Macromolecular Architecture in the Synthesis of Micro- and Mesoporous Polymers
Abstract
1. Introduction
2. Porous Organic Polymers
2.1. Aromatic Porous Structures
2.2. Covalent Organic Frameworks
2.3. Conjugated Microporous Polymers
2.4. Microporous Polymers Based on Covalent Triazine Frameworks
2.5. Hypercrosslinked Polystyrenes
3. Porous Coordination Polymers
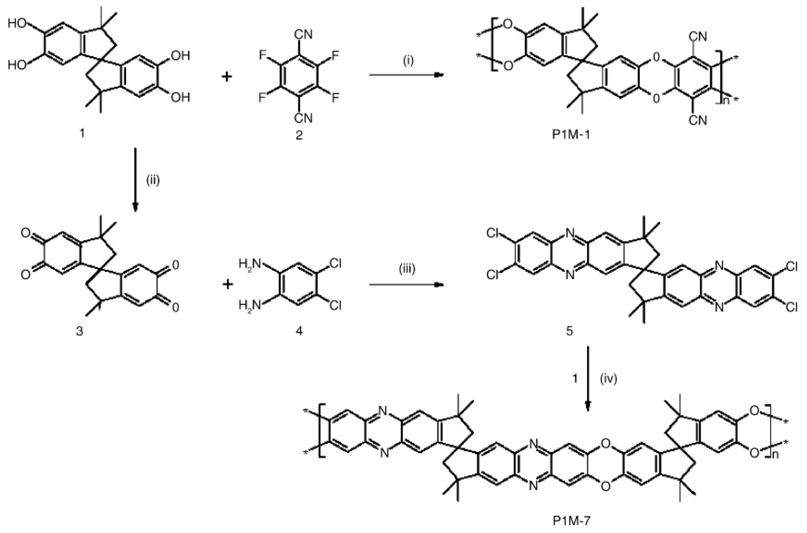
4. Polymers with Intrinsic Porosity
5. Block Copolymers in the Creation of Microporous and Mesoporous Polymers
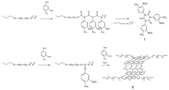
Block Copolymers Obtained Using Aromatic Isocyanates


6. Conclusions
Author Contributions
Funding
Institutional Review Board Statement
Data Availability Statement
Conflicts of Interest
References
- Zhang, Z.; Liu, Z.; Xue, C.; Chen, H.; Han, X.; Ren, Y. Amorphous porous organic polymers containing main group elements. Commun. Chem. 2023, 6, 271. [Google Scholar] [CrossRef]
- Wang, J.C.; Guo, J.T.; Gou, R.T.; Wang, M.L.; Wang, Y.M. Crown ether-based porous organic polymers for the removal of environmental pollutants in water. J. Incl. Phenom. Macrocycl. Chem. 2024, 104, 1–6. [Google Scholar] [CrossRef]
- Wang, Y.; Liu, W.; Zhang, J.; Shan, Q. Synthesis of Novel Ionic Porous Organic Polymers and Its Application in Hydroxyl Condensation Reaction. Catal. Lett. 2023, 153, 1797–1806. [Google Scholar] [CrossRef]
- Kaippamangalath, N.; Rajan, A.C.; Ramamurthy, P.C. Engineering conjugated porous polymers for nitroaromatic sensing. Chem. Pap. 2023, 77, 7409–7419. [Google Scholar] [CrossRef]
- Wu, D.; Xu, F.; Sun, B.; Fu, R.; He, H.; Matyjaszewski, K. Design and Preparation of Porous Polymers. Chem. Rev. 2012, 112, 3959–4015. [Google Scholar] [CrossRef] [PubMed]
- Shi, C.; Rorrer, N.A.; Shaw, A.L.; Clarke, R.W.; Buss, B.L.; Beckham, G.T.; Broadbelt, L.J.; Chen, E.Y. Topology-Accelerated and Selective Cascade Depolymerization of Architectually complex polyesters. J. Am. Chem. Soc. 2024, 146, 9261–9271. [Google Scholar] [CrossRef] [PubMed]
- Gao, Y.; Zhou, D.; Lyu, J.A.S.; Xu, Q.; Newland, B.; Matyjaszewski, K.; Tai, H.; Wang, W. Complex polymer architectures through free-radical polymerization of multivinyl monomers. Nat. Rev. Chem. 2020, 4, 194–212. [Google Scholar] [CrossRef] [PubMed]
- Geng, K.; He, T.; Liu, R.; Dalapati, S.; Tan, K.T.; Li, Z.; Tao, S.; Gong, Y.; Jiang, Q.; Jiang, D. Covalent Organic Frameworks: Design, Synthesis, and Functions. Chem. Rev. 2020, 120, 8814–8933. [Google Scholar] [CrossRef]
- Zhang, M.; Wang, W.; Zhang, Q.; Deng, S. Pore surface engineering of covalent organic frameworks by simultaneously appending amine group and tailoring pore size for efficient adsorption of diclofenac sodium. Chem. Eng. J. 2023, 459, 141561. [Google Scholar] [CrossRef]
- Wang, N.; Hou, D.; Li, Q.; Zhang, P.; Wei, H.; Mai, Y. Two-Dimensional Interface Engineering of Mesoporous Polydopamine on Graphene for Novel Organic Cathodes. ACS Appl. Energy Mater. 2019, 2, 5816–5823. [Google Scholar] [CrossRef]
- Tian, H.; Qin, J.; Hou, D.; Li, Q.; Li, C.; Wu, Z.S.; Mai, Y. General Interfacial Self-Assembly Engineering for Patterning Two-Dimensional Polymers with Cylindrical Mesopores on Graphene. Angew. Chem. Int. Ed. Engl. 2019, 58, 10173–10178. [Google Scholar] [CrossRef] [PubMed]
- Mohamed, M.G.; EL-Mahdy, A.F.M.; Kotp, M.G.; Kuo, S.W. Advances in porous organic polymers: Syntheses, structures, and diverse applications. Mater. Adv. 2022, 3, 707–733. [Google Scholar] [CrossRef]
- Benzigar, M.R.; Talapaneni, S.N.; Joseph, S.; Ramadass, K.; Singh, G.; Scaranto, J.; Ravon, U.; Al-Bahilyc, K.; Vinu, A. Recent advances in functionalized micro and mesoporous carbon materials: Synthesis and applications. Chem. Soc. Rev. 2018, 47, 2680–2721. [Google Scholar] [CrossRef] [PubMed]
- Das, S.; Heasman, P.; Ben, T.; Qiu, S.L. Porous Organic Materials: Strategic Design and Structure-Function Correlation. Chem. Rev. 2017, 117, 1515–1563. [Google Scholar] [CrossRef] [PubMed]
- Ji, W.; Wang, T.-X.; Ding, X.; Lei, S.; Han, B.-H. Porphyrin- and phthalocyanine-based porous organic polymers: From synthesis to application, Coord. Chem. Rev. 2021, 439, 213875. [Google Scholar] [CrossRef]
- Xu, T.; Wang, Z.; Zhang, W.; An, S.; Wei, L.; Guo, S.; Huang, Y.; Jiang, S.; Zhu, M.; Zhang, Y.B.; et al. Constructing Photocatalytic Covalent Organic Frameworks with Aliphatic Linkers. J. Am. Chem. Soc. 2024, 146, 20107–20115. [Google Scholar] [CrossRef]
- Lu, M.; Zhang, S.-B.; Li, R.-H.; Dong, L.-Z.; Yang, M.-Y.; Huang, P.; Liu, Y.-F.; Li, Z.-H.; Zhang, H.; Zhang, M.; et al. 3D Covalent Organic Frameworks with 16-Connectivity for Photocatalytic C(sp3)–C(sp2) Cross-Coupling. J. Am. Chem. Soc. 2024, 146, 25832–25840. [Google Scholar] [CrossRef]
- Zhang, Z.; Jia, J.; Zhi, Y.; Ma, S.; Liu, X. Porous organic polymers for light-driven organic transformations. Chem. Soc. Rev. 2022, 51, 2444–2490. [Google Scholar] [CrossRef]
- Yi, L.; Gao, Y.; Luo, S.; Wang, T.; Deng, H. Structure Evolution of 2D Covalent Organic Frameworks Unveiled by Single-Crystal X-ray Diffraction. J. Am. Chem. Soc. 2024, 146, 19643–19648. [Google Scholar] [CrossRef]
- Gong, Y.N.; Guan, X.; Jiang, H.L. Precise fabrication of ternary ordered covalent organic frameworks for photocatalysis. Coord. Chem. Rev. 2023, 475, 214889. [Google Scholar] [CrossRef]
- Tian, Y.; Zhu, G. Porous Aromatic Frameworks (PAFs). Chem. Rev. 2020, 120, 8934–8986. [Google Scholar] [CrossRef] [PubMed]
- Uliana, A.A.; Bui, N.T.; Kamcev, J.; Taylor, M.K.; Urban, J.J.; Long, J.R. Ion-capture electrodialysis using multifunctional adsorptive membranes. Science 2021, 372, 296–299. [Google Scholar] [CrossRef] [PubMed]
- Ma, Y.; Cui, F.; Rong, H.; Song, J.; Jing, X.; Tian, Y.; Zhu, G. Continuous Porous Aromatic Framework Membranes with Modifiable Sites for Optimized Gas Separation. Angew. Chem Int. Ed. 2022, 61, e202113682. [Google Scholar] [CrossRef] [PubMed]
- Song, J.; Li, Y.; Cao, P.; Jing, X.; Faheem, M.; Matsuo, Y.; Zhu, Y.; Tian, Y.; Wang, X.; Zhu, G. Synergic Catalysts of Polyoxometalate@Cationic Porous Aromatic Frameworks: Reciprocal Modulation of Both Capture and Conversion Materials. Adv. Mater. 2019, 31, 1902444. [Google Scholar] [CrossRef] [PubMed]
- Zou, J.; Trewin, A.; Ben, T.; Qiu, S. High Uptake and Fast Transportation of LiPF6 in a Porous Aromatic Framework for Solid-State Li-Ion Batteries. Angew. Chem. Int. Ed. 2020, 59, 769–774. [Google Scholar] [CrossRef]
- Li, Z.; Wang, L.; Yu, M.; Liu, Y.; Liu, B.; Sun, Z.; Hu, W.; Zhu, G. Lithium-Rich Porous Aromatic Framework-Based Quasi-Solid Polymer Electrolyte for High-Performance Lithium-Ion Batteries. ACS Appl. Mater. Interfaces 2022, 14, 53798–53807. [Google Scholar] [CrossRef]
- Chen, S.; Wu, Y.; Zhang, W.; Wang, S.; Yan, T.; He, S.; Yang, B.; Ma, H. A 3D ultra-microporous porous organic frameworks for SO2 and aromatic sulfides capture with high capacity and selectivity. Chem. Eng. J. 2022, 429, 132480. [Google Scholar] [CrossRef]
- Ben, T.; Ren, H.; Ma, S.; Cao, D.; Lan, J.; Jing, X.; Wang, W.; Xu, J.; Deng, F.; Simmons, J.M.; et al. Targeted synthesis of a porous aromatic framework with high stability and exceptionally high surface area. Angew. Chem. Int. Ed. Engl. 2009, 48, 9457. [Google Scholar] [CrossRef]
- Yuan, Y.; Zhu, G. Porous Aromatic Frameworks as a Platform for Multifunctional Applications. ACS Cent Sci. 2019, 5, 409–418. [Google Scholar] [CrossRef]
- Ben, T.; Qiu, S. Porous aromatic frameworks: Synthesis, structure and functions. CrystEngComm 2013, 15, 17–26. [Google Scholar] [CrossRef]
- Ding, X.; Liu, J.; Shi, H.; Yi, Z.; Zhou, L.; Ren, W.; Shao, P.; Yang, L.; Zhao, D.; Wei, Y.; et al. Regulating steric hindrance in difunctionalized porous aromatic frameworks for the selective separation of Pb(II). iScience 2023, 26, 108274. [Google Scholar] [CrossRef] [PubMed]
- Bazhenova, M.A.; Kulikov, L.A.; Bolnykh, Y.S.; Maksimov, A.L.; Karakhanov, E.A. Palladium catalysts based on porous aromatic frameworks for vanillin hydrogenation: Tuning the activity and selectivity by introducing functional groups. Catal. Commun. 2022, 170, 106486. [Google Scholar] [CrossRef]
- Antonio, V.; Pilar, F.; Ángela, M.; Avelina, A.; Félix, S.; Marta, I. Porous aromatic frameworks containing binaphthyl-dihydroazepine units (cBAPAFs) as catalytic supports for asymmetric reactions. J. Catal. 2022, 413, 434–442. [Google Scholar]
- Jian, W.; Peiping, Z.; Congcong, W.; Xuda, Z.; Yuanjun, Z.; Lina, L.; Shiding, M. Band structure tunable synthesis of photocatalytic porous aromatic frameworks via Scholl reaction. Mater. Des. 2020, 186, 108371. [Google Scholar]
- Zhang, B.; Wang, W.; Liang, L.; Xu, Z.; Li, X.; Qiao, S. Prevailing conjugated porous polymers for electrochemical lithium-ion batteries, supercapacitors and water splitting. Coord. Chem. Rev. 2021, 436, 213782. [Google Scholar] [CrossRef]
