Ductile Copolyesters Prepared Using Succinic Acid, 1,4-Butanediol, and Bis(2-hydroxyethyl) Terephthalate with Minimizing Generation of Tetrahydrofuran
Abstract
1. Introduction
2. Materials and Methods
2.1. General Remarks
2.2. Preparation of Mg(2-Ethylhexanoate)2
2.3. Preparation of PBS[5.0T; 1.0P; 210; Mg]
2.4. Preparation of PBS[5.0T; Ti; 230]
2.5. Biodegradation Studies
3. Results and Discussion
3.1. SA/(BD + BHET) Polycondensation
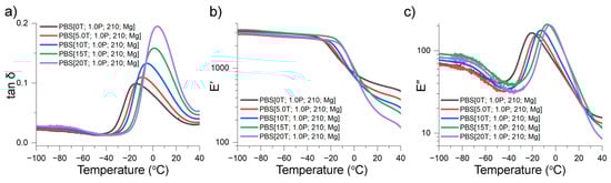
3.2. Thermal Properties
3.3. Mechanical Properties
3.4. Rheological Properties
3.5. Biodegradability
4. Conclusions
5. Patents
Supplementary Materials
Author Contributions
Funding
Institutional Review Board Statement
Data Availability Statement
Conflicts of Interest
References
- Fagnani, D.E.; Tami, J.L.; Copley, G.; Clemons, M.N.; Getzler, Y.D.Y.L.; McNeil, A.J. 100th Anniversary of Macromolecular Science Viewpoint: Redefining Sustainable Polymers. ACS Macro Lett. 2021, 10, 41–53. [Google Scholar] [CrossRef]
- Skoczinski, P.; Krause, L.; Raschka, A.; Dammer, L.; Carus, M. Chapter One—Current status and future development of plastics: Solutions for a circular economy and limitations of environmental degradation. In Methods in Enzymology; Weber, G., Bornscheuer, U.T., Wei, R., Eds.; Academic Press: Cambridge, MA, USA, 2021; Volume 648, pp. 1–26. [Google Scholar]
- Chen, X.; Cheng, L.; Gu, J.; Yuan, H.; Chen, Y. Chemical recycling of plastic wastes via homogeneous catalysis: A review. Chem. Eng. J. 2024, 479, 147853. [Google Scholar] [CrossRef]
- Li, A.; Sheng, Y.; Cui, H.; Wang, M.; Wu, L.; Song, Y.; Yang, R.; Li, X.; Huang, H. Discovery and mechanism-guided engineering of BHET hydrolases for improved PET recycling and upcycling. Nat. Commun. 2023, 14, 4169. [Google Scholar] [CrossRef]
- Zhao, Y.; Rettner, E.M.; Harry, K.L.; Hu, Z.; Miscall, J.; Rorrer, N.A.; Miyake, G.M. Chemically recyclable polyolefin-like multiblock polymers. Science 2023, 382, 310–314. [Google Scholar] [CrossRef] [PubMed]
- Zou, L.; Xu, R.; Wang, H.; Wang, Z.; Sun, Y.; Li, M. Chemical recycling of polyolefins: A closed-loop cycle of waste to olefins. Natl. Sci. Rev. 2023, 10, nwad207. [Google Scholar] [CrossRef] [PubMed]
- Hassanian-Moghaddam, D.; Asghari, N.; Ahmadi, M. Circular Polyolefins: Advances toward a Sustainable Future. Macromolecules 2023, 56, 5679–5697. [Google Scholar] [CrossRef]
- Gallin, C.F.; Lee, W.W.; Byers, J.A. A Simple, Selective, and General Catalyst for Ring Closing Depolymerization of Polyesters and Polycarbonates for Chemical Recycling. Angew. Chem.-Int. Ed. 2023, 62, e202303762. [Google Scholar] [CrossRef] [PubMed]
- Jung, H.; Shin, G.; Kwak, H.; Hao, L.T.; Jegal, J.; Kim, H.J.; Jeon, H.; Park, J.; Oh, D.X. Review of polymer technologies for improving the recycling and upcycling efficiency of plastic waste. Chemosphere 2023, 320, 138089. [Google Scholar] [CrossRef] [PubMed]
