Valorization of Grain and Oil By-Products with Special Focus on Hemicellulose Modification
Abstract
1. Introduction
2. Modification of GOBPs
2.1. Chemical Modification of GOBP
2.1.1. Etherification
2.1.2. Esterification
2.1.3. Copolymerization
2.2. Physical Modifications
2.2.1. Extrusion
2.2.2. Ultrasonic
2.2.3. Physicochemical Modifications and Enzymatic Hydrolysis
3. Applications of GOBP Hemicellulose
3.1. GOBP Hemicellulose in Film Production
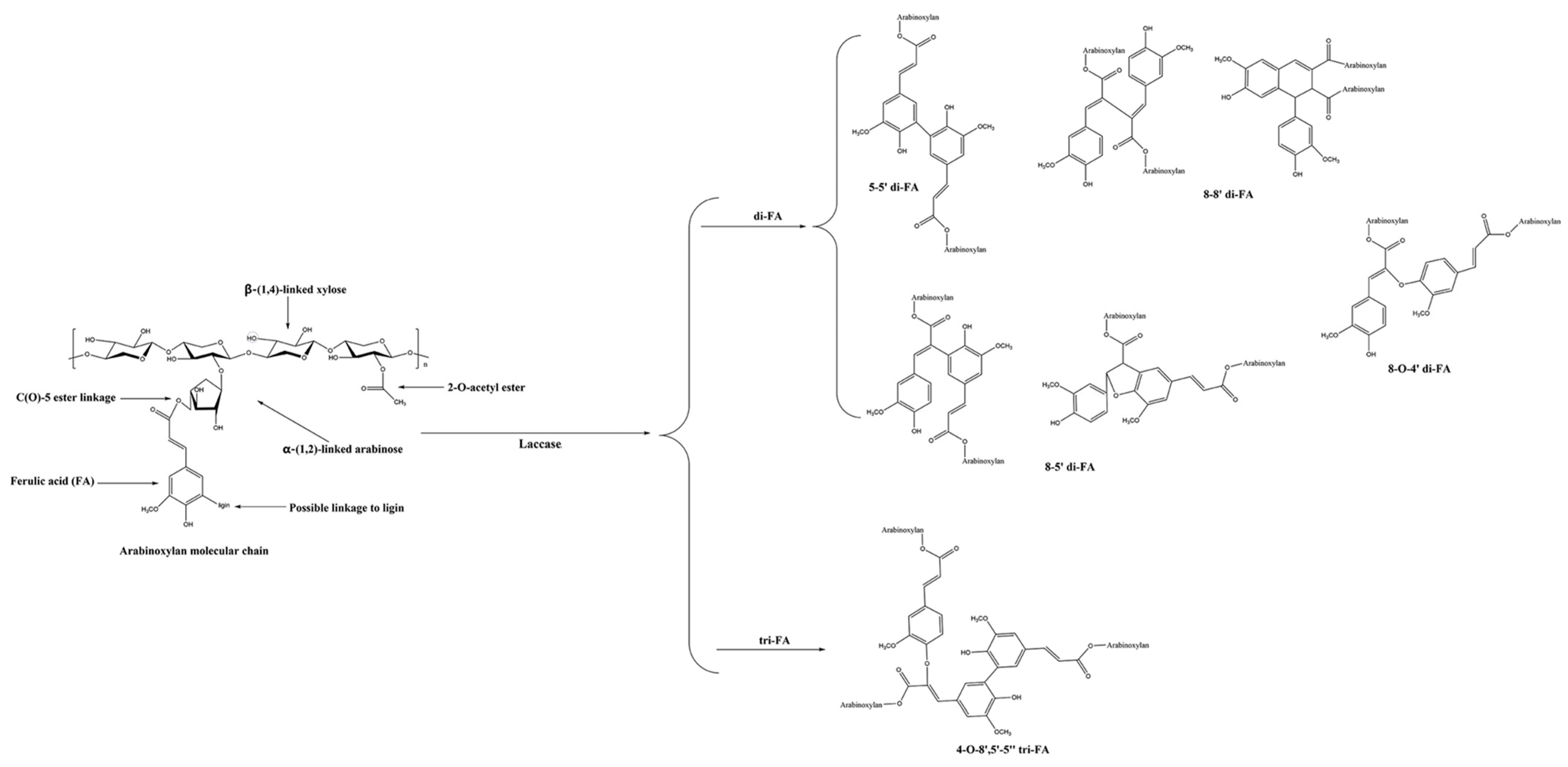
3.2. GOBP Hemicellulose in Hydrogel Formation
3.3. GOBP Hemicellulose in Three-Dimensional (3D) Printing
3.4. GOBP Hemicellulose in Adsorbent Production
4. Limitations of Hemicellulose Modification from GOBPs
5. Conclusions
Author Contributions
Funding
Data Availability Statement
Acknowledgments
Conflicts of Interest
References
- Tian, X.Y.; Liu, J.F.; Wu, N.N.; Tan, B. Effect of steam explosion treatment on structural and physicochemical properties, and potential application of soluble dietary fiber from grain and oil processing by-products: A review. Cereal Chem. 2024, 101, 437–449. [Google Scholar] [CrossRef]
- Zhang, R.; Ma, S.; Li, L.; Zhang, M.; Tian, S.; Wang, D.; Liu, K.; Liu, H.; Zhu, W.; Wang, X. Comprehensive utilization of corn starch processing by-products: A review. Grain Oil Sci. Technol. 2021, 4, 89–107. [Google Scholar] [CrossRef]
- Skendi, A.; Zinoviadou, K.G.; Papageorgiou, M.; Rocha, J.M. Advances on the valorisation and functionalization of by-products and wastes from cereal-based processing industry. Foods 2020, 9, 1243. [Google Scholar] [CrossRef] [PubMed]
- Arzami, A.N.; Ho, T.M.; Mikkonen, K.S. Valorization of cereal by-product hemicelluloses: Fractionation and purity considerations. Food Res. Int. 2022, 151, 110818. [Google Scholar] [CrossRef] [PubMed]
- Rao, J.; Lv, Z.; Chen, G.; Peng, F. Hemicellulose: Structure, chemical modification, and application. Prog. Polym. Sci. 2023, 140, 101675. [Google Scholar] [CrossRef]
- Hu, L.; Du, M.; Zhang, J. Hemicellulose-based hydrogels present status and application prospects: A brief review. Open J. For. 2017, 8, 15–28. [Google Scholar] [CrossRef][Green Version]
- Farhat, W.; Venditti, R.A.; Hubbe, M.; Taha, M.; Becquart, F.; Ayoub, A. A review of water-resistant hemicellulose-based materials: Processing and applications. ChemSusChem 2017, 10, 305–323. [Google Scholar] [CrossRef]
- Lu, Y.; He, Q.; Fan, G.; Cheng, Q.; Song, G. Extraction and modification of hemicellulose from lignocellulosic biomass: A review. Green Process. Synth. 2021, 10, 779–804. [Google Scholar] [CrossRef]
- Sun, Q.; Chen, W.-J.; Pang, B.; Sun, Z.; Lam, S.S.; Sonne, C.; Yuan, T.-Q. Ultrastructural change in lignocellulosic biomass during hydrothermal pretreatment. Bioresour. Technol. 2021, 341, 125807. [Google Scholar] [CrossRef] [PubMed]
- Spaggiari, M.; Dall’Asta, C.; Galaverna, G.; del Castillo Bilbao, M.D. Rice bran by-product: From valorization strategies to nutritional perspectives. Foods 2021, 10, 85. [Google Scholar] [CrossRef] [PubMed]
- Amoah, I.; Taarji, N.; Johnson, P.-N.T.; Barrett, J.; Cairncross, C.; Rush, E. Plant-based food by-products: Prospects for valorisation in functional bread development. Sustainability 2020, 12, 7785. [Google Scholar] [CrossRef]
- Deepak, T.S.; Jayadeep, P.A. Prospects of maize (corn) wet milling by-products as a source of functional food ingredients and nutraceuticals. Food Technol. Biotechnol. 2022, 60, 109–120. [Google Scholar] [CrossRef]
- Nartea, A.; Kuhalskaya, A.; Fanesi, B.; Orhotohwo, O.L.; Susek, K.; Rocchetti, L.; Di Vittori, V.; Bitocchi, E.; Pacetti, D.; Papa, R. Legume byproducts as ingredients for food applications: Preparation, nutrition, bioactivity, and techno-functional properties. Compr. Rev. Food Sci. Food Saf. 2023, 22, 1953–1985. [Google Scholar] [CrossRef] [PubMed]
- Nevara, G.A.; Giwa Ibrahim, S.A.; Syed Muhammad, S.K.; Zawawi, N.; Mustapha, N.A.; Karim, R. Oilseed meals into foods: An approach for the valorization of oilseed by-products. Crit. Rev. Food Sci. Nutr. 2023, 63, 6330–6343. [Google Scholar] [CrossRef]