- Tong, Y.; Wang, X.; Zhang, Y.; Huang, W. Recent advances of covalent organic frameworks in lithium ion batteries. Inorg. Chem. Front. 2021, 8, 558–571. [Google Scholar] [CrossRef]
- Zhu, D.; Xu, G.; Barnes, M.; Li, Y.; Tseng, C.P.; Zhang, Z.; Zhang, J.J.; Zhu, Y.; Khalil, S.; Rahman, M.M.; et al. Covalent organic frameworks for batteries. Adv. Funct. Mater. 2021, 31, 2100505. [Google Scholar] [CrossRef]
- Zhao, H.; Sheng, L.; Wang, L.; Xu, H.; He, X. The opportunity of metal organic frameworks and covalent organic frameworks in lithium (ion) batteries and fuel cells. Energy Stor. Mater. 2020, 33, 36. [Google Scholar] [CrossRef]
- Wu, F.; Maier, J.; Yu, Y. Guidelines and trends for next-generation rechargeable lithium and lithium-ion batteries. Chem. Soc. Rev. 2020, 49, 1569. [Google Scholar] [CrossRef]
- Sun, P.; Bai, P.; Chen, Z.; Su, H.; Yang, J.; Xu, K.; Xu, Y. A lithium-organic primary battery. Small 2020, 16, 1906462–1906467. [Google Scholar] [CrossRef]
- Schon, T.B.; McAllister, B.T.; Li, P.F.; Seferos, D.S. The rise of organic electrode materials for energy storage. Chem. Soc. Rev. 2016, 45, 6405–6406. [Google Scholar] [CrossRef] [PubMed]
- Qimeng, W.; Qi, C.; Rui, Z.; Haiyu, W.; Weijian, D.; Fengchao, C.; Shu- Ying, L.; Hengguo, W.; Guangshan, Z. Salen-based porous aromatic frameworks with multi-active sites as anode materials for lithium-ion batteries. J. Colloid Interface Sci. 2023, 648, 616–622. [Google Scholar]
- Lepicka, K.; Pieta, P.; Francius, G.; Walcarius, A.; Kutner, W. Structure-reactivity requirements with respect to nickel-salen based polymers for enhanced electrochemical stability. Electrochim. Acta 2019, 315, 75. [Google Scholar] [CrossRef]
- Mukhopadhyay, S.; Basu, O.; Kar, A.; Das, S.K. Efficient electrocatalytic water oxidation by Fe(salen)-MOF composite: Effect of modified microenvironment. Inorg. Chem. 2020, 59, 472–483. [Google Scholar] [CrossRef]
- Li, H.; Feng, X.; Shao, P.; Chen, J.; Li, C.; Jayakumar, S.; Yang, Q. Synthesis of covlent organic frameworks via in situ salen skeleton formation for catalytic applications. J. Mater. Chem. A. 2019, 7, 5482. [Google Scholar] [CrossRef]
- Fan, K.; Zhang, C.; Chen, Y.; Wu, Y.; Wang, C. The chemical states of conjugated coordination polymers. Chem 2021, 7, 1224. [Google Scholar] [CrossRef]
- Kong, F.; Fan, X.; Zhang, X.; Wang, L.; Kong, A.; Shan, Y. Soft-confinement conv sion of Co-Salen-organic-frameworks to uniform cobalt nanoparticles embedded within porous carbons as robust trifunctional electrocatalysts. Carbon 2019, 149, 471. [Google Scholar] [CrossRef]
- He, W.; Xinmeng, X.; Linzhu, C.; Zhenwei, Z.; Jiali, L.; Xiaoming, L.; Xin, T.; Guangshan, Z. Enhanced photocatalytic performance of tetraphenylethylene-based porous aromatic frameworks by bandgap adjustment for the synthesis of benzimidazoles. EES Catal. 2024, 2, 1100–1110. [Google Scholar]
- Jian, S.; Hengtao, L.; Yuhui, Z.; Zilong, D.; Yongyue, D.; Xueyan, H.; Fengchao, C.; Yuyang, T.; Guangshan, Z. Exclusive generation of a superoxide radical by a porous aromatic framework for fast photocatalytic decontamination of mustard gas simulant in room air. Chem. Sci. 2024, 15, 15717–15724. [Google Scholar]
- Anna, Y.; Brandon, C.B.; Dylan, M.A.; Coray, M.C.; Randall, Q.S.; William, R.D. Defect engineering of porous aromatic frameworks via end capping improves dioxane removal from water. Matter 2023, 6, 2263–2273. [Google Scholar]
- Shuang, Z.; Zhaoli, L.; Panpan, Z.; Huazhen, R.; Tingting, M.; Fengchao, C.; Dongtao, L.; Xiaoqin, Z.; Guangshan, Z. Tailoring the pore chemistry in porous aromatic frameworks for selective separation of acetylene from ethylene. Chem. Sci. 2022, 13, 11126–11131. [Google Scholar]
- Liu, L.; Yin, L.; Cheng, D.; Zhao, S.; Zang, H.; Zhang, N.; Zhu, G. Surface-Mediated Construction of an Ultrathin Free-Standing Covalent Organic Framework Membrane for Efficient Proton Conduction. Angew. Chem. Int. Ed. 2021, 60, 14875–14880. [Google Scholar] [CrossRef]
- Cooper, A.I. Conjugated Microporous Polymers. Adv. Mater. 2009, 21, 1291. [Google Scholar] [CrossRef]
- Xu, Y.; Jin, S.; Xu, H.; Nagai, A.; Jiang, D. Conjugated microporous polymers: Design, synthesis and application. Chem. Soc. Rev. 2013, 42, 8012. [Google Scholar] [CrossRef] [PubMed]
- Lee, J.-S.M.; Cooper, A.I. Advances in Conjugated Microporous Polymers. Chem. Rev. 2020, 120, 2171. [Google Scholar] [CrossRef]
- Chaoui, N.; Trunk, M.; Dawson, R.; Schmidt, J.; Thomas, A. Trends and challenges for microporous polymers. Chem. Soc. Rev. 2017, 46, 3302. [Google Scholar] [CrossRef]
- Kotp, M.G.; Lüder, J.; Kuo, S.W.; EL-Mahdy, A.F. Phenazine-integrated conjugated microporous polymers for modulating the mechanics of supercapacitor electrodes. Mater. Adv. 2024, 5, 4142–4150. [Google Scholar] [CrossRef]
- Shangda, C.; Ming, G.; Shibo, W.; Seyed Mohsen, S. Benzimidazole-connected microporous conjugated polymers bolstered by dendritic fibrous nanosilica as a significant additive in the context of ultra-high-performance concrete. Case Stud. Constr. Mater. 2024, 21, e03561. [Google Scholar]
- Yi-Ru, C.; Xiu, W.; Yibao, L.; Wei-Rong, C. Modulating conjugated microporous polymers via molecular isomerism engineering for photoenhanced extraction of uranium from rare earth wastewater. Cell Rep. Sustain. 2024, 1, 100058. [Google Scholar]
- Amaraseela, D.S.; Sarih, N.M.; Habibu, S. Poly(triazine-co-pyrrole)-based conjugated microporous polymers for carbon dioxide capture. Energy Adv. 2023, 2, 1127–1133. [Google Scholar] [CrossRef]
- Santosh, U.S.; Mohamed Hammad, E.; Islam, M.A.M.; Tso Shiuan, M.; Ho-Hsiu, C.; Shiao-Wei, K.; Mohamed, G.M. Rational design of pyrene and thienyltriazine-based conjugated microporous polymers for high-performance energy storage and visible-light photocatalytic hydrogen evolution from water. Giant 2024, 17, 100217. [Google Scholar]
- He, L.; Hanqian, P.; Yijian, L.; Shuaishuai, S.; Shihui, H.; Xili, C.; Jun, H.; Honglai, L. Feasible bottom-up development of conjugated microporous polymers (CMPs) for boosting the deep removal of sulfur dioxide. Chem. Sci. 2023, 14, 8321–8326. [Google Scholar]
- Rebecca, G.; Antonio, M.; Jaime, S.S.; Nagaraj, P.; Marta, L.; Rebeca, M. A significantly improved polymer||Ni(OH)2 alkaline rechargeable battery using anthraquinone-based conjugated microporous polymer anode. Mater. Today Energy 2022, 27, 101014. [Google Scholar]
- Xiao, H.; Yan, Z.; YunYun, D.; Jinsheng, Z.; Shouli, M.; Junhong, Z. Effect of the cross-linker length of thiophene units on photocatalytic hydrogen production of triazinebased conjugated microporous polymers. RSC Adv. 2022, 12, 708–718. [Google Scholar]
- Qian, Z.; Yan, Y.; Liang, Z.; Zhuang, X.; Zhang, K.A. Enhancing charge separation in conjugated microporous polymers for efficient photocatalytic hydrogen evolution. Mater. Adv. 2021, 2, 7379–7383. [Google Scholar] [CrossRef]
- Samy, M.M.; Mohamed, M.G.; Kuo, S.-W. Conjugated Microporous Polymers Based on Ferrocene Units as Highly Efficient Electrodes for Energy Storage. Polymers 2023, 15, 1095. [Google Scholar] [CrossRef] [PubMed]
- Jiang, J.-X.; Su, F.; Trewin, A.; Wood, C.D.; Campbell, N.L.; Niu, H.; Dickinson, C.; Ganin, A.Y.; Rosseinsky, M.J.; Khimyak, Y.Z.; et al. Conjugated Microporous Poly(Aryleneethynylene) Networks. Angew. Chem. Int. Ed. 2007, 46, 8574–8578. [Google Scholar] [CrossRef]
- Liu, Q.; Tang, Z.; Wu, M.; Zhou, Z. Design, Preparation and Application of Conjugated Microporous Polymers. Polym. Int. 2014, 63, 381–392. [Google Scholar] [CrossRef]
- Schmidt, J.; Werner, M.; Thomas, A. Conjugated Microporous Polymer Networks Via Yamamoto Polymerization. Macromolecules 2009, 42, 4426–4429. [Google Scholar] [CrossRef]
- Liang, Z.; Liang, H. Synthesis of Nano-Structured Conjugated Polymers with Multiple Micro-/Meso-Pores by the Post-Crosslinking of End-Functionalized Hyperbranched Conjugated Polymers. Polymers 2024, 16, 1192. [Google Scholar] [CrossRef]
- Sun, L.; Liang, Z.; Yu, J.; Xu, R. Luminescent Microporous Organic Polymers Containing the 1,3,5-Tri(4-Ethenylphenyl)Benzene Unit Constructed by Heck Coupling Reaction. Polym. Chem. 2013, 4, 1932–1938. [Google Scholar] [CrossRef]
- Sun, L.; Zou, Y.; Liang, Z.; Yu, J.; Xu, R. A One-Pot Synthetic Strategy Via Tandem Suzuki-Heck Reactions for the Construction of Luminescent Microporous Organic Polymers. Polym. Chem. 2014, 5, 471–478. [Google Scholar] [CrossRef]
- Yuan, S.; Dorney, B.; White, D.; Kirklin, S.; Zapol, P.; Yu, L.; Liu, D.-J. Microporous Polyphenylenes with Tunable Pore Size for Hydrogen Storage. Chem. Commun. 2010, 46, 4547–4549. [Google Scholar] [CrossRef]
- Marco, A.B.; Cortizo-Lacalle, D.; Perez-Miqueo, I.; Valenti, G.; Boni, A.; Plas, J.; Strutynski, K.; De Feyter, S.; Paolucci, F.; Montes, M.; et al. Twisted Aromatic Frame-works: Readily Exfoliable and Solution-Processable Two-Dimensional Conjugated Microporous Polymers. Angew. Chem. Int. Ed. 2017, 56, 6946–6951. [Google Scholar] [CrossRef] [PubMed]