- Li, X.; Zheng, G.; Li, Z.; Fu, P. Formulation, performance and environmental/agricultural benefit analysis of biomass-based biodegradable mulch films: A review. Eur. Polym. J. 2024, 203, 112663. [Google Scholar] [CrossRef]
- Marasović, P.; Kopitar, D.; Brunšek, R.; Schwarz, I. Performance and Degradation of Nonwoven Mulches Made of Natural Fibres and PLA Polymer—Open Field Study. Polymers 2023, 15, 4447. [Google Scholar] [CrossRef] [PubMed]
- Li, Y.; Liu, C.; Wei, H.; Gai, X.; Lei, T.; Wang, Y.; Li, Q.; Xiao, H. Recent Advances of Biodegradable Agricultural Mulches from Renewable Resources. ACS Sustain. Chem. Eng. 2023, 11, 14866–14885. [Google Scholar] [CrossRef]
- Choi, S.Y.; Lee, Y.; Yu, H.E.; Cho, I.J.; Kang, M.; Lee, S.Y. Sustainable production and degradation of plastics using microbes. Nat. Microbiol. 2023, 8, 2253–2276. [Google Scholar] [CrossRef] [PubMed]
- Kim, M.S.; Chang, H.; Zheng, L.; Yan, Q.; Pfleger, B.F.; Klier, J.; Nelson, K.; Majumder, E.L.; Huber, G.W. A Review of Biodegradable Plastics: Chemistry, Applications, Properties, and Future Research Needs. Chem. Rev. 2023, 123, 9915–9939. [Google Scholar] [CrossRef]
- Nelson, T.F.; Rothauer, D.; Sander, M.; Mecking, S. Degradable and Recyclable Polyesters from Multiple Chain Length Bio- and Waste-Sourceable Monomers. Angew. Chem.-Int. Ed. 2023, 62, e202310729. [Google Scholar] [CrossRef]
- Li, J.; Wang, D.; Jin, J.; Li, F.; Gao, Y.; Liang, H.; Jiang, W. Improving the Shear and Tack Strengths of Chlorinated Poly(propylene carbonate) through Chain Extension with Polylactic Acid for Biodegradable Hot Melt Adhesives. ACS Appl. Polym. Mater. 2023, 5, 10256–10264. [Google Scholar] [CrossRef]
- Zhang, Z.; Quinn, E.C.; Olmedo-Martínez, J.L.; Caputo, M.R.; Franklin, K.A.; Müller, A.J.; Chen, E.Y.X. Toughening Brittle Bio-P3HB with Synthetic P3HB of Engineered Stereomicrostructures. Angew. Chem.-Int. Ed. 2023, 62, e202311264. [Google Scholar] [CrossRef]
- Erceg, T.; Rackov, S.; Terek, P.; Pilić, B. Preparation and Characterization of PHBV/PCL-Diol Blend Films. Polymers 2023, 15, 4694. [Google Scholar] [CrossRef]
- Fortună, M.E.; Ungureanu, E.; Rotaru, R.; Bargan, A.; Ungureanu, O.C.; Brezuleanu, C.O.; Harabagiu, V. Synthesis and Properties of Modified Biodegradable Polymers Based on Caprolactone. Polymers 2023, 15, 4731. [Google Scholar] [CrossRef]
- Lackner, M.; Mukherjee, A.; Koller, M. What Are “Bioplastics”? Defining Renewability, Biosynthesis, Biodegradability, and Biocompatibility. Polymers 2023, 15, 4695. [Google Scholar] [CrossRef]
- Tubio, C.R.; Valle, X.; Carvalho, E.; Moreira, J.; Costa, P.; Correia, D.M.; Lanceros-Mendez, S. Poly(3-hydroxybutyrate-co-3-hydroxyvalerate) Blends with Poly(caprolactone) and Poly(lactic acid): A Comparative Study. Polymers 2023, 15, 4566. [Google Scholar] [CrossRef]
- Jiang, B.; Wang, Y.; Peng, Z.; Lim, K.H.; Wang, Q.; Shi, S.; Zheng, J.; Yang, X.; Liu, P.; Wang, W.J. Synthesis of Poly(butylene adipate terephthalate)-co-poly(glycolic acid) with Enhanced Degradability in Water. Macromolecules 2023, 56, 9207–9217. [Google Scholar] [CrossRef]
