Sign in to use this feature.

Years

Between: -

Subjects

remove_circle_outline
remove_circle_outline
remove_circle_outline
remove_circle_outline
remove_circle_outline
remove_circle_outline
remove_circle_outline
remove_circle_outline
remove_circle_outline

Journals

remove_circle_outline
remove_circle_outline
remove_circle_outline
remove_circle_outline
remove_circle_outline
remove_circle_outline
remove_circle_outline
remove_circle_outline
remove_circle_outline
remove_circle_outline
remove_circle_outline
remove_circle_outline
remove_circle_outline
remove_circle_outline
remove_circle_outline
remove_circle_outline
remove_circle_outline
remove_circle_outline
remove_circle_outline
remove_circle_outline
remove_circle_outline
remove_circle_outline
remove_circle_outline
remove_circle_outline
remove_circle_outline
remove_circle_outline
remove_circle_outline
remove_circle_outline
remove_circle_outline
remove_circle_outline
remove_circle_outline
remove_circle_outline
remove_circle_outline
remove_circle_outline
remove_circle_outline
remove_circle_outline
remove_circle_outline

Article Types

Countries / Regions

remove_circle_outline
remove_circle_outline
remove_circle_outline
remove_circle_outline
remove_circle_outline
remove_circle_outline
remove_circle_outline
remove_circle_outline

Search Results (4,098)

Search Parameters:
Keywords = accelerated aging

Order results
Result details
Results per page
Select all
Export citation of selected articles as:
16 pages, 3333 KB  
Article
Machine Learning-Enhanced MEC Sensors with Feature Engineering for Quantitative Analysis of Multi-Component Toxicants
by Jiaguo Yan, Renxin Liang, Wenqing Yan and Xin Wang
Biosensors 2026, 16(3), 144; https://doi.org/10.3390/bios16030144 - 2 Mar 2026
Abstract
Accelerated industrialization has caused complex mixed toxicant pollution, where synergistic or antagonistic interactions render conventional detection methods inadequate. Herein, we develop an integrated framework by pioneering the integration of microbial electrochemical systems (MECs) with machine learning (ML) for quantifying formaldehyde, tetracycline, Ag+ [...] Read more.
Accelerated industrialization has caused complex mixed toxicant pollution, where synergistic or antagonistic interactions render conventional detection methods inadequate. Herein, we develop an integrated framework by pioneering the integration of microbial electrochemical systems (MECs) with machine learning (ML) for quantifying formaldehyde, tetracycline, Ag+, and Cu2+ in multi-component, multi-ratio, and multi-concentration mixtures. MECs generated dynamic current–time (I–t) signals responsive to toxicant stress, though signal overlap from mixed toxicants hindered direct quantification. Guided by toxicokinetics and electrochemical mechanisms, we developed a novel mechanism-driven feature engineering strategy with exclusively original indicators, which extracted 22 multidimensional features capturing instantaneous characteristics, kinetic patterns, and microbial stress-adaptive responses to resolve signal ambiguity, and provided biologically meaningful, high-information feature inputs that effectively bridge electrochemical response signals and ML modeling. Comparative analysis of four ML models (SVM, KNN, PLS, and RF) showed RF outperformed others, achieving R2 > 0.9 for all toxicants (formaldehyde: 0.959; tetracycline: 0.934; Ag+: 0.936; Cu2+: 0.957) with minimized MAE and RMSE. Microbial community analysis identified Geobacter anodireducens (71.5%, electroactive for heavy metals) and Comamonas testosteroni (12.9%, organic degrader) as key functional taxa, supported by KEGG enzyme abundance data. This work overcomes traditional MEC limitations via innovative feature engineering and pioneering ML integration, providing a rapid, low-cost, and high-accuracy tool for environmental mixed toxicant monitoring. Full article
(This article belongs to the Section Biosensor and Bioelectronic Devices)
Show Figures

