Effects of Ionic Liquids on the Cylindrical Self-Assemblies Formed by Poly(ethylene oxide)–Poly(propylene oxide)–Poly(ethylene oxide) Block Copolymers in Water
Abstract
1. Introduction
2. Materials and Methods
2.1. Materials
2.2. Small-Angle X-ray Scattering (SAXS)
2.3. Interfacial and Solvophobic Volume Fractions
3. Results and Discussion
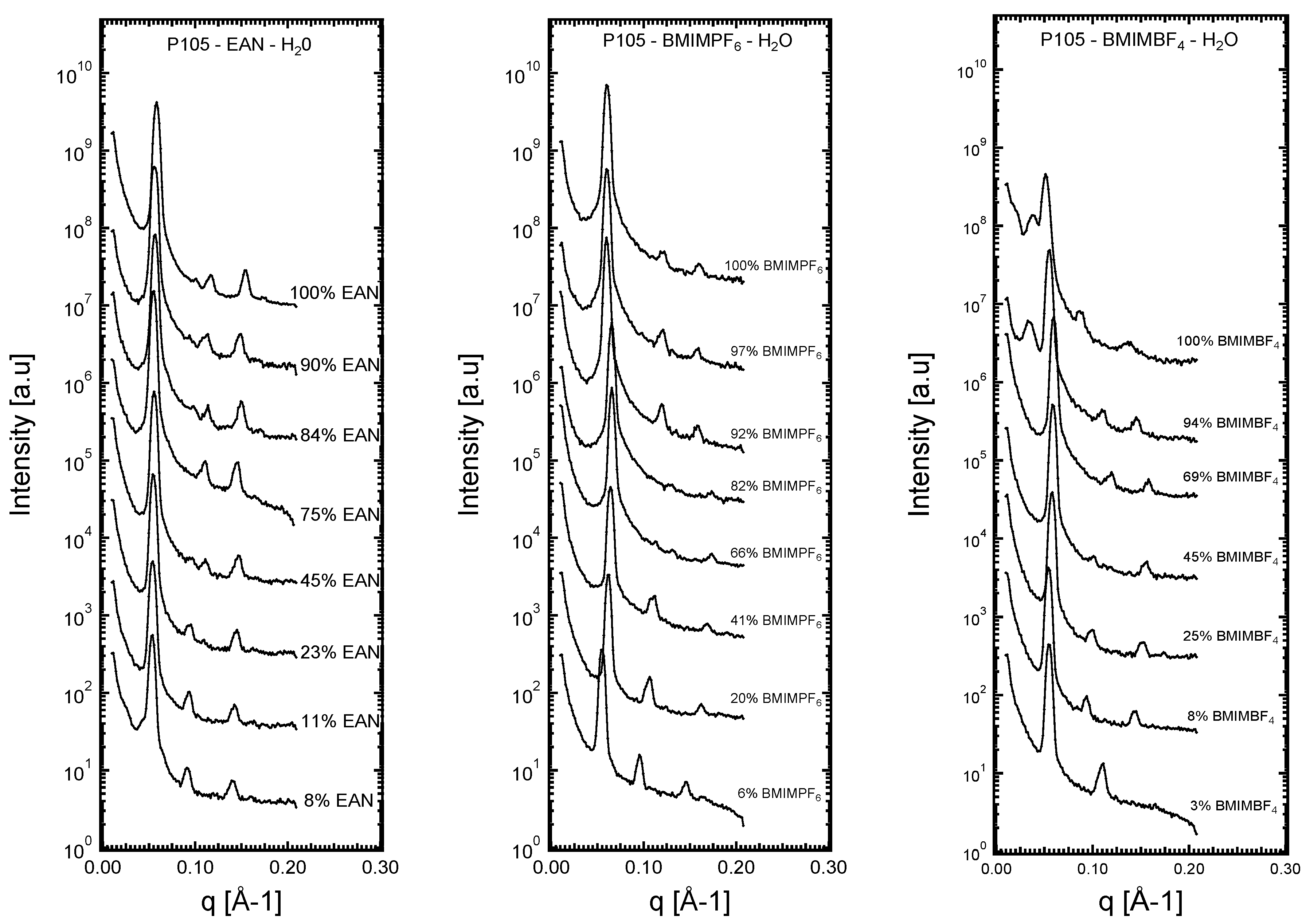
3.1. Effects of Ionic Liquids on Hexagonal Structures at Constant Block Copolymer Contents
3.2. Location of Ionic Liquids in the Self-Assembled Block Copolymer Microstructure
3.2.1. EO37PO58EO37—EAN–Water System
3.2.2. EO37PO58EO37–BMIMBF4–Water System
3.2.3. EO37PO58EO37–BMIMPF6–Water System
3.3. Comparison of Ionic Liquids’ Location with That of Molecular Solvents
3.4. Comparison to Other Nonionic Surfactants in Mixtures of Water and Ionic Liquid
4. Conclusions
Author Contributions
Funding
Institutional Review Board Statement
Data Availability Statement
Conflicts of Interest
References
- Holmqvist, P.; Alexandridis, P.; Lindman, B. Modification of the microstructure in Poloxamer block copolymer-water-“oil” systems by varying the “oil” type. Macromolecules 1997, 30, 6788–6797. [Google Scholar] [CrossRef]
- Alexandridis, P.; Spontak, R.J. Solvent-regulated ordering in block copolymers. Curr. Opin. Colloid Interface Sci. 1999, 4, 130–139. [Google Scholar] [CrossRef]
- Alexandridis, P. Structural polymorphism of poly(ethylene oxide)-poly(propylene oxide) block copolymers in nonaqueous polar solvents. Macromolecules 1998, 31, 6935–6942. [Google Scholar] [CrossRef]
- Tsoutsoura, A.; He, Z.; Alexandridis, P. Phase behavior and structure of Poloxamer block copolymers in protic and aprotic ionic liquids. Molecules 2023, 28, 7434. [Google Scholar] [CrossRef] [PubMed]
- Alexandridis, P.; Olsson, U.; Lindman, B. A record nine different phases (four cubic, two hexagonal, and one lamellar lyotropic liquid crystalline, and two micellar solutions) in a ternary isothermal system of an amphiphilic block copolymer and selective solvents (water and oil). Langmuir 1998, 14, 2627–2638. [Google Scholar] [CrossRef]
- Alexandridis, P.; Ivanova, R.; Lindman, B. Effect of glycols on the self-assembly of amphiphilic block copolymers in water. 2. Glycol location in the microstructure. Langmuir 2000, 16, 3676–3689. [Google Scholar] [CrossRef]
- Ghorbanizamani, F.; Moulahoum, H.; Zihnioglu, F.; Timur, S. Self-assembled block copolymers in ionic liquids: Recent advances and practical applications. J. Mol. Liq. 2021, 323, 115076. [Google Scholar] [CrossRef]