- Mai, J.; Garvey, C.J.; Chan, C.M.; Pratt, S.; Laycock, B. Synthesis and characterisation of poly(3-hydroxybutyrate-co-3-hydroxyvalerate) (PHBV) multi-block copolymers comprising blocks of differing 3-hydroxyvalerate contents. Chem. Eng. J. 2023, 475, 146175. [Google Scholar] [CrossRef]
- Qu, D.; Yang, Z.; Zhang, J.; Wang, S.; Lu, Y. Brief Analysis on the Degradation of Sugar-Based Copolyesters. Polymers 2023, 15, 4372. [Google Scholar] [CrossRef]
- Little, A.; Ma, S.; Haddleton, D.M.; Tan, B.; Sun, Z.; Wan, C. Synthesis and Characterization of High Glycolic Acid Content Poly(glycolic acid-co-butylene adipate-co-butylene terephthalate) and Poly(glycolic acid-co-butylene succinate) Copolymers with Improved Elasticity. ACS Omega 2023, 8, 38658–38667. [Google Scholar] [CrossRef]
- Saller, K.M.; Hubner, G.; Schwarzinger, C. Introducing free carboxylic acid groups along polyester chains using dimethylolpropionic acid as diol component. Eur. Polym. J. 2023, 198, 112442. [Google Scholar] [CrossRef]
- Zheng, L.; Kim, M.S.; Xu, S.; Urgun-Demirtas, M.; Huber, G.W.; Klier, J. Biodegradable High-Molecular-Weight Poly(pentylene adipate-co-terephthalate): Synthesis, Thermo-Mechanical Properties, Microstructures, and Biodegradation. ACS Sustain. Chem. Eng. 2023, 11, 13885–13895. [Google Scholar] [CrossRef]
- Hwang, D.K.; Chung, S.; Kim, S.; Park, J.; Ryu, J.; Park, J.; Oh, D.X.; Jeon, H.; Koo, J.M. Exploring the potential of 2,5-furandicarboxylic acid-based bioplastics: Properties, synthesis, and applications. Polym. Degrad. Stab. 2023, 218, 110539. [Google Scholar] [CrossRef]
- Kanwal, A.; Zhang, M.; Sharaf, F.; Li, C. Polymer pollution and its solutions with special emphasis on Poly (butylene adipate terephthalate (PBAT)). Polym. Bull. 2022, 79, 9303–9330. [Google Scholar] [CrossRef]
- Yu, J.; Xu, S.; Liu, B.; Wang, H.; Qiao, F.; Ren, X.; Wei, Q. PLA bioplastic production: From monomer to the polymer. Eur. Polym. J. 2023, 193, 112076. [Google Scholar] [CrossRef]
- Rafiqah, S.A.; Khalina, A.; Harmaen, A.S.; Tawakkal, I.A.; Zaman, K.; Asim, M.; Nurrazi, M.N.; Lee, C.H. A Review on Properties and Application of Bio-Based Poly(Butylene Succinate). Polymers 2021, 13, 1436. [Google Scholar] [CrossRef] [PubMed]
- Aliotta, L.; Seggiani, M.; Lazzeri, A.; Gigante, V.; Cinelli, P. A Brief Review of Poly (Butylene Succinate) (PBS) and Its Main Copolymers: Synthesis, Blends, Composites, Biodegradability, and Applications. Polymers 2022, 14, 844. [Google Scholar] [CrossRef]
- Kim, H.; Shin, G.; Jang, M.; Nilsson, F.; Hakkarainen, M.; Kim, H.J.; Hwang, S.Y.; Lee, J.; Park, S.B.; Park, J.; et al. Toward Sustaining Bioplastics: Add a Pinch of Seasoning. ACS Sustain. Chem. Eng. 2023, 11, 1846–1856. [Google Scholar] [CrossRef]
