Study on the Properties of Multi-Walled Carbon Nanotubes (MWCNTs)/Polypropylene Fiber (PP Fiber) Cement-Based Materials
Abstract
:1. Introduction
2. Materials and Methods
2.1. Raw Materials
2.2. Preparation of Cement-Based Composite Materials
2.3. Test Methods
2.3.1. Fluidity Test and Mechanical Tests
2.3.2. Durability Tests
2.3.3. Scanning Electron Microscopy
2.3.4. Mercury Intrusion Test
3. Results and Analysis
3.1. Workability and Mechanical Properties Analysis
3.1.1. Workability Analysis
3.1.2. Flexural Strength and Compressive Strength
3.1.3. Split Tensile Strength
3.2. Durability Analysis
3.2.1. Drying Shrinkage Test
3.2.2. Freeze–Thaw Cycle Test
3.3. Scanning Electron Microscopy Test Analysis
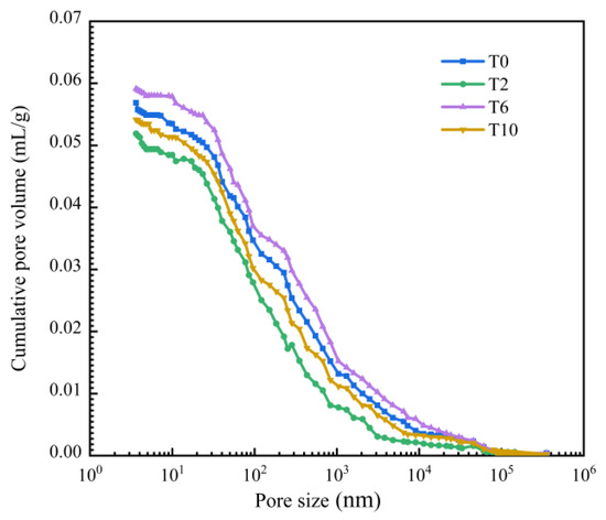
3.4. Mercury Intrusion Test
4. Conclusions
Author Contributions
Funding
Institutional Review Board Statement
Data Availability Statement
Conflicts of Interest
References
- Ahmad, W.; Khan, M.; Smarzewski, P. Effect of short fiber reinforcements on fracture performance of cement-based materials: A systematic review approach. Materials 2021, 14, 1745. [Google Scholar] [CrossRef] [PubMed]
- Ma, C.; Fan, F.; Chen, M.; Li, S.; Chen, Y.; Pan, Z.; Liu, R. Preparation of a novel superabsorbent fiber–cement composite and evaluation of its self-healing performance. Cem. Concr. Compos. 2022, 133, 104713. [Google Scholar] [CrossRef]
- Lei, D.; Li, M.; Zhang, P.; Yin, B.; Li, Y.; Song, L.; Zhang, J.; Zhang, X.; Lu, G.; Qian, K.; et al. Research progress on multi-scale anti-cracking and toughening mechanism of cement-based materials. Acta Silic. Sin. 2023, 51, 2876–2889. [Google Scholar]
- Wang, X.; Feng, D. Research progress of nano-carbon/cement-based composites. Mater. Rep. 2023, 37, 120–135. [Google Scholar]
- Balea, A.; Fuente, E.; Monte, M.C.; Blanco, A.; Negro, C. Recycled fibers for sustainable hybrid fiber cement based material: A review. Materials 2021, 14, 2408. [Google Scholar] [CrossRef] [PubMed]
- Balea, A.; Fuente, E.; Blanco, A.; Negro, C. Nanocelluloses: Natural-based materials for fiber-reinforced cement composites. A critical review. Polymers 2019, 11, 518. [Google Scholar] [CrossRef]
- Niu, D.; He, J.; Fu, Q.; Li, D.; Guo, B. The effect of carbon nanotubes on the microstructure and durability of cement-based materials. Acta Silic. Sin. 2020, 48, 705–717. [Google Scholar]
- Pan, R.; Zhang, S.; Zheng, D.; Cui, H.; Li, D. Research progress of multi-dimensional nano-reinforced cement-based composites. Mater. Introd. 2017, 31, 97–103. [Google Scholar]
- Rashad, A.M. Effect of carbon nanotubes (CNTs) on the properties of traditional cementitious materials. Constr. Build. Mater. 2017, 153, 81–101. [Google Scholar] [CrossRef]
- Zhang, J.; Ke, Y.; Zhang, J.; Han, Q.; Dong, B. Cement paste with well-dispersed multi-walled carbon nanotubes: Mechanism and performance. Constr. Build. Mater. 2020, 262, 120746. [Google Scholar] [CrossRef]
