Investigation of Solid-State Thermal Decomposition of Ammonia Borane Mix with Sulphonated Poly(ellagic Acid) for Hydrogen Release
Abstract
1. Introduction
2. Materials and Methods
2.1. Materials
2.2. Synthesis of SPEA, AB, and AB@SPEA
2.3. Physicochemical Characterization of SPEA and AB@SPEA
3. Results
3.1. Evaluation of Dehydrogenation Activation Energy of AB@SPEAx (x = 1, 5)
3.2. Thermal Degradative Process of AB@SPEAx (x = 1, 5)
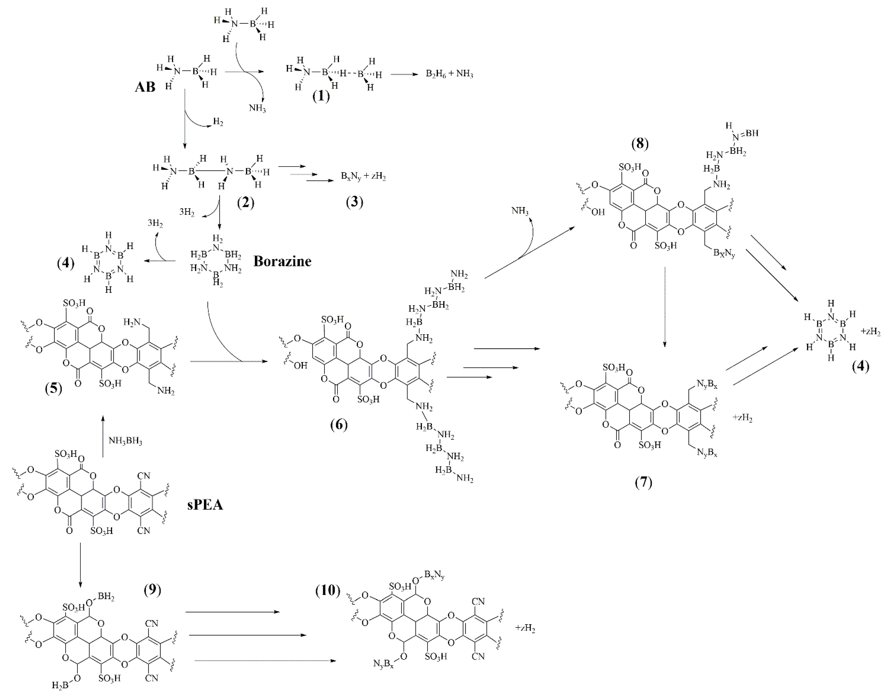
3.3. Mechanistic Insights into the Thermal Degradative Process of AB@SPEAx (x = 1, 5)
4. Conclusions
Supplementary Materials
Author Contributions
Funding
Data Availability Statement
Conflicts of Interest
References
- Fonseca, A.C.; Lima, M.S.; Sousa, A.F.; Silvestre, A.J.; Coelho, J.F.; Serra, A.C. Cinnamic acid derivatives as promising building blocks for advanced polymers: Synthesis, properties and applications. Polym. Chem. 2019, 10, 1696–1723. [Google Scholar] [CrossRef]
- Nanni, A.; Parisi, M.; Colonna, M. Wine by-products as raw materials for the production of biopolymers and of natural reinforcing fillers: A critical review. Polymers 2021, 13, 381. [Google Scholar] [CrossRef] [PubMed]
- Lalit, R.; Mayank, P.; Ankur, K. Natural fibers and biopolymers characterization: A future potential composite material. Stroj. Čas-J. Mech. Eng. 2018, 68, 33–50. [Google Scholar] [CrossRef]
- Rahman, M.Z.; Rahman, M.; Mahbub, T.; Ashiquzzaman, M.; Sagadevan, S.; Hoque, M.E. Advanced biopolymers for automobile and aviation engineering applications. J. Polym. Res. 2023, 30, 106. [Google Scholar] [CrossRef]
- Kartik, A.; Akhil, D.; Lakshmi, D.; Gopinath, K.P.; Arun, J.; Sivaramakrishnan, R.; Pugazhendhi, A. A critical review on production of biopolymers from algae biomass and their applications. Bioresour. Technol. 2021, 329, 124868. [Google Scholar] [CrossRef]
- Thakur, M.K.; Rana, A.K.; Liping, Y.; Singha, A.S.; Thakur, V.K. Surface modification of biopolymers: An overview. Surf. Modif. Biopolym. 2015, 1, 1–19. [Google Scholar]
- Muir, V.G.; Burdick, J.A. Chemically modified biopolymers for the formation of biomedical hydrogels. Chem. Rev. 2020, 121, 10908–10949. [Google Scholar] [CrossRef]
- Goriparti, S.; Harish, M.; Sampath, S. Ellagic acid–a novel organic electrode material for high capacity lithium ion batteries. Chem. Commun. 2013, 49, 7234–7236. [Google Scholar] [CrossRef]
- Evtyugin, D.D.; Magina, S.; Evtuguin, D.V. Recent advances in the production and applications of ellagic acid and its derivatives. A review. Molecules 2020, 25, 2745. [Google Scholar] [CrossRef]
- Wang, H.; Xu, X.; Lee, C.; Johnson, C.; Sohlberg, K.; Ji, H.-F. Highly selective sensing of nitroaromatics using nanomaterials of ellagic acid. J. Phys. Chem. C 2012, 116, 4442–4448. [Google Scholar] [CrossRef]