- ElMekawy, A.; Diels, L.; De Wever, H.; Pant, D. Valorization of cereal based biorefinery byproducts: Reality and expectations. Environ. Sci. Technol. 2013, 47, 9014–9027. [Google Scholar] [CrossRef] [PubMed]
- Tlais, A.Z.A.; Fiorino, G.M.; Polo, A.; Filannino, P.; Di Cagno, R. High-value compounds in fruit, vegetable and cereal byproducts: An overview of potential sustainable reuse and exploitation. Molecules 2020, 25, 2987. [Google Scholar] [CrossRef] [PubMed]
- Fărcaș, A.C.; Socaci, S.A.; Nemeș, S.A.; Pop, O.L.; Coldea, T.E.; Fogarasi, M.; Biriș-Dorhoi, E.S. An update regarding the bioactive compound of cereal by-products: Health benefits and potential applications. Nutrients 2022, 14, 3470. [Google Scholar] [CrossRef] [PubMed]
- Szabo, K.; Mitrea, L.; Călinoiu, L.F.; Teleky, B.-E.; Martău, G.A.; Plamada, D.; Pascuta, M.S.; Nemeş, S.-A.; Varvara, R.-A.; Vodnar, D.C. Natural polyphenol recovery from apple-, cereal-, and tomato-processing by-products and related health-promoting properties. Molecules 2022, 27, 7977. [Google Scholar] [CrossRef] [PubMed]
- Galanakis, C.M. Sustainable applications for the valorization of cereal processing by-products. Foods 2022, 11, 241. [Google Scholar] [CrossRef]
- Danciu, C.-A.; Tulbure, A.; Stanciu, M.-A.; Antonie, I.; Capatana, C.; Zerbeș, M.V.; Giurea, R.; Rada, E.C. Overview of the Sustainable Valorization of Using Waste and By-Products in Grain Processing. Foods 2023, 12, 3770. [Google Scholar] [CrossRef] [PubMed]
- Fărcaș, A.C.; Socaci, S.A.; Nemeș, S.A.; Salanță, L.C.; Chiș, M.S.; Pop, C.R.; Borșa, A.; Diaconeasa, Z.; Vodnar, D.C. Cereal waste valorization through conventional and current extraction techniques—An up-to-date overview. Foods 2022, 11, 2454. [Google Scholar] [CrossRef] [PubMed]
- Ancuța, P.; Sonia, A. Oil press-cakes and meals valorization through circular economy approaches: A review. Appl. Sci. 2020, 10, 7432. [Google Scholar] [CrossRef]
- Sun, Y.; Cheng, J. Hydrolysis of lignocellulosic materials for ethanol production: A review. Bioresour. Technol. 2002, 83, 1–11. [Google Scholar] [CrossRef] [PubMed]
- Díez, D.; Urueña, A.; Piñero, R.; Barrio, A.; Tamminen, T. Determination of hemicellulose, cellulose, and lignin content in different types of biomasses by thermogravimetric analysis and pseudocomponent kinetic model (TGA-PKM method). Processes 2020, 8, 1048. [Google Scholar] [CrossRef]
- Sella Kapu, N.; Trajano, H.L. Review of hemicellulose hydrolysis in softwoods and bamboo. Biofuels Bioprod. Biorefining 2014, 8, 857–870. [Google Scholar] [CrossRef]
- Passoth, V.; Sandgren, M. Biofuel production from straw hydrolysates: Current achievements and perspectives. Appl. Microbiol. Biotechnol. 2019, 103, 5105–5116. [Google Scholar] [CrossRef] [PubMed]
- Azeta, O.; Ayeni, A.O.; Agboola, O.; Elehinafe, F.B. A review on the sustainable energy generation from the pyrolysis of coconut biomass. Sci. Afr. 2021, 13, e00909. [Google Scholar] [CrossRef]
- Chikri, R.; Elhadiri, N.; Benchanaa, M.; El Maguana, Y. Efficiency of sawdust as low-cost adsorbent for dyes removal. J. Chem. 2020, 2020, 8813420. [Google Scholar] [CrossRef]
- Chen, C. Comparison of Corn and Rye Arabinoxylans for the Production of Bio-Based Materials. Master’s Thesis, KTH Royal Institute of Technology, Stockholm, Sweden, 2020. [Google Scholar]
- Nechita, P.; Roman, M.; Năstac, S.M. Green approaches on modification of xylan hemicellulose to enhance the functional properties for food packaging materials—A review. Polymers 2023, 15, 2088. [Google Scholar] [CrossRef] [PubMed]
- Sun, R.; Min, S.; Sun, X. Preparation and characterization of wheat straw hemicellulosic succinates. Int. J. Polym. Anal. Charact. 2002, 7, 130–144. [Google Scholar] [CrossRef]
- Peng, X.-W.; Ren, J.-L.; Zhong, L.-X.; Cao, X.-F.; Sun, R.-C. Microwave-induced synthesis of carboxymethyl hemicelluloses and their rheological properties. J. Agric. Food Chem. 2011, 59, 570–576. [Google Scholar] [CrossRef] [PubMed]
- Lai, Y.-Z. Reactivity and accessibility of cellulose, hemicelluloses, and lignins. In Chemical Modification of Lignocellulosic Materials; Routledge: London, UK, 2017; pp. 95. [Google Scholar]