- Li, S.; Zhang, Y.; Lin, S.; Yan, J.; Du, S. Effects of nano-SiO2 coated multi-walled carbon nanotubes on mechanical properties of cement-based composites. Constr. Build. Mater. 2021, 281, 122577. [Google Scholar] [CrossRef]
- Metaxa, Z.S.; Boutsioukou, S.; Amenta, M.; Favvas, E.P.; Kourkoulis, S.K.; Alexopoulos, N.D. Dispersion of Multi-Walled Carbon Nanotubes into White Cement Mortars: The Effect of Concentration and Surfactants. Nanomaterials 2022, 12, 1031. [Google Scholar] [CrossRef] [PubMed]
- Cui, H.; Yang, J.; Lin, J. Research progress of carbon nanotube dispersion technology and carbon nanotube-cement matrix composites. Mater. Introd. 2016, 30, 91–95. [Google Scholar]
- Nadiv, R.; Shtein, M.; Refaeli, M.; Peled, A.; Regev, O. The critical role of nanotube shape in cement composites. Cem. Concr. Compos. 2016, 71, 166–174. [Google Scholar] [CrossRef]
- Du, Y.; Gao, P.; Yang, J.; Shi, F.; Shabaz, M. Experimental analysis of mechanical properties and durability of cement-based composite with carbon nanotube. Adv. Mater. Sci. Eng. 2021, 2021, 8777613. [Google Scholar] [CrossRef]
- Li, W.W.; Ji, W.M.; Wang, Y.C.; Liu, Y.; Shen, R.X.; Xing, F. Investigation on the mechanical properties of a cement-based material containing carbon nanotube under drying and freeze-thaw conditions. Materials 2015, 8, 8780–8792. [Google Scholar] [CrossRef]
- Silvestro, L.; Gleize, P.J.P. Effect of carbon nanotubes on compressive, flexural and tensile strengths of Portland cement-based materials: A systematic literature review. Constr. Build. Mater. 2020, 264, 120237. [Google Scholar] [CrossRef]
- Cerro-Prada, E.; Pacheco-Torres, R.; Varela, F. Effect of multi-walled carbon nanotubes on strength and electrical properties of cement mortar. Materials 2020, 14, 79. [Google Scholar] [CrossRef]
- Qin, R.; Zhou, A.; Yu, Z.; Wang, Q.; Lau, D. Role of carbon nanotube in reinforcing cementitious materials: An experimental and coarse-grained molecular dynamics study. Cem. Concr. Res. 2021, 147, 106517. [Google Scholar] [CrossRef]
- Gao, F.; Tian, W.; Wang, Z.; Wang, F. Effect of diameter of multi-walled carbon nanotubes on mechanical properties and microstructure of the cement-based materials. Constr. Build. Mater. 2020, 260, 120452. [Google Scholar] [CrossRef]
- Ramezani, M.; Kim, Y.H.; Sun, Z. Mechanical properties of carbon-nanotube-reinforced cementitious materials: Database and statistical analysis. Mag. Concr. Res. 2020, 72, 1047–1071. [Google Scholar] [CrossRef]
- Li, Y.; Li, H.; Shen, J. The study of effect of carbon nanotubes on the compressive strength of cement-based materials based on machine learning. Constr. Build. Mater. 2022, 358, 129435. [Google Scholar] [CrossRef]
- Sarvandani, M.M.; Mahdikhani, M.; Aghabarati, H.; Fatmehsari, M.H. Effect of functionalized multi-walled carbon nanotubes on mechanical properties and durability of cement mortars. J. Build. Eng. 2021, 41, 102407. [Google Scholar] [CrossRef]