- Moon, K.M.; Kwon, E.-B.; Lee, B.; Kim, C.Y. Recent trends in controlling the enzymatic browning of fruit and vegetable products. Molecules 2020, 25, 2754. [Google Scholar] [CrossRef] [PubMed]
- Xue, P.; Zhang, G.; Zhang, J.; Ren, L. Synergism of ellagic acid in combination with radiotherapy and chemotherapy for cancer treatment. Phytomedicine 2022, 99, 153998. [Google Scholar] [CrossRef] [PubMed]
- Aishwarya, V.; Solaipriya, S.; Sivaramakrishnan, V. Role of ellagic acid for the prevention and treatment of liver diseases. Phytother. Res. 2021, 35, 2925–2944. [Google Scholar] [CrossRef] [PubMed]
- Bisen, P.S.; Bundela, S.S.; Sharma, A. Ellagic acid-chemopreventive role in oral cancer. J. Cancer Sci. Ther. 2012, 4, 23–30. [Google Scholar] [CrossRef]
- Quideau, S.; Feldman, K.S. Ellagitannin chemistry. Chem. Rev. 1996, 96, 475–504. [Google Scholar] [CrossRef]
- Yamada, H.; Wakamori, S.; Hirokane, T.; Ikeuchi, K.; Matsumoto, S. Structural revisions in natural ellagitannins. Molecules 2018, 23, 1901. [Google Scholar] [CrossRef]
- Hossain, I.; Husna, A.; Kim, D.; Kim, T.-H. (PIM-co-Ellagic Acid)-based Copolymer Membranes for High Performance CO2 Separation. Membr. J. 2020, 30, 420–432. [Google Scholar] [CrossRef]
- Akbayrak, S.; Özkar, S. Ammonia borane as hydrogen storage materials. Int. J. Hydrogen Energy 2018, 43, 18592–18606. [Google Scholar] [CrossRef]
- Demirci, U.B. Mechanistic insights into the thermal decomposition of ammonia borane, a material studied for chemical hydrogen storage. Inorg. Chem. Front. 2021, 8, 1900–1930. [Google Scholar] [CrossRef]
- Gianola, G.; Bartoli, M.; Pirri, C.F.; Bocchini, S. Hydrogen evolution through ammonia borane hydrolysis over iron tailored pig manure catalyst. Int. J. Hydrogen Energy 2023, 51, 21–28. [Google Scholar] [CrossRef]
- Chang, J.-P.; Wang, C.-Y.; Hsu, Y.-J.; Wang, C.-Y. Cu2O/UiO-66-NH2 composite photocatalysts for efficient hydrogen production from ammonia borane hydrolysis. Appl. Catal. A Gen. 2023, 650, 119005. [Google Scholar] [CrossRef]
- Fang, M.-J.; Lin, Y.-C.; Jan, J.-Y.; Lai, T.-H.; Hsieh, P.-Y.; Kuo, M.-Y.; Chiu, Y.-H.; Tsao, C.-W.; Chen, Y.-A.; Wang, Y.-T. Au@ Cu2O core@ shell nanocrystals as sustainable catalysts for efficient hydrogen production from ammonia borane. Appl. Catal. B Environ. 2023, 324, 122198. [Google Scholar] [CrossRef]
- Liao, J.; Li, Y.; Tian, J.; Feng, Y.; Liu, Q.; Li, H. Morphology engineering of hollow core@ shell structured Co3O4@ CuO-NiO for fast hydrogen release from ammonia borane methanolysis. J. Colloid Interface Sci. 2024, 680, 78–87. [Google Scholar] [CrossRef] [PubMed]
- Tang, S.; Xu, L.; Ding, X.; Lv, Q.; Qin, H.; Li, A.; Yang, X.; Han, J.; Song, F. Electronic engineering induced ultrafine non-noble nanoparticles for high-performance hydrogen evolution from ammonia borane hydrolysis. Fuel 2025, 381, 133424. [Google Scholar] [CrossRef]