- Martins, J.R.; Abe, M.M.; Brienzo, M. Chemical modification strategies for developing functionalized hemicellulose: Advanced applications of modified hemicellulose. In Hemicellulose Biorefinery: A Sustainable Solution for Value Addition to Bio-Based Products and Bioenergy; Springer: Singapore, 2022; pp. 171–205. [Google Scholar]
- Casaburi, A.; Rojo, Ú.M.; Cerrutti, P.; Vázquez, A.; Foresti, M.L. Carboxymethyl cellulose with tailored degree of substitution obtained from bacterial cellulose. Food Hydrocoll. 2018, 75, 147–156. [Google Scholar] [CrossRef]
- Chakka, V.P.; Zhou, T. Carboxymethylation of polysaccharides: Synthesis and bioactivities. Int. J. Biol. Macromol. 2020, 165, 2425–2431. [Google Scholar] [CrossRef] [PubMed]
- Ren, J.-L.; Sun, R.-C.; Peng, F. Carboxymethylation of hemicelluloses isolated from sugarcane bagasse. Polym. Degrad. Stab. 2008, 93, 786–793. [Google Scholar] [CrossRef]
- de Mattos, N.R.; Colodette, J.L.; de Oliveira, C.R. Alkaline extraction and carboxymethylation of xylans from corn fiber. Cellulose 2019, 26, 2177–2189. [Google Scholar] [CrossRef]
- Pinto, E.; Aggrey, W.N.; Boakye, P.; Amenuvor, G.; Sokama-Neuyam, Y.A.; Fokuo, M.K.; Karimaie, H.; Sarkodie, K.; Adenutsi, C.D.; Erzuah, S. Cellulose processing from biomass and its derivatization into carboxymethylcellulose: A review. Sci. Afr. 2022, 15, e01078. [Google Scholar] [CrossRef]
- Velkova, N.; Doliška, A.; Fras Zemljič, L.; Vesel, A.; Saake, B.; Strnad, S. Influence of carboxymethylation on the surface physical–chemical properties of glucuronoxylan and arabinoxylan films. Polym. Eng. Sci. 2015, 55, 2706–2713. [Google Scholar] [CrossRef]
- Spasojevic, D.; Prokopijevic, M.; Prodanovic, O.; Zelenovic, N.; Polovic, N.; Radotic, K.; Prodanovic, R. Peroxidase-sensitive tyramine carboxymethyl xylan hydrogels for enzyme encapsulation. Macromol. Res. 2019, 27, 764–771. [Google Scholar] [CrossRef]
- Zhao, Y.; Jing, S.; Zhang, X.; Chen, Z.; Zhuo, H.; Hu, Y.; Liu, Q.; Zhong, L.; Peng, X.; Sun, R. Strengthening effects of carboxymethylated hemicellulosic fractions on paper strength. Ind. Crops Prod. 2018, 125, 360–369. [Google Scholar] [CrossRef]
- Fang, J.; Fowler, P.; Tomkinson, J.; Hill, C. Preparation and characterisation of methylated hemicelluloses from wheat straw. Carbohydr. Polym. 2002, 47, 285–293. [Google Scholar] [CrossRef]
- Singh, V.; Tiwari, A.; Tripathi, D.N.; Malviya, T. Microwave promoted methylation of plant polysaccharides. Tetrahedron Lett. 2003, 44, 7295–7297. [Google Scholar] [CrossRef]
- Kim, J.S.; Reuhs, B.L.; Michon, F.; Kaiser, R.E.; Arumugham, R.G. Addition of glycerol for improved methylation linkage analysis of polysaccharides. Carbohydr. Res. 2006, 341, 1061–1064. [Google Scholar] [CrossRef] [PubMed]
- Yang, Z.; Fan, H.; Li, R.; Li, B.; Fan, J.; Ge, J.; Xu, X.; Pan, S.; Liu, F. Potential role of cell wall pectin polysaccharides, water state, and cellular structure on twice “increase–decrease” texture changes during kohlrabi pickling process. Food Res. Int. 2023, 173, 113308. [Google Scholar] [CrossRef] [PubMed]
- Junli, R.; Xinwen, P.; Linxin, Z.; Feng, P.; Runcang, S. Novel hydrophobic hemicelluloses: Synthesis and characteristic. Carbohydr. Polym. 2012, 89, 152–157. [Google Scholar] [CrossRef] [PubMed]
- Kaur, P.; Kaur, R. Valorization of rice straw via production of modified xylans and xylooligosaccharides for their potential application in food industry. Cellul. Chem. Technol 2022, 56, 293–307. [Google Scholar] [CrossRef]
- de Almeida, W.S.; da Silva, D.A. Does polysaccharide quaternization improve biological activity? Int. J. Biol. Macromol. 2021, 182, 1419–1436. [Google Scholar] [CrossRef] [PubMed]
- Guan, Y.; Qi, X.-M.; Chen, G.-G.; Peng, F.; Sun, R.-C. Facile approach to prepare drug-loading film from hemicelluloses and chitosan. Carbohydr. Polym. 2016, 153, 542–548. [Google Scholar] [CrossRef] [PubMed]
- Zhang, M.; Zhan, A.; Ye, Y.; Liu, C.; Hang, F.; Li, K.; Li, J. Molecular modification, structural characterization, and biological activity of xylans. Carbohydr. Polym. 2021, 269, 118248. [Google Scholar] [CrossRef] [PubMed]