- Kindler, A.; Zelder, O. Biotechnological and Chemical Production of Monomers from Renewable Raw Materials. In Advances in Polymer Science; Springer: Cham, Switzerland, 2024; Volume 293, pp. 1–33. [Google Scholar]
- Yang, Y.; Zhao, J.; Zhou, Y.; Xu, S.; Ren, X.; Wei, Q. Progress on production of succinic acid by Actinobacillus succinogenes–New opportunities for cheap biomass and waste gas utilization. J. Clean. Prod. 2024, 434, 140005. [Google Scholar] [CrossRef]
- Kim, J.Y.; Lee, J.A.; Lee, S.Y. Biobased Production of Succinic Acid and Its Derivatives Using Metabolically Engineered Microorganisms. Ind. Biotechnol. 2023, 19, 125–137. [Google Scholar] [CrossRef]
- Kim, J.Y.; Ahn, Y.J.; Lee, J.A.; Lee, S.Y. Recent advances in the production of platform chemicals using metabolically engineered microorganisms. Curr. Opin. Green Sustain. Chem. 2023, 40, 100777. [Google Scholar] [CrossRef]
- Hu, X.; Su, T.; Pan, W.; Li, P.; Wang, Z. Difference in solid-state properties and enzymatic degradation of three kinds of poly(butylene succinate)/cellulose blends. RSC Adv. 2017, 7, 35496–35503. [Google Scholar] [CrossRef]
- Chae, H.G.; Park, S.H.; Kim, B.C.; Kim, D.K. Effect of methyl substitution of the ethylene unit on the physical properties of poly(butylene succinate). J. Polym. Sci. Part B Polym. Phys. 2004, 42, 1759–1766. [Google Scholar] [CrossRef]
- Nagata, M.; Goto, H.; Sakai, W.; Tsutsumi, N. Synthesis and enzymatic degradation of poly(tetramethylene succinate) copolymers with terephthalic acid. Polymer 2000, 41, 4373–4376. [Google Scholar] [CrossRef]
- Cao, A.; Okamura, T.; Nakayama, K.; Inoue, Y.; Masuda, T. Studies on syntheses and physical properties of biodegradable aliphatic poly(butylene succinate-co-ethylene succinate)s and poly(butylene succinate-co-diethylene glycol succinate)s. Polym. Degrad. Stab. 2002, 78, 107–117. [Google Scholar] [CrossRef]
- Kim, T.; Jeon, H.; Jegal, J.; Kim, J.H.; Yang, H.; Park, J.; Oh, D.X.; Hwang, S.Y. Trans crystallization behavior and strong reinforcement effect of cellulose nanocrystals on reinforced poly(butylene succinate) nanocomposites. RSC Adv. 2018, 8, 15389–15398. [Google Scholar] [CrossRef]
- Nikolic, M.S.; Djonlagic, J. Synthesis and characterization of biodegradable poly(butylene succinate-co-butylene adipate)s. Polym. Degrad. Stab. 2001, 74, 263–270. [Google Scholar] [CrossRef]
- Pérez-Camargo, R.A.; Fernández-d’Arlas, B.; Cavallo, D.; Debuissy, T.; Pollet, E.; Avérous, L.; Müller, A.J. Tailoring the Structure, Morphology, and Crystallization of Isodimorphic Poly(butylene succinate-ran-butylene adipate) Random Copolymers by Changing Composition and Thermal History. Macromolecules 2017, 50, 597–608. [Google Scholar] [CrossRef]
- Luo, S.; Li, F.; Yu, J.; Cao, A. Synthesis of poly(butylene succinate-co-butylene terephthalate) (PBST) copolyesters with high molecular weights via direct esterification and polycondensation. J. Appl. Polym. Sci. 2010, 115, 2203–2211. [Google Scholar] [CrossRef]