Figure 1

14 pages, 1034 KB  
Review
Accelerated Vascular Aging in Women with Prior Preeclampsia: A Review of Epidemiology, Pathophysiological Mechanisms, and Geroprotective Strategies
by M. Yeo, D. W. Kwak, S. Y. Kim, A. Y. Choi, M. Kwak and J. I. Yang
J. Clin. Med. 2026, 15(5), 1880; https://doi.org/10.3390/jcm15051880 - 1 Mar 2026
Abstract
Preeclampsia (PE) has traditionally been regarded as a pregnancy-limited hypertensive disorder; however, accumulating evidence increasingly positions it as a pivotal early-life vascular stress test that manifests underlying vulnerabilities and accelerates biological aging. Women with a history of PE exhibit a heightened susceptibility to [...] Read more.
Preeclampsia (PE) has traditionally been regarded as a pregnancy-limited hypertensive disorder; however, accumulating evidence increasingly positions it as a pivotal early-life vascular stress test that manifests underlying vulnerabilities and accelerates biological aging. Women with a history of PE exhibit a heightened susceptibility to premature-onset multi-systemic diseases, specifically cardiovascular, ovarian, renal, and metabolic decline. This suggests that PE acts as a catalyst for accelerated aging, driven by shared pathophysiological pathways that represent common mechanisms of systemic senescence. This review provides a comprehensive analysis of the epidemiological links and pathogenic drivers underpinning accelerated systemic aging following PE, with a specific focus on the cardiovascular-ovarian axis. Epidemiological data consistently demonstrate that women with prior PE exhibit significantly reduced anti-Müllerian hormone (AMH) levels, translating to an estimated 1.5-year acceleration in reproductive aging. In parallel, PE is associated with a twofold increase in lifetime cardiovascular disease (CVD) risk and the onset of chronic hypertension occurring an average of 7.7 years earlier. However, reconciling the phenotypic heterogeneity of PE and transcending the constraints of non-experimental designs are essential for firmly establishing this accelerated aging paradigm. At the molecular level, PE and ovarian aging converge on shared pathways—including mitochondrial dysfunction, oxidative stress, inflammation, and epigenetic dysregulation—collectively defining a distinct pathogenic ovarian–vascular aging axis. Proposed geroscience-based strategies advocate for refined risk stratification by incorporating molecular aging biomarkers—such as epigenetic clocks and inflammatory profiles—alongside conventional clinical indicators. This integrative framework facilitates the early identification of high-risk aging phenotypes, enabling targeted monitoring and timely interventions to preemptively modulate accelerated aging pathways. Pharmacological approaches within this framework emphasize the judicious repurposing of established agents, such as metformin, statins, and SGLT2 inhibitors, while emerging gerotherapeutics, including senolytics and senomorphics, provide a conceptual foundation for targeting the fundamental biological drivers of senescence. Although these geroprotective strategies, including the repurposing of established agents and the use of senolytics, offer innovative conceptual frameworks for targeting the fundamental drivers of senescence, they remain largely exploratory and require further clinical validation. Such strategies offer novel opportunities to shift the clinical focus from treating isolated comorbidities to modulating the shared molecular substrates of aging, ultimately promoting healthy aging and functional longevity in the elderly female population. Full article
(This article belongs to the Special Issue Diagnosis and Treatment of Cardiovascular Diseases in the Elderly)
Show Figures

Figure 1

21 pages, 5564 KB  
Article
Strength Degradation and Chloride Ion Diffusion Behavior of Concrete Under Simulated Marine Exposure
by Shaoping Li, Xiaozhou Zhang, Yaling Zhao, Hongjun Jing, Ping Lyu and Junwei Shan
J. Mar. Sci. Eng. 2026, 14(5), 475; https://doi.org/10.3390/jmse14050475 (registering DOI) - 28 Feb 2026
Abstract
Chloride-induced deterioration is a major threat to the durability of marine concrete structures, especially in tidal and submerged zones. This study simulated these environments by immersing C45 concrete specimens in NaCl solutions (5%, 10%, 15%) under both constant immersion and wet–dry cycles. Compressive [...] Read more.
Chloride-induced deterioration is a major threat to the durability of marine concrete structures, especially in tidal and submerged zones. This study simulated these environments by immersing C45 concrete specimens in NaCl solutions (5%, 10%, 15%) under both constant immersion and wet–dry cycles. Compressive strength tests, low-field NMR for pore structure, chloride ion profiling, and SEM-EDS analyses were conducted. A modified chloride diffusion model was developed based on Fick’s second law, incorporating time- and concentration-dependent parameters. The results showed that higher NaCl concentrations and tidal zone exposure significantly accelerated concrete degradation. In the tidal zone, wet–dry cycles led to larger macropore formation, higher chloride penetration, and more severe microstructural damage compared to the submerged zone. Compressive strength initially increased and then declined in high-salinity environments, with strength losses reaching up to 25% under 15% NaCl after 120 days. NMR data confirmed the transformation of micropores and mesopores into macropores, especially in the tidal zone. SEM-EDS analysis revealed decalcification, gypsum formation, and Friedel’s salt accumulation on eroded surfaces. It was determined that chloride ion diffusion behavior in concrete is significantly influenced by the chloride content and diffusion concentration, as well as the exposure zone. The developed model indicates that depth increased over time and with concentration. The proposed diffusion model achieved high fitting accuracy (R2 > 0.97), effectively capturing the effects of erosion age and salt; this makes it a reliable tool for predicting chloride ion ingress in marine concrete, and for supporting service life evaluation and durability design. Full article
(This article belongs to the Section Coastal Engineering)
24 pages, 4162 KB  
Article
Behavioural Trajectories and Spatial Responses: A Study on Lag Sequential Analysis and Design Framework for Elderly Caregivers in Chinese Dual-Earner Households
by Qi An, Wanli Xing, Yuzhe Wang and Xiuyu Li
Sustainability 2026, 18(5), 2326; https://doi.org/10.3390/su18052326 - 27 Feb 2026
Viewed by 247
Abstract
The present study examines the behavioural trajectories and spatial utilisation of elderly caregivers within intergenerational families, set against the backdrop of China’s accelerating ageing population and the widespread prevalence of dual-income households. Existing studies predominantly rely on static data, which makes it difficult [...] Read more.
The present study examines the behavioural trajectories and spatial utilisation of elderly caregivers within intergenerational families, set against the backdrop of China’s accelerating ageing population and the widespread prevalence of dual-income households. Existing studies predominantly rely on static data, which makes it difficult to capture the dynamic relationship between behaviour and space. The present study employs lagged sequence analysis in combination with non-participatory observation and video recording techniques to conduct a 14-day behavioural tracking and sequence analysis of two typical dual-income families in Beijing (totaling 2137 behavioural events), thereby establishing a research framework of “behavioural observation, sequence analysis, and design translation.” The identification of three typical behavioural sequence patterns was achieved through the implementation of behavioural coding, spatio-temporal trajectory modelling, and sequence correlation testing. The identified sequence patterns are as follows: a simple “cooking–eating” sequence, a complex “child-centred” sequence, and a cyclical “housework–rest–communication” sequence. These patterns exposed fundamental contradictions with prevailing spatial functions. The study proposes synergistic spatial and furniture design strategies to support elderly caregivers’ behavioural flow, alleviate caregiving burdens, and foster intergenerational integration. This research not only validates the methodological value of lag sequence analysis in behaviour-driven design but also provides theoretical and empirical foundations for sustainable residential environments that promote intergenerational cohesion and reduce caregiving stress. Full article
Show Figures