- Fröhlich, A.C.; Bazzo, G.C.; Stulzer, H.K.; Parize, A.L. Synthesis and physico-chemical characterization of quaternized and sulfated xylan-derivates with enhanced microbiological and antioxidant properties. Biocatal. Agric. Biotechnol. 2022, 43, 102416. [Google Scholar] [CrossRef]
- Grondahl, M.; Gatenholm, P. Role of acetyl substitution in hardwood xylan. Polysacch. Struct. Divers. Funct. Versatility 2005, 20, 509–514. [Google Scholar]
- Xu, Y.; Wu, Y.-J.; Sun, P.-L.; Zhang, F.-M.; Linhardt, R.J.; Zhang, A.-Q. Chemically modified polysaccharides: Synthesis, characterization, structure activity relationships of action. Int. J. Biol. Macromol. 2019, 132, 970–977. [Google Scholar] [CrossRef] [PubMed]
- Wang, X.; Wang, Z.; Shen, M.; Yi, C.; Yu, Q.; Chen, X.; Xie, J.; Xie, M. Acetylated polysaccharides: Synthesis, physicochemical properties, bioactivities, and food applications. Crit. Rev. Food Sci. Nutr. 2022, 64, 4849–4864. [Google Scholar] [CrossRef]
- Egüés, I.; Stepan, A.M.; Eceiza, A.; Toriz, G.; Gatenholm, P.; Labidi, J. Corncob arabinoxylan for new materials. Carbohydr. Polym. 2014, 102, 12–20. [Google Scholar] [CrossRef] [PubMed]
- Mugwagwa, L.; Chimphango, A. Optimising wheat straw alkali-organosolv pre-treatment to enhance hemicellulose modification and compatibility with reinforcing fillers. Int. J. Biol. Macromol. 2020, 143, 862–872. [Google Scholar] [CrossRef] [PubMed]
- Yilmaz-Turan, S.; Jiménez-Quero, A.; Menzel, C.; de Carvalho, D.M.; Lindström, M.E.; Sevastyanova, O.; Moriana, R.; Vilaplana, F. Bio-based films from wheat bran feruloylated arabinoxylan: Effect of extraction technique, acetylation and feruloylation. Carbohydr. Polym. 2020, 250, 116916. [Google Scholar] [CrossRef] [PubMed]
- Fang, J.; Sun, R.; Tomkinson, J.; Fowler, P. Acetylation of wheat straw hemicellulose B in a new non-aqueous swelling system. Carbohydr. Polym. 2000, 41, 379–387. [Google Scholar] [CrossRef]
- Li, H.; Wang, Y.; Zhao, P.; Guo, L.; Huang, L.; Li, X.; Gao, W. Naturally and chemically acetylated polysaccharides: Structural characteristics, synthesis, activities, and applications in the delivery system: A review. Carbohydr. Polym. 2023, 313, 120746. [Google Scholar] [CrossRef] [PubMed]
- Ren, J.; Sun, R.; Liu, C.; Cao, Z.; Luo, W. Acetylation of wheat straw hemicelluloses in ionic liquid using iodine as a catalyst. Carbohydr. Polym. 2007, 70, 406–414. [Google Scholar] [CrossRef]
- Stepan, A.M.; King, A.W.; Kakko, T.; Toriz, G.; Kilpeläinen, I.; Gatenholm, P. Fast and highly efficient acetylation of xylans in ionic liquid systems. Cellulose 2013, 20, 2813–2824. [Google Scholar] [CrossRef]
- Martins, J.R.; Llanos, J.H.R.; Botaro, V.; Gonçalves, A.R.; Brienzo, M. Hemicellulose Biomass Degree of Acetylation (Natural Versus Chemical Acetylation) as a Strategy for Based Packaging Materials. BioEnergy Res. 2024, 17, 877–896. [Google Scholar] [CrossRef]
- Xu, F.; Jiang, J.-X.; Sun, R.-C.; She, D.; Peng, B.; Sun, J.-X.; Kennedy, J.F. Rapid esterification of wheat straw hemicelluloses induced by microwave irradiation. Carbohydr. Polym. 2008, 73, 612–620. [Google Scholar] [CrossRef] [PubMed]
- Sun, R.; Sun, X.; Bing, X. Succinoylation of wheat straw hemicelluloses with a low degree of substitution in aqueous systems. J. Appl. Polym. Sci. 2002, 83, 757–766. [Google Scholar] [CrossRef]
- Sun, R.; Tomkinson, J.; Liu, J.; Geng, Z. Oleoylation of wheat straw hemicelluloses in new homogeneous system. Polym. J. 1999, 31, 857–863. [Google Scholar] [CrossRef]
- Ren, J.-L.; Xu, F.; Sun, R.-C.; Peng, B.; Sun, J.-X. Studies of the lauroylation of wheat straw hemicelluloses under heating. J. Agric. Food Chem. 2008, 56, 1251–1258. [Google Scholar] [CrossRef] [PubMed]
- Peng, F.; Ren, J.-L.; Peng, B.; Xu, F.; Sun, R.-C.; Sun, J.-X. Rapid homogeneous lauroylation of wheat straw hemicelluloses under mild conditions. Carbohydr. Res. 2008, 343, 2956–2962. [Google Scholar] [CrossRef] [PubMed]