- He, Z.; Ma, Y.; Alexandridis, P. Comparison of ionic liquid and salt effects on the thermodynamics of amphiphile micellization in water. Colloids Surf. A Physicochem. Eng. Asp. 2018, 559, 159–168. [Google Scholar] [CrossRef]
- Zhang, Y.; He, Z.; Alexandridis, P.; Tsianou, M. Polymeric surfactant micelle structure modulated by ionic liquids. J. Mol. Liq. 2022, 346, 118195. [Google Scholar] [CrossRef]
- Greaves, T.L.; Drummond, C.J. Ionic liquids as amphiphile self-assembly media. Chem. Soc. Rev. 2008, 37, 1709–1726. [Google Scholar] [CrossRef] [PubMed]
- Cao, H.; Hu, Y.; Xu, W.; Wang, Y.; Guo, X. Recent progress in the assembly behavior of imidazolium-based ionic liquid surfactants. J. Mol. Liq. 2020, 319, 114354. [Google Scholar] [CrossRef]
- Singh, S.K.; Savoy, A.W. Ionic liquids synthesis and applications: An overview. J. Mol. Liq. 2020, 297, 112038. [Google Scholar] [CrossRef]
- Hayes, R.; Warr, G.G.; Atkin, R. Structure and nanostructure in ionic liquids. Chem. Rev. 2015, 115, 6357–6426. [Google Scholar] [CrossRef]
- Wang, Y.L.; Li, B.; Sarman, S.; Mocci, F.; Lu, Z.Y.; Yuan, J.Y.; Laaksonen, A.; Fayer, M.D. Microstructural and dynamical heterogeneities in ionic liquids. Chem. Rev. 2020, 120, 5798–5877. [Google Scholar] [CrossRef]
- Silva, W.; Zanatta, M.; Ferreira, A.S.; Corvo, M.C.; Cabrita, E.J. Revisiting ionic liquid structure-property relationship: A critical analysis. Int. J. Mol. Sci. 2020, 21, 7745. [Google Scholar] [CrossRef]
- Fabre, E.; Murshed, S.M.S. A review of the thermophysical properties and potential of ionic liquids for thermal applications. J. Mater. Chem. A 2021, 9, 15861–15879. [Google Scholar] [CrossRef]
- Nasirpour, N.; Mohammadpourfard, M.; Heris, S.Z. Ionic liquids: Promising compounds for sustainable chemical processes and applications. Chem. Eng. Res. Des. 2020, 160, 264–300. [Google Scholar] [CrossRef]
- Armand, M.; Endres, F.; MacFarlane, D.R.; Ohno, H.; Scrosati, B. Ionic-liquid materials for the electrochemical challenges of the future. Nat. Mater. 2009, 8, 621–629. [Google Scholar] [CrossRef] [PubMed]
- Correia, D.M.; Fernandes, L.C.; Martins, P.M.; García-Astrain, C.; Costa, C.M.; Reguera, J.; Lanceros-Méndez, S. Ionic liquid–polymer composites: A new platform for multifunctional applications. Adv. Funct. Mater. 2020, 30, 1909736. [Google Scholar] [CrossRef]