- Kou, Y.; Xu, Y.; Guo, Z.; Jiang, D. Supercapacitive Energy Storage and Electric Power Supply Using an Aza-Fused Π-Conjugated Microporous Framework. Angew. Chem. Int. Ed. 2011, 50, 8753–8757. [Google Scholar] [CrossRef]
- Rabbani, M.G.; Sekizkardes, A.K.; El-Kadri, O.M.; Kaafarani, B.R.; El-Kaderi, H.M. Pyrene-Directed Growth of Nanoporous Benzimidazole-Linked Nanofibers and Their Application to Selective CO2 Capture and Separation. J. Mater. Chem. 2012, 22, 25409–25417. [Google Scholar] [CrossRef]
- Xu, C.; Hedin, N. Synthesis of Microporous Organic Polymers with High CO2-over-N2 Selectivity and CO2 Adsorption. J. Mater. Chem. A 2013, 1, 3406–3414. [Google Scholar] [CrossRef]
- Biswal, B.P.; Becker, D.; Chandrasekhar, N.; Seenath, J.S.; Paasch, S.; Machill, S.; Hennersdorf, F.; Brunner, E.; Weigand, J.J.; Berger, R.; et al. Exploration of Thiazolo[5,4-D] Thiazole Linkages in Conjugated Porous Organic Polymers for Chemoselective Molecular Sieving. Chem. Eur. J. 2018, 24, 10868–10875. [Google Scholar] [CrossRef]
- Zhu, X.; Tian, C.; Jin, T.; Wang, J.; Mahurin, S.M.; Mei, W.; Xiong, Y.; Hu, J.; Feng, X.; Liu, H.; et al. Thiazolothiazole-Linked Porous Organic Polymers. Chem. Commun. 2014, 50, 15055–15058. [Google Scholar] [CrossRef]
- Lu, G.; Yang, H.; Zhu, Y.; Huggins, T.; Ren, Z.J.; Liu, Z.; Zhang, W. Synthesis of a Con-jugated Porous Co(II) Porphyrinylene-Ethynylene Framework through Alkyne Metathesis and Its Catalytic Activity Study. J. Mater. Chem. A 2015, 3, 4954–4959. [Google Scholar] [CrossRef]
- Li, B.; Guan, Z.; Yang, X.; Wang, W.D.; Wang, W.; Hussain, I.; Song, K.; Tan, B.; Li, T. Multifunctional Microporous Organic Polymers. J. Mater. Chem. A 2014, 2, 11930–11939. [Google Scholar] [CrossRef]
- Zhang, Y.; Sigen, A.; Zou, Y.; Luo, X.; Li, Z.; Xia, H.; Liu, X.; Mu, Y. Gas Uptake, Molecular Sensing and Organocatalytic Performances of a Multifunctional Carbazole-Based Conjugated Microporous Polymer. J. Mater. Chem. A 2014, 2, 13422–13430. [Google Scholar] [CrossRef]
- Liao, Y.; Wang, H.; Zhu, M.; Thomas, A. Efficient Supercapacitor Energy Storage Using Conjugated Microporous Polymer Networks Synthesized from Buchwald–Hartwig Coupling. Adv. Mater. 2018, 30, 1705710. [Google Scholar] [CrossRef]
- Liao, Y.; Weber, J.; Faul, C.F. Conjugated Microporous Polytriphenylamine Networks. Chem. Commun. 2014, 50, 8002–8005. [Google Scholar] [CrossRef]
- Yang, L.; Ma, Y.; Xu, Y.; Chang, G. Cation–π induced lithium-doped conjugated microporous polymer with remarkable hydrogen storage performance. Chem. Commun. 2019, 55, 11227–11230. [Google Scholar] [CrossRef]
- Zeng, W.; Zhang, Y.; Zhao, X.; Qin, M.; Li, X.; Jin, W.; Zhang, D. One-pot synthesis of conjugated microporous polymers based on extended molecular graphenes for hydrogen storage. Polymer 2019, 174, 96–100. [Google Scholar] [CrossRef]
- Zhang, X.; Xu, H.; Meng, Q.; Fan, Z.; Zhang, W.; Shen, C.; Zhang, G. Pebax-derived ultra-microporous carbon molecular sieve composite membrane assisted by organic interlayer for gas separation. J. Membr. Sci. 2024, 704, 122871. [Google Scholar] [CrossRef]
- Zhao, Y.; Yao, K.X.; Teng, B.; Zhang, T.; Han, Y. A Perfluorinated Covalent Tria-zine-Based Framework for Highly Selective and Water-Tolerant CO2 Capture. Energy Environ. Sci. 2013, 6, 3684–3692. [Google Scholar] [CrossRef]
- Lindemann, P.; Tsotsalas, M.; Shishatskiy, S.; Abetz, V.; Krolla-Sidenstein, P.; Azucena, C.; Monnereau, L.; Beyer, A.; Golzhauser, A.; Mugnaini, V.; et al. Preparation of Freestanding Conjugated Microporous Polymer Nanomembranes for Gas Separation. Chem. Mater. 2014, 26, 7189–7193. [Google Scholar] [CrossRef]
- Talapaneni, S.N.; Kim, D.; Barin, G.; Buyukcakir, O.; Je, S.H.; Coskun, A. Pillar[5]Arene Based Conjugated Microporous Polymers for Propane/Methane Separation through Host–Guest Complexation. Chem. Mater. 2016, 28, 4460–4466. [Google Scholar] [CrossRef]
- Roy, S.; Bandyopadhyay, A.; Das, M.; Ray, P.P.; Pati, S.K.; Maji, T.K. Redox-active and semi-conducting donor–acceptor conjugated microporous polymers as metal-free ORR catalysts. J. Mater. Chem. A 2018, 6, 5587–5591. [Google Scholar] [CrossRef]
- Chen, L.; Yang, Y.; Jiang, D. Cmps as Scaffolds for Constructing Porous Catalytic Frameworks: A Built-in Heterogeneous Catalyst with High Activity and Selectivity Based on Nanoporous Metalloporphyrin Polymers. J. Am. Chem. Soc. 2010, 132, 9138–9143. [Google Scholar] [CrossRef]
- Xie, Y.; Wang, T.-T.; Liu, X.-H.; Zou, K.; Deng, W.-Q. Capture and Conversion of CO2 at Ambient Conditions by a Conjugated Microporous Polymer. Nat. Commun. 2013, 4, 1960. [Google Scholar] [CrossRef] [PubMed]
- Wu, Z.-S.; Chen, L.; Liu, J.; Parvez, K.; Liang, H.; Shu, J.; Sachdev, H.; Graf, R.; Feng, X.; Mullen, K. High-Performance Electrocatalysts for Oxygen Reduction Derived from Cobalt Porphyrin-Based Conjugated Mesoporous Polymers. Adv. Mater. 2014, 26, 1450–1455. [Google Scholar] [CrossRef] [PubMed]
- Cui, S.; Qian, M.; Liu, X.; Sun, Z.; Du, P. A Copper Porphyrin-Based Conjugated Mesoporous Polymer-Derived Bifunctional Electrocatalyst for Hydrogen and Oxygen Evolution. ChemSusChem 2016, 9, 2365–2373. [Google Scholar] [CrossRef] [PubMed]
- He, Y.; Gehrig, D.; Zhang, F.; Lu, C.; Zhang, C.; Cai, M.; Wang, Y.; Laquai, F.; Zhuang, X.; Feng, X. Highly Efficient Electrocatalysts for Oxygen Reduction Reaction Based on 1d Ternary Doped Porous Carbons Derived from Carbon Nanotube Directed Conjugated Microporous Polymers. Adv. Funct. Mater. 2016, 26, 8255–8265. [Google Scholar] [CrossRef]
- Jiang, J.-X.; Trewin, A.; Adams, D.J.; Cooper, A.I. Band Gap Engineering in Fluorescent Conjugated Microporous Polymers. Chem. Sci. 2011, 2, 1777–1781. [Google Scholar] [CrossRef]
- Xu, Y.; Nagai, A.; Jiang, D. Core-Shell Conjugated Microporous Polymers: A New Strategy for Exploring Color-Tunable and -Controllable Light Emissions. Chem. Commun. 2013, 49, 1591–1593. [Google Scholar] [CrossRef]
- Xu, Y.; Chen, L.; Guo, Z.; Nagai, A.; Jiang, D. Light-Emitting Conjugated Polymers with Microporous Network Architecture: Interweaving Scaffold Promotes Electronic Conjugation, Facilitates Exciton Migration, and Improves Luminescence. J. Am. Chem. Soc. 2011, 133, 17622–17625. [Google Scholar] [CrossRef]
- Liu, X.; Zhang, Y.; Li, H.; Sigen, A.; Xia, H.; Mu, Y. Triarylboron-Based Fluorescent Conjugated Microporous Polymers. RSC Adv. 2013, 3, 21267–21270. [Google Scholar] [CrossRef]
- Zhang, P.; Wu, K.; Guo, J.; Wang, C. From Hyperbranched Polymer to Nanoscale CMP (NCMP): Improved Microscopic Porosity, Enhanced Light Harvesting, and Ena-bled Solution Processing into White-Emitting Dye@Ncmp Films. ACS Macro Lett. 2014, 3, 1139–1144. [Google Scholar] [CrossRef] [PubMed]
- Bonillo, B.; Sprick, R.S.; Cooper, A.I. Tuning Photophysical Properties in Conjugated Microporous Polymers by Comonomer Doping Strategies. Chem. Mater. 2016, 28, 3469–3480. [Google Scholar] [CrossRef]
- Gu, C.; Huang, N.; Chen, Y.; Qin, L.; Xu, H.; Zhang, S.; Li, F.; Ma, Y.; Jiang, D. π-conjugated microporous polymer films: Designed synthesis, conducting properties, and photoenergy conversions. Angew. Chem. 2015, 127, 13798–13802. [Google Scholar] [CrossRef]
- Gu, C.; Huang, N.; Chen, Y.; Zhang, H.; Zhang, S.; Li, F.; Ma, Y.; Jiang, D. Porous organic polymer films with tunable work functions and selective hole and electron flows for energy conversions. Angew. Chem. Int. Ed. 2016, 55, 3049–3053. [Google Scholar] [CrossRef]
- Yu, Y.-Y.; Tsai, T.-W.; Chen, C.-P. Efficient ternary organic photovoltaics using two conjugated polymers and a nonfullerene acceptor with complementary absorption and cascade energy-level alignment. J. Phys. Chem. C 2018, 122, 24585–24591. [Google Scholar] [CrossRef]
- Liu, X.; Xu, Y.; Jiang, D. Conjugated Microporous Polymers as Molecular Sensing De-vices: Microporous Architecture Enables Rapid Response and Enhances Sensitivity in Fluorescence-On and Fluorescence-Off Sensing. J. Am. Chem. Soc. 2012, 134, 8738–8741. [Google Scholar] [CrossRef]
- Liu, Q.; Sun, Q.; Shen, J.; Li, H.; Zhang, Y.; Chen, W.; Yu, S.; Li, X.; Chen, Y. Emerging tetrapyrrole porous organic polymers for chemosensing applications. Coord. Chem. Rev. 2023, 482, 215078. [Google Scholar] [CrossRef]
- Zhang, C.; Pan, G.; He, Y. Conjugated microporous organic polymer as fluorescent chemosensor for detection of Fe3+ and Fe2+ ions with high selectivity and sensitivity. Talanta 2022, 236, 122872. [Google Scholar] [CrossRef]
- Novotney, J.L.; Dichtel, W.R. Conjugated Porous Polymers for TNT Vapor Detection. ACS Macro Lett. 2013, 2, 423–426. [Google Scholar] [CrossRef]
- Li, Z.; Li, H.; Xia, H.; Ding, X.; Luo, X.; Liu, X.; Mu, Y. Triarylboron-Linked Conjugated Microporous Polymers: Sensing and Removal of Fluoride Ions. Chem. Eur. J. 2015, 21, 17355–17362. [Google Scholar] [CrossRef]