- Li, Y. Formation of Hydrogels from Antioxidative Synthetic Hydroxycinnamate Ester Conjugates Based on Corn Bran Arabinoxylan. Cellul. Chem. Technol. 2022, 56, 271–282. [Google Scholar] [CrossRef]
- Kumar, D.; Pandey, J.; Raj, V.; Kumar, P. A review on the modification of polysaccharide through graft copolymerization for various potential applications. Open Med. Chem. J. 2017, 11, 109. [Google Scholar] [CrossRef] [PubMed]
- Vijayasri, K.; Tiwari, A.; Singh, A.K. Grafted natural polymers: Synthesis and structure–property relationships. In Handbook of Natural Polymers; Elsevier: Amsterdam, The Netherlands, 2023; Volume 1, pp. 251–274. [Google Scholar]
- Fanta, G.; Burr, R.; Doane, W. Graft polymerization of acrylonitrile and methyl acrylate onto hemicellulose. J. Appl. Polym. Sci. 1982, 27, 4239–4250. [Google Scholar] [CrossRef]
- Soliman, A.A. Graft copolymerization of acrylonitrile onto hemicellulose and its effect on paper sheets. J. Sci. Ind. Res. 1997, 56, 545–552. [Google Scholar]
- Peroval, C.; Debeaufort, F.; Seuvre, A.-M.; Cayot, P.; Chevet, B.; Despré, D.; Voilley, A. Modified arabinoxylan-based films: Grafting of functional acrylates by oxygen plasma and electron beam irradiation. J. Membr. Sci. 2004, 233, 129–139. [Google Scholar] [CrossRef]
- Littunen, K.; Kilpeläinen, P.; Junka, K.; Sipponen, M.; Master, E.R.; Seppälä, J. Effect of xylan structure on reactivity in graft copolymerization and subsequent binding to cellulose. Biomacromolecules 2015, 16, 1102–1111. [Google Scholar] [CrossRef] [PubMed]
- Littunen, K.; Mai-Gisondi, G.; Seppälä, J.; Master, E.R. Enzymatically debranched xylans in graft copolymerization. Biomacromolecules 2017, 18, 1634–1641. [Google Scholar] [CrossRef] [PubMed]
- Svärd, A.; Brännvall, E.; Edlund, U. Modified and thermoplastic rapeseed straw xylan: A renewable additive in PCL biocomposites. Ind. Crops Prod. 2018, 119, 73–82. [Google Scholar] [CrossRef]
- Ünlü, C.H.; Öztekin, N.S.; Atıcı, O.G. Synthesis and thermal characterization of xylan-graft-polyacrylonitrile. Carbohydr. Polym. 2012, 90, 1120–1126. [Google Scholar] [CrossRef] [PubMed]
- Li, W.; Zhou, X. Modification of the water-insoluble hemicelluloses via free radical copolymerization in diluted alkali aqueous medium. J. Wood Chem. Technol. 2017, 37, 191–200. [Google Scholar] [CrossRef]
- Xu, Y.; Liu, K.; Yang, Y.; Kim, M.-S.; Lee, C.-H.; Zhang, R.; Xu, T.; Choi, S.-E.; Si, C. Hemicellulose-based hydrogels for advanced applications. Front. Bioeng. Biotechnol. 2023, 10, 1110004. [Google Scholar] [CrossRef] [PubMed]
- Zhao, Y.; Sun, H.; Yang, B.; Weng, Y. Hemicellulose-based film: Potential green films for food packaging. Polymers 2020, 12, 1775. [Google Scholar] [CrossRef] [PubMed]
- Fadel, A.; Plunkett, A.; Ashworth, J.; Mahmoud, A.M.; Ranneh, Y.; El Mohtadi, M.; Li, W. The effect of extrusion screw-speed on the water extractability and molecular weight distribution of arabinoxylans from defatted rice bran. J. Food Sci. Technol. 2018, 55, 1201–1206. [Google Scholar] [CrossRef] [PubMed]
- Fang, F.; Mukherjee, I.; Okoniewska, M.; Yao, T.; Campanella, O.H.; Hamaker, B.R. Soluble corn arabinoxylan has desirable material properties for high incorporation in expanded cereal extrudates. Food Hydrocoll. 2022, 133, 107939. [Google Scholar] [CrossRef]
- Vaidya, A.A.; Gaugler, M.; Smith, D.A. Green route to modification of wood waste, cellulose and hemicellulose using reactive extrusion. Carbohydr. Polym. 2016, 136, 1238–1250. [Google Scholar] [CrossRef] [PubMed]
- Yan, X.; Ye, R.; Chen, Y. Blasting extrusion processing: The increase of soluble dietary fiber content and extraction of soluble-fiber polysaccharides from wheat bran. Food Chem. 2015, 180, 106–115. [Google Scholar] [CrossRef] [PubMed]
- Demuth, T.; Betschart, J.; Nyström, L. Structural modifications to water-soluble wheat bran arabinoxylan through milling and extrusion. Carbohydr. Polym. 2020, 240, 116328. [Google Scholar] [CrossRef] [PubMed]
- Li, L.; Ma, S.; Fan, L.; Zhang, C.; Pu, X.; Zheng, X.; Wang, X. The influence of ultrasonic modification on arabinoxylans properties obtained from wheat bran. Int. J. Food Sci. Technol. 2016, 51, 2338–2344. [Google Scholar] [CrossRef]