- Hamadani, C.M.; Dasanayake, G.S.; Gorniak, M.E.; Mercedes, C.; Monroe, W.; Chism, C.M.; Heintz, R.; Jarrett, E.; Singh, G.; Edgecomb, S.X.; et al. Development of ionic liquid-coated PLGA nanoparticles for applications in intravenous drug delivery. Nat. Protoc. 2023, 18, 2509–2557. [Google Scholar] [CrossRef] [PubMed]
- Yang, G.; Song, Y.; Wang, Q.; Zhang, L.; Deng, L. Review of ionic liquids containing, polymer/inorganic hybrid electrolytes for lithium metal batteries. Mater. Des. 2020, 190, 108563. [Google Scholar] [CrossRef]
- Durga, G.; Kalra, P.; Verma, V.K.; Wangdi, K.; Mishra, A. Ionic liquids: From a solvent for polymeric reactions to the monomers for poly(ionic liquids). J. Mol. Liq. 2021, 335, 116540. [Google Scholar] [CrossRef]
- Elwan, H.A.; Mamlouk, M.; Scott, K. A review of proton exchange membranes based on protic ionic liquid/polymer blends for polymer electrolyte membrane fuel cells. J. Power Sources 2021, 484, 229197. [Google Scholar]
- Niu, H.; Wang, L.; Guan, P.; Zhang, N.; Yan, C.; Ding, M.; Guo, X.; Huang, T.; Hu, X. Recent advances in application of ionic liquids in electrolyte of lithium ion batteries. J. Energy Storage 2021, 40, 102659. [Google Scholar] [CrossRef]
- Rana, S.; Thakur, R.C.; Dosanjh, H.S. Ionic liquids as battery electrolytes for lithium ion batteries: Recent advances and future prospects. Solid State Ion. 2023, 400, 116340. [Google Scholar] [CrossRef]
- Gao, Y.; Zhang, L.Q.; Wang, Y.; Li, H.R. Probing electron density of H-bonding between cation-anion of imidazolium-based ionic liquids with different anions by vibrational spectroscopy. J. Phys. Chem. B 2010, 114, 2828–2833. [Google Scholar] [CrossRef]
- Huddleston, J.G.; Visser, A.E.; Reichert, W.M.; Willauer, H.D.; Broker, G.A.; Rogers, R.D. Characterization and comparison of hydrophilic and hydrophobic room temperature ionic liquids incorporating the imidazolium cation. Green Chem. 2001, 3, 156–164. [Google Scholar] [CrossRef]
- Cammarata, L.; Kazarian, S.G.; Salter, P.A.; Welton, T. Molecular states of water in room temperature ionic liquids. Phys. Chem. Chem. Phys. 2001, 3, 5192–5200. [Google Scholar] [CrossRef]
- Ma, C.; Laaksonen, A.; Liu, C.; Lu, X.; Ji, X. The peculiar effect of water on ionic liquids and deep eutectic solvents. Chem. Soc. Rev. 2018, 47, 8685–8720. [Google Scholar] [CrossRef] [PubMed]
- Friberg, S.E.; Yin, Q.; Pavel, F.; Mackay, R.A.; Holbrey, J.D.; Seddon, K.R.; Aikens, P.A. Solubilization of an ionic liquid, 1-butyl-3-methylimidazolium hexafluorophosphate, in a surfactant-water system. J. Dispers. Sci. Tech. 2000, 21, 185–197. [Google Scholar] [CrossRef]