Figure 1

36 pages, 837 KB  
Review
Physiological and Recovery Responses to Dietary Polyphenols in the Context of Exercise: Relevance for Muscle Aging and Sarcopenia
by Vince Fazekas-Pongor, Dávid Major, János Tamás Varga, Andrea Lehoczki, Péter Varga, Tamás Jarecsny, Ágnes Lipécz, Tamás Csípő, Ágnes Szappanos, Attila Matiscsák and Mónika Fekete
Nutrients 2026, 18(5), 788; https://doi.org/10.3390/nu18050788 - 27 Feb 2026
Viewed by 73
Abstract
Introduction: The biological effects of dietary polyphenols have gained increasing attention due to their roles in regulating oxidative stress, inflammatory processes, and mitochondrial function. Human studies suggest that polyphenol intake may support aspects of post-exercise recovery, neuromuscular function, and selected aspects of physical [...] Read more.
Introduction: The biological effects of dietary polyphenols have gained increasing attention due to their roles in regulating oxidative stress, inflammatory processes, and mitochondrial function. Human studies suggest that polyphenol intake may support aspects of post-exercise recovery, neuromuscular function, and selected aspects of physical performance. However, most investigations have been conducted in young or metabolically healthy populations, limiting direct clinical translation to older adults. Objective: This narrative review aims to synthesize current mechanistic and human evidence on the physiological and recovery-related effects of dietary polyphenols in the context of exercise adaptation and skeletal muscle function, and to examine their potential relevance to muscle aging and sarcopenia. Methods: A structured, non-systematic literature search was conducted to integrate findings from human intervention trials, preclinical studies, and mechanistic research addressing polyphenols, exercise adaptation, muscle recovery, and muscle aging. Evidence was synthesized narratively with emphasis on shared physiological pathways and functional outcomes. Results: Human intervention studies suggest that polyphenol intake may attenuate biomarkers of exercise-induced muscle damage, modulate inflammatory responses, and accelerate recovery of muscle strength and functional performance. Mechanistic evidence supports the involvement of redox homeostasis, mitochondrial regulation, and inflammatory signaling as central mediators of these effects. While clinical data in older populations remain limited, converging evidence suggests biological overlap between recovery-related pathways and mechanisms implicated in age-related muscle decline. Conclusions: Current evidence is consistent with a biologically plausible role for polyphenols in modulating exercise-related physiological and recovery processes. By aligning recovery-focused evidence with pathways central to muscle aging, this review proposes a translational framework that may inform the design of future targeted clinical trials in older and clinical populations. Full article
(This article belongs to the Special Issue Natural Products and Muscle Health)
14 pages, 1773 KB  
Article
Accuracy of Deep Learning-Driven MR Arthrography of the Shoulder: Compressed 3D in Comparison to Standard FSE Sequences
by Gianluca Tripodi, Flavio Spoto, Giuseppe Ocello, Leonardo Monterubbiano, Paolo Avanzi and Giovanni Foti
Osteology 2026, 6(1), 4; https://doi.org/10.3390/osteology6010004 - 27 Feb 2026
Viewed by 79
Abstract
Background/Objectives: Magnetic resonance arthrography is the reference standard for evaluating glenoid labral lesions. Deep learning (DL) reconstruction algorithms may accelerate 3D acquisitions while maintaining image quality. This study assesses the diagnostic accuracy of DL-based isotropic 3D MR imaging for detecting glenoid labral lesions. [...] Read more.
Background/Objectives: Magnetic resonance arthrography is the reference standard for evaluating glenoid labral lesions. Deep learning (DL) reconstruction algorithms may accelerate 3D acquisitions while maintaining image quality. This study assesses the diagnostic accuracy of DL-based isotropic 3D MR imaging for detecting glenoid labral lesions. Methods: This prospective study included 128 consecutive patients (79 men, 49 women; mean age 38.4 years) undergoing shoulder MR arthrography between June 2023 and April 2025. DL-based 3D sequences (acquisition time: 3:26) were compared with conventional multiplanar TSE and PD-FS sequences (acquisition time: 24–28 min). Two independent radiologists assessed glenoid labral lesions, bone marrow edema, and rotator cuff abnormalities using a four-point Likert scale. Sensitivity, specificity, and interobserver agreement were calculated. Results: DL-based 3D sequences demonstrated 94.7–95.1% sensitivity and 100% specificity for glenoid labral lesions, with excellent interobserver agreement (κ = 0.812). The area under the ROC curve was 0.894. Combined 3D protocols (T1 + PD-FS) showed superior accuracy (97.8%) compared to single sequences (90.5%, p = 0.012). For bone marrow edema, sensitivity was 82.9% with 100% specificity. Rotator cuff evaluation achieved 75% sensitivity with 100% specificity. Conclusions: DL-based isotropic 3D sequences provide high diagnostic accuracy for glenoid labral pathology while reducing scan time by 75%. Combined T1 and PD-FS protocols optimize performance. These findings support selective implementation of DL-accelerated 3D protocols in shoulder MR arthrography, particularly for labral assessment, while acknowledging that conventional protocols may remain preferable in specific clinical scenarios. Full article
Show Figures

