Durability of Ultem 9085 in Marine Environments: A Consideration in Fused Filament Fabrication of Structural Components
Abstract
1. Introduction
2. Materials and Methods
2.1. Materials and Printing
2.2. Accelerated Aging
2.3. Water Uptake
2.4. Profilometry
2.5. Microcomputed Tomography
2.6. Tensile Testing
2.7. Thermogravimetric Analysis and Differential Scanning Calorimetry
2.8. Raman Spectroscopy
3. Results
3.1. Mechanical Properties
3.2. Failure Characteristics and Contributions
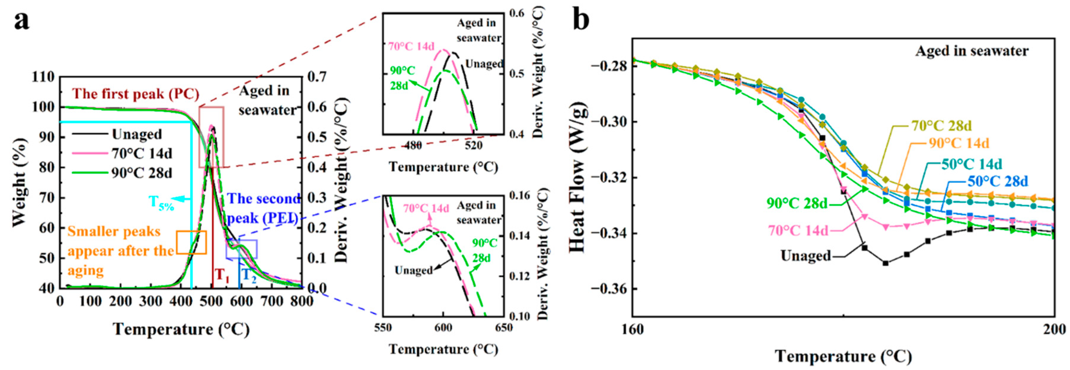
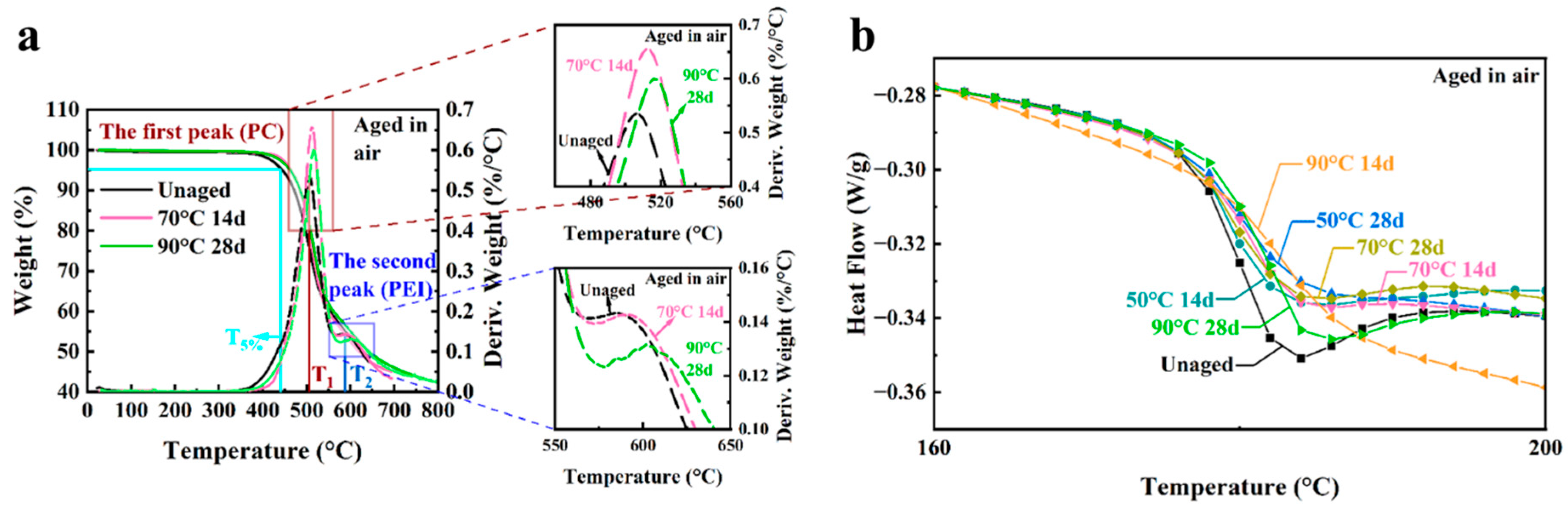
3.3. Thermal Properties (TGA and DSC)
3.4. Analysis of Molecular Composition (Raman)
4. Discussion
4.1. Property Changes Following Accelerated Aging
4.2. Comparisons of Air vs. Marine Aging
4.3. Relevant Prior Work
4.4. Limitations
5. Conclusions
- 1.