- Wang, Z.N.; Liu, F.; Gao, Y.; Zhuang, W.C.; Xu, L.M.; Han, B.X.; Li, G.Z.; Zhang, G.Y. Hexagonal liquid crystalline phases formed in ternary systems of Brij 97-water-lonic liquids. Langmuir 2005, 21, 4931–4937. [Google Scholar] [CrossRef]
- Wang, Z.; Zhou, W.; Li, G. Ternary cubic phases containing ionic liquid. J. Colloid Interface Sci. 2008, 318, 405–410. [Google Scholar] [CrossRef] [PubMed]
- Chen, Z.; Greaves, T.L.; Caruso, R.A.; Drummond, C.J. Effect of cosolvents on the self-assembly of a non-ionic polyethylene oxide–polypropylene oxide–polyethylene oxide block copolymer in the protic ionic liquid ethylammonium nitrate. J. Colloid Interface Sci. 2015, 441, 46–51. [Google Scholar] [CrossRef] [PubMed]
- Sarkar, B.; Lakshmichand, J.; Alexandridis, P. Self-assembly of amphiphilic block copolymers in ternary solvent mixtures: Lyotropic liquid crystalline phase behavior and structure. Macromol. Chem. Phys. 2012, 213, 2514–2528. [Google Scholar] [CrossRef]
- Dupont, J.; Consorti, C.S.; Spencer, J. Room temperature molten salts: Neoteric “green” solvents for chemical reactions and processes. J. Braz. Chem. Soc. 2000, 11, 337–344. [Google Scholar] [CrossRef]
- Werzer, O.; Warr, G.G.; Atkin, R. Compact poly(ethylene oxide) structures adsorbed at the ethylammonium nitrate-silica interface. Langmuir 2011, 27, 3541–3549. [Google Scholar] [CrossRef] [PubMed]
- Dasari, S.; Mallik, B.S. Conformational dynamics of polymers in ethylammonium nitrate from advanced sampling methods. Comput. Mater. Sci. 2022, 203, 111072. [Google Scholar]
- Huang, Y.; Zhou, G.; Li, Y.; Yang, Z.; Shi, M.; Wang, X.; Chen, X.; Zhang, F.; Li, W. Molecular dynamics simulations of temperature-dependent structures and dynamics of ethylammonium nitrate protic ionic liquid: The role of hydrogen bond. Chem. Phys. 2016, 472, 105–111. [Google Scholar] [CrossRef]
- Kanzaki, R.; Kodamatani, H.; Tomiyasu, T. Proton thermodynamics in a protic ionic liquid, ethylammonium nitrate. Chem. Eur. J. 2019, 25, 13500. [Google Scholar] [CrossRef]
- Greaves, T.L.; Drummond, C.J. Protic ionic liquids: Properties and applications. Chem. Rev. 2008, 108, 206–237. [Google Scholar] [CrossRef]
- Fumino, K.; Wulf, A.; Ludwig, R. Hydrogen bonding in protic ionic liquids: Reminiscent of water. Angew. Chem.-Int. Ed. 2009, 48, 3184–3186. [Google Scholar] [CrossRef]
- Greaves, T.L.; Kennedy, D.F.; Weerawardena, A.; Tse, N.M.K.; Kirby, N.; Drummond, C.J. Nanostructured protic ionic liquids retain nanoscale features in aqueous solution while precursor bronsted acids and bases exhibit different behavior. J. Phys. Chem. B 2011, 115, 2055–2066. [Google Scholar] [CrossRef] [PubMed]