Figure 1

14 pages, 595 KB  
Article
Application and Modification of Nutritional Assessment Tools in Hematologic Malignancies
by Xinying Chen, Xin Zheng, Chenan Liu, Qibiao Shi, Xiaoyue Liu, Zhaoting Bu, Hong Zhao, Bing Yin, Changhong Xu and Hanping Shi
Cancers 2026, 18(5), 765; https://doi.org/10.3390/cancers18050765 - 27 Feb 2026
Viewed by 79
Abstract
Background: Hematologic malignancies pose a critical threat to global health, with their pathological progression intrinsically linked to metabolic dysregulation and nutrient imbalance. Malnutrition accelerates the trajectory of adverse outcomes while substantially diminishing the quality of survival. Although several nutritional assessment tools are currently [...] Read more.
Background: Hematologic malignancies pose a critical threat to global health, with their pathological progression intrinsically linked to metabolic dysregulation and nutrient imbalance. Malnutrition accelerates the trajectory of adverse outcomes while substantially diminishing the quality of survival. Although several nutritional assessment tools are currently used in clinical practice, a significant evidence gap persists regarding their validation in populations with hematologic neoplasms. This study systematically evaluates the prognostic performance of existing nutritional assessment instruments in this cohort. Based on these findings, we further explored the feasibility of a preliminary framework that reflects metabolic characteristics specific to this population. Methods: This prospective cohort study analyzed nutritional assessment data from 1067 patients with hematologic malignancies enrolled in the INSCOC registry. Eight assessment systems were examined: Patient-Generated Subjective Global Assessment (PG-SGA), Modified PGSGA (mPG-SGA), PGSGA Short Form (PG-SGA SF), Abbreviated PGSGA (abPG-SGA), Nutritional Risk Screening-2002 (NRS-2002), Global Leadership Initiative on Malnutrition criteria (GLIM), Scored-GLIM, and Karnofsky Performance Status Scale (KPS). Kaplan–Meier survival curves and multivariate Cox regression analyses were conducted to investigate the association between nutritional status and overall survival (OS) and to determine the prognostic weight of individual components within the nutritional assessment tools. Linear regression models were applied to examine the relationships between nutritional assessment tools, length of hospital stay (LOS), and EORTC QLQ-C30 scores. The predictive performance of the tools was evaluated using the area under the receiver operating characteristic curve (AUC) and the concordance index (C-index). Least absolute shrinkage and selection operator (LASSO) regression was applied to optimize the selection of inflammation-related biomarkers. Results: A total of 1067 participants were analyzed (mean [SD] age, 55.54 [17.4] years; 625 were male [58.6%]). Cox proportional hazards regression demonstrated statistically significant associations for all eight nutritional assessment tools (p ≤ 0.05). However, their prognostic discrimination was limited, as indicated by the AUC analysis. Specifically, the area under the curve (AUC) values for each tool were as follows: mPG-SGA, 0.561; NRS-2002, 0.557; PG-SGA, 0.550; KPS, 0.544; PG-SGA SF, 0.542; abPG-SGA, 0.528; Scored-GLIM, 0.489; and GLIM, 0.473. The concordance index validation further corroborated these findings. Prognostically significant components and inflammation-related biomarkers identified by Cox and LASSO regression were combined to explore a composite assessment approach, termed the Hematologic Marker–Patient Generated Subjective Global Assessment (HMPG-SGA), incorporating the albumin–globulin ratio (AGR). The HMPG-SGA was significantly associated with overall survival (p < 0.001), with an AUC of 0.616 and a C-index of 0.605. Conclusions: Multidimensional validation demonstrated limited prognostic discrimination of eight conventional nutritional assessment tools for overall survival in patients with hematologic malignancies. Based on existing assessment tools and integrated hematologic indicators, the HMPG-SGA was preliminarily explored as a prognostic assessment tool in hematologic malignancies. Full article
(This article belongs to the Special Issue Nursing and Supportive Care for Cancer Survivors)
Show Figures