- Li, F.; Xu, X.; Li, Q.; Li, Y.; Zhang, H.; Yu, J.; Cao, A. Thermal degradation and their kinetics of biodegradable poly(butylene succinate-co-butylene terephthate)s under nitrogen and air atmospheres. Polym. Degrad. Stab. 2006, 91, 1685–1693. [Google Scholar] [CrossRef]
- Wu, L.; Mincheva, R.; Xu, Y.; Raquez, J.-M.; Dubois, P. High Molecular Weight Poly(butylene succinate-co-butylene furandicarboxylate) Copolyesters: From Catalyzed Polycondensation Reaction to Thermomechanical Properties. Biomacromolecules 2012, 13, 2973–2981. [Google Scholar] [CrossRef] [PubMed]
- Mochizuki, M.; Mukai, K.; Yamada, K.; Ichise, N.; Murase, S.; Iwaya, Y. Structural Effects upon Enzymatic Hydrolysis of Poly(butylene succinate-co-ethylene succinate)s. Macromolecules 1997, 30, 7403–7407. [Google Scholar] [CrossRef]
- Safari, M.; Otaegi, I.; Aramburu, N.; Guerrica-Echevarria, G.; de Ilarduya, A.M.; Sardon, H.; Müller, A.J. Synthesis, Structure, Crystallization and Mechanical Properties of Isodimorphic PBS-ran-PCL Copolyesters. Polymers 2021, 13, 2263. [Google Scholar] [CrossRef] [PubMed]
- Park, S.S.; Chae, S.H.; Im, S.S. Transesterification and crystallization behavior of poly(butylene succinate)/poly(butylene terephthalate) block copolymers. J. Polym. Sci. Part A Polym. Chem. 1998, 36, 147–156. [Google Scholar] [CrossRef]
- Zhou, T.; Wang, B.; Wang, X.; Sun, H.; Liu, Y.; Zheng, L. Copolymers Based on PBS and Polydimethylsiloxane with Improved Properties and Novel Functions: Effect of Molecular Weight of Polydimethylsiloxane. ACS Sustain. Chem. Eng. 2023, 11, 15397–15409. [Google Scholar] [CrossRef]
- Bautista, M.; Martínez de Ilarduya, A.; Alla, A.; Vives, M.; Morató, J.; Muñoz-Guerra, S. Cationic poly(butylene succinate) copolyesters. Eur. Polym. J. 2016, 75, 329–342. [Google Scholar] [CrossRef]
- Jacquel, N.; Freyermouth, F.; Fenouillot, F.; Rousseau, A.; Pascault, J.P.; Fuertes, P.; Saint-Loup, R. Synthesis and properties of poly(butylene succinate): Efficiency of different transesterification catalysts. J. Polym. Sci. Part A Polym. Chem. 2011, 49, 5301–5312. [Google Scholar] [CrossRef]
- Sugihara, S.; Toshima, K.; Matsumura, S. New Strategy for Enzymatic Synthesis of High-Molecular-Weight Poly(butylene succinate) via Cyclic Oligomers. Macromol. Rapid Commun. 2006, 27, 203–207. [Google Scholar] [CrossRef]
- Li, X.; Xia, M.; Dong, X.; Long, R.; Liu, Y.; Huang, Y.; Long, S.; Hu, C.; Li, X. High Mechanical Properties of Stretching Oriented Poly(butylene succinate) with Two-Step Chain Extension. Polymers 2022, 14, 1876. [Google Scholar] [CrossRef] [PubMed]
- Witt, U.; Yamamoto, M. Method for the Continuous Production Of Biodegradable Polyesters. US Patent 9040639 B2 (to BASF SE), 26 May 2015. [Google Scholar]
- Larrañaga, A.; Lizundia, E. A review on the thermomechanical properties and biodegradation behaviour of polyesters. Eur. Polym. J. 2019, 121, 109296. [Google Scholar] [CrossRef]