- Werzer, O.; Warr, G.G.; Atkin, R. Conformation of poly(ethylene oxide) dissolved in ethylammonium nitrate. J. Phys. Chem. B 2011, 115, 648–652. [Google Scholar] [CrossRef]
- Bowers, J.; Butts, C.P.; Martin, P.J.; Vergara-Gutierrez, M.C.; Heenan, R.K. Aggregation behavior of aqueous solutions of ionic liquids. Langmuir 2004, 20, 2191–2198. [Google Scholar] [CrossRef] [PubMed]
- Singh, T.; Kumar, A. Aggregation behavior of ionic liquids in aqueous solutions: Effect of alkyl chain length, cations, and anions. J. Phys. Chem. B 2007, 111, 7843–7851. [Google Scholar] [CrossRef] [PubMed]
- Wang, J.J.; Wang, H.Y.; Zhang, S.L.; Zhang, H.H.; Zhao, Y. Conductivities, volumes, fluorescence, and aggregation behavior of ionic liquids [C(4)mim][BF4] and [C(n)mim]Br(n = 4, 6, 8, 10, 12) in aqueous solutions. J. Phys. Chem. B 2007, 111, 6181–6188. [Google Scholar] [CrossRef]
- Fazio, B.; Triolo, A.; Di Marco, G. Local organization of water and its effect on the structural heterogeneities in room-temperature ionic liquid/H2O mixtures. J. Raman Spectrosc. 2008, 39, 233–237. [Google Scholar] [CrossRef]
- Triolo, A.; Russina, O.; Keiderling, U.; Kohlbrecher, J. Morphology of poly(ethylene oxide) dissolved in a room temperature ionic liquid: A small angle neutron scattering study. J. Phys. Chem. B 2006, 110, 1513–1515. [Google Scholar] [CrossRef]
- Anthony, J.L.; Maginn, E.J.; Brennecke, J.F. Solution thermodynamics of imidazolium-based ionic liquids and water. J. Phys. Chem. B 2001, 105, 10942–10949. [Google Scholar] [CrossRef]
- Mendez-Morales, T.; Carrete, J.; Cabeza, O.; Gallego, L.J.; Varela, L.M. Molecular dynamics simulation of the structure and dynamics of water-1-alkyl-3-methylimidazolium ionic liquid mixtures. J. Phys. Chem. B 2011, 115, 6995–7008. [Google Scholar] [CrossRef]
- Costa, L.T.; Ribeiro, M.C.C. Molecular dynamics simulation of polymer electrolytes based on poly(ethylene oxide) and ionic liquids. I. Structural properties. J. Chem. Phys. 2006, 124, 184902. [Google Scholar] [CrossRef] [PubMed]
- Sarkar, A.; Trivedi, S.; Pandey, S. Polymer molecular weight-dependent unusual fluorescence probe behavior within 1-butyl-3-methylimidazolium hexafluorophosphate plus poly(ethylene glycol). J. Phys. Chem. B 2009, 113, 7606–7614. [Google Scholar] [CrossRef] [PubMed]