- Results of accelerated aging in seawater showed there was a significant increase in elastic modulus and both yield and ultimate tensile strength. However, there was a decrease in strain to failure. In air, there was also an increase in yield and ultimate tensile strength. The most substantial change in properties with aging was in the magnitude of yield strength with increasing temperature.
- 2.
- Results from TGA revealed that the accelerated aging protocol caused hydrolytic degradation in the PC of Ultem 9085 and appeared most responsible for the decrease in strain to failure. The degradation in strain to failure reached significance when the material was aged in seawater at the highest temperature (90 °C).
- 3.
- According to the results of Raman analysis, physical aging occurred in PEI and PC and contributed to the improvement in elastic modulus and strength, with accelerated aging. The process of accelerated aging in air resulted in physical aging without hydrolytic degradation and showed that there was negligible degradation in strain to failure with increasing aging time or temperature.
- 4.
- Premature or unacceptable failures occurred in some of the tensile specimens of both types (Type 1 and Type 4) due to the voids located between the infill and contour outlines of the tensile specimens. These internal defects posed inherent stress concentrations and were most detrimental to the Type I tensile specimens. There appears to be a need to modify the specimen geometry of the ASTM standard D638 to support more reliable characterization of the mechanical properties of polymers if they are produced by FFF.
- 5.
- When conducting accelerating aging tests of polymers in marine environments, it is important to recognize that physical aging is one of the contributing mechanisms. Consequently, choosing a proper aging protocol that excludes the effects of physical aging may be necessary to isolate the effects of the other aging mechanisms.
Supplementary Materials
Author Contributions
Funding
Institutional Review Board Statement
Data Availability Statement
Acknowledgments
Conflicts of Interest
References
- Tofail, S.A.M.; Koumoulos, E.P.; Bandyopadhyay, A.; Bose, S.; O’Donoghue, L.; Charitidis, C. Additive Manufacturing: Scientific and Technological Challenges, Market Uptake and Opportunities. Mater. Today 2018, 21, 22–37. [Google Scholar] [CrossRef]
- Shahrubudin, N.; Lee, T.C.; Ramlan, R. An Overview on 3D Printing Technology: Technological, Materials, and Applications. Procedia Manuf. 2019, 35, 1286–1296. [Google Scholar] [CrossRef]
- Mohammed, J.S. Applications of 3D Printing Technologies in Oceanography. Methods Oceanogr. 2016, 17, 97–117. [Google Scholar] [CrossRef]
- Głowacki, M.; Mazurkiewicz, A.; Słomion, M.; Skórczewska, K. Resistance of 3D-Printed Components, Test Specimens and Products to Work under Environmental Conditions—Review. Materials 2022, 15, 6162. [Google Scholar] [CrossRef] [PubMed]
- Zaldivar, R.J.; Mclouth, T.D.; Ferrelli, G.L.; Patel, D.N.; Hopkins, A.R.; Witkin, D. Effect of Initial Filament Moisture Content on the Microstructure and Mechanical Performance of ULTEM® 9085 3D Printed Parts. Addit. Manuf. 2018, 24, 457–466. [Google Scholar] [CrossRef]
