | 4.7 | 128 | 17.5 | 7.3 | 
| 1.40 | 4.7 | 120 | 18.8 | 7.7 | 
| 2.20 | 4.2 | 112 | 21.3 | 10.3 | 
| Model | ΔG298 Relative to Separated Reactants  [kcal∙mol−1]  | Insertion Barrier ΔG≠298  | β-H Transfer Barrier ΔG≠298  | Δ 2 | ||||
|---|---|---|---|---|---|---|---|---|
| 1X | TS(1X-2X) | 2X | TS(1X-3X) | 3X | ||||
| A | −1.0 | 16.4 | −10.4 | 23.7 | −0.1 | 17.4 | 24.7 | 7.3 | 
| B | −1.8 | 16.1 | −10.1 | 24.4 | −0.1 | 17.9 | 26.2 | 8.3 | 
| C | −1.7 | 15.6 | −10.2 | 24.8 | −0.3 | 17.3 | 26.5 | 9.2 | 
| D | −2.5 | 15.0 | −10.5 | 23.4 | −1.1 | 17.5 | 25.9 | 8.4 | 
| E | −4.0 | 13.6 | −11.4 | 22.3 | −1.9 | 17.6 | 26.3 | 8.7 | 
Disclaimer/Publisher’s Note: The statements, opinions and data contained in all publications are solely those of the individual author(s) and contributor(s) and not of MDPI and/or the editor(s). MDPI and/or the editor(s) disclaim responsibility for any injury to people or property resulting from any ideas, methods, instructions or products referred to in the content.  | 
© 2024 by the authors. Licensee MDPI, Basel, Switzerland. This article is an open access article distributed under the terms and conditions of the Creative Commons Attribution (CC BY) license (https://creativecommons.org/licenses/by/4.0/).
Share and Cite
Nifant’ev, I.; Komarov, P.; Sadrtdinova, G.; Safronov, V.; Kolosov, N.; Ivchenko, P. Mechanistic Insights of Ethylene Polymerization on Phillips Chromium Catalysts. Polymers 2024, 16, 681. https://doi.org/10.3390/polym16050681
Nifant’ev I, Komarov P, Sadrtdinova G, Safronov V, Kolosov N, Ivchenko P. Mechanistic Insights of Ethylene Polymerization on Phillips Chromium Catalysts. Polymers. 2024; 16(5):681. https://doi.org/10.3390/polym16050681
Chicago/Turabian StyleNifant’ev, Ilya, Pavel Komarov, Guzelia Sadrtdinova, Vadim Safronov, Nikolay Kolosov, and Pavel Ivchenko. 2024. "Mechanistic Insights of Ethylene Polymerization on Phillips Chromium Catalysts" Polymers 16, no. 5: 681. https://doi.org/10.3390/polym16050681
APA StyleNifant’ev, I., Komarov, P., Sadrtdinova, G., Safronov, V., Kolosov, N., & Ivchenko, P. (2024). Mechanistic Insights of Ethylene Polymerization on Phillips Chromium Catalysts. Polymers, 16(5), 681. https://doi.org/10.3390/polym16050681
        