- Vandenbossche, V.; Brault, J.; Vilarem, G.; Hernández-Meléndez, O.; Vivaldo-Lima, E.; Hernández-Luna, M.; Barzana, E.; Duque, A.; Manzanares, P.; Ballesteros, M.; et al. A new lignocellulosic biomass deconstruction process combining thermo-mechano chemical action and bio-catalytic enzymatic hydrolysis in a twin-screw extruder. Ind. Crops Prod. 2014, 55, 258–266. [Google Scholar] [CrossRef]
- Chen, Z.; Li, P.; Ji, Q.; Xing, Y.; Ma, X.; Xia, Y. All-polysaccharide composite films based on calcium alginate reinforced synergistically by multidimensional cellulose and hemicellulose fractionated from corn husks. Mater. Today Commun. 2023, 34, 105090. [Google Scholar] [CrossRef]
- Wang, H.-M.; Yuan, T.-Q.; Song, G.-Y.; Sun, R.-C. Advanced and versatile lignin-derived biodegradable composite film materials toward a sustainable world. Green Chem. 2021, 23, 3790–3817. [Google Scholar] [CrossRef]
- Kumar, A.; Mishra, R.K.; Verma, K.; Aldosari, S.M.; Maity, C.K.; Verma, S.; Patel, R.; Thakur, V.K. A comprehensive review of various biopolymer composites and their applications: From biocompatibility to self-healing. Mater. Today Sustain. 2023, 23, 100431. [Google Scholar] [CrossRef]
- Svärd, A.; Brännvall, E.; Edlund, U. Rapeseed straw as a renewable source of hemicelluloses: Extraction, characterization and film formation. Carbohydr. Polym. 2015, 133, 179–186. [Google Scholar] [CrossRef] [PubMed]
- Azeredo, H.M.; Kontou-Vrettou, C.; Moates, G.K.; Wellner, N.; Cross, K.; Pereira, P.H.; Waldron, K.W. Wheat straw hemicellulose films as affected by citric acid. Food Hydrocoll. 2015, 50, 1–6. [Google Scholar] [CrossRef]
- Kocabaş, D.S.; Akçelik, M.E.; Bahçegül, E.; Özbek, H.N. Bulgur bran as a biopolymer source: Production and characterization of nanocellulose-reinforced hemicellulose-based biodegradable films with decreased water solubility. Ind. Crops Prod. 2021, 171, 113847. [Google Scholar] [CrossRef]
- Kapil, S.; Mankoo, R.K.; Dudeja, I.; Singh, A.; Kaur, J. Structural, antioxidant, antibacterial and biodegradation properties of rice straw xylan (native and modified) based biofilms. Int. J. Food Sci. Technol. 2023, 58, 2772–2781. [Google Scholar] [CrossRef]
- Pereira, P.H.; Waldron, K.W.; Wilson, D.R.; Cunha, A.P.; de Brito, E.S.; Rodrigues, T.H.; Rosa, M.F.; Azeredo, H.M. Wheat straw hemicelluloses added with cellulose nanocrystals and citric acid. Effect on film physical properties. Carbohydr. Polym. 2017, 164, 317–324. [Google Scholar] [CrossRef] [PubMed]
- Xu, S.; Jiang, M.; Lu, Q.; Gao, S.; Feng, J.; Wang, X.; He, X.; Chen, K.; Li, Y.; Ouyang, P. Properties of polyvinyl alcohol films composited with hemicellulose and nanocellulose extracted from artemisia selengensis straw. Front. Bioeng. Biotechnol. 2020, 8, 980. [Google Scholar] [CrossRef] [PubMed]
- Louis, A.C.F.; Venkatachalam, S.; Gupta, S. Innovative strategy for rice straw valorization into nanocellulose and nanohemicellulose and its application. Ind. Crops Prod. 2022, 179, 114695. [Google Scholar] [CrossRef]
- Whistler, R.L. Hemicelluloses. In Industrial Gums; Elsevier: Amsterdam, The Netherlands, 1993; pp. 295–308. [Google Scholar]
- Popa, V.I.; Spiridon, J. Hemicelluloses: Structure and properties. In Polysaccharides: Structural Diversity and Functional Versatility; Marcel Dekker: New York, NY, USA, 1998; pp. 297–311. [Google Scholar]
- Sun, X.-F.; Zhang, T.; Wang, H.-H. Hemicelluloses-based hydrogels. Plant Algal Hydrogels Drug Deliv. Regen. Med. 2021, 181–216. [Google Scholar] [CrossRef]
- Kong, W.; Dai, Q.; Gao, C.; Ren, J.; Liu, C.; Sun, R. Hemicellulose-based hydrogels and their potential application. In Polymer Gels Science and Fundamentals; Springer: Singapore, 2018; pp. 87–127. [Google Scholar]
- Meena, R.; Lehnen, R.; Schmitt, U.; Saake, B. Effect of oat spelt and beech xylan on the gelling properties of kappa-carrageenan hydrogels. Carbohydr. Polym. 2011, 85, 529–540. [Google Scholar] [CrossRef]