- Chen, Y.; Lang, Z.; Feng, K.; Wang, K.; Li, Y.; Kang, Z.; Guo, L.; Zhong, J.; Lu, J. Practical H2 supply from ammonia borane enabled by amorphous iron domain. Nat. Commun. 2024, 15, 9113. [Google Scholar] [CrossRef] [PubMed]
- Demirci, U.B. Ammonia borane: An extensively studied, though not yet implemented, hydrogen carrier. Energies 2020, 13, 3071. [Google Scholar] [CrossRef]
- Shimizu, Y.; Miyagi, A.; Tripathi, A.K.; Nakagawa, T. Delayed ammonia release of ammonia borane hydrolysis by citric acid. Int. J. Hydrogen Energy 2024, 82, 733–739. [Google Scholar] [CrossRef]
- Li, J.; Feng, Y.; Li, X.; Zhang, T.; Liu, X.; Wang, N.; Sun, Q. Sub-2 nm Ternary Metallic Alloy Encapsulated within Montmorillonite Interlayers for Efficient Hydrogen Generation from Ammonia Borane Hydrolysis. ACS Catal. 2024, 14, 14665–14677. [Google Scholar] [CrossRef]
- Bartoli, M.; Pirri, C.F.; Bocchini, S. Unraveling the Effect of Carbon Nanotube Oxidation on Solid-State Decomposition of Ammonia Borane/Carbon Nanotube Composites. J. Phys. Chem. C 2022, 126, 16587–16594. [Google Scholar] [CrossRef]
- Moussa, G.; Bernard, S.; Demirci, U.B.; Chiriac, R.; Miele, P. Room-temperature hydrogen release from activated carbon-confined ammonia borane. Int. J. Hydrogen Energy 2012, 37, 13437–13445. [Google Scholar] [CrossRef]
- Li, Z.; Zhu, G.; Lu, G.; Qiu, S.; Yao, X. Ammonia borane confined by a metal− organic framework for chemical hydrogen storage: Enhancing kinetics and eliminating ammonia. J. Am. Chem. Soc. 2010, 132, 1490–1491. [Google Scholar] [CrossRef] [PubMed]
- Rueda, M.; Sanz-Moral, L.M.; Segovia, J.J.; Martín, Á. Improvement of the kinetics of hydrogen release from ammonia borane confined in silica aerogel. Microporous Mesoporous Mater. 2017, 237, 189–200. [Google Scholar] [CrossRef]
- Ramachandran, P.V.; Gagare, P.D. Preparation of ammonia borane in high yield and purity, methanolysis, and regeneration. Inorg. Chem. 2007, 46, 7810–7817. [Google Scholar] [CrossRef] [PubMed]
- Sepehri, S.; Garcia, B.B.; Cao, G. Tuning dehydrogenation temperature of carbon–ammonia borane nanocomposites. J. Mater. Chem. 2008, 18, 4034–4037. [Google Scholar] [CrossRef]
- Ergüven, H.; Kantürk Figen, A.; Pişkin, S. Ammonia borane–boron composites for hydrogen release: Thermolysis kinetics. Energy Sources Part A Recovery Util. Environ. Eff. 2017, 39, 613–617. [Google Scholar] [CrossRef]
- Kissinger, H.E. Reaction kinetics in differential thermal analysis. Anal. Chem. 1957, 29, 1702–1706. [Google Scholar] [CrossRef]
- Gutowska, A.; Li, L.; Shin, Y.; Wang, C.M.; Li, X.S.; Linehan, J.C.; Smith, R.S.; Kay, B.D.; Schmid, B.; Shaw, W. Nanoscaffold mediates hydrogen release and the reactivity of ammonia borane. Angew. Chem. 2005, 117, 3644–3648. [Google Scholar] [CrossRef]
- Chandra, M.; Xu, Q. Dissociation and hydrolysis of ammonia-borane with solid acids and carbon dioxide: An efficient hydrogen generation system. J. Power Sources 2006, 159, 855–860. [Google Scholar] [CrossRef]
