Epoxy-Based Copper (Cu) Sintering Pastes for Enhanced Bonding Strength and Preventing Cu Oxidation after Sintering
Abstract
1. Introduction
2. Experimental
2.1. Materials
2.2. Fabrication of Cu Sintering Pastes
2.3. Fabrication of Sintered Cu Pastes
2.4. Characterization
2.4.1. Thermal Properties
2.4.2. Electrical and Thermal Conductivities
2.4.3. Morphology
2.4.4. Atomic Analysis
2.4.5. Mechanical Properties
3. Results and Discussion
3.1. Miscibility and Stability of Cu Pastes
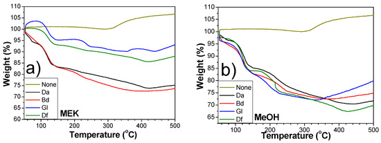
3.2. Thermal Properties of Cu Pastes
3.3. Electrical and Thermal Conductivities of Sintered Cu Chips
3.4. Morphology of Sintered Cu Chips
3.5. Atomic Analysis of Sintered Cu Chips
3.6. Mechanical Properties of Sintered Cu Chips
4. Conclusions
Author Contributions
Funding
Institutional Review Board Statement
Data Availability Statement
Conflicts of Interest
References
- Tsukada, Y.; Kobayashi, K.; Nishimura, H. Trend of Semiconductor Packaging, High Density and Low Cost. In Proceedings of the 4th International Symposium on Electronic Materials and Packaging, Kaohsiung, Taiwan, 4–6 December 2002; pp. 1–6. [Google Scholar]
- Dietrich, P. Trends in Automotive Power Semiconductor Packaging. Microelectron. Reliab. 2013, 53, 1681–1686. [Google Scholar] [CrossRef]
- Yim, M.J.; Paik, K.W. Recent Advances on Anisotropic Conductive Adhesives (ACAs) for Flat Panel Displays and Semiconductor Packaging Applications. Int. J. Adhes. Adhes. 2006, 26, 304–313. [Google Scholar] [CrossRef]
- Jang, K.-S.; Eom, Y.-S.; Choi, K.-S.; Bae, H.-C. Crosslinkable Deoxidizing Hybrid Adhesive of Epoxy–Diacid for Electrical Interconnections in Semiconductor Packaging. Polym. Int. 2018, 67, 1241–1247. [Google Scholar] [CrossRef]
- Yim, M.J.; Li, Y.; Moon, K.; Paik, K.W.; Wong, C.P. Review of Recent Advances in Electrically Conductive Adhesive Materials and Technologies in Electronic Packaging. J. Adhes. Sci. Technol. 2008, 22, 1593–1630. [Google Scholar] [CrossRef]
- Martin, S.J.; Godschalx, J.P.; Mills, M.E.; Shaffer, E.O., II; Townsend, P.H. Development of a Low-Dielectric-Constant Polymer for the Fabrication of Integrated Circuit Interconnect. Adv. Mater. 2000, 12, 1769–1778. [Google Scholar] [CrossRef]
- Ravelo, B.; Maurice, O. Kron–Branin Modeling of Y-Y-Tree Interconnects for the PCB Signal Integrity Analysis. IEEE Trans. Electromagn. Compat. 2017, 59, 411–419. [Google Scholar] [CrossRef]
- Ramminger, S.; Türkes, P.; Wachutka, G. Crack Mechanism in Wire Bonding Joints. Microelectron. Reliab. 1998, 38, 1301–1305. [Google Scholar] [CrossRef]
- Jang, K.-S.; Eom, Y.-S.; Choi, K.-S.; Bae, H.-C. Synchronous Curable Deoxidizing Capability of Epoxy–Anhydride Adhesive: Deoxidation Quantification via Spectroscopic Analysis. J. Appl. Polym. Sci. 2018, 135, 46639. [Google Scholar] [CrossRef]
- Jang, K.-S.; Eom, Y.-S.; Choi, K.-S.; Bae, H.-C. Versatile Epoxy/Phenoxy/Anhydride-Based Hybrid Adhesive Films for Deoxidization and Electrical Interconnection. Ind. Eng. Chem. Res. 2018, 57, 7181–7187. [Google Scholar] [CrossRef]
- Wu, C.M.L.; Lai, J.K.L.; Wu, Y. Effect of Cracks on Thermal Stress and Strain of a Tape Automated Bonded Package. Compos. Struct. 1997, 38, 525–530. [Google Scholar] [CrossRef]
- Shen, W.-W.; Chen, K.-N. Three-Dimensional Integrated Circuit (3D IC) Key Technology: Through-Silicon Via (TSV). Nanoscale Res. Lett. 2017, 12, 56. [Google Scholar] [CrossRef] [PubMed]