- Talantikite, M.; Beury, N.g.; Moreau, C.l.; Cathala, B. Arabinoxylan/cellulose nanocrystal hydrogels with tunable mechanical properties. Langmuir 2019, 35, 13427–13434. [Google Scholar] [CrossRef] [PubMed]
- Sun, X.-F.; Wang, H.-h.; Jing, Z.-x.; Mohanathas, R. Hemicellulose-based pH-sensitive and biodegradable hydrogel for controlled drug delivery. Carbohydr. Polym. 2013, 92, 1357–1366. [Google Scholar] [CrossRef] [PubMed]
- Sun, X.-F.; Liu, B.; Jing, Z.; Wang, H. Preparation and adsorption property of xylan/poly (acrylic acid) magnetic nanocomposite hydrogel adsorbent. Carbohydr. Polym. 2015, 118, 16–23. [Google Scholar] [CrossRef] [PubMed]
- Wang, L.; Zhang, L.; Qiu, S.; Liu, C.; Zhang, P.; Yin, L.; Chen, F. Rheological properties and structural characteristics of arabinoxylan hydrogels prepared from three wheat bran sources. J. Cereal Sci. 2019, 88, 79–86. [Google Scholar] [CrossRef]
- Li, J.; Lu, Z.; Chen, Z.; Li, C.; Du, Y.; Chen, C.; Wang, L.; Yu, P. Preparation and characterization of pH-responsive microgel using arabinoxylan from wheat bran for BSA delivery. Food Chem. 2021, 342, 128220. [Google Scholar] [CrossRef] [PubMed]
- Sun, X.-F.; Xie, Y.; Shan, S.; Li, W.; Sun, L. Chemically-crosslinked xylan/graphene oxide composite hydrogel for copper ions removal. J. Polym. Environ. 2022, 30, 3999–4013. [Google Scholar] [CrossRef]
- Chimphango, A.F.; van Zyl, W.H.; Görgens, J.F. In situ enzymatic aided formation of xylan hydrogels and encapsulation of horse radish peroxidase for slow release. Carbohydr. Polym. 2012, 88, 1109–1117. [Google Scholar] [CrossRef]
- Zhang, X.; Chen, T.; Lim, J.; Gu, F.; Fang, F.; Cheng, L.; Campanella, O.H.; Hamaker, B.R. Acid gelation of soluble laccase-crosslinked corn bran arabinoxylan and possible gel formation mechanism. Food Hydrocoll. 2019, 92, 1–9. [Google Scholar] [CrossRef]
- Li, C.; Wang, L.; Chen, Z.; Li, Y.; Li, J. Facile and green preparation of diverse arabinoxylan hydrogels from wheat bran by combining subcritical water and enzymatic crosslinking. Carbohydr. Polym. 2020, 241, 116317. [Google Scholar] [CrossRef] [PubMed]
- Munk, L.; Muschiol, J.; Li, K.; Liu, M.; Perzon, A.; Meier, S.; Ulvskov, P.; Meyer, A.S. Selective enzymatic release and gel formation by cross-linking of feruloylated glucurono-arabinoxylan from corn bran. ACS Sustain. Chem. Eng. 2020, 8, 8164–8174. [Google Scholar] [CrossRef]
- Yilmaz-Turan, S.; Lopez-Sanchez, P.; Jiménez-Quero, A.; Plivelic, T.S.; Vilaplana, F. Revealing the mechanisms of hydrogel formation by laccase crosslinking and regeneration of feruloylated arabinoxylan from wheat bran. Food Hydrocoll. 2022, 128, 107575. [Google Scholar] [CrossRef]
- Naidu, D.S.; Hlangothi, S.P.; John, M.J. Bio-based products from xylan: A review. Carbohydr. Polym. 2018, 179, 28–41. [Google Scholar] [CrossRef] [PubMed]
- Li, N.; Qiao, D.; Zhao, S.; Lin, Q.; Zhang, B.; Xie, F. 3D printing to innovate biopolymer materials for demanding applications: A review. Mater. Today Chem. 2021, 20, 100459. [Google Scholar] [CrossRef]
- Teixeira, M.C.; Lameirinhas, N.S.; Carvalho, J.P.; Silvestre, A.J.; Vilela, C.; Freire, C.S. A guide to polysaccharide-based hydrogel bioinks for 3D bioprinting applications. Int. J. Mol. Sci. 2022, 23, 6564. [Google Scholar] [CrossRef] [PubMed]
- Bahcegul, E.G.; Bahcegul, E.; Ozkan, N. 3D printing of hemicellulosic biopolymers extracted from lignocellulosic agricultural wastes. ACS Appl. Polym. Mater. 2020, 2, 2622–2632. [Google Scholar] [CrossRef]
- Bahcegul, E.G.; Bahcegul, E.; Ozkan, N. 3D printing of crude lignocellulosic biomass extracts containing hemicellulose and lignin. Ind. Crops Prod. 2022, 186, 115234. [Google Scholar] [CrossRef]
- Yang, J.; An, X.; Liu, L.; Tang, S.; Cao, H.; Xu, Q.; Liu, H. Cellulose, hemicellulose, lignin, and their derivatives as multi-components of bio-based feedstocks for 3D printing. Carbohydr. Polym. 2020, 250, 116881. [Google Scholar] [CrossRef] [PubMed]
- Mohammadabadi, S.I.; Javanbakht, V. Ultrasonic assisted hydrolysis of barley straw biowastes into construction of a novel hemicellulose-based adsorbent and its adsorption properties for Pb2+ ions from aqueous solutions. Renew. Energy 2020, 161, 893–906. [Google Scholar] [CrossRef]