Figure 1

13 pages, 478 KB  
Review
Relationship and Training Effects of Horizontal Multi-Step Jumps on Sprint Performance: A Systematic Review
by Bjørn Johansen and Roland van den Tillaar
J. Funct. Morphol. Kinesiol. 2026, 11(1), 95; https://doi.org/10.3390/jfmk11010095 - 26 Feb 2026
Viewed by 388
Abstract
Background: This systematic review examined the relationship between horizontal multi-step jumps and sprint performance, and whether training interventions including these exercises improve sprinting. Methods: A systematic literature search was conducted in SPORTDiscus and PubMed (MEDLINE) and included English-language studies of athletes aged ≥14–15 [...] Read more.
Background: This systematic review examined the relationship between horizontal multi-step jumps and sprint performance, and whether training interventions including these exercises improve sprinting. Methods: A systematic literature search was conducted in SPORTDiscus and PubMed (MEDLINE) and included English-language studies of athletes aged ≥14–15 years that assessed at least one horizontal multi-step jump and reported sprint outcomes over distances up to 100 m. Methodological quality and risk of bias were assessed using design-appropriate critical appraisal tools. Of 316 records identified, 19 studies met the inclusion criteria (10 intervention studies and 9 correlational studies). Results: Across correlational studies, horizontal multi-step jump performance showed associations ranging from weak to very large with sprint performance, with the strongest relationships typically observed during acceleration (≤20–30 m). In trained sprinters, correlations were often large to very large (r ≈ −0.65 to −0.88), whereas team-sport athletes showed more moderate associations, and younger or less specialized populations showed weak or non-significant relationships. Across intervention studies, horizontal multi-step jump training generally improved short-distance sprint performance, with the largest improvements reported for acceleration (up to ~7–12% in some studies), while effects at longer sprint distances and maximal-speed performance were smaller, inconsistent, or not different from comparison training. Conclusions: Overall, the evidence suggests that the association between horizontal multi-step jumps and sprint performance is strongest during the acceleration phase and is influenced by athlete population and training status. Horizontal multi-step jumps appear to be useful for assessing and potentially developing sprint acceleration. However, the findings should be interpreted with caution due to heterogeneity in study design and variable methodological quality, and associations with maximal sprint speed are less consistent across studies. Full article
Show Figures

Figure 1

44 pages, 421 KB  
Article
Education and Sustainability-Related Orientations: Cross-National Evidence from the World Values Survey
by Fatma Gülçin Demirci, Yavuz Selim Balcioglu, Ejder Güven, Sevda Uğuz, Ayşe İlgün Kamanlı, Cihan Yılmaz and Ayşe Bilgen
Sustainability 2026, 18(5), 2266; https://doi.org/10.3390/su18052266 - 26 Feb 2026
Viewed by 103
Abstract
As societies confront accelerating sustainability challenges, understanding the individual-level orientations that support collective action has become increasingly important. This study examines the association between educational attainment and three theoretically distinct sustainability-relevant value orientations using cross-national survey data. Drawing on the World Values Survey [...] Read more.
As societies confront accelerating sustainability challenges, understanding the individual-level orientations that support collective action has become increasingly important. This study examines the association between educational attainment and three theoretically distinct sustainability-relevant value orientations using cross-national survey data. Drawing on the World Values Survey Wave 7, we analyze responses from 65,608 individuals across 65 countries using weighted least squares regression with country fixed effects to investigate how education relates to norm orientation, future orientation, and inclusion. The analysis reveals substantial variation in the strength of these associations across value dimensions. Education demonstrates a particularly strong relationship with future orientation, yielding a standardized effect size of 0.497, while showing considerably weaker associations with inclusion and norm orientation. Moderation analyses uncover important demographic contingencies, indicating that education gradients for norm orientation and inclusion weaken significantly with age, whereas the education-future orientation relationship remains stable across age groups. A modest gender difference emerges for future orientation, with slightly attenuated education effects among women. These findings suggest that education contributes to sustainability-relevant values primarily through cognitive pathways that enhance temporal perspective rather than through socialization into normative compliance or expansion of social tolerance. The results carry implications for education policy design and sustainable development initiatives. Full article
19 pages, 1574 KB  
Article
Characterization of Carbonation Curing Influence on Nonlinear Ultrasonic Response and Mechanical Performance of Mortar
by Shruti Singh, Hang Zeng, Umar Amjad, Hee-Jeong Kim and Tribikram Kundu
Materials 2026, 19(5), 874; https://doi.org/10.3390/ma19050874 - 26 Feb 2026
Viewed by 99
Abstract
The cement industry is a major contributor to global CO2 emissions, creating a need for monitoring techniques that support carbon capture strategies while assessing material performance. This study investigates the accelerated carbonation curing of cement mortar using linear and nonlinear ultrasonic sensing [...] Read more.
The cement industry is a major contributor to global CO2 emissions, creating a need for monitoring techniques that support carbon capture strategies while assessing material performance. This study investigates the accelerated carbonation curing of cement mortar using linear and nonlinear ultrasonic sensing methods, alongside mechanical and gravimetric measurements. Mortar specimens were carbonated for 1–28 days and evaluated using ultrasonic pulse velocity (UPV), the Sideband Peak Count Index (SPC-I) for nonlinear ultrasonic response, compressive strength testing, and mass-based CO2 uptake analysis. UPV showed sensitivity primarily to bulk material changes, with comparatively less distinction among the observed responses during carbonation curing. In contrast, the SPC-I captured distinct nonlinear responses associated with matrix evolution. Early-age carbonation (<7 days) produced increased nonlinearity, attributed to shrinkage-induced microcracking, whereas extended curing led to reduced SPC-I values, consistent with carbonation curing age. These trends exhibited an inverse correlation with compressive strength, which increased by up to 38.9% on the 28th day compared to the control specimens. Gravimetric analysis confirmed effective CO2 sequestration, with average specimen mass gains reaching 2.62%. The findings demonstrate that nonlinear ultrasonic sensing provides a sensitive, nondestructive approach for monitoring carbonation curing and linking acoustic signatures to mechanical performance and carbon uptake in cement-based materials. Full article
(This article belongs to the Section Advanced Materials Characterization)
Show Figures