- Lee, B.-Y.; Lee, D.-H.; Jang, K.-S. Impact Modifiers and Compatibilizers for Versatile Epoxy-Based Adhesive Films with Curing and Deoxidizing Capabilities. Polymers 2021, 13, 1129. [Google Scholar] [CrossRef]
- Zhou, H.; Zhang, Y.; Cao, J.; Su, C.; Li, C.; Chang, A.; An, B. Research Progress on Bonding Wire for Microelectronic Packaging. Micromachines 2023, 14, 432. [Google Scholar] [CrossRef] [PubMed]
- Kim, S.-C.; Kim, Y.-H. Review Paper: Flip Chip Bonding with Anisotropic Conductive Film (ACF) and Nonconductive Adhesive (NCA). Curr. Appl. Phys. 2013, 13, S14–S25. [Google Scholar] [CrossRef]
- Kumar, P.; Dutta, I.; Bakir, M.S. Interfacial Effects During Thermal Cycling of Cu-Filled Through-Silicon Vias (TSV). J. Electron. Mater. 2012, 41, 322–335. [Google Scholar] [CrossRef]
- Pendse, R.D.; Zhou, P. Methodology for Predicting Solder Joint Reliability in Semiconductor Packages. Microelectron. Reliab. 2002, 42, 301–305. [Google Scholar] [CrossRef]
- Chen, T.F.; Siow, K.S. Comparing the Mechanical and Thermal-Electrical Properties of Sintered Copper (Cu) and Sintered Silver (Ag) Joints. J. Alloys Compd. 2021, 866, 158783. [Google Scholar] [CrossRef]
- Exner, H.E.; Arzt, E. Sintering Processes. In Sintering Key Papers; Sōmiya, S., Moriyoshi, Y., Eds.; Springer: Dordrecht, The Netherlands, 1990; pp. 157–184. ISBN 978-94-010-6818-5. [Google Scholar]
- Chen, C.; Suganuma, K. Microstructure and Mechanical Properties of Sintered Ag Particles with Flake and Spherical Shape from Nano to Micro Size. Mater. Des. 2019, 162, 311–321. [Google Scholar] [CrossRef]
- Chen, C.; Yeom, J.; Choe, C.; Liu, G.; Gao, Y.; Zhang, Z.; Zhang, B.; Kim, D.; Suganuma, K. Necking Growth and Mechanical Properties of Sintered Ag Particles with Different Shapes under Air and N2 Atmosphere. J. Mater. Sci. 2019, 54, 13344–13357. [Google Scholar] [CrossRef]
- Peng, Y.; Mou, Y.; Liu, J.; Chen, M. Fabrication of High-Strength Cu–Cu Joint by Low-Temperature Sintering Micron–Nano Cu Composite Paste. J. Mater. Sci. Mater. Electron. 2020, 31, 8456–8463. [Google Scholar] [CrossRef]
- Akbarpour, M.R.; Mousa Mirabad, H.; Khalili Azar, M.; Kakaei, K.; Kim, H.S. Synergistic Role of Carbon Nanotube and SiCn Reinforcements on Mechanical Properties and Corrosion Behavior of Cu-Based Nanocomposite Developed by Flake Powder Metallurgy and Spark Plasma Sintering Process. Mater. Sci. Eng. A 2020, 786, 139395. [Google Scholar] [CrossRef]
- Li, J.; Li, X.; Wang, L.; Mei, Y.-H.; Lu, G.-Q. A Novel Multiscale Silver Paste for Die Bonding on Bare Copper by Low-Temperature Pressure-Free Sintering in Air. Mater. Des. 2018, 140, 64–72. [Google Scholar] [CrossRef]
- Yoon, J.-W.; Back, J.-H. Effect of Sintering Conditions on the Mechanical Strength of Cu-Sintered Joints for High-Power Applications. Materials 2018, 11, 2105. [Google Scholar] [CrossRef] [PubMed]
- Kim, J.S.; Kim, E.; Kim, D.H. Preparation of Adhesion Promoter for Lead Frame Adhesion and Application to Epoxy Composite. Elastomers Compos. 2022, 57, 48–54. [Google Scholar] [CrossRef]
- Parker, R.E.; Isaacs, N.S. Mechanisms of Epoxide Reactions. Chem. Rev. 1959, 59, 737–799. [Google Scholar] [CrossRef]
- Yun, H.K.; Cho, K.; An, J.H.; Park, C.E. Adhesion Improvement of Copper/Epoxy Joints. J. Mater. Sci. 1992, 27, 5811–5817. [Google Scholar] [CrossRef]
- Ahn, B.H. Synthesis of Polyimide Derived from 4-Methyl-1,2-Phenylene Bis(4-Aminobenzoate) and 4,4′-Hexafluoroisopropylidenediphthalic Anhydride. Elastomers Compos. 2023, 58, 26–31. [Google Scholar] [CrossRef]