- Guan, Y.; Rao, J.; Wu, Y.; Gao, H.; Liu, S.; Chen, G.; Peng, F. Hemicelluloses-based magnetic aerogel as an efficient adsorbent for Congo red. Int. J. Biol. Macromol. 2020, 155, 369–375. [Google Scholar] [CrossRef] [PubMed]
- Sharma, K.; Kaur, M.; Tewatia, P.; Kumar, V.; Paulik, C.; Yoshitake, H.; Sharma, M.; Rattan, G.; Singhal, S.; Kaushik, A. Ultra-sensitive detection and scavenging of arsenic ions and ciprofloxacin using 3D multipurpose hemicellulose based aerogel: Adsorption mechanism and RSM optimization. Bioresour. Technol. 2023, 389, 129825. [Google Scholar] [CrossRef] [PubMed]
- Chen, S.; Xia, Y.; Zhang, B.; Chen, H.; Chen, G.; Tang, S. Disassembly of lignocellulose into cellulose, hemicellulose, and lignin for preparation of porous carbon materials with enhanced performances. J. Hazard. Mater. 2021, 408, 124956. [Google Scholar] [CrossRef] [PubMed]
- Roth, M.; Jekle, M.; Becker, T. Opportunities for upcycling cereal byproducts with special focus on Distiller’s grains. Trends Food Sci. Technol. 2019, 91, 282–293. [Google Scholar] [CrossRef]
- Sun, D.; Lv, Z.-W.; Rao, J.; Tian, R.; Sun, S.-N.; Peng, F. Effects of hydrothermal pretreatment on the dissolution and structural evolution of hemicelluloses and lignin: A review. Carbohydr. Polym. 2022, 281, 119050. [Google Scholar] [CrossRef] [PubMed]
- Zhang, G.; Huang, K.; Jiang, X.; Huang, D.; Yang, Y. Acetylation of rice straw for thermoplastic applications. Carbohydr. Polym. 2013, 96, 218–226. [Google Scholar] [CrossRef] [PubMed]








| Lignocellulosic Sources | Hemicellulose Yield Range (Dry Weight) | Reference |
|---|---|---|
| Grasses | 20–35% | [5] |
| Hardwoods | 25–35% | [24] |
| Softwoods | 18–35% | [25] |
| Straw | 23–36% | [26] |
| Bamboo | 24–34% | [25] |
| Coconut shells | 24–28% | [27] |
| Wood chips and sawdust | 15–35% | [28] |
| Limitation | Description |
|---|---|
| Composition Complexity | Varied GOBP composition affects modification efficiency and quality. Impurities hinder optimal results. |
| Multi-Step Processes | Requires time-consuming, multi-step chemical reactions or complex physical treatments with specific equipment. |
| Property Deficiencies | Enhancements may cause deficiencies, e.g., acetylation improves meltability but reduces stability and antioxidant activity. |
| High Costs | Expensive reagents and equipment increase production costs, limiting large-scale applications. |
| Environmental and Energy Impact | Generates harmful by-products, high energy consumption due to required high temperatures and pressure. |
Disclaimer/Publisher’s Note: The statements, opinions and data contained in all publications are solely those of the individual author(s) and contributor(s) and not of MDPI and/or the editor(s). MDPI and/or the editor(s) disclaim responsibility for any injury to people or property resulting from any ideas, methods, instructions or products referred to in the content. |
© 2024 by the authors. Licensee MDPI, Basel, Switzerland. This article is an open access article distributed under the terms and conditions of the Creative Commons Attribution (CC BY) license (https://creativecommons.org/licenses/by/4.0/).
Share and Cite
Liu, X.; Xie, J.; Jacquet, N.; Blecker, C. Valorization of Grain and Oil By-Products with Special Focus on Hemicellulose Modification. Polymers 2024, 16, 1750. https://doi.org/10.3390/polym16121750
Liu X, Xie J, Jacquet N, Blecker C. Valorization of Grain and Oil By-Products with Special Focus on Hemicellulose Modification. Polymers. 2024; 16(12):1750. https://doi.org/10.3390/polym16121750
Chicago/Turabian StyleLiu, Xiaoxian, Jin Xie, Nicolas Jacquet, and Christophe Blecker. 2024. "Valorization of Grain and Oil By-Products with Special Focus on Hemicellulose Modification" Polymers 16, no. 12: 1750. https://doi.org/10.3390/polym16121750
APA StyleLiu, X., Xie, J., Jacquet, N., & Blecker, C. (2024). Valorization of Grain and Oil By-Products with Special Focus on Hemicellulose Modification. Polymers, 16(12), 1750. https://doi.org/10.3390/polym16121750