- Zaldivar, R.J.; Witkin, D.B.; McLouth, T.; Patel, D.N.; Schmitt, K.; Nokes, J.P. Influence of Processing and Orientation Print Effects on the Mechanical and Thermal Behavior of 3D-Printed ULTEM® 9085 Material. Addit. Manuf. 2017, 13, 71–80. [Google Scholar] [CrossRef]
- Montalvão, G.R.; Moshrefi-Torbati, M.; Hamilton, A.; Machado, R.; João, A. Behaviour of 3D Printed PLA and PLA-PHA in Marine Environments. In Proceedings of the IOP Conference Series: Earth and Environmental Science, Singapore, 13–15 August 2020; Volume 424, p. 012013. [Google Scholar]
- Kafodya, I.; Xian, G.; Li, H. Durability Study of Pultruded CFRP Plates Immersed in Water and Seawater under Sustained Bending: Water Uptake and Effects on the Mechanical Properties. Compos. Part B Eng. 2015, 70, 138–148. [Google Scholar] [CrossRef]
- Tual, N.; Carrere, N.; Davies, P.; Bonnemains, T.; Lolive, E. Characterization of Sea Water Ageing Effects on Mechanical Properties of Carbon/Epoxy Composites for Tidal Turbine Blades. Compos. Part A Appl. Sci. Manuf. 2015, 78, 380–389. [Google Scholar] [CrossRef]
- Nicholas, J.; Mohamed, M.; Dhaliwal, G.S.; Anandan, S.; Chandrashekhara, K. Effects of Accelerated Environmental Aging on Glass Fiber Reinforced Thermoset Polyurethane Composites. Compos. Part B Eng. 2016, 94, 370–378. [Google Scholar] [CrossRef]
- Abdurohman, K.; Adhitya, M. Effect of Water and Seawater on Mechanical Properties of Fiber Reinforced Polymer Composites: A Review for Amphibious Aircraft Float Development. In Proceedings of the IOP Conference Series: Materials Science and Engineering, Jakarta, Indonesia, 9–10 October 2019; Volume 694, p. 012035. [Google Scholar]
- Saroia, J.; Wang, Y.; Wei, Q.; Lei, M.; Li, X.; Guo, Y.; Zhang, K. A Review on 3D Printed Matrix Polymer Composites: Its Potential and Future Challenges. Int. J. Adv. Manuf. Technol. 2020, 106, 1695–1721. [Google Scholar] [CrossRef]
- Gebisa, A.W.; Lemu, H.G. Influence of 3D Printing FDM Process Parameters on Tensile Property of ULTEM 9085. Procedia Manuf. 2019, 30, 331–338. [Google Scholar] [CrossRef]
- Pham, K.D.; O’Brien, W.F.; Case, S.W. Characterizing Static and Dynamic Mechanical Properties for Additive Manufactured ULTEM 9085 Used to Construct Flow Control Devices for Turbomachinery Applications. In Proceedings of the ASME Turbo Expo 2018: Turbomachinery Technical Conference and Exposition, Oslo, Norway, 11–15 June 2018; Volume 6: Ceramics; Controls, Diagnostics, and Instrumentation; Education; Manufacturing Materials and Metallurgy. p. V006T24A008. [Google Scholar]
- Murdy, P.; O’Dell, J.; Barnes, D.; McVey, J.R.; Rumple, C. Investigating Marine Environmental Degradation of Additive Manufacturing Materials for Renewable Energy Applications. In Proceedings of the Composites and Advanced Materials Expo, Atlanta, GA, USA, 30 October–2 November 2023. [Google Scholar]
- Aguilar, D.; Christensen, S.; Fox, E. 3-D Printed Ultem 9085 Testing and Analysis; SPH-04-XS-100; National Aeronautics and Space Administration, Ames Research Center: Moffett Field, CA, USA, 2015. Available online: https://ntrs.nasa.gov/citations/20150017060 (accessed on 16 January 2024).