Figure 1

40 pages, 834 KB  
Review
HIV Infection, Neurotoxicity, Inflammation, Premature Aging, and Therapeutic Challenges to PLWH: An Overview
by Mudit Tyagi, Ulhas Naik, Kratika Tyagi, Madhulika Sharma, Gagan Kaushal, Alok Bhushan, Michael Bukrinsky and Priya Tyagi
Int. J. Mol. Sci. 2026, 27(5), 2192; https://doi.org/10.3390/ijms27052192 - 26 Feb 2026
Viewed by 110
Abstract
HIV infection remains a major global health challenge due to its complex pathogenesis and lifelong persistence in people living with HIV (PLWH). A central barrier to eradication is the virus’s ability to establish long-lived latent reservoirs in different tissues, including the central nervous [...] Read more.
HIV infection remains a major global health challenge due to its complex pathogenesis and lifelong persistence in people living with HIV (PLWH). A central barrier to eradication is the virus’s ability to establish long-lived latent reservoirs in different tissues, including the central nervous system (CNS), where it evades immune clearance and antiretroviral therapy (ART). These reservoirs, seeded early during infection, fuel viral rebound if ART is interrupted, requiring lifelong treatment. In the CNS, HIV persists despite systemic viral suppression because of limited ART penetration across the blood–brain barrier (BBB), and infection of long-lived cells such as microglia and perivascular macrophages. Although modern ART regimens significantly reduce viral burden and HIV-related morbidity, they do not eliminate neurocognitive complications. Suboptimal CNS drug penetration and certain ART-associated toxicities contribute to CNS dysfunction, persistent neuroinflammation, and accelerated aging of the brain. As PLWH now experience increased life expectancy, prolonged exposure to ART and persistent low-level viral activity exacerbate chronic inflammation, immune activation, and metabolic dysregulation, collectively accelerating neurobiological aging. These pathological processes contribute to the development of HIV-associated neurocognitive disorders (HAND), which affect nearly half of virally suppressed PLWH. This review examines HIV-associated inflammation, neurotoxic pathways, and accelerated aging in PLWH in the modern ART era. Full article
(This article belongs to the Special Issue HIV Infection, Pathogenesis and Treatment)
Show Figures

Figure 1

13 pages, 5540 KB  
Article
Synergistic Enhancement of Zinc Electrowinning Performance by Ti2N Interlayer and CeMnOx Powder Modification
by Wentao Wang, Nan Li, Lingjing Yang, Jinlong Wei, Yuantao Yang, Yi Luo, Ruidong Xu and Xuanbing Wang
Materials 2026, 19(5), 864; https://doi.org/10.3390/ma19050864 - 26 Feb 2026
Viewed by 65
Abstract
In zinc electrowinning, industrial Pb-Ag anodes have inherent limitations, including high oxygen evolution overpotential and rapid corrosion. This study constructs Ti-Ti2N-PbO2-CeMnOx composite anodes to overcome these shortcoming, Electrochemical characterization revealed enhanced performance with a reduced overpotential (725 mV [...] Read more.
In zinc electrowinning, industrial Pb-Ag anodes have inherent limitations, including high oxygen evolution overpotential and rapid corrosion. This study constructs Ti-Ti2N-PbO2-CeMnOx composite anodes to overcome these shortcoming, Electrochemical characterization revealed enhanced performance with a reduced overpotential (725 mV 50 mA cm−2) and lower Tafel slope (102.92 mV dec−1) in the standard zinc electrowinning electrolyte, indicating faster oxygen evolution kinetics compared to commercial benchmarks. Analysis of the XPS test revealed an increase in the content of Mn3+, which helps enhance the OER catalytic activity of the electrode. The Ti/Ti2N/α/β-PbO2-CeMnOx (abbreviation: CMO) composite anode exhibited superior corrosion resistance with an extended service life of 53 h under accelerated polarization at 2 A cm−2. This durability enhancement is attributed to the combined effects of the Ti2N interlayer and CMO incorporation, which effectively mitigate anode degradation through passivation inhibition. The developed fabrication strategy enables the production of dimensionally stable anodes (DSAs) with balanced electrocatalytic activity and operational stability, showing promising potential for industrial zinc electrowinning applications. Full article
Show Figures