- Lee, H.J.; Cho, W.Y.; Lee, H.C.; Seo, Y.H.; Baek, J.W.; Lee, P.C.; Lee, B.Y. Rapid Biodegradable Ionic Aggregates of Polyesters Constructed with Fertilizer Ingredients. J. Am. Chem. Soc. 2022, 144, 15911–15915. [Google Scholar] [CrossRef]
- Abe, T.; Kamiya, T.; Otsuka, H.; Aoki, D. Plastics to fertilizer: Guiding principles for functionable and fertilizable fully bio-based polycarbonates. Polym. Chem. 2023, 14, 2469–2477. [Google Scholar] [CrossRef]
- Chen, Z.s.; Liu, T.; Dong, J.f.; Chen, G.; Li, Z.; Zhou, J.l.; Chen, Z. Sustainable Application for Agriculture Using Biochar-Based Slow-Release Fertilizers: A Review. ACS Sustain. Chem. Eng. 2023, 11, 1–12. [Google Scholar] [CrossRef]
- Mo, S.; Guo, Y.; Liu, X.; Wang, Y. Efficient depolymerization of PET over Ti-doped SBA-15 with abundant Lewis acid sites via glycolysis. Catal. Sci. Technol. 2023, 13, 6561–6569. [Google Scholar] [CrossRef]
- Casey, É.; Breen, R.; Gómez, J.S.; Kentgens, A.P.M.; Pareras, G.; Rimola, A.; Holmes, J.D.; Collins, G. Ligand-Aided Glycolysis of PET Using Functionalized Silica-Supported Fe2O3 Nanoparticles. ACS Sustain. Chem. Eng. 2023, 11, 15544–15555. [Google Scholar] [CrossRef]
- Yang, Y.; Sharma, S.; Di Bernardo, C.; Rossi, E.; Lima, R.; Kamounah, F.S.; Poderyte, M.; Enemark-Rasmussen, K.; Ciancaleoni, G.; Lee, J.-W. Catalytic Fabric Recycling: Glycolysis of Blended PET with Carbon Dioxide and Ammonia. ACS Sustain. Chem. Eng. 2023, 11, 11294–11304. [Google Scholar] [CrossRef]
- Lee, J.J.; Jeon, J.Y.; Park, J.H.; Jang, Y.; Hwang, E.Y.; Lee, B.Y. Preparation of high-molecular-weight poly(1,4-butylene carbonate-co-terephthalate) and its thermal properties. RSC Adv. 2013, 3, 25823–25829. [Google Scholar] [CrossRef]
- ASTM D882-18; Standard Test Method for Tensile Properties of Thin Plastic Sheeting. ASTM International: West Conshohocken, PA, USA, 2018.
- 17556:19; Plastics—Determination of the Ultimate Aerobic Biodegradability of Plastic Materials in Soil by Measuring the Oxygen Demand in a Respirometer or the Amount of Carbon Dioxide Evolved. ISO: Geneva, Switzerland, 2019.
- Deng, L.-M.; Wang, Y.-Z.; Yang, K.-K.; Wang, X.-L.; Zhou, Q.; Ding, S.-D. A new biodegradable copolyester poly(butylene succinate-co-ethylene succinate-co-ethylene terephthalate). Acta Mater. 2004, 52, 5871–5878. [Google Scholar] [CrossRef]
- Devroede, J.; Duchateau, R.; Koning, C.E.; Meuldijk, J. The synthesis of poly(butylene terephthalate) from terephthalic acid, part I: The influence of terephthalic acid on the tetrahydrofuran formation. J. Appl. Polym. Sci. 2009, 114, 2435–2444. [Google Scholar] [CrossRef]
- Lee, H.J.; Baek, J.W.; Kim, T.J.; Park, H.S.; Moon, S.H.; Park, K.L.; Bae, S.M.; Park, J.; Lee, B.Y. Synthesis of Long-Chain Branched Polyolefins by Coordinative Chain Transfer Polymerization. Macromolecules 2019, 52, 9311–9320. [Google Scholar] [CrossRef]