- Prolongo, S.G.; del Rosario, G.; Ureña, A. Comparative Study on the Adhesive Properties of Different Epoxy Resins. Int. J. Adhes. Adhes. 2006, 26, 125–132. [Google Scholar] [CrossRef]
- Celebi Efe, G.; Yener, T.; Altinsoy, I.; Ipek, M.; Zeytin, S.; Bindal, C. The Effect of Sintering Temperature on Some Properties of Cu–SiC Composite. J. Alloys Compd. 2011, 509, 6036–6042. [Google Scholar] [CrossRef]
- Lin, Y.; Huang, X.; Chen, J.; Jiang, P. Epoxy Thermoset Resins with High Pristine Thermal Conductivity. High Volt. 2017, 2, 139–146. [Google Scholar] [CrossRef]
- Corbin, S.F.; Lucier, P. Thermal Analysis of Isothermal Solidification Kinetics Duirng Transient Liquid-Phase Sintering. Metall. Mater. Trans. A 2001, 32, 971–978. [Google Scholar] [CrossRef]
- Schomer, D.L.; da Silva, F.L. Niedermeyer’s Electroencephalography: Basic Principles, Clinical Applications, and Related Fields; Lippincott Williams & Wilkins: Philadelphia, PA, USA, 2012; ISBN 978-1-4511-5315-6. [Google Scholar]
- Measurement of Sheet Resistivities with the Four-Point Probe|Nokia Bell Labs Journals & Magazine|IEEE Xplore. Available online: https://ieeexplore.ieee.org/document/6773368 (accessed on 29 August 2023).
- Fuggle, J.C.; Umbach, E.; Menzel, D.; Wandelt, K.; Brundle, C.R. Adsorbate Line Shapes and Multiple Lines in XPS; Comparison of Theory and Experiment. Solid State Commun. 1978, 27, 65–69. [Google Scholar] [CrossRef]
- Chasoglou, D.; Hryha, E.; Norell, M.; Nyborg, L. Characterization of Surface Oxides on Water-Atomized Steel Powder by XPS/AES Depth Profiling and Nano-Scale Lateral Surface Analysis. Appl. Surf. Sci. 2013, 268, 496–506. [Google Scholar] [CrossRef]
- Hofstetter, Y.J.; Vaynzof, Y. Quantifying the Damage Induced by X-Ray Photoelectron Spectroscopy Depth Profiling of Organic Conjugated Polymers. ACS Appl. Polym. Mater. 2019, 1, 1372–1381. [Google Scholar] [CrossRef]
- Lee, B.-S.; Yoon, J.-W. Die-Attach for Power Devices Using the Ag Sintering Process: Interfacial Microstructure and Mechanical Strength. Met. Mater. Int. 2017, 23, 958–963. [Google Scholar] [CrossRef]
- Kim, S.J.; Kim, S.; Lee, J.; Jo, Y.; Seo, Y.-S.; Lee, M.; Lee, Y.; Cho, C.R.; Kim, J.; Cheon, M.; et al. Color of Copper/Copper Oxide. Adv. Mater. 2021, 33, 2007345. [Google Scholar] [CrossRef]
- Joo, S.; Baldwin, D.F. Performance of Silver Nano Particles as an Electronics Packaging Interconnects Material. In Proceedings of the 2007 Proceedings 57th Electronic Components and Technology Conference, Sparks, NV, USA, 29 May–1 June 2007; pp. 219–226. [Google Scholar]
- Yang, J.H.; Yun, J.-H.; Kim, H.-S.; Hong, J.S.; Ahn, K.H. Dispersion of Unfractionated Microalgae in Various Polymers and Its Influence on Rheological and Mechanical Properties. Korea-Aust. Rheol. J. 2023, 35, 19–29. [Google Scholar] [CrossRef]
- Jeong, J.W.; Song, Y.S. Surface Characteristics of Metal-like Composites Fabricated with Aliphatic Polyketone. Korea-Aust. Rheol. J. 2023, 35, 169–178. [Google Scholar] [CrossRef]
- Gouri, C.; Ramaswamy, R.; Ninan, K.N. Studies on the Adhesive Properties of Solid Elastomer-Modified Novolac Epoxy Resin. Int. J. Adhes. Adhes. 2000, 20, 305–314. [Google Scholar] [CrossRef]
- Toughening of Epoxy Systems by Brominated Epoxy—Sheinbaum—2019—Polymer Engineering & Science—Wiley Online Library. Available online: https://4spepublications.onlinelibrary.wiley.com/doi/10.1002/pen.24890 (accessed on 29 August 2023).