- Paolone, A.; Teocoli, F.; Sanna, S.; Palumbo, O.; Autrey, T. Temperature Dependence of the Infrared Spectrum of Ammonia Borane: Librations, Rotations, and Molecular Vibrations. J. Phys. Chem. C 2013, 117, 729–734. [Google Scholar] [CrossRef]
- Hess, N.J.; Bowden, M.E.; Parvanov, V.M.; Mundy, C.; Kathmann, S.M.; Schenter, G.K.; Autrey, T. Spectroscopic studies of the phase transition in ammonia borane: Raman spectroscopy of single crystal NH3BH3 as a function of temperature from 88 to 330 K. J. Chem. Phys. 2008, 128, 034508. [Google Scholar] [CrossRef]
- Li, B.; Harich, K.; Wegiel, L.; Taylor, L.S.; Edgar, K.J. Stability and solubility enhancement of ellagic acid in cellulose ester solid dispersions. Carbohydr. Polym. 2013, 92, 1443–1450. [Google Scholar] [CrossRef] [PubMed]
- McBride, J.; Nicholls, R. The vibration-rotation spectrum of ammonia gas. I. J. Phys. B At. Mol. Phys. 1972, 5, 408. [Google Scholar] [CrossRef]
- Anderson, W.E.; Barker, E. The Infra-Red Absorption Spectrum of Diborane. J. Chem. Phys. 1950, 18, 698–705. [Google Scholar] [CrossRef][Green Version]
- Choi, H.Y.; Park, S.J.; Seo, D.; Baek, J.-m.; Song, H.D.; Jung, S.J.; Lee, K.J.; Kim, Y.L. Low-temperature synthesis of ammonia borane using diborane and ammonia. Int. J. Hydrogen Energy 2015, 40, 11779–11784. [Google Scholar] [CrossRef]
- Gerry, M.; Lewis-Bevan, W.; Merer, A.; Westwood, N. The infrared spectrum of gaseous aminoborane, H2N BH2: Location of the fundamentals and rotational structure in the 401 band (BN stretching vibration at 1337 cm−1). J. Mol. Spectrosc. 1985, 110, 153–163. [Google Scholar] [CrossRef]
- Kaldor, A.; Porter, R.F. Matrix isolation study of borazine and boroxine. Vibrational analysis. Inorg. Chem. 1971, 10, 775–785. [Google Scholar] [CrossRef]
- Al-Kukhun, A.; Hwang, H.T.; Varma, A. Mechanistic studies of ammonia borane dehydrogenation. Int. J. Hydrogen Energy 2013, 38, 169–179. [Google Scholar] [CrossRef]
- Rivera-Tapia, E.D.; Fajardo, C.A.; Ávila-Vega, Á.J.; Ávila, C.F.; Sánchez-Arévalo, F.M.; Chango-Villacís, I.; Quiroz-Chávez, F.J.; Santoyo-Salazar, J.; Dante, R.C. Synthesis of boron carbon nitride oxide (BCNO) from urea and boric acid. Fuller. Nanotub. Carbon. Nanostructures 2016, 24, 8–12. [Google Scholar] [CrossRef]
- Hoon, C.; Reynhardt, E.C. Molecular dynamics and structures of amine boranes of the type R3N. BH3. I. X-ray investigation of H3N. BH3 at 295K and 110K. J. Phys. C Solid. State Phys. 1983, 16, 6129. [Google Scholar] [CrossRef]
- Frueh, S.; Kellett, R.; Mallery, C.; Molter, T.; Willis, W.S.; King’ondu, C.; Suib, S.L. Pyrolytic decomposition of ammonia borane to boron nitride. Inorg. Chem. 2011, 50, 783–792. [Google Scholar] [CrossRef]
- Faverio, C.; Boselli, M.F.; Medici, F.; Benaglia, M. Ammonia borane as a reducing agent in organic synthesis. Org. Biomol. Chem. 2020, 18, 7789–7813. [Google Scholar] [CrossRef] [PubMed]