- Geng, T.-M.; Zhu, H.; Song, W.; Zhu, F.; Wang, Y. Conjugated Microporous Polymer-Based Carbazole Derivatives as Fluorescence Chemosensors for Picronitric Acid. J. Mater. Sci. 2016, 51, 4104–4114. [Google Scholar] [CrossRef]
- Gu, C.; Huang, N.; Gao, J.; Xu, F.; Xu, Y.; Jiang, D. Controlled Synthesis of Conjugated Microporous Polymer Films: Versatile Platforms for Highly Sensitive and Label-Free Chemo- and Biosensing. Angew. Chem. Int. Ed. 2014, 53, 4850–4855. [Google Scholar] [CrossRef]
- Bhunia, S.; Dey, N.; Pradhan, A.; Bhattacharya, S. A Conjugated Microporous Polymer Based Visual Sensing Platform for Aminoglycoside Antibiotics in Water. Chem. Commun. 2018, 54, 7495–7498. [Google Scholar] [CrossRef]
- Rengaraj, A.; Puthiaraj, P.; Haldorai, Y.; Heo, N.S.; Hwang, S.-K.; Han, Y.-K.; Kwon, S.; Ahn, W.-S.; Huh, Y.S. Porous Covalent Triazine Polymer as a Potential Nanocargo for Cancer Therapy and Imaging. ACS Appl. Mater. Interfaces 2016, 8, 8947–8955. [Google Scholar] [CrossRef] [PubMed]
- Hynek, J.; Rathousky, J.; Demel, J.; Lang, K. Design of Porphyrin-Based Conjugated Microporous Polymers with Enhanced Singlet Oxygen Productivity. RSC Adv. 2016, 6, 44279–44287. [Google Scholar] [CrossRef]
- Ding, X.; Han, B.-H. Metallophthalocyanine-Based Conjugated Microporous Polymers as Highly Efficient Photosensitizers for Singlet Oxygen Generation. Angew. Chem. Int. Ed. 2015, 54, 6536–6539. [Google Scholar] [CrossRef] [PubMed]
- Ma, B.C.; Ghasimi, S.; Landfester, K.; Zhang, K.A. Enhanced Visible Light Pro-moted Antibacterial Efficiency of Conjugated Microporous Polymer Nanoparticles Via Molecular Doping. J. Mater. Chem. B 2016, 4, 5112–5118. [Google Scholar] [CrossRef]
- Li, Z.; Feng, X.; Gao, S.; Jin, Y.; Zhao, W.; Liu, H.; Yang, X.; Hu, S.; Cheng, K.; Zhang, J. Porous Organic Polymer-Coated BandAids for Phototherapy of Bacteria-Induced Wound Infection. ACS Appl. Bio Mater. 2019, 2, 613–618. [Google Scholar] [CrossRef]
- Tan, J.; Wan, J.; Guo, J.; Wang, C. Self-Sacrificial TemplateInduced Modulation of Conjugated Microporous Polymer Microcapsules and Shape-Dependent Enhanced Photothermal Efficiency for Ablation of Cancer Cells. Chem. Commun. 2015, 51, 17394–17397. [Google Scholar] [CrossRef]
- Geng, T.; Ye, S.; Zhu, Z.; Zhang, W. Triazine-based conjugated microporous polymers with N,N,N′,N′-tetraphenyl-1,4-phenylenediamine, 1,3,5-tris(diphenylamino)benzene and 1,3,5-tris[(3-methylphenyl)-phenylamino]benzene as the core for high iodine capture and fluorescence sensing of o-nitrophenol. J. Mater. Chem. A 2018, 6, 2808–2816. [Google Scholar]
- Geng, T.; Zhang, W.; Zhu, Z.; Kai, X. Triazine-based conjugated microporous polymers constructing triphenylamine and its derivatives with nitrogen as core for iodine adsorption and fluorescence sensing I 2. Microporous Mesoporous Mater. 2019, 273, 163–170. [Google Scholar] [CrossRef]
- Dawson, R.; Laybourn, A.; Clowes, R.; Khimyak, Y.Z.; Adams, D.J.; Cooper, A.I. Functionalized Conjugated Microporous Polymers. Macromolecules 2009, 42, 8809–8816. [Google Scholar] [CrossRef]
- Rao, K.V.; Mohapatra, S.; Maji, T.K.; George, S.J. Guest Responsive Reversible Swelling and Enhanced Fluorescence in a Super-Absorbent, Dynamic Microporous Polymer. Chem. Eur. J. 2012, 18, 4505–4509. [Google Scholar] [CrossRef]
- Wang, X.-S.; Liu, J.; Bonefont, J.M.; Yuan, D.-Q.; Thallapally, P.K.; Ma, S. A Porous Covalent Porphyrin Framework with Exceptional Uptake Capacity of Saturated Hydrocarbons for Oil Spill Cleanup. Chem. Commun. 2013, 49, 1533–1535. [Google Scholar] [CrossRef]
- Venkata Rao, K.; Haldar, R.; Maji, T.K.; George, S.J. Dynamic, Conjugated Microporous Polymers: Visible Light Harvesting Via Guest-Responsive Reversible Swelling. Phys. Chem. Chem. Phys. 2016, 18, 156–163. [Google Scholar] [CrossRef]
- Meiyun, X.; Tao, W.; Lei, Z.; Daoben, H. Fluorescent conjugated mesoporous polymers with N,N-diethylpropylamine for the efficient capture and real-time detection of vola-tile iodine. J. Mater. Chem. A 2020, 8, 1966–1974. [Google Scholar]
- Kudo, A.; Miseki, Y. Heterogeneous Photocatalyst Materials for Water Splitting. Chem. Soc. Rev. 2009, 38, 253–278. [Google Scholar] [CrossRef] [PubMed]
- Chen, X.; Shen, S.; Guo, L.; Mao, S.S. Semiconductor-Based Photocatalytic Hydro-gen Generation. Chem. Rev. 2010, 110, 6503–6570. [Google Scholar] [CrossRef]
- Wang, X.; Maeda, K.; Thomas, A.; Takanabe, K.; Xin, G.; Carlsson, J.M.; Domen, K.; Antonietti, M. A Metal-Free Polymeric Photocatalyst for Hydrogen Production from Water under Visible Light. Nat. Mater. 2009, 8, 76–80. [Google Scholar] [CrossRef]
- Sprick, R.S.; Jiang, J.-X.; Bonillo, B.; Ren, S.; Ratvijitvech, T.; Guiglion, P.; Zwijnenburg, M.A.; Adams, D.J.; Cooper, A.I. Tunable Organic Photocatalysts for Visible-Light-Driven Hydrogen Evolution. J. Am. Chem. Soc. 2015, 137, 3265–3270. [Google Scholar] [CrossRef]
- Wang, L.; Wan, Y.; Ding, Y.; Wu, S.; Zhang, Y.; Zhang, X.; Zhang, G.; Xiong, Y.; Wu, X.; Yang, J.; et al. Conjugated Microporous Polymer Nanosheets for Overall Water Splitting Using Visible Light. Adv. Mater. 2017, 29, 1702428. [Google Scholar] [CrossRef] [PubMed]
- Vyas, V.S.; Haase, F.; Stegbauer, L.; Savasci, G.; Podjaski, F.; Ochsenfeld, C.; Lotsch, B.V. A Tunable Azine Covalent Organic Framework Platform for Visible Light-Induced Hydrogen Generation. Nat. Commun. 2015, 6, 8508. [Google Scholar] [CrossRef] [PubMed]
- Bhunia, A.; Esquivel, D.; Dey, S.; Fernandez-Teran, R.; Goto, Y.; Inagaki, S.; Van Der Voort, P.; Janiak, C. A Photoluminescent Covalent Triazine Framework: CO2 Adsorption, Light-Driven Hydrogen Evolution and Sensing of Nitroaromatics. J. Mater. Chem. A 2016, 4, 13450–13457. [Google Scholar] [CrossRef]
- Li, L.; Cai, Z.; Wu, Q.; Lo, W.-Y.; Zhang, N.; Chen, L.X.; Yu, L. Rational Design of Porous Conjugated Polymers and Roles of Residual Palladium for Photocatalytic Hydrogen Production. J. Am. Chem. Soc. 2016, 138, 7681–7686. [Google Scholar] [CrossRef]
- Li, L.; Lo, W.-y.; Cai, Z.; Zhang, N.; Yu, L. Donor–Acceptor Porous Conjugated Polymers for Photocatalytic Hydrogen Production: The Importance of Acceptor Comonomer. Macromolecules 2016, 49, 6903–6909. [Google Scholar] [CrossRef]
- Sprick, R.S.; Bonillo, B.; Sachs, M.; Clowes, R.; Durrant, J.R.; Adams, D.J.; Cooper, A.I. Extended Conjugated Microporous Polymers for Photocatalytic Hydrogen Evolution from Water. Chem. Commun. 2016, 52, 10008–10011. [Google Scholar] [CrossRef] [PubMed]
- Yang, C.; Ma, B.C.; Zhang, L.; Lin, S.; Ghasimi, S.; Landfester, K.; Zhang, K.A.I.; Wang, X. Molecular Engineering of Conjugated Polybenzothiadiazoles for Enhanced Hydrogen Production by Photosynthesis. Angew. Chem. Int. Ed. 2016, 55, 9202–9206. [Google Scholar] [CrossRef]
- Sprick, R.S.; Bai, Y.; Guilbert, A.A.Y.; Zbiri, M.; Aitchison, C.M.; Wilbraham, L.; Yan, Y.; Woods, D.J.; Zwijnenburg, M.A.; Cooper, A.I. Photocatalytic Hydrogen Evolution from Water Using Fluorene and Dibenzothiophene Sulfone Conjugated Microporous and Linear Polymers. Chem. Mater. 2019, 31, 305–313. [Google Scholar] [CrossRef]
- Amin, K.; Ashraf, N.; Mao, L.; Faul, C.F.; Wei, Z. Conjugated microporous polymers for energy storage: Recent progress and challenges. Nano Energy 2021, 85, 105958. [Google Scholar] [CrossRef]
- Luo, S.; Zeng, Z.; Wang, H.; Xiong, W.; Song, B.; Zhou, C.; Duan, A.; Tan, X.; He, Q.; Zeng, G.; et al. Recent progress in conjugated microporous polymers for clean energy: Synthesis, modification, computer simulations, and applications. Prog. Polym. Sci. 2021, 115, 101374. [Google Scholar] [CrossRef]
- Kotp, M.G.; Kuo, S.-W.; EL-Mahdy, A.F.M. Phenazine-based conjugated microporous polymers: Influence of planarity and imine content on energy storage performance. Colloids Surf. A Physicochem. Eng. Asp. 2024, 685, 133210. [Google Scholar] [CrossRef]
- Xu, F.; Chen, X.; Tang, Z.; Wu, D.; Fu, R.; Jiang, D. RedoxActive Conjugated Microporous Polymers: A New Organic Platform for Highly Efficient Energy Storage. Chem. Commun. 2014, 50, 4788–4790. [Google Scholar] [CrossRef] [PubMed]
- Zhang, H.; Zhang, Y.; Gu, C.; Ma, Y. Electropolymerized Conjugated Microporous Poly(Zinc-Porphyrin) Films as Potential Electrode Materials in Supercapacitors. Adv. Energy Mater. 2015, 5, 1402175. [Google Scholar] [CrossRef]
- Zhuang, X.; Zhang, F.; Wu, D.; Forler, N.; Liang, H.; Wagner, M.; Gehrig, D.; Hansen, M.R.; Laquai, F.; Feng, X. Two-Dimensional Sandwich-Type, Graphene-Based Conjugated Microporous Polymers. Angew. Chem. Int. Ed. 2013, 52, 9668–9672. [Google Scholar] [CrossRef] [PubMed]
- Zhang, S.; Huang, W.; Hu, P.; Huang, C.; Shang, C.; Zhang, C.; Yang, R.; Cui, G. Conjugated Microporous Polymers with Excellent Electrochemical Performance for Lithium and Sodium Storage. J. Mater. Chem. A 2015, 3, 1896–1901. [Google Scholar] [CrossRef]
- Chai, S.; Hu, N.; Han, Y.; Zhang, X.; Yang, Z.; Wei, L.; Wang, L.; Wei, H. The Microwave-Assisted Solvothermal Synthesis of a Novel [Small Beta]-Ketoenamine-Linked Conjugated Microporous Polymer for Supercapacitors. RSC Adv. 2016, 6, 49425–49428. [Google Scholar] [CrossRef]