- Kruger, M.; Brundermann, E.; Funkner, S.; Weingartner, H.; Havenith, M. Polarity fluctuations of the protic ionic liquid ethylammonium nitrate in the terahertz regime. J. Chem. Phys. 2010, 132, 101101. [Google Scholar] [CrossRef] [PubMed]
- Nakamura, K.; Shikata, T. Systematic dielectric and NMR study of the ionic liquid 1-alkyl-3-methyl imidazolium. ChemPhysChem 2010, 11, 285–294. [Google Scholar] [CrossRef]
- Fawcett, W.R.; Gaal, A.; Misicak, D. Estimation of the rate constant for electron transfer in room temperature ionic liquids. J. Electroanal. Chem. 2011, 660, 230–233. [Google Scholar] [CrossRef]
- Gliege, M.E.; Lin, W.J.; Xu, Y.; Chen, M.-T.; Whitney, C.; Gunckel, R.; Dai, L. Molecular dynamics insight into the role of water molecules in ionic liquid mixtures of 1-butyl-3-methylimidazolium iodide and ethylammonium nitrate. J. Phys. Chem. B 2022, 126, 1115–1124. [Google Scholar] [CrossRef]







| wt.% | ΦP105 | ΦH2O | ΦEAN | ΦEAN/(ΦΕAΝ + ΦH2O) | f(PPO) | Solvent Mixture | Molecular Ratio EAN/H2O | (Å2) | R | dW+IL | ||||||
|---|---|---|---|---|---|---|---|---|---|---|---|---|---|---|---|---|
| P105 | H2O | EAN | H2O wt.% | EAN wt.% | ΦH2O | ΦEAN | ||||||||||
| 0.598 | 0.402 | 0.000 | 0.586 | 0.414 | 0.000 | 0.00 | 0.32 | 1.00 | 0.00 | 1.00 | 0.00 | - | 135.6 | 139.0 | 40.0 | 55.6 |
| 0.592 | 0.370 | 0.038 | 0.583 | 0.384 | 0.033 | 0.08 | 0.32 | 0.91 | 0.09 | 0.92 | 0.08 | 0.02 | 136.3 | 138.4 | 40.2 | 56.0 |
| 0.594 | 0.352 | 0.054 | 0.587 | 0.366 | 0.047 | 0.11 | 0.32 | 0.87 | 0.13 | 0.89 | 0.11 | 0.03 | 134.7 | 139.7 | 39.8 | 55.1 |
| 0.599 | 0.295 | 0.106 | 0.598 | 0.310 | 0.092 | 0.23 | 0.32 | 0.74 | 0.26 | 0.77 | 0.23 | 0.06 | 132.7 | 140.5 | 39.6 | 53.5 |
| 0.601 | 0.198 | 0.201 | 0.611 | 0.212 | 0.177 | 0.45 | 0.33 | 0.50 | 0.50 | 0.55 | 0.45 | 0.17 | 130.5 | 141.4 | 39.3 | 51.8 |
| 0.610 | 0.084 | 0.305 | 0.633 | 0.092 | 0.275 | 0.75 | 0.34 | 0.22 | 0.78 | 0.25 | 0.75 | 0.60 | 130.5 | 138.8 | 40.1 | 50.4 |
| 0.592 | 0.055 | 0.352 | 0.619 | 0.061 | 0.320 | 0.84 | 0.33 | 0.14 | 0.86 | 0.16 | 0.84 | 1.06 | 128.5 | 142.6 | 39.0 | 50.4 |
| 0.597 | 0.033 | 0.371 | 0.626 | 0.036 | 0.337 | 0.90 | 0.34 | 0.08 | 0.92 | 0.10 | 0.90 | 1.88 | 129.4 | 140.7 | 39.5 | 50.4 |
| 0.592 | 0.000 | 0.408 | 0.626 | 0.000 | 0.374 | 1.00 | 0.34 | 0.00 | 1.00 | 0.00 | 1.00 | 124.8 | 146.0 | 38.1 | 48.6 | |
| wt.% | ΦP105 | ΦH2O | ΦBMIMPF6 | ΦBMIMPF6/ (ΦBMIMPF6 + ΦH2O) | f(PPO) | Solvent Mixture | Molecular Ratio BMIMPF6/H2O | (Å2) | R | dW+IL | ||||||
|---|---|---|---|---|---|---|---|---|---|---|---|---|---|---|---|---|
| P105 | H2O | BMIMPF6 | H2O wt.% | BMIMPF6 wt.% | ΦH2O | Φ BMIMPF6 | ||||||||||