- Fischer, M.; Schöppner, V. Fatigue Behavior of FDM Parts Manufactured with Ultem 9085. JOM 2017, 69, 563–568. [Google Scholar] [CrossRef]
- Byberg, K.I.; Gebisa, A.W.; Lemu, H.G. Mechanical Properties of ULTEM 9085 Material Processed by Fused Deposition Modeling. Polym. Test. 2018, 72, 335–347. [Google Scholar] [CrossRef]
- Ng, M.B.; Brennan, S.N. Mechanical Performance Analysis of ULTEM 9085 in a Heated, Irradiated Environment. In Proceedings of the ASME International Mechanical Engineering Congress and Exposition, Pittsburgh, PA, USA, 9–15 November 2018; p. V009T12A020. [Google Scholar]
- Kaplun, B.W.; Zhou, R.; Jones, K.W.; Dunn, M.L.; Yakacki, C.M. Influence of Orientation on Mechanical Properties for High-Performance Fused Filament Fabricated Ultem 9085 and Electro-Statically Dissipative Polyetherketoneketone. Addit. Manuf. 2020, 36, 101527. [Google Scholar] [CrossRef]
- Padovano, E.; Galfione, M.; Concialdi, P.; Lucco, G.; Badini, C. Mechanical and Thermal Behavior of Ultem® 9085 Fabricated by Fused-Deposition Modeling. Appl. Sci. 2020, 10, 3170. [Google Scholar] [CrossRef]
- Rehman, F.; Diston, J. Material characterization of a high performance additive manufacturing material for efficient component design. Int. Res. J. Eng. Technol. 2020, 7, 4466–4471. [Google Scholar]
- Kobenko, S.; Dejus, D.; Jātnieks, J.; Pazars, D.; Glaskova-Kuzmina, T. Structural Integrity of the Aircraft Interior Spare Parts Produced by Additive Manufacturing. Polymers 2022, 14, 1538. [Google Scholar] [CrossRef] [PubMed]
- Polyetherimide (PEI): A Comprehensive Review. Omnexus. Available online: https://omnexus.specialchem.com/selection-guide/polyetherimide-pei-high-heat-plastic (accessed on 19 October 2023).
- Polycarbonate (PC). British Plastics Federation. Available online: https://www.bpf.co.uk/plastipedia/polymers/Polycarbonate.aspx (accessed on 19 October 2023).
- Comprehensive Guide on Polycarbonate (PC). Omnexus. Available online: https://omnexus.specialchem.com/selection-guide/polycarbonate-pc-plastic (accessed on 19 October 2023).
- Shelton, T.E.; Willburn, Z.A.; Hartsfield, C.R.; Cobb, G.R.; Cerri, J.T.; Kemnitz, R.A. Effects of Thermal Process Parameters on Mechanical Interlayer Strength for Additively Manufactured Ultem 9085. Polym. Test. 2020, 81, 106255. [Google Scholar] [CrossRef]
- McLouth, T.D.; Gustafson, S.M.; Kim, H.I.; Zaldivar, R.J. Enhancement of FDM ULTEM® 9085 Bond Strength via Atmospheric Plasma Treatment. J. Manuf. Process. 2021, 66, 179–188. [Google Scholar] [CrossRef]
- Glaskova-Kuzmina, T.; Dejus, D.; Jātnieks, J.; Kruuv, P.-P.; Zolotarjovs, A.; Einbergs, E.; Vanags, E. Effect of Printing Direction and Post-Printing Conditions on Bending Properties of ULTEM 9085. J. Compos. Sci. 2023, 7, 316. [Google Scholar] [CrossRef]
- Zhang, Y.; Moon, S.K. The Effect of Annealing on Additive Manufactured ULTEM™ 9085 Mechanical Properties. Materials 2021, 14, 2907. [Google Scholar] [CrossRef]
- De Bruijn, A.C.; Gómez-Gras, G.; Pérez, M.A. Thermal Annealing as a Post-Process for Additively Manufactured Ultem 9085 Parts. Procedia Comput. Sci. 2022, 200, 1308–1317. [Google Scholar] [CrossRef]
- Bagsik, A.; Schöppner, V.; Klemp, E. Long-term Ageing Effects on Fused Deposition Modeling Parts Manufactured with Ultem*9085. In Proceedings of the 23rd Annual International Solid Freeform Fabrication Symposium—An Additive Manufacturing Conference, Austin, TX, USA, 6–8 August 2012. [Google Scholar]
- Gallagher, W.R. Investigation of Ultem 9085 for Use in Printed Orbital Structures. Master’s Thesis, Air Force Institute of Technology, Dayton, OH, USA, 2020. [Google Scholar]
- LeBlanc, J.; Shattuck, L.; Warner, E.; Javier, C.; Chenwi, I.; Chu, T.; Shukla, A. Effect of High Pressure Salt Water Absorption on the Mechanical Characteristics of Additively Manufactured Polymers. Int. J. Lightweight Mater. Manuf. 2023, 6, 379–391. [Google Scholar] [CrossRef]
- Cowie, J.M.G.; Arrighi, V. Physical Aging of Polymer Blends. In Polymer Blends Handbook, 2nd ed.; Utracki, L.A., Wilkie, C.A., Eds.; Springer: Dordrecht, The Netherlands, 2014; pp. 1357–1394. [Google Scholar]
- Elias, H.-G. Chemical Aging. In Macromolecules: Volume 1—Structure and Properties; Elias, H.-G., Ed.; Springer: Boston, MA, USA, 1977; pp. 843–859. [Google Scholar]
- Sepe, M. The Mystery of Physical Aging, Part 1: Knowing the Difference. Plastic Technology. Available online: https://www.ptonline.com/articles/the-mystery-of-physical-aging-part-1 (accessed on 20 October 2023).
