Facile Synthesis of Thermoresponsive Alternating Copolymers with Tunable Phase-Transition Temperatures
Abstract
1. Instruction
2. Materials and Methods
2.1. Materials
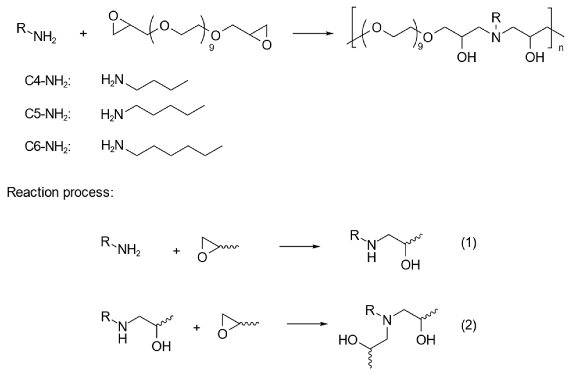
2.2. Synthesis of CPEG
2.3. Characterization of Synthesized Polymers
2.4. Characterization of the Self-Assembly Process of Polymer Micelles
2.5. Characterization of Factors of Polymer Phase-Transition Temperature
3. Result and Discussion
3.1. Synthesis and Characterizations of Copolymers
3.2. Thermoresponsive Behaviors of Copolymers
3.3. Methods for Tuning the Phase-Transition Temperature
4. Conclusions
Supplementary Materials
Author Contributions
Funding
Institutional Review Board Statement
Data Availability Statement
Conflicts of Interest
References
- Yue, H.; Yuan, L.; Zhang, W.; Zhang, S.; Wei, W.; Ma, G. Macrophage Responses to the Physical Burden of Cell-Sized Particles. J. Mater. Chem. B 2018, 6, 393–400. [Google Scholar] [CrossRef] [PubMed]
- Cook, M.T.; Haddow, P.; Kirton, S.B.; McAuley, W.J. Polymers Exhibiting Lower Critical Solution Temperatures as a Route to Thermoreversible Gelators for Healthcare. Adv. Funct. Mater. 2021, 31, 2008123. [Google Scholar] [CrossRef]
- Kim, Y.-J. Thermo-Responsive Polymers and Their Application as Smart Biomaterials. J. Mater. Chem. B 2017, 5, 4307–4321. [Google Scholar] [CrossRef] [PubMed]
- Takashima, Y.; Hatanaka, S.; Otsubo, M.; Nakahata, M.; Kakuta, T.; Hashidzume, A.; Yamaguchi, H.; Harada, A. Expansion–Contraction of Photoresponsive Artificial Muscle Regulated by Host–Guest Interactions. Nat. Commun. 2012, 3, 1270. [Google Scholar] [CrossRef]
- Pantuso, E.; De Filpo, G.; Nicoletta, F.P. Light-Responsive Polymer Membranes. Adv. Opt. Mater. 2019, 7, 1900252. [Google Scholar] [CrossRef]
- Bertrand, O.; Gohy, J.-F. Photo-Responsive Polymers: Synthesis and Applications. Polym. Chem. 2017, 8, 52–73. [Google Scholar] [CrossRef]
- Nese, A.; Lebedeva, N.V.; Sherwood, G.; Averick, S.; Li, Y.; Gao, H.; Peteanu, L.; Sheiko, S.S.; Matyjaszewski, K. pH-Responsive Fluorescent Molecular Bottlebrushes Prepared by Atom Transfer Radical Polymerization. Macromolecules 2011, 44, 5905–5910. [Google Scholar] [CrossRef]
- Kocak, G.; Tuncer, C.; Bütün, V. pH-Responsive Polymers. Polym. Chem. 2017, 8, 144–176. [Google Scholar] [CrossRef]
- Li, J.; Nagamani, C.; Moore, J.S. Polymer Mechanochemistry: From Destructive to Productive. Acc. Chem. Res. 2015, 48, 2181–2190. [Google Scholar] [CrossRef]
- Xia, D.; Wang, F.; Pan, S.; Yuan, S.; Liu, Y.; Xu, Y. Redox/pH-Responsive Biodegradable Thiol-Hyaluronic Acid/Chitosan Charge-Reversal Nanocarriers for Triggered Drug Release. Polymers 2021, 13, 3785. [Google Scholar] [CrossRef]
- Reyes-Ortega, F.; Delgado, Á.; Schneider, E.; Checa Fernández, B.; Iglesias, G. Magnetic Nanoparticles Coated with a Thermosensitive Polymer with Hyperthermia Properties. Polymers 2017, 10, 10. [Google Scholar] [CrossRef] [PubMed]