- Lam, N.H.; Smith, R.P.; Le, N.; Thuy, C.T.T.; Tamboli, M.S.; Tamboli, A.M.; Alshehri, S.; Ghoneim, M.M.; Truong, N.T.N.; Jung, J.H. Evaluation of the Structural Deviation of Cu/Cu2O Nanocomposite Using the X-ray Diffraction Analysis Methods. Crystals 2022, 12, 566. [Google Scholar] [CrossRef]
- Ashok, C.H.; Rao, K.V.; Chakra, C.S. Structural Analysis of CuO Nanomaterials: Prepared by Novel Microwave-Assisted Method. J. At. Mol. 2014, 4, 803–806. [Google Scholar]
- Isah, K.; Bakeko, M.; Ahmadu, U.; Uno, U.E.; Mohammed Kimpa, I.; Yabagi, J. Effect of Oxidation Temperature on the Properties of Copper Oxide Thin Films Prepared from Thermally Oxidised Evaporated Copper Thin Films. IOSR J. Appl. Phys. 2013, 3, 61–66. [Google Scholar]




















| Epoxy: Acid | Epoxy (g) | Acid (g) | Solvent (mL) | Cu Powder (g) |
|---|---|---|---|---|
| 0:100 | 0 | 1 | 2.3 | 4 |
| 20:80 | 0.2 | 0.8 | 1.8 | 4 |
| 40:60 | 0.4 | 0.6 | 1.3 | 4 |
| 60:40 | 0.6 | 0.4 | 0.8 | 4 |
| 80:20 | 0.8 | 0.2 | 0.3 | 4 |
| D/S | Correction Factor of Circular-Shaped Sample Size for Pin Spacing; C |
|---|---|
| 4.0 | 2.9289 |
| 5.0 | 3.3625 |
| 7.5 | 3.9273 |
| 10.0 | 4.1716 |
| 15.0 | 4.3646 |
| 20.0 | 4.4364 |
| 40.0 | 4.5076 |
| ∞ | 4.5324 |
| Name | Without Epoxy | Da | Bd | Gl | Df | ||||||||
|---|---|---|---|---|---|---|---|---|---|---|---|---|---|
| °C a | 250 | 200 | 250 | 300 | 200 | 250 | 300 | 200 | 250 | 300 | 200 | 250 | 300 |
| Cu2p | 81.1 | 14.8 | 65.4 | 47.7 | 14.4 | 76.6 | 57.6 | 12.2 | 70.9 | 63.7 | 39.9 | 83.8 | 53.6 |
| C1s | - | 79.3 | 31.1 | 44.9 | 80.6 | 9.8 | 31.2 | 82.2 | 24.3 | 31.5 | 56.0 | 12.1 | 42.3 |
| O1s | 19.0 | 5.85 | 3.48 | 7.33 | 5.01 | 13.6 | 11.2 | 5.6 | 4.8 | 4.9 | 4.4 | 4.2 | 4.1 |
| Name | Without Epoxy | Da | Bd | Gl | Df | ||||||||
|---|---|---|---|---|---|---|---|---|---|---|---|---|---|
| °C a | 250 | 200 | 250 | 300 | 200 | 250 | 300 | 200 | 250 | 300 | 200 | 250 | 300 |
| Cu2p | 81.1 | 31.4 | 33.1 | 57.0 | 15.8 | 46.6 | 4.6 | 12.2 | 37.6 | 37.8 | 39.6 | 42.7 | 74.4 |
| C1s | - | 63.7 | 61.4 | 34.1 | 78.9 | 45.9 | 84.1 | 82.2 | 52.1 | 17.3 | 56.0 | 51.8 | 5.4 |
| O1s | 19.0 | 4.9 | 5.6 | 8.9 | 5.4 | 7.5 | 11.3 | 5.6 | 10.3 | 45.0 | 4.4 | 5.6 | 20.2 |
| Electrical Conductivity (S/m) | Thermal Conductivity (W/m·K) | O Atomic % (%) | ||||
|---|---|---|---|---|---|---|