- Lee, J.-S.M.; Wu, T.-H.; Alston, B.M.; Briggs, M.E.; Hasell, T.; Hu, C.-C.; Cooper, A.I. Porosity-Engineered Carbons for Supercapacitive Energy Storage Using Conjugated Microporous Polymer Precursors. J. Mater. Chem. A 2016, 4, 7665–7673. [Google Scholar] [CrossRef]
- Zhang, Q.; Dai, Q.; Li, M.; Wang, X.; Li, A. Incorporation of Mno Nanoparticles in-side Porous Carbon Nanotubes Originated from Conjugated Microporous Polymers for Lithium Storage. J. Mater. Chem. A 2016, 4, 19132–19139. [Google Scholar] [CrossRef]
- Li, X.-C.; Zhang, Y.; Wang, C.-Y.; Wan, Y.; Lai, W.-Y.; Pang, H.; Huang, W. Re-dox-Active Triazatruxene-Based Conjugated Microporous Polymers for High-Performance Supercapacitors. Chem. Sci. 2017, 8, 2959–2965. [Google Scholar] [CrossRef]
- Zhang, C.; He, Y.; Mu, P.; Wang, X.; He, Q.; Chen, Y.; Zeng, J.; Wang, F.; Xu, Y.; Jiang, J.-X. Toward High Performance Thiophene-Containing Conjugated Microporous Polymer Anodes for Lithium-Ion Batteries through Structure Design. Adv. Funct. Mater. 2018, 28, 1705432. [Google Scholar] [CrossRef]
- Chen, Y.; Li, H.; Tang, M.; Zhuo, S.; Wu, Y.; Wang, E.; Wang, S.; Wang, C.; Hu, W. Capacitive conjugated ladder polymers for fast-charge and-discharge sodium-ion batteries and hybrid supercapacitors. J. Mater. Chem. A 2019, 7, 20891–20898. [Google Scholar] [CrossRef]
- Tan, Z.; Su, H.; Guo, Y.; Liu, H.; Liao, B.; Amin, A.M.; Liu, Q. Ferrocene-Based Conjugated Microporous Polymers Derived from Yamamoto Coupling for Gas Storage and Dye Removal. Polymers 2020, 12, 719. [Google Scholar] [CrossRef] [PubMed]
- Kim, J.; Moisanu, C.M.; Gannett, C.N.; Halder, A.J.; Fuentes-Rivera, K.; Majer, S.H.; Lancaster, K.M.; Forse, A.C.; Abruna, H.D.; Milner, P.J. Conjugated Microporous Polymers via Solvent-Free Ionothermal Cyclotrimerization of Methyl Ketones. Chem. Mater. 2021, 33, 8334–8342. [Google Scholar] [CrossRef]
- Mohamed, G.M.; Santosh, U.S.; Pei-Tzu, W.; Mervat, I.; Meng-Hao, L.; Cheng-Liang, L.; Mohsin, E.; Hung-Ju, Y.; Shiao-Wei, K. Construction of fully π-conjugated, diynelinked conjugated microporous polymers based on tetraphenylethene and diben-zo[g,p]chrysene units for energy storage. Polym. Chem. 2024, 15, 2827–2839. [Google Scholar] [CrossRef]
- Luo, S.; Zeng, Z.; Zeng, G.; Liu, Z.; Xiao, R.; Xu, P.; Wang, H.; Huang, D.; Liu, Y.; Shao, B.; et al. Recent advances in conjugated microporous polymers for photocatalysis: Designs, applications, and prospects. J. Mater. Chem. A 2020, 8, 6434–6470. [Google Scholar] [CrossRef]
- Jiang, J.-X.; Li, Y.; Wu, X.; Xiao, J.; Adams, D.J.; Cooper, A.I. Conjugated Microporous Polymers with Rose Bengal Dye for Highly Efficient Heterogeneous Organo-Photocatalysis. Macromolecules 2013, 46, 8779–8783. [Google Scholar] [CrossRef]
- Kang, N.; Park, J.H.; Ko, K.C.; Chun, J.; Kim, E.; Shin, H.-W.; Lee, S.M.; Kim, H.J.; Ahn, T.K.; Lee, J.Y.; et al. Tandem Synthesis of Photoactive Benzodifuran Moieties in the Formation of Microporous Organic Networks. Angew. Chem. Int. Ed. 2013, 52, 6228–6232. [Google Scholar] [CrossRef]
- Zhang, K.; Kopetzki, D.; Seeberger, P.H.; Antonietti, M.; Vilela, F. Surface Area Control and Photocatalytic Activity of Conjugated Microporous Poly(Benzothiadiazole) Networks. Angew. Chem. Int. Ed. 2013, 52, 1432–1436. [Google Scholar] [CrossRef] [PubMed]
- Wang, Z.J.; Ghasimi, S.; Landfester, K.; Zhang, K.A.I. Highly Porous Conjugated Polymers for Selective Oxidation of Organic Sulfides under Visible Light. Chem. Commun. 2014, 50, 8177–8180. [Google Scholar] [CrossRef]
- Wang, Z.J.; Ghasimi, S.; Landfester, K.; Zhang, K.A.I. Photocatalytic Suzuki Coupling Reaction Using Conjugated Microporous Polymer with Immobilized Palladium Nanoparticles under Visible Light. Chem. Mater. 2015, 27, 1921–1924. [Google Scholar] [CrossRef]
- Liras, M.; Iglesias, M.; Sanchez, F. Conjugated Microporous Polymers Incorporating Bodipy Moieties as Light-Emitting Materials and Recyclable Visible-Light Photocatalysts. Macromolecules 2016, 49, 1666–1673. [Google Scholar] [CrossRef]
- Wang, Z.J.; Ghasimi, S.; Landfester, K.; Zhang, K.A.I. Bandgap Engineering of Conjugated Nanoporous Poly-Benzobisthiadiazoles Via Copolymerization for Enhanced Photocatalytic 1,2,3,4-Tetrahydroquinoline Synthesis under Visible Light. Adv. Synth. Catal. 2016, 358, 2576–2582. [Google Scholar] [CrossRef]
- Wang, C.-A.; Li, Y.-W.; Cheng, X.-L.; Zhang, J.-P.; Han, Y.-F. Eosin Y Dye-Based Porous Organic Polymers for Highly Efficient Heterogeneous Photocatalytic Dehydrogenative Coupling Reaction. RSC Adv. 2017, 7, 408–414. [Google Scholar] [CrossRef]
- Liu, W.; Wang, K.; Wang, C.; Liu, W.; Pan, H.; Xiang, Y.; Qi, D.; Jiang, J. Mixed phthalocyanine-porphyrin-based conjugated microporous polymers towards unveiling the activity origin of Fe–N 4 catalysts for the oxygen reduction reaction. J. Mater. Chem. A 2018, 6, 22851–22857. [Google Scholar] [CrossRef]
- Hao, Z.; Sizhe, L.; Zhuangfei, Q.; Jie, Y.; Wenxin, W.; Yan, Z.; Kai, A.I.Z. Efficient photocatalytic chloride dehalogenation by planar conjugated microporous polymers with enhanced charge separation and transport. Mater. Adv. 2024, 5, 2169–2174. [Google Scholar]
- Shufan, F.; Lei, W.; Limei, T.; Ying, L.; Ke, H.; Hangxun, X.; Haifeng, W.; Jianli, H. Leveraging phenazine and dihydrophenazine redox dynamics in conjugated microporous polymers for high-efficiency overall photosynthesis of hydrogen peroxide. Chem. Sci. 2024, 15, 11972–11980. [Google Scholar]
- Yang, K.; Wang, Y.; Ling, Z.; Pan, X.; Zhang, G.; Su, J. Alkoxy phosphonic acid-functionalized conjugated microporous polymers for efficient and multi-environmental proton conduction. Mater. Adv. 2023, 4, 504–514. [Google Scholar] [CrossRef]
- Liao, L.; Li, M.; Yin, Y.; Chen, J.; Zhong, Q.; Du, R.; Liu, S.; He, Y.; Fu, W.; Zeng, F. Advances in the Synthesis of Covalent Triazine Frameworks. ACS Omega 2023, 8, 4527–4542. [Google Scholar] [CrossRef]
- Liu, M.; Guo, L.; Jin, S.; Tan, B. Covalent Triazine Frameworks: Synthesis and Ap-plications. J. Mater. Chem. A 2019, 7, 5153–5172. [Google Scholar] [CrossRef]
- Pei, C.; Choi, M.S.; Yu, X.U.; Xue, H.; Xia, B.Y.; Park, H.S. Recent Progress in Emerging Metal and Covalent Organic Frameworks for Electrochemical and Functional Capacitors. J. Mater. Chem. A 2021, 9, 8832–8869. [Google Scholar] [CrossRef]
- Mohamed, M.G.; EL-Mahdy, A.F.M.; Takashi, Y.; Kuo, S.-W. Ultrastable Conductive Microporous Covalent Triazine Frameworks Based on Pyrene Moieties Provide High-Performance CO2 Uptake and Supercapacitance. New J. Chem. 2020, 44, 8241–8253. [Google Scholar] [CrossRef]
- Sun, R.; Tan, B. Covalent Triazine Frameworks (CTFs) for Photocatalytic Applications. Chem. Res. Chin. Univ. 2022, 38, 310–324. [Google Scholar] [CrossRef]
- Wu, B.; Liu, Y.; Zhang, Y.; Fan, L.; Li, Q.Y.; Yu, Z.; Zhao, X.; Zheng, Y.C.; Wang, X.J. Molecular engineering of covalent triazine frameworks for highly enhanced photo-catalytic aerobic oxidation of sulfides. J. Mater. Chem. A 2022, 10, 12489–12496. [Google Scholar] [CrossRef]
- Wang, Y.; Li, X.; Dong, X.; Zhang, F.; Jiang, D.; Sun, Y.; Wang, R.; Lang, X. Tuning the Photocatalytic Activity through Linkages of Porous Conjugated Polymers Based on Triazines for a Selective Oxidation Reaction. Adv. Energy Sustain. Res. 2023, 4, 2200129. [Google Scholar] [CrossRef]
- Yu, W.; Gu, S.; Fu, Y.; Xiong, S.; Pan, C.; Liu, Y.; Yu, G. Carbazole-decorated covalent triazine frameworks: Novel nonmetal catalysts for carbon dioxide fixation and oxygen reduction reaction. J. Catal. 2018, 362, 1. [Google Scholar] [CrossRef]
- Liu, J.; Lyu, P.; Zhang, Y.; Nachtigall, P.; Xu, Y. New Layered Triazine Frame-work/Exfoliated 2D Polymer with Superior Sodium-Storage Properties. Adv. Mater. 2018, 30, 1705401. [Google Scholar] [CrossRef]
- Liu, M.; Huang, Q.; Wang, S.; Li, Z.; Li, B.; Tan, B.; Jin, S. Crystalline Covalent Triazine Frameworks by In-situ Oxidation of Alcohols to Aldehyde Monomers. Angew. Chem. Int. Ed. 2018, 57, 11968. [Google Scholar] [CrossRef] [PubMed]
- Jena, H.S.; Krishnaraj, C.; Wang, G.; Leus, K.; Schmidt, J.; Chaoui, N.; Voort, V.D.P. Acetylacetone Covalent Triazine Framework: An Efficient Carbon Capture and Storage Material and a Highly Stable Heterogeneous Catalyst. Chem. Mater. 2018, 30, 4102. [Google Scholar] [CrossRef]
- Ohtani, B.; Ogawa, Y.; Nishimoto, S. Photocatalytic Activity of Amorphous–Anatase Mixture of Titanium(IV) Oxide Particles Suspended in Aqueous Solutions. J. Phys. Chem. B 1997, 101, 3746. [Google Scholar] [CrossRef]
- Liu, M.; Jiang, K.; Ding, X.; Wang, S.; Zhang, C.; Liu, J.; Zhan, Z.; Cheng, G.; Li, B.; Chen, H.; et al. Controlling Monomer Feeding Rate to Achieve Highly Crystalline Covalent Triazine Frameworks. Adv. Mater. 2019, 31, 1807865. [Google Scholar] [CrossRef]