Figure 1

16 pages, 1107 KB  
Review
Estrogen Receptor–Phytoestrogen Interactions in Health and Aging: A Review on Estrogen Receptor Vascular Actions with Proof-of-Concept Data
by Bailey Smith, Kailey Myers, Katelyn Nigro, Sujin Bao, Xuan Yu and Guichun Han
Nutrients 2026, 18(5), 741; https://doi.org/10.3390/nu18050741 - 26 Feb 2026
Viewed by 120
Abstract
Background/Objectives: The menopausal decline in estrogen levels accelerates age-related changes, including visceral adiposity, insulin resistance, sarcopenia, osteoporosis, and endothelial dysfunction. While nutrition independently influences these outcomes, the interactive role of estrogen signaling and nutrient metabolism in healthy aging remains underexplored. This article [...] Read more.
Background/Objectives: The menopausal decline in estrogen levels accelerates age-related changes, including visceral adiposity, insulin resistance, sarcopenia, osteoporosis, and endothelial dysfunction. While nutrition independently influences these outcomes, the interactive role of estrogen signaling and nutrient metabolism in healthy aging remains underexplored. This article evaluates these interactions. Methods: We conducted a narrative synthesis of studies examining estrogen’s effects on energy balance, adipose regulation, muscle, bone, and cardiovascular health, with an emphasis on estrogen-like nutritional modulators and phytoestrogens. In addition, we present original experimental data from our laboratory investigating sex-specific vascular responses to G protein-coupled estrogen receptor (GPER) activation using functional myography in isolated rat aortic rings from young adult and middle-aged rats (n = 6–8 per group) to assess responses to the GPER agonist G-1 (1.0 μM). Results: Literature evidence demonstrates that estrogen supports macronutrient utilization, suppresses adipose inflammation, preserves bone density, and promotes endothelial function. Phytoestrogens may engage estrogen-responsive pathways to mitigate age-related physiological decline. Our original findings show that GPER agonism enhances both contractile and vasodilatory responses in female (p < 0.05) but not male rat aortas, providing mechanistic evidence of sex-specific vascular estrogen signaling. These results suggest that dietary phytoestrogens and nutrient-rich dietary patterns may, in part, activate GPER-dependent pathways to support cardiovascular resilience in aging women. Conclusions: Estrogen–nutrition interactions are central to metabolic adaptation and healthy aging. Our findings highlight GPER as a functionally resilient pathway in aging vasculature, offering a putative mechanistic link for nutritional modulation. However, direct translation of these findings to human clinical outcomes remains to be established. Precision nutrition strategies targeting GPER represent a promising framework for healthy aging, though large-scale human trials are necessary to confirm these receptor-specific effects. Full article
(This article belongs to the Special Issue Nutrient Interaction, Metabolic Adaptation and Healthy Aging)
Show Figures