| 0 h | 1 month | 0 h | 1 month | 0 h | 1 month | |
| None | 2.00 × 10³ | 0.80 × 10³ | 249 | 111 | 19.0 | 37.6 |
| Da | 1.20 × 10³ | 1.00 × 10³ | 188 | 161 | 3.5 | 4.5 |
| Bd | 1.22 × 10³ | 0.84 × 10³ | 147 | 109 | 13.6 | 14.1 |
| Gl | 1.24 × 10³ | 0.88 × 10³ | 145 | 107 | 4.8 | 5.7 |
| Df | 1.24 × 10³ | 1.04 × 10³ | 181 | 155 | 4.2 | 5.2 |
| Electrical Conductivity (S/m) | Thermal Conductivity (W/m·K) | O Atomic % (%) | ||||
|---|---|---|---|---|---|---|
| 0 h | 1 month | 0 h | 1 month | 0 h | 1 month | |
| None | 2.50 × 10³ | 0.90 × 10³ | 241 | 110 | 19.0 | 37.6 |
| Da | 2.00 × 10³ | 1.72 × 10³ | 175 | 148 | 5.6 | 6.1 |
| Bd | 1.20 × 10³ | 0.90 × 10³ | 151 | 111 | 7.5 | 8.2 |
| Gl | 1.00 × 10³ | 0.90 × 10³ | 145 | 101 | 10.3 | 12.3 |
| Df | 1.20 × 10³ | 1.11 × 10³ | 168 | 138 | 5.6 | 6.9 |
Disclaimer/Publisher’s Note: The statements, opinions and data contained in all publications are solely those of the individual author(s) and contributor(s) and not of MDPI and/or the editor(s). MDPI and/or the editor(s) disclaim responsibility for any injury to people or property resulting from any ideas, methods, instructions or products referred to in the content. |
© 2024 by the authors. Licensee MDPI, Basel, Switzerland. This article is an open access article distributed under the terms and conditions of the Creative Commons Attribution (CC BY) license (https://creativecommons.org/licenses/by/4.0/).
Share and Cite
Han, S.-j.; Lee, S.; Jang, K.-S. Epoxy-Based Copper (Cu) Sintering Pastes for Enhanced Bonding Strength and Preventing Cu Oxidation after Sintering. Polymers 2024, 16, 398. https://doi.org/10.3390/polym16030398
Han S-j, Lee S, Jang K-S. Epoxy-Based Copper (Cu) Sintering Pastes for Enhanced Bonding Strength and Preventing Cu Oxidation after Sintering. Polymers. 2024; 16(3):398. https://doi.org/10.3390/polym16030398
Chicago/Turabian StyleHan, Seong-ju, Seungyeon Lee, and Keon-Soo Jang. 2024. "Epoxy-Based Copper (Cu) Sintering Pastes for Enhanced Bonding Strength and Preventing Cu Oxidation after Sintering" Polymers 16, no. 3: 398. https://doi.org/10.3390/polym16030398
APA StyleHan, S.-j., Lee, S., & Jang, K.-S. (2024). Epoxy-Based Copper (Cu) Sintering Pastes for Enhanced Bonding Strength and Preventing Cu Oxidation after Sintering. Polymers, 16(3), 398. https://doi.org/10.3390/polym16030398