- Maxwell, A.S.; Broughton, W.R.; Dean, G.; Sims, G. Review of Accelerated Ageing Methods and Lifetime Prediction Techniques for Polymeric Materials; DEPC-MPR 016; National Physical Laboratory: London, UK, 2005; Available online: http://eprintspublications.npl.co.uk/id/eprint/3161 (accessed on 18 January 2024).
- Davies, P.; Evrard, G. Accelerated Ageing of Polyurethanes for Marine Applications. Polym. Degrad. Stab. 2007, 92, 1455–1464. [Google Scholar] [CrossRef]
- Tocháček, J.; Vrátníčková, Z. Polymer Life-Time Prediction: The Role of Temperature in UV Accelerated Ageing of Polypropylene and Its Copolymers. Polym. Test. 2014, 36, 82–87. [Google Scholar] [CrossRef]
- Bergaliyeva, S.; Sales, D.L.; Delgado, F.J.; Bolegenova, S.; Molina, S.I. Effect of Thermal and Hydrothermal Accelerated Aging on 3D Printed Polylactic Acid. Polymers 2022, 14, 5256. [Google Scholar] [CrossRef] [PubMed]
- Frigione, M.; Rodríguez-Prieto, A. Can Accelerated Aging Procedures Predict the Long Term Behavior of Polymers Exposed to Different Environments? Polymers 2021, 13, 2688. [Google Scholar] [CrossRef] [PubMed]
- Tosto, C.; Saitta, L.; Pergolizzi, E.; Blanco, I.; Celano, G.; Cicala, G. Methods for the characterization of polyetherimide based materials processed by fused deposition modelling. Appl. Sci. 2020, 10, 3195. [Google Scholar] [CrossRef]
- ASTM D638-14; Standard Test Method for Tensile Properties of Plastics. ASTM International: West Conshohocken, PA, USA, 2014.
- ASTM D1141–98; Standard Practice for Preparation of Substitute Ocean Water. ASTM International: West Conshohocken, PA, USA, 2013.