- Park, S.Y.; Chun, J.; Jeon, J.Y.; Lee, P.C.; Hwang, Y.; Song, B.G.; Ramos, R.; Ryu, C.Y.; Lee, B.Y. Branched poly(1,4-butylene carbonate-co-terephthalate)s: LDPE-like semicrystalline thermoplastics. J. Polym. Sci. Part A Polym. Chem. 2015, 53, 914–923. [Google Scholar] [CrossRef]
- Kyeremateng, S. Correlating rheological behavior with molecular weight of different pharmaceutical NaCMC grades. J. Anal. Pharm. Res. 2022, 11, 39–43. [Google Scholar]










| Entry | Copolyester a | [Monoester]:[Diester]:[Triester] b | [TET]:[TES]:[SES]:[TBT]:[TBS]:[SBS] c | Mw; Mw/Mnd (kDa) |
|---|---|---|---|---|
| 1 | [5.0T; 1.0P; 190] | 17:52:32 | 0.24:5.5:2.9:0:3.1:88 | 33; 2.1 |
| 2 | [5.0T; 1.0P; 200] | 13:45:42 | 0.27:5.6:2.6:0:3.0:89 | 45; 2.4 |
| 3 | [5.0T; 1.0P; 210] | 8:44:48 | 0.34:5.7:2.6:0:2.9:88 | 44; 2.3 |
| 4 | [5.0T; 1.0P; 220] | 0:30:70 | 0.36:5.3:3.1:0:3.3:88 | 81; 3.1 |
| 5 | [0T; 1.0P; 210] | 25:58:17 | 0:0:0:0:0:100 | 77; 2.5 |
| 6 | [10T; 1.0P; 210] | 4:36:60 | 0.89:11:4.8:0: 5.1:78 | 62; 2.9 |
| 7 | [15T; 1.0P; 210] | 2:28:70 | 1.6:16:6.8:0:3.4:72 | 70; 3.1 |
| 8 | [20T; 1.0P; 210] | 0:30:70 | 2.4:15:8.1:0:8.1:66 | 65; 2.8 |
| 9 | [5.0T; 2.0P; 210] | 10:50:40 | 0.27:5.2:3.1:0:3.5:88 | 47; 2.5 |
| 10 | [5.0T; 3.0P; 210] | 17:51:32 | 0.27:5.0:2.9:0:3.2:89 | Unfilterable |
| 11 | [0T; Ti; 230] | 0:0:0:0:0:100 | 290; 2.6 | |
| 12 | [5.0T; Ti; 230] | 0.081:1.9:7.3:0.27:7.9:83 | 310; 2.8 | |
| 13 | [10T; Ti; 230] | 0.36:4.8:12:0.66:12:71 | 310; 2.9 | |
| 14 | [15T; Ti; 230] | 0.93:8.9:14:0.88:14:62 | 220; 2.5 | |
| 15 | [20T; Ti; 230] | 1.7:12:17:1.7:15:53 | 200; 2.7 |
| Entry | Copolyesters a | Tm (°C); ΔH (J/g) | Tc (°C); ΔH (J/g) | Tcc (°C); ΔH (J/g) | Tg on DSC (°C) | Tg on DMA (°C) E′onset; E″max; tanδmax |
|---|---|---|---|---|---|---|
| 1 | [0T; 1.0P; 210; Mg] | 116; 61 | 68; 67 | 100; 2.4 | –34 | –30; –20; –14 |
| 2 | [5.0T; 1.0P; 210; Mg] | 106; 55 | 48; 55 | 87; 2.8 | –28 | –23; –16; –9.1 |
| 3 | [10T; 1.0P; 210; Mg] | 96; 47 | 28; 17 | 19; 22 | –30 | –21; –13; –5.3 |
| 4 | [15T; 1.0P; 210; Mg] | 87; 18 | n.d. | 44; 21 | –27 | –17; –7.3; 1.0 |
| 5 | [20T; 1.0P; 210; Mg] | not detected (77) b | not detected | not detected | –24 | –16; –5.3; 4.0 |
| 6 | [5.0T; 1.0P; 220; Mg] | 106; 53 | 44; 59 | 86; 4.8 | –29 | |
| 7 | [5.0T; 1.0P; 210; Zn] | 105; 54 | 43; 56 | 85; 3.2 | –29 | |
| 8 | [5.0T; 1.0P; 210; Mn] | 105; 56 | 50; 59 | 86; 3.2 | –31 | |
| 9 | [0T; Ti; 230] | 114; 61 | 65; 60 | 96; 5.3 | –34 | –29; –21; –15 |
| 10 | [5.0T; Ti; 230] | 99; 47 | 35; 47 | 77; 1.5 | –30 | –25; –18; –13 |
| 11 | [10T; Ti; 230] | 86; 33 | n.d. | 31; 39 | –31 | –23; –16; –9.0 |
| 12 | [15T; Ti; 230] | n.d. (55–85) b | n.d. | n.d. | –27 | –20; –12; –4.3 |
| 13 | [20T; Ti; 230] | n.d. (63) b | n.d. | n.d. | –23 | –18; –10; –2.0 |
| Entry | Copolyesters a | Yield Strength σy (MPa) | Elastic Modulus E (MPa) | Ultimate Strength σu (MPa) | Elongation at Break ε (%) |
|---|---|---|---|---|---|
| 1 | [0T; 1.0P; 210; Mg] | 34 ± 0.7 | 370 ± 2 | 34 ± 0.7 | 180 ± 130 |