| 0.60 | 0.40 | 0.00 | 0.59 | 0.41 | 0.00 | 0.00 | 0.32 | 1.00 | 0.00 | 1.00 | 0.00 | - | 135.6 | 139.0 | 40.0 | 55.6 |
| 0.60 | 0.37 | 0.04 | 0.59 | 0.38 | 0.03 | 0.06 | 0.32 | 0.91 | 0.09 | 0.94 | 0.06 | 0.01 | 131.7 | 142.4 | 39.1 | 53.6 |
| 0.59 | 0.30 | 0.11 | 0.60 | 0.32 | 0.08 | 0.20 | 0.32 | 0.74 | 0.26 | 0.80 | 0.20 | 0.02 | 117.6 | 158.3 | 35.1 | 47.4 |
| 0.61 | 0.20 | 0.20 | 0.63 | 0.22 | 0.15 | 0.41 | 0.34 | 0.51 | 0.49 | 0.59 | 0.41 | 0.06 | 113.2 | 160.8 | 34.6 | 44 |
| 0.60 | 0.11 | 0.29 | 0.64 | 0.12 | 0.24 | 0.66 | 0.35 | 0.27 | 0.73 | 0.34 | 0.66 | 0.17 | 110.7 | 162.8 | 34.2 | 42.3 |
| 0.60 | 0.06 | 0.34 | 0.66 | 0.06 | 0.28 | 0.82 | 0.35 | 0.14 | 0.86 | 0.18 | 0.82 | 0.40 | 111.1 | 160.3 | 34.7 | 41.7 |
| 0.60 | 0.03 | 0.38 | 0.66 | 0.03 | 0.32 | 0.92 | 0.35 | 0.06 | 0.94 | 0.08 | 0.92 | 0.96 | 121 | 147.3 | 37.8 | 45.5 |
| 0.60 | 0.01 | 0.39 | 0.66 | 0.01 | 0.33 | 0.97 | 0.36 | 0.03 | 0.97 | 0.03 | 0.97 | 2.45 | 120.5 | 146.9 | 37.9 | 44.8 |
| 0.61 | 0.00 | 0.39 | 0.67 | 0.00 | 0.33 | 1.00 | 0.36 | 0.00 | 1.00 | 0.00 | 1.00 | 120.2 | 146.5 | 38.0 | 44.3 | |
| wt.% | ΦP105 | ΦH2O | ΦBMIMBF4 | ΦBMIMBF4/ (ΦBMIMBF4 + ΦH2O) | f(PPO) | Solvent Mixture | Molecular Ratio BMIMBF4/H2O | (Å2) | R | dW+IL | ||||||
|---|---|---|---|---|---|---|---|---|---|---|---|---|---|---|---|---|
| P105 | H2O | BMIM BF4 | H2O wt.% | BMIMBF4 wt.% | ΦH2O | Φ BMIMBF4 | ||||||||||
| 0.60 | 0.40 | 0.00 | 0.59 | 0.41 | 0.00 | 0.00 | 0.32 | 1.00 | 0.00 | 1.00 | 0.00 | - | 135.6 | 139.0 | 40.0 | 55.6 |
| 0.60 | 0.39 | 0.02 | 0.59 | 0.38 | 0.01 | 0.03 | 0.32 | 0.96 | 0.04 | 0.97 | 0.03 | 0.003 | 132.2 | 142.2 | 36.4 | 54 |
| 0.60 | 0.36 | 0.04 | 0.59 | 0.32 | 0.03 | 0.08 | 0.32 | 0.90 | 0.10 | 0.92 | 0.08 | 0.009 | 133.5 | 140.6 | 39.6 | 54.4 |
| 0.58 | 0.30 | 0.12 | 0.58 | 0.22 | 0.11 | 0.25 | 0.32 | 0.71 | 0.29 | 0.75 | 0.25 | 0.033 | 125.7 | 150 | 37.1 | 51.5 |
| 0.60 | 0.20 | 0.20 | 0.61 | 0.12 | 0.18 | 0.46 | 0.33 | 0.50 | 0.50 | 0.55 | 0.45 | 0.081 | 123.4 | 149.2 | 37.3 | 48.9 |
| 0.59 | 0.11 | 0.30 | 0.61 | 0.06 | 0.27 | 0.69 | 0.33 | 0.27 | 0.73 | 0.31 | 0.69 | 0.213 | 121.9 | 150.9 | 36.9 | 48.2 |
| 0.59 | 0.02 | 0.39 | 0.62 | 0.03 | 0.36 | 0.94 | 0.34 | 0.05 | 0.95 | 0.06 | 0.94 | 1.531 | 131.9 | 138.6 | 40.1 | 51.6 |
| 0.58 | 0.00 | 0.42 | 0.62 | 0.01 | 0.39 | 1.00 | 0.33 | 0.00 | 1.00 | 0.00 | 1.00 | 142.3 | 129.2 | 43.1 | 56.2 | |
| ΦEAN/ (ΦΕAΝ + ΦH2O) | αp (Å2) | ΦBMIMPF6/ (ΦBMIMPF6 + ΦH2O) | αp (Å2) | ΦBMIMBF4/ (ΦBMIMBF4 + ΦH2O) | αp (Å2) |
|---|---|---|---|---|---|