- Ahn, S.; Montero, M.; Odell, D.; Roundy, S.; Wright, P.K. Anisotropic Material Properties of Fused Deposition Modeling ABS. Rapid Prototyp. J. 2002, 8, 248–257. [Google Scholar] [CrossRef]
- Milosevic, M.; Stoof, D.; Pickering, K.L. Characterizing the Mechanical Properties of Fused Deposition Modelling Natural Fiber Recycled Polypropylene Composites. J. Compos. Sci. 2017, 1, 7. [Google Scholar] [CrossRef]
- Özen, A.; Auhl, D.; Völlmecke, C.; Kiendl, J.; Abali, B.E. Optimization of Manufacturing Parameters and Tensile Specimen Geometry for Fused Deposition Modeling (FDM) 3D-Printed PETG. Materials 2021, 14, 2556. [Google Scholar] [CrossRef]
- Ho, C.H.; Vu-Khanh, T. Effects of Time and Temperature on Physical Aging of Polycarbonate. Theor. Appl. Fract. Mech. 2003, 39, 107–116. [Google Scholar] [CrossRef]
- Blanco, I.; Cicala, G.; Ognibene, G.; Rapisarda, M.; Recca, A. Thermal Properties of Polyetherimide/Polycarbonate Blends for Advanced Applications. Polym. Degrad. Stab. 2018, 154, 234–238. [Google Scholar] [CrossRef]
- Cicala, G.; Ognibene, G.; Portuesi, S.; Blanco, I.; Rapisarda, M.; Pergolizzi, E.; Recca, G. Comparison of Ultem 9085 Used in Fused Deposition Modelling (FDM) with Polytherimide Blends. Materials 2018, 11, 285. [Google Scholar] [CrossRef] [PubMed]
- Lin, B.; Sundararaj, U. Visualization of Poly(ether Imide) and Polycarbonate Blending in an Internal Mixer. J. Appl. Polym. Sci. 2004, 92, 1165–1175. [Google Scholar] [CrossRef]
- Chun, Y.S.; Lee, H.S.; Oh, T.S.; Kim, W.N. Properties of Blends of Polycarbonate and Polypropylene (I): Crystallization Behavior. Polymer 1996, 20, 1071–1079. [Google Scholar] [CrossRef]
- Luchinsky, D.G.; Hafiychuk, H.; Hafiychuk, V.; Wheeler, K.R. Molecular Dynamics of ULTEM 9085 for 3D Manufacturing: Spectra, Thermodynamic Properties, and Shear Viscosity; NASA/TM-2018-220213; National Aeronautics and Space Administration, Ames Research Center: Moffett Field, CA, USA, 2018. Available online: https://ntrs.nasa.gov/citations/20190026629 (accessed on 20 October 2023).
- Merdas, I.; Thominette, F.; Verdu, J. Humid Aging of Polyetherimide. I. Water Sorption Characteristics. J. Appl. Polym. Sci. 2000, 77, 1439–1444. [Google Scholar] [CrossRef]
- Golovoy, A.; Zinbo, M. Water Sorption and Hydrolytic Stability of Polycarbonates. Polym. Eng. Sci. 1989, 29, 1733–1737. [Google Scholar] [CrossRef]
- Rane, A.V.; Begum, S.A.; Kanny, K. Spectroscopic Analysis of Compatibilized Polymer Blends. In Compatibilization of Polymer Blends; Ajitha, A.R., Thomas, S., Eds.; Elsevier: Amsterdam, The Netherlands, 2020; pp. 373–390. [Google Scholar]
- Weibin, G.; Shimin, H.; Minjiao, Y.; Long, J.; Yi, D. The Effects of Hydrothermal Aging on Properties and Structure of Bisphenol A Polycarbonate. Polym. Degrad. Stab. 2009, 94, 13–17. [Google Scholar] [CrossRef]
- Fang, M.; Zhang, N.; Huang, M.; Lu, B.; Lamnawar, K.; Liu, C.; Shen, C. Effects of Hydrothermal Aging of Carbon Fiber Reinforced Polycarbonate Composites on Mechanical Performance and Sand Erosion Resistance. Polymers 2020, 12, 2453. [Google Scholar] [CrossRef] [PubMed]
- Benhamada, M.; Bouzid, D.; Saouli, O.; Boyron, O. The Effects of Hydrothermal Aging Characterized by Sec on the Degradations Kinetics of Polycarbonate Calculated through TGA. Chem. Eng. Trans. 2015, 43, 1183–1188. [Google Scholar]