| 2 | [5.0T; 1.0P; 210; Mg] | 26 ± 0.7 | 290 ± 3 | 26 ± 0.7 | 370 ± 30 |
| 3 | [10T; 1.0P; 210; Mg] | 17 ± 0.5 | 190 ± 6 | 24 ± 0.4 | 570 ± 20 |
| 4 | [15T; 1.0P; 210; Mg] | 13 ± 0.4 | 140 ± 6 | 21 ± 0.8 | 680 ± 30 |
| 5 | [20T; 1.0P; 210; Mg] | 10 ± 0.4 | 110 ± 4 | 18 ± 0.5 | 730 ± 40 |
| 7 | [5.0T; 1.0P; 200; Mg] | 24 ± 0.3 | 270 ± 5 | 24 ± 0.4 | 340 ± 30 |
| 8 | [5.0T; 1.0P; 220; Mg] | 22 ± 0.4 | 240 ± 7 | 22 ± 0.5 | 340 ± 80 |
| 9 | [5.0T; 2.0P; 210; Mg] | 14 ± 4 | 320 ± 40 | 14 ± 4 | 8 ± 4 |
| 10 | [5.0T; 3.0P; 210; Mg] | 14 ± 3 | 250 ± 30 | 14 ± 3 | 16 ± 10 |
| 11 | [5.0T; 1.0P; 210; Zn] | 23 ± 0.4 | 250 ± 5 | 26 ± 2 | 430 ± 90 |
| 12 | [5.0T; 1.0P; 210; Mn] | 24 ± 0.2 | 260 ± 6 | 25 ± 2 | 340 ± 50 |
| 13 | [0T; Ti; 230] | 34 ± 1 | 320 ± 9 | 34 ± 0.8 | 300 ± 90 |
| 14 | [5.0T; Ti; 230] | 19 ± 0.4 | 200 ± 4 | 37 ± 2 | 870 ± 70 |
| 15 | [10T; Ti; 230] | 14 ± 0.4 | 150 ± 6 | Not-broken | Not-broken |
| 16 | [15T; Ti; 230] | 9.6 ± 0.3 | 110 ± 4 | Not-broken | Not-broken |
| 17 | [20T; Ti; 230] | 5.4 ± 0.1 | 58 ± 2 | Not-broken | Not-broken |
Disclaimer/Publisher’s Note: The statements, opinions and data contained in all publications are solely those of the individual author(s) and contributor(s) and not of MDPI and/or the editor(s). MDPI and/or the editor(s) disclaim responsibility for any injury to people or property resulting from any ideas, methods, instructions or products referred to in the content. |
© 2024 by the authors. Licensee MDPI, Basel, Switzerland. This article is an open access article distributed under the terms and conditions of the Creative Commons Attribution (CC BY) license (https://creativecommons.org/licenses/by/4.0/).
Share and Cite
Park, S.U.; Seo, H.J.; Seo, Y.H.; Park, J.Y.; Kim, H.; Cho, W.Y.; Lee, P.C.; Lee, B.Y. Ductile Copolyesters Prepared Using Succinic Acid, 1,4-Butanediol, and Bis(2-hydroxyethyl) Terephthalate with Minimizing Generation of Tetrahydrofuran. Polymers 2024, 16, 519. https://doi.org/10.3390/polym16040519
Park SU, Seo HJ, Seo YH, Park JY, Kim H, Cho WY, Lee PC, Lee BY. Ductile Copolyesters Prepared Using Succinic Acid, 1,4-Butanediol, and Bis(2-hydroxyethyl) Terephthalate with Minimizing Generation of Tetrahydrofuran. Polymers. 2024; 16(4):519. https://doi.org/10.3390/polym16040519
Chicago/Turabian StylePark, Sang Uk, Hyeon Jeong Seo, Yeong Hyun Seo, Ju Yong Park, Hyunjin Kim, Woo Yeon Cho, Pyung Cheon Lee, and Bun Yeoul Lee. 2024. "Ductile Copolyesters Prepared Using Succinic Acid, 1,4-Butanediol, and Bis(2-hydroxyethyl) Terephthalate with Minimizing Generation of Tetrahydrofuran" Polymers 16, no. 4: 519. https://doi.org/10.3390/polym16040519
APA StylePark, S. U., Seo, H. J., Seo, Y. H., Park, J. Y., Kim, H., Cho, W. Y., Lee, P. C., & Lee, B. Y. (2024). Ductile Copolyesters Prepared Using Succinic Acid, 1,4-Butanediol, and Bis(2-hydroxyethyl) Terephthalate with Minimizing Generation of Tetrahydrofuran. Polymers, 16(4), 519. https://doi.org/10.3390/polym16040519