- Kuhn, P.; Antonietti, M.; Thomas, A. Porous, Covalent Triazine-Based Frameworks Prepared by Ionothermal Synthesis. Angew. Chem. Int. Ed. 2008, 47, 3450. [Google Scholar] [CrossRef] [PubMed]
- Katekomol, P.; Roeser, J.; Bojdys, M.; Weber, J.; Thomas, A. Covalent Triazine Frame-works Prepared from 1,3,5-Tricyanobenzene. Chem. Mater. 2013, 25, 1542. [Google Scholar] [CrossRef]
- Yang, Z.; Chen, H.; Wang, S.; Guo, W.; Wang, T.; Suo, X.; Jiang, D.; Zhu, X.; Popovs, I.; Dai, S. A Transformation Strategy for Highly Crystalline Covalent Triazine Frame-works: From Staggered AB to Eclipsed AA Stacking. J. Am. Chem. Soc. 2020, 142, 6856. [Google Scholar] [CrossRef] [PubMed]
- Krishnaraj, C.; Jena, H.S.; Leus, K.; Van Der Voort, P. Covalent triazine frameworks—A sustainable perspective. Green Chem. 2020, 22, 1038–1071. [Google Scholar] [CrossRef]
- Wang, K.; Yang, L.-M.; Wang, X.; Guo, L.; Cheng, G.; Zhang, C.; Jin, S.; Tan, B.; Cooper, A. Covalent Triazine Frameworks Via a Low-Temperature Polycondensation Approach. Angew. Chem. Int. Ed. 2017, 56, 14149–14153. [Google Scholar] [CrossRef]
- Yu, S.-Y.; Mahmood, J.; Noh, H.-J.; Seo, J.-M.; Jung, S.-M.; Shin, S.-H.; Im, Y.-K.; Jeon, I.-Y.; Baek, J.-B. Direct Synthesis of a Covalent Triazine-Based Framework from Aromatic Amides. Angew. Chem. Int. Ed. 2018, 57, 8438–8442. [Google Scholar] [CrossRef]
- Xiangyu, Z.; Xiao, W.; Rufan, C.; Qing-Hua, X. A triazine-based covalent organic framework decorated with cadmium sulfide for efficient photocatalytic hydrogen evolution from water. J. Colloid Interface Sci. 2024, 665, 100–108. [Google Scholar]
- Titu, M.; Jhumur, S.; Mohammad Shahidul, I.; Kholood, A.D.; Manirul, I. Incorporation of CO2 in efficient oxazolidinone synthesis at mild condition by covalent triazine framework designed with Ag nanoparticles. J. Solid State Chem. 2024, 338, 124819. [Google Scholar]
- Borrallo-Aniceto, M.C.; Pintado-Sierra, M.; Valverde-González, A.; Díaz, U.; Sánchez, F.; Maya, E.M.; Iglesias, M. Unveiling the potential of a covalent triazine framework based on [1]benzothieno[3,2-b][1]benzothiophene (DPhBTBT-CTF) as a metal-free heterogeneous photocatalyst. Green Chem. 2024, 26, 1975–1983. [Google Scholar] [CrossRef]
- Xinran, L.; Lu, Z.; Shu, N.; Zhaojun, D.; Cong, L. Quantitatively regulating the ketone structure of triazine-based covalent organic frameworks for efficient visible-light photocatalytic degradation of organic pollutants: Tunable performance and mechanisms. J. Hazard. Mater. 2023, 444, 130366. [Google Scholar]
- Yunrui, Z.; Boying, Z.; Lifang, C.; Ting, W.; Mengyu, D.; Fei, J.; Xiaoyang, X.; Shanlin, Q. Rational design of covalent triazine frameworks based on pore size and heteroatomic toward high performance supercapacitors. J. Colloid Interface Sci. 2022, 606, 1534–1542. [Google Scholar]
- Belyakova, L.D.; Schevchenko, T.I.; Davancov, V.A.; Tsyurupa, M.P.; Nesmeyanov, A.N. Sorption of vapors of various substances by hypercrosslinked “styrosorb” polystyrenes. Adv. Colloid Interface Sci. 1986, 25, 249–266. [Google Scholar] [CrossRef]
- Davankov, V.A.; Tsyurupa, M.P. Structure and properties of hypercrosslinked polystyrene—The first representative of a new class of polymer networks. React. Polym. 1990, 13, 27–42. [Google Scholar] [CrossRef]
- Davancov, V.A.; Pastukhov, A.V.; Tsyurupa, M.P. Unusual mobility of hypercross-linked polystyrene networks: Swelling and dilatometric studies. J. Polym. Sci 2000, 38, 1553–1563. [Google Scholar] [CrossRef]
- Tsyurupa, M.P.; Davidovich, Y.A.; Blinnikova, Z.K.; Ilyin, M.M.; Davankov, V.A. Attempts to optimizing the synthesis of hypercrosslinked polystyrene. Reactions with in situ formed monochlorodimethyl ether. Polym. Sci. Ser. B 2022, 64, 616–622. [Google Scholar] [CrossRef]
- Davankov, V.A.; Blinnikova, Z.K.; Pavlova, L.A.; Tsyurupa, M.P. Principles and perspective applications of preparative ion size exclusion chromatography on neutral hypercrosslinked polystyrene sorbents. A selective mini-review. Ineos Open 2019, 2, 19–24. [Google Scholar] [CrossRef]
- Germain, J.; Fréchetab, J.M.J.; Svec, F. Hypercrosslinked polyanilines with nanoporous structure and high surface area: Potential adsorbents for hydrogen storage. J. Mater. Chem. 2007, 17, 4989–4997. [Google Scholar] [CrossRef]
- Tan, L.; Tan, B. Hypercrosslinked porous polymer materials: Design, synthesis, and applications. Chem. Soc. Rev. 2017, 46, 3322–3356. [Google Scholar] [CrossRef]
- Wood, C.D.; Tan, B.; Trewin, A.; Niu, H.; Bradshaw, D.; Rosseinsky, M.J.; Khimyak, Y.Z.; Campbell, N.L.; Kirk, R.; Stockel, E.; et al. Hydrogen Storage in Microporous Hy-percrosslinked Organic Polymer Networks. Chem. Mater. 2007, 19, 2034–2048. [Google Scholar] [CrossRef]
- Lee, J.-Y.; Wood, C.D.; Bradshaw, D.; Rosseinsky, M.J.; Cooper, A.I. Hydrogen Adsorption in Microporous Hypercrosslinked Polymers. Chem. Commun. 2006, 25, 2670–2672. [Google Scholar] [CrossRef]
- Ahn, J.-H.; Jang, J.-E.; Oh, C.-G.; Ihm, S.-K.; Cortez, J.; Sherrington, D.C. Rapid generation and control of microporosity, bimodal pore size distribution, and surface area in Davankov-type hyper-cross-linked resins. Macromolecules 2006, 39, 627–632. [Google Scholar] [CrossRef]
- Fontanals, N.; Marce, R.M.; Borrull, F.; Cormack, P.A.G. Hypercrosslinked materials: Preparation, characterisation and applications. Polym. Chem. 2015, 6, 7231–7244. [Google Scholar] [CrossRef]
- Popov, A.Y.; Blinnikova, Z.K.; Tsyurupa, M.P.; Davankov, V.A. Hypercrosslinked polymeric restricted access materials for analysis of biological fluids. J. Sep. Sci. 2018, 41, 3302–3309. [Google Scholar] [CrossRef]
- Hradil, J.; Kralová, E. Styrene–divinylbenzene copolymers post-crosslinked with tetrachloromethane. Polymer 1998, 39, 6041–6048. [Google Scholar] [CrossRef]
- Gadwdzik, B.; Osypiuk, J. Modification of porous poly(styrene-divinylbenzene) beads by Friedel-Crafts reaction. Chromatographia 2001, 54, 323–328. [Google Scholar] [CrossRef]
- Azanova, V.V.; Hradil, J. Sorption properties of macroporous and hypercrosslinked copolymers. React. Funct. Polym. 1999, 41, 163–175. [Google Scholar] [CrossRef]
- Masoumi, H.; Ghaemi, A.; Gannadzadeh Gilani, H. Synthesis of polystyrene-based hyper-cross-linked polymers for Cd(II) ions removal from aqueous solutions: Experimental and RSM modeling. J. Hazard. Mater. 2021, 416, 125923. [Google Scholar] [CrossRef]
- Ramezanipour Penchah, H.; Ghaemi, M.; Ghanadzadeh Gilani, H. Efficiency increase in hypercrosslinked polymer based on polystyrene in CO2 adsorption process. Polym. Bull. 2022, 79, 3681–3702. [Google Scholar] [CrossRef]
- Vinodh, R.; Abidov, A.; Peng, M.M.; Babu, C.M.; Palanichamy, M.; Cha, W.S.; Jang, H.-T. A new strategy to synthesize hypercross-linked conjugated polystyrene and its application towards CO2 sorption. Fibers Polym. 2015, 16, 1458–1467. [Google Scholar] [CrossRef]
- Hu, A.A.; Zhang, W.; You, Q.; Men, B.; Liao, G.; Wang, D. Green and low-cost strategy to synthesis of tunable pore sizes porous organic polymers derived from waste-expanded polystyrene for highly efficient removal of organic contaminants. Chem. Eng. J. 2019, 370, 251–261. [Google Scholar] [CrossRef]
- Liu, Y.; Peng, X. Multi-functional hypercrosslinked polystyrene as high-performance adsorbents for artificial liver blood purification. Front. Chem. 2022, 9, 789814. [Google Scholar] [CrossRef] [PubMed]
- Tsyurupa, M.P.; Davankov, V.A. Hypercrosslinked polymers: Basic principle of pre-paring the new class of polymeric materials. React. Funct. Polym. 2002, 53, 193–203. [Google Scholar] [CrossRef]
- Aljboar, M.T.; Alghamdi, A.A.; Al-Odayni, A.-B.; Al-Zaben, M.I.; Al-Kahtani, A.; Saeed, W.S. Synthesis of Poly(aniline-co-benzene)-Based Hypercrosslinked Polymer for Hg(II) Ions Removal from Polluted Water: Kinetic and Thermodynamic Studies. Water 2023, 15, 3009. [Google Scholar] [CrossRef]
- Germain, J.; Frechet, J.M.; Svec, F. Nanoporous, hypercrosslinked polypyrroles: Effect of crosslinking moiety on pore size and selective gas adsorption. Chem. Commun. 2009, 12, 1526–1528. [Google Scholar] [CrossRef]
- Ahlen, M.; Jaworski, A.; Stromme, M.; Cheung, O. Selective adsorption of CO2 and SF6 on mixed-linker ZIF-7–8s: The effect of linker substitution on uptake capacity and kinetics. Chem. Eng. J. 2021, 422, 130117. [Google Scholar] [CrossRef]
- Kim, M.-B.; Kim, K.-M.; Kim, T.-H.; Yoon, T.-U.; Kim, E.-J.; Kim, J.-H.; Bae, Y.-S. Highly selective adsorption of SF6 over N2 in a bromine-functionalized zirconium-based metal-organic framework. Chem. Eng. J. 2018, 339, 223–229. [Google Scholar] [CrossRef]
- Eshiemogie, O.; Oyefolu, P.K.; Kusuma, H.S. A comprehensive review of recent advances in the synthesis and application of metal-organic frameworks (MOFs) for the adsorptive sequestration of pollutants from wastewater. Sep. Purif. Technol. 2023, 311, 123246. [Google Scholar]