- Cheng, T.; Bets, K.V.; Yakobson, B.I. Synthesis Landscapes for Ammonia Borane Chemical Vapor Deposition of h-BN and BNNT: Unraveling Reactions and Intermediates from First-Principles. J. Am. Chem. Soc. 2024, 146, 9318–9325. [Google Scholar] [CrossRef] [PubMed]
- Lisovenko, A.S.; Timoshkin, A.Y. Donor− acceptor complexes of borazines. Inorg. Chem. 2010, 49, 10357–10369. [Google Scholar] [CrossRef] [PubMed]







| Sample | Tonset (°C) | Tmax1 (°C) | Residue @ Tmax1 (%) | Tmax2 (°C) | Residue @ Tmax2 (%) | Residue @ 350 °C (%) | H2 Solo Production (wt.%) a |
|---|---|---|---|---|---|---|---|
| AB | 105 | 106 | 93.4 | 162 | 75.1 | 48.0 | 0.23 |
| SPEA | 97 | 144 | 91.2 | --- | --- | 14.7 | --- |
| AB@SPEA1 | 82 | 118 | 84.2 | 158 | 75.4 | 75.2 | 1.2 |
| AB@SPEA5 | 86 | 119 | 78.9 | 164 | 62.1 | 60.0 | 0.9 |
Disclaimer/Publisher’s Note: The statements, opinions and data contained in all publications are solely those of the individual author(s) and contributor(s) and not of MDPI and/or the editor(s). MDPI and/or the editor(s) disclaim responsibility for any injury to people or property resulting from any ideas, methods, instructions or products referred to in the content. |
© 2024 by the authors. Licensee MDPI, Basel, Switzerland. This article is an open access article distributed under the terms and conditions of the Creative Commons Attribution (CC BY) license (https://creativecommons.org/licenses/by/4.0/).
Share and Cite
Astorino, C.; De Nardo, E.; Lettieri, S.; Ferraro, G.; Bartoli, M.; Etzi, M.; Chiodoni, A.M.; Pirri, C.F.; Bocchini, S. Investigation of Solid-State Thermal Decomposition of Ammonia Borane Mix with Sulphonated Poly(ellagic Acid) for Hydrogen Release. Polymers 2024, 16, 3471. https://doi.org/10.3390/polym16243471
Astorino C, De Nardo E, Lettieri S, Ferraro G, Bartoli M, Etzi M, Chiodoni AM, Pirri CF, Bocchini S. Investigation of Solid-State Thermal Decomposition of Ammonia Borane Mix with Sulphonated Poly(ellagic Acid) for Hydrogen Release. Polymers. 2024; 16(24):3471. https://doi.org/10.3390/polym16243471
Chicago/Turabian StyleAstorino, Carmela, Eugenio De Nardo, Stefania Lettieri, Giuseppe Ferraro, Mattia Bartoli, Marco Etzi, Angelica Monica Chiodoni, Candido Fabrizio Pirri, and Sergio Bocchini. 2024. "Investigation of Solid-State Thermal Decomposition of Ammonia Borane Mix with Sulphonated Poly(ellagic Acid) for Hydrogen Release" Polymers 16, no. 24: 3471. https://doi.org/10.3390/polym16243471
APA StyleAstorino, C., De Nardo, E., Lettieri, S., Ferraro, G., Bartoli, M., Etzi, M., Chiodoni, A. M., Pirri, C. F., & Bocchini, S. (2024). Investigation of Solid-State Thermal Decomposition of Ammonia Borane Mix with Sulphonated Poly(ellagic Acid) for Hydrogen Release. Polymers, 16(24), 3471. https://doi.org/10.3390/polym16243471