Figure 1

18 pages, 1647 KB  
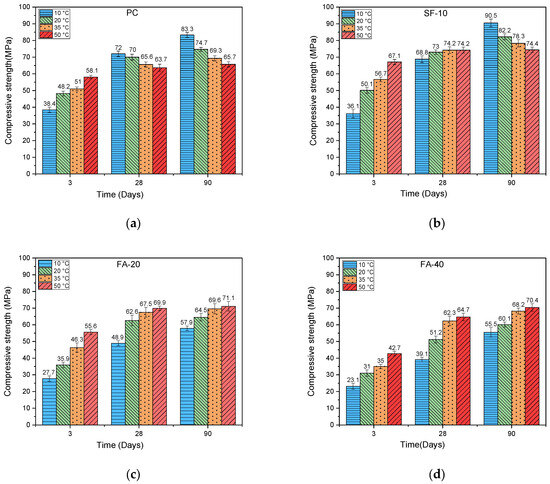
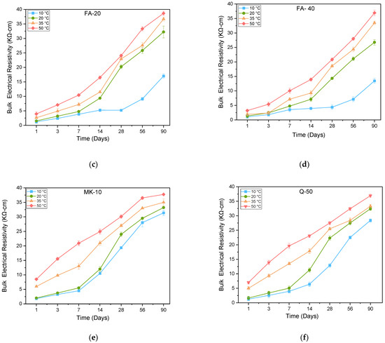
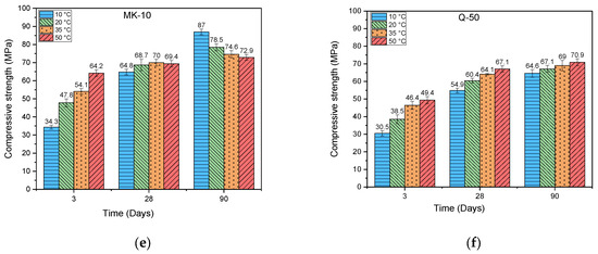
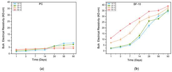
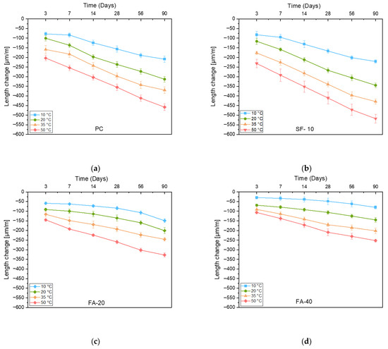
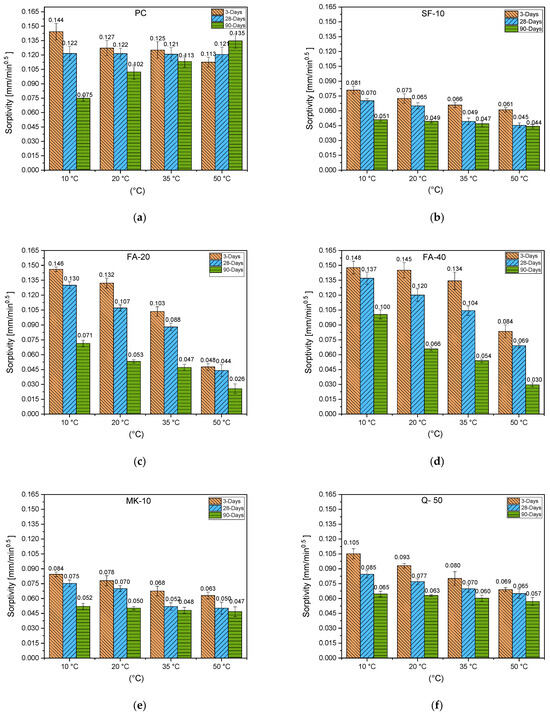
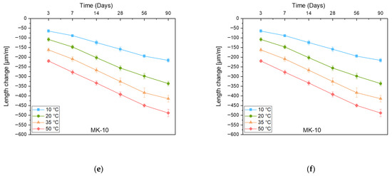
Article
Influence of Varying Curing Temperatures on the Mechanical and Durability-Related Performance of Multi-SCM Blended High-Strength Self-Compacting Concrete
by Ibrahim M. Degani, Riccardo Maddalena and Sivakumar Kulasegaram
Buildings 2026, 16(5), 910; https://doi.org/10.3390/buildings16050910 - 25 Feb 2026
Viewed by 163
Abstract
Self-compacting concrete (SCC) offers major advantages in construction; however, its high paste content makes its performance highly sensitive to curing temperature and binder composition. This study evaluates the mechanical and durability behaviour of high-strength SCC incorporating silica fume (SF), metakaolin (MK), fly ash [...] Read more.
Self-compacting concrete (SCC) offers major advantages in construction; however, its high paste content makes its performance highly sensitive to curing temperature and binder composition. This study evaluates the mechanical and durability behaviour of high-strength SCC incorporating silica fume (SF), metakaolin (MK), fly ash (FA), and a quaternary blend of these materials under different curing temperatures. The mixtures were cured at 10 °C, 20 °C, 35 °C, and 50 °C, and their compressive strength, sorptivity, bulk electrical resistivity, and length change were monitored up to 90 days. The results indicate that elevated curing temperatures significantly enhance early-age strength and reduce sorptivity and electrical conductivity, particularly in mixtures containing SF and MK, due to accelerated hydration and pore refinement. However, these conditions also led to increased length change, indicating greater deformation at both early and later ages. In contrast, curing at 10 °C reduced early strength but consistently improved long-term durability performance, especially in FA-containing mixtures, by promoting gradual hydration and reduced shrinkage. The quaternary blend exhibited balanced behaviour across all temperature regimes, achieving improved early strength while maintaining favourable long-term durability indicators. The innovation of this study lies in the integrated assessment of mechanical performance, transport properties, and dimensional stability of SCC incorporating multi-SCM systems under a wide range of curing temperatures, providing new insights into achieving stable and durable SCC performance under variable thermal conditions. Full article
(This article belongs to the Section Building Materials, and Repair & Renovation)
Show Figures

Graphical abstract

27 pages, 1262 KB  
Review
Tracking the Metabolites of Health and Disease Using Artificial Intelligence
by Ahmed Fadiel, Kenneth D. Eichenbaum, Aya Hassouneh and Kunle Odunsi
Diseases 2026, 14(3), 85; https://doi.org/10.3390/diseases14030085 (registering DOI) - 25 Feb 2026
Viewed by 116
Abstract
Using AI to analyze metabolite profiles provides critical insights into health, aging, and disease. Metabolomic signatures reveal how lifestyle and therapy impact organ function and cancer progression. This review highlights emerging toolkits for high-throughput data analysis, emphasizing their integration with other omics. Advanced [...] Read more.
Using AI to analyze metabolite profiles provides critical insights into health, aging, and disease. Metabolomic signatures reveal how lifestyle and therapy impact organ function and cancer progression. This review highlights emerging toolkits for high-throughput data analysis, emphasizing their integration with other omics. Advanced AI approaches facilitate metabolic pathway mapping and accelerate biomarker discovery. By combining AI with multi-omics, researchers can optimize interventions and enhance precision medicine. This article serves as a resource demonstrating AI’s potential in diagnostics and drug discovery. Full article
Show Figures

Figure 1

Back to TopTop