- Moral-Zamorano, M.; Quijada-Garrido, I.; San-Miguel, V.; Serrano, B.; Baselga, J.; Hashmi, S.; Stadler, F.J.; García-Peñas, A. Concentration Effect over Thermoresponse Derived from Organometallic Compounds of Functionalized Poly(N-Isopropylacrylamide-Co-Dopamine Methacrylamide). Polymers 2021, 13, 3921. [Google Scholar] [CrossRef]
- Ji, T.; Ji, Y.; Meng, X.; Wang, Q. Temperature-Responsive Separation Membrane with High Antifouling Performance for Efficient Separation. Polymers 2024, 16, 416. [Google Scholar] [CrossRef] [PubMed]
- Chen, X.; Zhang, J.; Wu, K.; Wu, X.; Tang, J.; Cui, S.; Cao, D.; Liu, R.; Peng, C.; Yu, L.; et al. Visualizing the In Vivo Evolution of an Injectable and Thermosensitive Hydrogel Using Tri-Modal Bioimaging. Small Methods 2020, 4, 2000310. [Google Scholar] [CrossRef]
- Kim, S.; Lee, K.; Cha, C. Refined Control of Thermoresponsive Swelling/Deswelling and Drug Release Properties of Poly(N-Isopropylacrylamide) Hydrogels Using Hydrophilic Polymer Crosslinkers. J. Biomater. Sci. Polym. Ed. 2016, 27, 1698–1711. [Google Scholar] [CrossRef]
- Gheysoori, P.; Paydayesh, A.; Jafari, M.; Peidayesh, H. Thermoresponsive Nanocomposite Hydrogels Based on Gelatin/Poly (N–Isopropylacrylamide) (PNIPAM) for Controlled Drug Delivery. Eur. Polym. J. 2023, 186, 111846. [Google Scholar] [CrossRef]
- Alexander, A.; Ajazuddin; Khan, J.; Saraf, S.; Saraf, S. Polyethylene Glycol (PEG)–Poly(N-Isopropylacrylamide) (PNIPAAm) Based Thermosensitive Injectable Hydrogels for Biomedical Applications. Eur. J. Pharm. Biopharm. 2014, 88, 575–585. [Google Scholar] [CrossRef] [PubMed]
- Alexander, A.; Ajazuddin; Khan, J.; Saraf, S.; Saraf, S. Poly(Ethylene Glycol)–Poly(Lactic-Co-Glycolic Acid) Based Thermosensitive Injectable Hydrogels for Biomedical Applications. J. Control. Release 2013, 172, 715–729. [Google Scholar] [CrossRef]
- Koriyama, T.; Takayama, Y.; Hisatsune, C.; Asoh, T.-A.; Kikuchi, A. Interaction of Bioactive Compounds on Capillary Inner Surfaces Bearing a Dense Thermoresponsive Polymer Brush. J. Biomater. Sci. Polym. Ed. 2017, 28, 900–912. [Google Scholar] [CrossRef]
- Kobayashi, J.; Yamato, M.; Okano, T. On-off Affinity Binding Modulation on Thermoresponsive Polymer-Grafted Surfaces for Capture and Release of Proteins and Cells. J. Biomater. Sci. Polym. Ed. 2017, 28, 939–957. [Google Scholar] [CrossRef]
- Nagase, K.; Yamato, M.; Kanazawa, H.; Okano, T. Poly(N-Isopropylacrylamide)-Based Thermoresponsive Surfaces Provide New Types of Biomedical Applications. Biomaterials 2018, 153, 27–48. [Google Scholar] [CrossRef] [PubMed]
- Sponchioni, M.; Manfredini, N.; Zanoni, A.; Scibona, E.; Morbidelli, M.; Moscatelli, D. Readily Adsorbable Thermoresponsive Polymers for the Preparation of Smart Cell-Culturing Surfaces on Site. ACS Biomater. Sci. Eng. 2020, 6, 5337–5345. [Google Scholar] [CrossRef] [PubMed]
- Forg, S.; Karbacher, A.; Ye, Z.; Guo, X.; von Klitzing, R. Copolymerization Kinetics of Dopamine Methacrylamide during PNIPAM Microgel Synthesis for Increased Adhesive Properties. Langmuir 2022, 38, 5275–5285. [Google Scholar] [CrossRef] [PubMed]