- Gupta, N.K.; Vikrant, K.; Kim, K.S.; Kim, K.-H.; Giannakoudakis, D.A. Regenertion strategies for metal-organic frameworks post acidic gas capture. Coordin. Chem. Rev. 2022, 467, 214629. [Google Scholar] [CrossRef]
- Gao, J.; Cai, Y.; Qian, X.; Liu, P.; Wu, H.; Zhou, W.; Liu, D.X.; Li, L.; Lin, R.B.; Chen, B. A microporous hydrogen-bonded organic framework for the efficient capture and purification of propylene. Angew. Chem. Int. Ed. Engl. 2021, 60, 20400–20406. [Google Scholar] [CrossRef]
- Li, L.; Guo, L.; Olson, D.H.; Xian, S.; Zhang, Z.; Yang, Q.; Wu, K.; Yang, Y.; Bao, Z.; Ren, Q.; et al. Discrimination of xylene isomers in a stacked coordination polymer. Science 2022, 377, 335–339. [Google Scholar] [CrossRef]
- Zheng, F.; Chen, R.; Ding, Z.; Liu, Y.; Zhang, Z.; Yang, Q.; Yang, Y.; Ren, Q.; Bao, Z. Interlayer symmetry control in flexible-robust layered metal-organic frameworks for highly efficient C2H2/CO2 separation. J. Am. Chem. Soc. 2023, 145, 19903–19911. [Google Scholar] [CrossRef] [PubMed]
- Kan, L.; Luo, X.; Yu, X.; Zhang, L.; Liu, Y. A multi-functionalized mof with unique molecular-sized pockets for excellent lead(ii) removal and selective separation of C3H8/CH4. Sep. Purif. Technol. 2023, 325, 124758. [Google Scholar] [CrossRef]
- Liu, X.; Zhang, P.; Xiong, H.; Zhang, Y.; Wu, K.; Liu, J.; Krishna, R.; Chen, J.; Chen, S.; Zeng, Z.; et al. Engineering pore environments of sulfate-pillare metalorganic framework for efficient C2H2/CO2 separation with record selectivity. Adv. Mater. 2023, 35, 2210415. [Google Scholar] [CrossRef] [PubMed]
- Guo, X.-Z.; Li, B.; Xiong, G.-Z.; Lin, B.; Gui, L.-C.; Zhang, X.-X.; Qiu, Z.; Krishna, R.; Wang, X.; Yan, X.; et al. A stable ultramicroporous CD(II)-MOF with accessi-bleoxygen sites for efficient separation of light hydrocarbons with high methanepro-duction. Sep. Purif. Technol. 2024, 334, 125987. [Google Scholar] [CrossRef]
- Pal, A.; Chand Pal, S.; Cui, H.; Lin, R.-B.; Singha, D.; Kumar Rana, M.; Chen, B.; Das, M.C. A microporous water stable MOF for consistent and selective C2H2/C2H4 separation. Sep. Purif. Technol. 2023, 320, 124208. [Google Scholar] [CrossRef]
- Feng, M.; Zhou, X.; Wang, X.; Zhou, P.; Wang, J.; Cheng, Z.; Wang, D. Two stable sodalite-cage-based MOFs for highly gas selective capture and conversion incycloaddition reaction. ACS Appl. Mater. Interfaces 2023, 15, 11837–11844. [Google Scholar] [CrossRef]
- Lee, H.M.; Chang, M.B.; Wu, K.Y. Abatement of sulfur hexafluoride emissions from the semiconductor manufacturing process by atmospheric-pressure plasmas. J. Air Waste Manage. 2012, 54, 960–970. [Google Scholar] [CrossRef]
- Shih, M.; Lee, W.-J.; Tsai, C.-H.; Tsai, P.-J.; Chen, C.-Y. Decomposition of SF6 in an RF plasma environment. J. Air Waste Manage. 2011, 52, 1274–1280. [Google Scholar] [CrossRef]
- Ravishankara, A.R.; Solomon, S.; Turnipseed, A.A.; Warren, R.F. Atmospheric life-times of long-lived halogenated species. Science 1993, 259, 194–199. [Google Scholar] [CrossRef]
- Builes, S.; Roussel, T.; Vega, L.F. Optimization of the separation of sulfur hexafluoride and nitrogen by selective adsorption using Monte Carlo simulations. AIChE J. 2011, 57, 962–974. [Google Scholar] [CrossRef]
- Yong-Peng, L.; Xiao-Jie, Z.; Jing-Jing, N.; Wen-Juan, J.; Shuo, L.; Yu-Lin, L.; Wen, W.; Jian, W.; Zhu-Yin, S.; Xiu-Feng, X. Design of a highly-stable cobalt (II) porous framework based on aromatic stacking strategy for efficient SF6 capture and SF6/N2 mixture separation. Sep. Purif. Technol. 2024, 343, 126995. [Google Scholar]
- Jie, C.; Wei, Y.; Esther, J.T.; Jiangtao, F.; Long, P.; Veronica Del Angel, H.; Charl, F.J.F. Tunable Surface Area, Porosity, and Function in Conjugated Microporous Polymers. Angew. Chem. Int. Ed. 2019, 58, 11715–11719. [Google Scholar]
- Marieeswaran, M.; Panneerselvam, P. Transition metal ion-coordinated porous organic polymer to enhance the peroxidase mimic activity for detection of ascorbic acid and dopamine. Mater. Adv. 2022, 3, 2393. [Google Scholar] [CrossRef]
- Antipin, I.S.; Alfimov, M.V.; Arslanov, V.V.; Burilov, V.A.; Vatsadze, S.Z.; Voloshin, Y.Z.; Volcho, K.P.; Gorbatchuk, V.V.; Gorbunova, Y.G.; Gromov, S.P.; et al. Functional supramolecular systems: Design and applications. Russ. Chem. Rev. 2021, 90, 895–1107. [Google Scholar]
- Mummidivarapu, V.S.; Joseph, R.; Rao, C.P.; Pathak, R.K. Suprareceptors emerging from click chemistry: Comparing the triazole based scaffolds of calixarenes, cyclodextrins, cucurbiturils and pillararenes. Coord. Chem. Rev. 2023, 493, 215256. [Google Scholar] [CrossRef]
- Budd, P.M.; Msayib, K.J.; Tattershall, C.E.; Ghanem, B.S.; Reynolds, K.J.; McKeown, N.B.; Fritsch, D. Gas separation membranes from polymers of intrinsic microporosity. J. Membr. Sci. 2005, 251, 263–269. [Google Scholar] [CrossRef]
- Du, N.; Cin, M.M.D.; Pinnau, I.; Nicalek, A.; Robertson, G.P.; Guiver, M.D. Azide-based Cross-Linking of Polymers of Intrinsic Microporosity (PIMs) for Condensable Gas Separation. Macromol. Rapid Commun. 2011, 32, 631–636. [Google Scholar] [CrossRef]
- Budd, P.M.; McKeown, N.B.; Fritsch, D.; Yampolskii, Y.; Shantarovich, V. Gas Permeation Parameters and Other Physicochemical Properties of a Polymer of Intrinsic Microporosity (PIM-1), Membrane Gas Separation; John Wiley & Sons, Ltd.: Hoboken, NJ, USA, 2010; pp. 29–42. [Google Scholar]
- Budd, P.M.; McKeown, N.B.; Ghanem, B.S.; Msayib, K.J.; Fritsch, D.; Starannikova, L.; Belov, N.; Sanfirova, O.; Yampolskii, Y.; Shantarovich, V. Gas permeation parameters and other physicochemical properties of a polymer of intrinsic microporosity: Polybenzodioxane PIM-1. J. Membr. Sci. 2008, 325, 851–860. [Google Scholar] [CrossRef]
- Bushell, A.F.; Attfield, M.P.; Mason, C.R.; Budd, P.M.; Yampolskii, Y.; Starannikova, L.; Rebrov, A.; Bazzarelli, F.; Bernardo, P.; Carolus Jansen, J.; et al. Gas permeation parameters of mixed matrix membranes based on the polymer of intrinsic microporosity PIM-1 and the zeolitic imidazolate framework ZIF-8. J. Membr. Sci. 2013, 427, 48–62. [Google Scholar] [CrossRef]
- Lu, R.Q.; Yuan, W.; Feng, H.; Lennon, L.S.X.; Mason, W.Y.C.; Etkind, S.I.; Kumar, M.; Swager, T.M. Porous Polymers Containing Metallocalix[4]arene for Extraction of Tobacco-Specific Nitrosamines. Chem. Mater. 2022, 34, 10623–10630. [Google Scholar] [CrossRef]
- Rodik, R.V.; Cherenok, S.O.; Postupalenko, V.Y.; Sule, O.; Brusianska, V.; Borysko, P.; Kalchenko, V.I.; Mely, Y.; Klymchenko, A.S. Anionic amphiphilic calixarenes for peptide assembly and delivery. J. Colloid Interface Sci. 2022, 624, 270–278. [Google Scholar] [CrossRef] [PubMed]
- Mouhamed, A.A.; Basma, M.E.; Nadia, M.M.; Tamer, A.E.; Ahmed, H.N. Design of screen-printed potentiometric platform for sensitive determination of mirabegron in spiked human plasma; molecular docking and transducer optimization. RSC Adv. 2023, 13, 23138–23146. [Google Scholar] [CrossRef]
- Ocherednyuk, E.A.; Garipova, R.I.; Bogdanov, I.M.; Gafiatullin, B.K.; Sultanova, E.D.; Mironova, D.A.; Daminova, A.G.; Evtugyn, V.G.; Vladimir, A.B.; Solovieva, S.E.; et al. Amphiphilic N-oxyethylimidazolium calixarenes: Synthesis, micellar solubilization and molecular recognition of Adenine-containing nucleotides. Colloids Surf. A Physicochem. Eng. Asp. 2022, 648, 129236. [Google Scholar] [CrossRef]
- Cochran, E.W.; Garcia-Cervera, C.J.; Fredrickson, G.H. Stability of the Gyroid Phase in Diblock Copolymers at Strong Segregation. Macromolecules 2006, 39, 2449–2451. [Google Scholar] [CrossRef]
- Hu, H.; Gopinadhan, M.; Osuji, C.O. Directed self-assembly of block copolymers: A tutorial review of strategies for enabling nanotechnology with soft matter. Soft Matter 2014, 22, 3867–3889. [Google Scholar] [CrossRef]
- Geon, G.Y.; Hee, J.C.; Kyu, H.H.; Jang, H.K.; Chan, W.L.; Edwin, I.J.; Hyeong, M.J.; Sang, O.K. Block copolymer nanopatterning for nonsemiconductor device applications. ACS Appl. Mater. Interfaces 2022, 14, 12011–12037. [Google Scholar]
- Jana, R.; Ramakrishnan, S. Direct Generation of Internally Functionalized Nanoporous Polymers: Design of Polymerizable Porogens. Macromolecules 2021, 54, 9692–9702. [Google Scholar] [CrossRef]
- Mondal, S.; Hu, J.L.; Yong, Z. Free volume and water vapor permeability of dense segmented polyurethane membrane. J. Membr. Sci. 2006, 280, 427–432. [Google Scholar] [CrossRef]
- Lamba, N.M.K.; Woodhouse, K.A.; Cooper, S.L. Polyurethanes in Biomedical Applications; CRC Press: Boca Raton, FL, USA, 1998; pp. 43–89. [Google Scholar]
- Mondal, S.; Hu, J.L. Segmented shape memory polyurethane and its water vapor transport properties. Des. Monomers Polym. 2006, 9, 527–550. [Google Scholar] [CrossRef]
- Deniz, T. Water Vapor Transport Properties of Polyurethane Films for Pack-aging of Respiring Foods. Food Eng. Rev. 2021, 13, 54–65. [Google Scholar]