- Amancio-Filho, S.T.; Roeder, J.; Nunes, S.P.; Dos Santos, J.F.; Beckmann, F. Thermal Degradation of Polyetherimide Joined by Friction Riveting (FricRiveting). Part I: Influence of Rotation Speed. Polym. Degrad. Stab. 2008, 93, 1529–1538. [Google Scholar] [CrossRef]
- De Nicola, A.; Correa, A.; Milano, G.; La Manna, P.; Musto, P.; Mensitieri, G.; Scherillo, G. Local Structure and Dynamics of Water Absorbed in Poly(Ether Imide): A Hydrogen Bonding Anatomy. J. Phys. Chem. B 2017, 121, 3162–3176. [Google Scholar] [CrossRef] [PubMed]
- Mzabi, N.; Smaoui, H.; Guermazi, H.; Mlik, Y.; Agnel, S.; Toureille, A. Heating Effects on Structural and Electrical Properties of Polyetherimide. Am. J. Eng. Appl. Sci. 2009, 2, 120–126. [Google Scholar]
- Resta, V.; Quarta, G.; Lomascolo, M.; Maruccio, L.; Calcagnile, L. Raman and Photoluminescence Spectroscopy of Polycarbonate Matrices Irradiated with Different Energy 28Si+ Ions. Vacuum 2015, 116, 82–89. [Google Scholar] [CrossRef]
- Devasahayam, S.; Hill, D.J.T.; Connell, J.W. FT-Raman Studies of a Range of Polyimides Subjected to High-energy Radiations at Room and Elevated Temperatures. J. Appl. Polym. Sci. 2006, 101, 1575–1582. [Google Scholar] [CrossRef]
- Chaudhary, B.; Li, H.; Matos, H. Long-Term Mechanical Performance of 3D Printed Thermoplastics in Seawater Environments. Results Mater. 2023, 17, 100381. [Google Scholar] [CrossRef]
- El Magri, A.; Vaudreuil, S. Effects of Physical and Chemical Ageing on 3D Printed Poly (Ether Ether Ketone)/Poly (Ether Imide) [PEEK/PEI] Blend for Aerospace Applications. J. Mater Sci. 2023, 58, 1465–1479. [Google Scholar] [CrossRef]
- Le Guen-Geffroy, A.; Le Gac, P.-Y.; Habert, B.; Davies, P. Physical Ageing of Epoxy in a Wet Environment: Coupling between Plasticization and Physical Ageing. Polym. Degrad. Stab. 2019, 168, 108947. [Google Scholar] [CrossRef]
- Courvoisier, E.; Bicaba, Y.; Colin, X. Multi-Scale and Multi-Technique Analysis of the Thermal Degradation of Poly(Ether Ether Ketone). Polym. Degrad. Stab. 2018, 151, 65–79. [Google Scholar] [CrossRef]
- Jo, W.H.; Ko, K.J. The Effects of Physical Aging on the Thermal and Mechanical Properties of an Epoxy Polymer. Polym. Eng. Sci. 1991, 31, 239–244. [Google Scholar] [CrossRef]
- Rankouhi, B.; Javadpour, S.; Delfanian, F.; Letcher, T. Failure Analysis and Mechanical Characterization of 3D Printed ABS with Respect to Layer Thickness and Orientation. J. Fail. Anal. Preven. 2016, 16, 467–481. [Google Scholar] [CrossRef]













| Temperature (°C) | Aging Period (Days) | Samples in Seawater | Samples in Air |
|---|---|---|---|
| 50 | 14 | Type 4, −45/45°, Type 4, 0/90°, Type 1, 0/90° | Type 4, −45/45°, Type 4, 0/90° |
| 50 | 28 | Type 4, −45/45°, Type 4, 0/90°, Type 1, 0/90° | Type 4, −45/45°, Type 4, 0/90° |
| 70 | 14 | Type 4, −45/45°, Type 4, 0/90° | Type 4, −45/45°, Type 4, 0/90° |
| 70 | 28 | Type 4, −45/45°, Type 4, 0/90° | Type 4, −45/45°, Type 4, 0/90° |
| 90 | 14 | Type 4, −45/45°, Type 4, 0/90°, Type 1, 0/90° | Type 4, −45/45°, Type 4, 0/90° |
| 90 | 28 | Type 4, −45/45°, Type 4, 0/90°, Type 1, 0/90° | Type 4, −45/45°, Type 4, 0/90° |