- Hogan, K.J.; Mikos, A.G. Biodegradable Thermoresponsive Polymers: Applications in Drug Delivery and Tissue Engineering. Polymer 2020, 211, 123063. [Google Scholar] [CrossRef]
- Bhuiyan, M.H.; Clarkson, A.N.; Ali, M.A. Optimization of Thermoresponsive Chitosan/β-Glycerophosphate Hydrogels for Injectable Neural Tissue Engineering Application. Colloids Surf. B 2023, 224, 113193. [Google Scholar] [CrossRef]
- Sponchioni, M.; Capasso Palmiero, U.; Moscatelli, D. Thermo-Responsive Polymers: Applications of Smart Materials in Drug Delivery and Tissue Engineering. Mater. Sci. Eng. C 2019, 102, 589–605. [Google Scholar] [CrossRef]
- Shymborska, Y.; Stetsyshyn, Y.; Awsiuk, K.; Raczkowska, J.; Bernasik, A.; Janiszewska, N.; Da̧bczyński, P.; Kostruba, A.; Budkowski, A. Temperature- and pH-Responsive Schizophrenic Copolymer Brush Coatings with Enhanced Temperature Response in Pure Water. ACS Appl. Mater. Interfaces 2023, 15, 8676–8690. [Google Scholar] [CrossRef]
- Lutz, J.-F. Thermo-Switchable Materials Prepared Using the OEGMA-Platform. Adv. Mater. 2011, 23, 2237–2243. [Google Scholar] [CrossRef]
- Yan, J.; Zhang, X.; Li, W.; Zhang, X.; Liu, K.; Wu, P.; Zhang, A. Thermoresponsive Supramolecular Dendronized Copolymers with Tunable Phase Transition Temperatures. Soft Matter 2012, 8, 6371–6377. [Google Scholar] [CrossRef]
- Zhang, X.; Yan, J.; Li, W.; Zhang, A. Thermoresponsive Dynamic Covalent Dendronized Polymers. RSC Adv. 2016, 6, 44216–44223. [Google Scholar] [CrossRef]
- Kim, D.-H.; Han, J.-H.; Kwon, H.-C.; Lim, S.-J.; Han, S.-G.; Jung, H.-S.; Lee, K.-H.; Kang, J.-H.; Han, S.-G. Toxicity Assessment of a Single Dose of Poly(Ethylene Glycol) Diglycidyl Ether (PEGDE) Administered Subcutaneously in Mice. Toxics 2021, 9, 354. [Google Scholar] [CrossRef] [PubMed]
- Zerbinati, N.; Sommatis, S.; Maccario, C.; Capillo, M.C.; Grimaldi, G.; Alonci, G.; Protasoni, M.; Rauso, R.; Mocchi, R. Toward Physicochemical and Rheological Characterization of Different Injectable Hyaluronic Acid Dermal Fillers Cross-Linked with Polyethylene Glycol Diglycidyl Ether. Polymers 2021, 13, 948. [Google Scholar] [CrossRef] [PubMed]
- Cui, Y.; Liang, X.; Chai, J.; Cui, Z.; Wang, Q.; He, W.; Liu, X.; Liu, Z.; Cui, G.; Feng, J. High Performance Solid Polymer Electrolytes for Rechargeable Batteries: A Self-Catalyzed Strategy toward Facile Synthesis. Adv. Sci. 2017, 4, 1700174. [Google Scholar] [CrossRef] [PubMed]
- Vasylieva, N.; Barnych, B.; Meiller, A.; Maucler, C.; Pollegioni, L.; Lin, J.-S.; Barbier, D.; Marinesco, S. Covalent Enzyme Immobilization by Poly(Ethylene Glycol) Diglycidyl Ether (PEGDE) for Microelectrode Biosensor Preparation. Biosens. Bioelectron. 2011, 26, 3993–4000. [Google Scholar] [CrossRef] [PubMed]
- Wang, H.; Wang, Q.; Wang, K.; Wang, J.; Zhang, X.; Liu, Y.; Zhang, J. A Self-Healing Thermogelling Polymer with Tunable Transparency Based on Biomolecule Alginate Grafting Phenylboronic Acid. Int. J. Biol. Macromol. 2024, 274, 133485. [Google Scholar] [CrossRef] [PubMed]