- Yixia, W.; Jiayao, S.; Qiang, T.; Ningning, S.; Shuen, L.; Chunrong, T.; Xiaolian, Q.; Yajie, L.; Keping, C.; László, A. Understanding water absorption effect on molecular dynamics, microstructures and relaxation behavior of segmented polyurethane elastomers. Polym. Degrad. Stab. 2023, 214, 110415. [Google Scholar]
- Lin, C.; Guihong, G.; Fan, Y.; Minda, R. The effect of hard segment content of polyurethane on the performances of polyurethane porous mixture. Int. J. Transp. Sci. Technol. 2021, 10, 254–265. [Google Scholar]
- Xie, F.W.; Zhang, T.L.; Bryant, P.; Kurusingal, V.; Colwell, J.M.; Laycock, B. Degradation and stabilization of polyurethane elastomers. Prog. Polym. Sci. 2019, 90, 211–268. [Google Scholar] [CrossRef]
- Wang, X.H.; Zhan, S.N.; Lu, Z.Y.; Li, J.; Yang, X.; Qiao, Y.N.; Men, Y.F.; Sun, J.Q. Healable, recyclable, and mechanically tough polyurethane elastomers with exceptional damage tolerance. Adv. Mater. 2020, 32, 2005759. [Google Scholar] [CrossRef] [PubMed]
- Dzierza, W. Stress–relaxation properties of segmented polyurethane rubbers. J. Appl. Polym. Sci. 1982, 27, 1487–1499. [Google Scholar] [CrossRef]
- Subramaniyan, S.P.; Prabhakar, P. Moisture-driven degradation mechanisms in the viscoelastic properties of TPU-Based syntactic foams. Polym. Degrad. Stab. 2023, 218, 110547. [Google Scholar] [CrossRef]
- Huang, P.; Nie, Q.; Tang, Y.; Chen, S.; He, K.; Cao, M.; Wang, Z. A novel nerol-segmented waterborne polyurethane coating for the prevention of dental erosion. RSC Adv. 2024, 14, 16228–16239. [Google Scholar] [CrossRef]
- Gojzewski, H.; van Drongelen, M.; Imre, B.; Hempenius, M.A.; Check, C.; Chartoff, R.; Wurm, F.R.; Vancso, G.J. AFM monitoring of the cut surface of a segmented polyurethane unveils a microtome-engraving induced growth process of oriented hard domains. Polym. Test. 2023, 120, 107961. [Google Scholar] [CrossRef]
- Chen, C.; Han, B.; Li, J.; Shang, T.; Zou, J.; Jiang, W. A new model on the diffusion of small molecules penetrants in dense polymer membranes. J. Memb. Sci. 2001, 187, 109. [Google Scholar] [CrossRef]
- Wang, Z.F.; Wang, B.; Yang, Y.R.; Hu, C.P. Correlations between gas permeation and free-volume hole properties of polyurethane membranes. Eur. Polym. J. 2003, 39, 2345. [Google Scholar] [CrossRef]
- Wang, Z.F.; Wang, B.; Qi, N.; Ding, X.M.; Hu, J.L. Free volume and water vapor permeability properties in polyurethane membranes studied by positrons. Mater. Chem. Phys. 2004, 88, 212. [Google Scholar] [CrossRef]
- Marques, M.F.F.; Gil, C.L.; Gordo, P.M.; Kajcsos, Z.; de Lima, A.P.; Queiroz, D.P.; de Pinho, M.N. Free-volume studies in polyurethane membranes by positron annihilation spectroscopy. Radiat. Phys. Chem. 2003, 68, 573. [Google Scholar] [CrossRef]
- Dlubek, G.; Stejny, J.; Lupke, T.; Bamford, D.; Petters, K.; Hubner, C.; Alam, M.A.; Hill, M.J. Free-volume variation in polyethylenes of different crystallinites: Positron lifetime, density, and X-ray studies. J. Polym. Sci. B 2002, 40, 65. [Google Scholar] [CrossRef]
- Li, W.; Ryan, A.J.; Meier, I.K. Effect of chain extenders on the morphology development in flexible polyurethane foam. Macromolecules 2002, 35, 6306–6312. [Google Scholar] [CrossRef]
- Li, H.; Freeman, B.D.; Ekiner, O.M. Gas permeation properties of poly (urethaneurea) s containing different polyethers. J. Membr. Sci. 2011, 369, 49–58. [Google Scholar] [CrossRef]
- Sadeghi, M.; Semsarzadeh, M.A.; Barikani, M.; Ghalei, B. The effect of urethane and urea content on the gas permeation properties of poly (urethane-urea) membranes. J. Membr. Sci. 2010, 354, 40–47. [Google Scholar] [CrossRef]
- Sandhya. Modified atmosphere packaging of fresh produce: Current status and future needs. LWT-Food Sci. Technol. 2010, 43, 381–392. [Google Scholar] [CrossRef]
- Zhou, H.; Shi, H.H.; Fan, H.J.; Zhou, J.; Yuan, J.X. Thermosensitive polyurethane membrane with controllable water vapor permeation for food packaging. Macromol. Res. 2009, 17, 528–532. [Google Scholar] [CrossRef]
- Davletbaeva, I.M.; Akhmetshina, A.I.; Davletbaev, R.S.; Zaripov, I.I.; Gumerov, A.M.; Sharifullin, R.R. Optically Transparent Mesoporous Polymers Based on Anionic Macroinitiators and 2,4-Toluylene Diisocyanate. Polym. Sci. Ser. B. 2014, 56, 781–788. [Google Scholar] [CrossRef]
- Zaripov, I.I.; Davletbaeva, I.M.; Faizulina, Z.Z.; Davletbaev, R.S.; Gubaidullin, A.T.; Atlaskin, A.A.; Vorotyntsev, I.V. Synthesis and Characterization of Novel Nanoporous Gl-POSS-Branched Polymeric Gas Separation Membranes. Membranes 2020, 10, 110. [Google Scholar] [CrossRef]
- Davletbaev, R.S.; Zaripov, I.I.; Faizulina, Z.Z.; Davletbaeva, I.M.; Domrachova, D.S.; Gumerov, A.M. Synthesis and characterization of amphiphilic branched silica derivatives associated with oligomeric medium. RSC Adv. 2019, 9, 21233–21242. [Google Scholar] [CrossRef] [PubMed]
- Davletbaeva, I.M.; Alentiev, A.Y.; Faizulina, Z.Z.; Zaripov, I.I.; Nikiforov, R.Y.; Parfenov, V.V.; Arkhipov, A.V. Organosilica-Modified Multiblock Copolymers for Membrane Gas Separation. Polymers 2021, 13, 3579. [Google Scholar] [CrossRef] [PubMed]
- Davletbaeva, I.M.; Sazonov, O.O.; Dzhabbarov, I.M.; Zaripov, I.I.; Davletbaev, R.S.; Mikhailova, A.V. Optically Transparent Polydimethylsiloxane-Ethylene Oxide-Propylene Oxide Multiblock Copolymers Crosslinked with Isocyanurates as Organic Compound Sorbents. Polymers 2022, 14, 2678. [Google Scholar] [CrossRef] [PubMed]
- Davletbaev, R.; Akhmetshina, A.; Gumerov, A.; Davletbaeva, I.; Parfenov, V. Supramolecular architecture of polymers as the basis of obtaining mesoporous polymers. Compos. Interfaces 2014, 21, 611–621. [Google Scholar] [CrossRef]
- Davletbaeva, I.M.; Faizulina, Z.Z.; Li, E.D.; Sazonov, O.O.; Efimov, S.V.; Klochkov, V.V.; Arkhipov, A.V.; Davletbaev, R.S. Silicas with Polyoxyethylene Branches for Modification of Membranes Based on Microporous Block Copolymers. Membranes 2023, 13, 642. [Google Scholar] [CrossRef]
- Davletbaeva, I.M.; Li, E.D.; Faizulina, Z.Z.; Sazonov, O.O.; Mikhailov, O.V.; Safiullin, K.R.; Davletbaev, R.S. Microporous Block Copolymers Modified with Cu(II)-Coordinated Polyethylene Oxide-Substituted Silicas for Analytical Sensors. Materials 2023, 16, 6810. [Google Scholar] [CrossRef]
- Davletbaeva, I.M.; Mazil’nikov, A.I.; Zaripov, I.I.; Davletbaev, R.S.; Gumerov, A.M.; Parfenov, V.V. Synthesis of Block Copolymers Based on a Macroinitiator and 2,4-Toluene Diisocyanate. Polym. Sci. Ser. B 2018, 60, 34–40. [Google Scholar] [CrossRef]
- Davletbaeva, I.M.; Zaripov, I.I.; Mazilnikov, A.I.; Davletbaev, R.S.; Sharifullin, R.R.; Atlaskin, A.A.; Sazanova, T.S.; Vorotyntsev, I.V. Synthesis and Study of Gas Transport Properties of Polymers Based on Macroinitiators and 2,4-Toluene Diisocyanate. Membranes 2019, 9, 42. [Google Scholar] [CrossRef] [PubMed]
- Davletbaeva, I.M.; Akhmetshina, A.I.; Gumerov, A.M.; Kopylova, T.N.; Samsonova, L.G.; Zulina, N.A. Spectral luminescent and laser properties of rhodamine 6G in poly(urethane-co-siloxanes). Polym. Sci. Ser. A 2011, 53, 578–582. [Google Scholar] [CrossRef]
- Akhmetshina, A.I.; Davletbaev, R.S.; Davletbaeva, I.M.; Mikhailova, A.V.; Gumerov, A.M.; Deberdeev, R.Y. Immobilization of Organic Reagents on Optically Transparent Mesoporous Polymers and Its Analytical Use. Russ. J. Appl. Chem. 2015, 88, 495–501. [Google Scholar] [CrossRef]
- Davletbaev, R.; Akhmetshina, A.; Gumerov, A.; Davletbaeva, I. Optical Sensors Based on Mesoporous Polymers, Optical Sensors—New Developments and Practical Applications; InTech: Nappanee, IN, USA, 2014; pp. 47–66. [Google Scholar]








































Disclaimer/Publisher’s Note: The statements, opinions and data contained in all publications are solely those of the individual author(s) and contributor(s) and not of MDPI and/or the editor(s). MDPI and/or the editor(s) disclaim responsibility for any injury to people or property resulting from any ideas, methods, instructions or products referred to in the content. |
© 2024 by the authors. Licensee MDPI, Basel, Switzerland. This article is an open access article distributed under the terms and conditions of the Creative Commons Attribution (CC BY) license (https://creativecommons.org/licenses/by/4.0/).
Share and Cite
Davletbaeva, I.M.; Sazonov, O.O. Macromolecular Architecture in the Synthesis of Micro- and Mesoporous Polymers. Polymers 2024, 16, 3267. https://doi.org/10.3390/polym16233267
Davletbaeva IM, Sazonov OO. Macromolecular Architecture in the Synthesis of Micro- and Mesoporous Polymers. Polymers. 2024; 16(23):3267. https://doi.org/10.3390/polym16233267
Chicago/Turabian StyleDavletbaeva, Ilsiya M., and Oleg O. Sazonov. 2024. "Macromolecular Architecture in the Synthesis of Micro- and Mesoporous Polymers" Polymers 16, no. 23: 3267. https://doi.org/10.3390/polym16233267
APA StyleDavletbaeva, I. M., & Sazonov, O. O. (2024). Macromolecular Architecture in the Synthesis of Micro- and Mesoporous Polymers. Polymers, 16(23), 3267. https://doi.org/10.3390/polym16233267