| Samples | Direction 1 | Direction 2 | Edge | |||
|---|---|---|---|---|---|---|
| Ra (μm) | Rz (μm) | Ra (μm) | Rz (μm) | Ra (μm) | Rz (μm) | |
| Type 1, 0/90° | 11 | 48 | 10 | 48 | 2 | 11 |
| Type 1, −45/45° | 19 | 102 | 23 | 119 | 2 | 9 |
| Type 4, 0/90° | 12 | 62 | 11 | 66 | 2 | 11 |
| Type 4, −45/45° | 32 | 175 | 33 | 173 | 1 | 7 |
| Orientation | Areal Porosity (%) | Potential Water Uptake Range (%) |
|---|---|---|
| −45/45° | 7.34 ± 1.69 | 7.21 ± 1.66 |
| −45/45° | 8.11 ± 1.50 | 7.98 ± 1.48 |
| 0/90° | 8.43 ± 5.05 | 8.29 ± 4.97 |
| 0/90° | 10.50 ± 5.19 | 10.33 ± 5.10 |
| Samples | T5% (°C) | T1 (°C) | T2 (°C) | Tg (°C) | δH (J/g) | Tp(°C) |
|---|---|---|---|---|---|---|
| Unaged | 444.7 | 506.4 | 584.7 | 180.3 | 0.148 | 184 |
| 50 °C 14 d | 443.2 | 501.9 | 589.1 | 180.7 | 0.01 | 188 |
| 50 °C 28 d | 444.2 | 502.3 | 595.9 | 179.8 | 0.003 | 190 |
| 70 °C 14 d | 441.1 | 499.9 | 588 | 179.1 | 0.042 | 184 |
| 70 °C 28 d | 440.9 | 502.5 | 593.2 | 179.1 | 0.029 | 190 |
| 90 °C 14 d | 435.3 | 498.8 | 590.1 | 178.1 | 0.028 | 186 |
| 90 °C 28 d | 438.6 | 501.3 | 597.5 | 176.8 | 0 |
| Samples | T5% (°C) | T1 (°C) | T2 (°C) | Tg (°C) | δH (J/g) | Tp(°C) |
|---|---|---|---|---|---|---|
| Unaged | 444.7 | 506.4 | 584.7 | 180.3 | 0.148 | 184 |
| 50 °C 14 d | 462.2 | 512 | 602 | 179 | 0.121 | 184 |
| 50 °C 28 d | 459 | 516 | 598 | 179.8 | 0.016 | 186 |
| 70 °C 14 d | 464.4 | 512 | 592 | 181.7 | 0.012 | 186 |
| 70 °C 28 d | 464.7 | 510 | 598 | 179.8 | 0.052 | 184 |
| 90 °C 14 d | 464.5 | 516 | 610 | 182.8 | 0 | |
| 90 °C 28 d | 462.7 | 516 | 602 | 179.3 | 0.102 | 186 |
Disclaimer/Publisher’s Note: The statements, opinions and data contained in all publications are solely those of the individual author(s) and contributor(s) and not of MDPI and/or the editor(s). MDPI and/or the editor(s) disclaim responsibility for any injury to people or property resulting from any ideas, methods, instructions or products referred to in the content. |
© 2024 by the authors. Licensee MDPI, Basel, Switzerland. This article is an open access article distributed under the terms and conditions of the Creative Commons Attribution (CC BY) license (https://creativecommons.org/licenses/by/4.0/).
Share and Cite
Wang, X.; Travis, C.; Sorna, M.T.; Arola, D. Durability of Ultem 9085 in Marine Environments: A Consideration in Fused Filament Fabrication of Structural Components. Polymers 2024, 16, 350. https://doi.org/10.3390/polym16030350
Wang X, Travis C, Sorna MT, Arola D. Durability of Ultem 9085 in Marine Environments: A Consideration in Fused Filament Fabrication of Structural Components. Polymers. 2024; 16(3):350. https://doi.org/10.3390/polym16030350
Chicago/Turabian StyleWang, Xirong (Julia), Carly Travis, Mark T. Sorna, and Dwayne Arola. 2024. "Durability of Ultem 9085 in Marine Environments: A Consideration in Fused Filament Fabrication of Structural Components" Polymers 16, no. 3: 350. https://doi.org/10.3390/polym16030350
APA StyleWang, X., Travis, C., Sorna, M. T., & Arola, D. (2024). Durability of Ultem 9085 in Marine Environments: A Consideration in Fused Filament Fabrication of Structural Components. Polymers, 16(3), 350. https://doi.org/10.3390/polym16030350