- Purushothaman, M.; Krishnan, P.S.G.; Nayak, S.K. Poly(Alkyl Lactate Acrylate)s Having Tunable Hydrophilicity. J. Appl. Polym. Sci. 2014, 131, app.40962. [Google Scholar] [CrossRef]
- Ashizawa, K. Nanosize particle analysis by dynamic light scattering (DLS). Yakugaku Zasshi 2019, 139, 237–248. [Google Scholar] [CrossRef]
- Schild, H.G. Poly(N-Isopropylacrylamide): Experiment, Theory and Application. Prog. Polym. Sci. 1992, 17, 163–249. [Google Scholar] [CrossRef]
- Roy, D.; Brooks, W.L.A.; Sumerlin, B.S. New Directions in Thermoresponsive Polymers. Chem. Soc. Rev. 2013, 42, 7214–7243. [Google Scholar] [CrossRef]
- Maeda, Y.; Higuchi, T.; Ikeda, I. FTIR Spectroscopic and Calorimetric Studies of the Phase Transitions of N-Isopropylacrylamide Copolymers in Water. Langmuir 2001, 17, 7535–7539. [Google Scholar] [CrossRef]
- Guo, S.; Zhang, H.; Lu, X.; Xiao, H.; Zhao, Y. Sensing Carbon Dioxide through Solution Transparency Change of Gas-Responsive Polymers. J. Mater. Chem. C 2019, 7, 4049–4056. [Google Scholar] [CrossRef]










| Sample | Aliphatic Amine | Mn (Da) (×10−3) | Mw (Da) (×10−3) | Ð | Tcp (°C) |
|---|---|---|---|---|---|
| C4PEG | n-butylamine | 6.6 | 8.3 | 1.2 | 46.8 |
| C5PEG | n-pentylamine | 7.2 | 9.2 | 1.3 | 29.7 |
| C6PEG | n-hexylamine | 7.1 | 9.2 | 1.3 | 20.8 |
| C5PEG (without solvent) | n-pentylamine | 13.0 | 26.4 | 2.0 | - |
Disclaimer/Publisher’s Note: The statements, opinions and data contained in all publications are solely those of the individual author(s) and contributor(s) and not of MDPI and/or the editor(s). MDPI and/or the editor(s) disclaim responsibility for any injury to people or property resulting from any ideas, methods, instructions or products referred to in the content. |
© 2024 by the authors. Licensee MDPI, Basel, Switzerland. This article is an open access article distributed under the terms and conditions of the Creative Commons Attribution (CC BY) license (https://creativecommons.org/licenses/by/4.0/).
Share and Cite
Huang, Z.; Chen, F.; Wang, Q.; Zhang, D.; Wang, H.; Zhang, X. Facile Synthesis of Thermoresponsive Alternating Copolymers with Tunable Phase-Transition Temperatures. Polymers 2024, 16, 3470. https://doi.org/10.3390/polym16243470
Huang Z, Chen F, Wang Q, Zhang D, Wang H, Zhang X. Facile Synthesis of Thermoresponsive Alternating Copolymers with Tunable Phase-Transition Temperatures. Polymers. 2024; 16(24):3470. https://doi.org/10.3390/polym16243470
Chicago/Turabian StyleHuang, Zichen, Fan Chen, Qi Wang, Dingxiang Zhang, Hongdong Wang, and Xiacong Zhang. 2024. "Facile Synthesis of Thermoresponsive Alternating Copolymers with Tunable Phase-Transition Temperatures" Polymers 16, no. 24: 3470. https://doi.org/10.3390/polym16243470
APA StyleHuang, Z., Chen, F., Wang, Q., Zhang, D., Wang, H., & Zhang, X. (2024). Facile Synthesis of Thermoresponsive Alternating Copolymers with Tunable Phase-Transition Temperatures. Polymers, 16(24), 3470. https://doi.org/10.3390/polym16243470