| 0 | 139 | 0 | 139 | 0 | 139 |
| 0.08 | 138.3 | 0.06 | 140.7 | 0.03 | 141.9 |
| 0.11 | 139.5 | 0.20 | 152.7 | 0.08 | 139.8 |
| 0.23 | 140.1 | 0.41 | 150.8 | 0.25 | 147.4 |
| 0.45 | 140.5 | 0.66 | 147.9 | 0.45 | 145.0 |
| 0.75 | 137.6 | 0.82 | 143.6 | 0.69 | 144.6 |
| 0.84 | 141.1 | 0.92 | 130.3 | 0.94 | 131.1 |
| 0.90 | 139.2 | 0.97 | 129.7 | 1 | 129.2 |
| 1 | 146 | 1 | 146.5 |
| Solvent | εs | Reference |
|---|---|---|
| Ethanol | 24.3 | [6] |
| Glycerol | 40.1 | [6] |
| Propylene Glycol | 32 | [6] |
| EAN | 26 | [53] |
| BMIMPF6 | 14.1 | [54,55] |
| BMIMBF4 | 14.1 | [54,55] |
| Water | 78.5 | [6] |
| Solvent | α (Å) |
|---|---|
| Ethanol | 126 |
| Glycerol | 139 |
| Propylene Glycol | 129 |
| EAN | 135 |
| BMIMPF6 | 132 |
| BMIMBF4 | 134 |
Disclaimer/Publisher’s Note: The statements, opinions and data contained in all publications are solely those of the individual author(s) and contributor(s) and not of MDPI and/or the editor(s). MDPI and/or the editor(s) disclaim responsibility for any injury to people or property resulting from any ideas, methods, instructions or products referred to in the content. |
© 2024 by the authors. Licensee MDPI, Basel, Switzerland. This article is an open access article distributed under the terms and conditions of the Creative Commons Attribution (CC BY) license (https://creativecommons.org/licenses/by/4.0/).
Share and Cite
Tsoutsoura, A.; He, Z.; Alexandridis, P. Effects of Ionic Liquids on the Cylindrical Self-Assemblies Formed by Poly(ethylene oxide)–Poly(propylene oxide)–Poly(ethylene oxide) Block Copolymers in Water. Polymers 2024, 16, 349. https://doi.org/10.3390/polym16030349
Tsoutsoura A, He Z, Alexandridis P. Effects of Ionic Liquids on the Cylindrical Self-Assemblies Formed by Poly(ethylene oxide)–Poly(propylene oxide)–Poly(ethylene oxide) Block Copolymers in Water. Polymers. 2024; 16(3):349. https://doi.org/10.3390/polym16030349
Chicago/Turabian StyleTsoutsoura, Aikaterini, Zhiqi He, and Paschalis Alexandridis. 2024. "Effects of Ionic Liquids on the Cylindrical Self-Assemblies Formed by Poly(ethylene oxide)–Poly(propylene oxide)–Poly(ethylene oxide) Block Copolymers in Water" Polymers 16, no. 3: 349. https://doi.org/10.3390/polym16030349
APA StyleTsoutsoura, A., He, Z., & Alexandridis, P. (2024). Effects of Ionic Liquids on the Cylindrical Self-Assemblies Formed by Poly(ethylene oxide)–Poly(propylene oxide)–Poly(ethylene oxide) Block Copolymers in Water. Polymers, 16(3), 349. https://doi.org/10.3390/polym16030349