- Chen, J.; Akono, A.T. Influence of multi-walled carbon nanotubes on the hydration products of ordinary Portland cement paste. Cem. Concr. Res. 2020, 137, 106197. [Google Scholar] [CrossRef]
- Wang, B.; Pang, B. Properties improvement of multiwall carbon nanotubes-reinforced cement-based composites. J. Compos. Mater. 2020, 54, 2379–2387. [Google Scholar] [CrossRef]
- Naqi, A.; Abbas, N.; Zahra, N.; Hussain, A.; Shabbir, S.Q. Effect of multi-walled carbon nanotubes (MWCNTs) on the strength development of cementitious materials. J. Mater. Res. Technol. 2019, 8, 1203–1211. [Google Scholar] [CrossRef]
- Qing, L.; Yang, Z.; Mu, R.; Zhang, J.; Ji, X. Mesoscopic numerical simulation of fracture of aligned steel fiber reinforced cementitious composites. J. Build. Mater. 2023, 26, 111–121. [Google Scholar]
- Yang, K.; Tang, Z.; Cheng, Z.; Zhao, H.; Feng, R.; Long, G. Mechanical properties of ultra-high strength cement-based materials (UHSC) incorporating metal powders and steel fibers. Constr. Build. Mater. 2022, 318, 125926. [Google Scholar] [CrossRef]
- Bai, G.; Wang, L.; Wang, F.; Cheng, X. Preparation and mechanical properties testing of 3D printed UHPC. Mater. Introd. 2021, 35, 12063–12069. [Google Scholar]
- Cao, K.; Liu, G.; Li, H.; Huang, Z. Mechanical properties and microstructures of Steel-basalt hybrid fibers reinforced Cement-based composites exposed to high temperatures. Constr. Build. Mater. 2022, 341, 127730. [Google Scholar] [CrossRef]
- Monaldo, E.; Nerilli, F.; Vairo, G. Basalt-based fiber-reinforced materials and structural applications in civil engineering. Compos. Struct. 2019, 214, 246–263. [Google Scholar] [CrossRef]
- Chen, H.; Wang, P.; Pan, J.; Lawi, A.S.; Zhu, Y. Effect of alkali-resistant glass fiber and silica fume on mechanical and shrinkage properties of cement-based mortars. Constr. Build. Mater. 2021, 307, 125054. [Google Scholar] [CrossRef]
- Zhang, W.; Zhang, Y.; Wu, Z.; Liu, N.; Yuan, D. Optimization design and performance of glass fiber reinforced cementitious materials. Mater. Rev. 2019, 33, 2331–2336. [Google Scholar]
- Yao, X.; Han, Y.; Shen, L.; Zhu, D.; Cao, M. Multi scale method for thermal conductivity of polypropylene fiber-reinforced cement-based composites after high temperature. J. Compos. Mater. 2021, 38, 3531–3542. [Google Scholar]
- Jin, H.; Li, F.; He, X.; Wang, J.; Hu, D.; Hu, Z. Study on the frost resistance of polypropylene fiber cement-based composites. Mater. Introd. 2020, 34, 8071–8076+8082. [Google Scholar]
- Liang, N.; Zhou, K.; Lan, F.; Liu, X.; Deng, Z. Experimental study on bearing capacity of basalt-polypropylene coarse fiber reinforced concrete pipe. Mater. Bull. 2023, 37, 104–111. [Google Scholar]
- Li, X.; Xu, J.; Xie, W.; Liu, W.; Yu, F.; Sun, X.; Luo, Y.; Chen, Q. Cost analysis of polypropylene fiber reinforced cement-based building materials based on full lifecycle cost. J. Fujian Norm. Univ. (Nat. Sci. Ed.) 2023, 39, 25–31. [Google Scholar]
- Małek, M.; Jackowski, M.; Łasica, W.; Kadela, M. Characteristics of recycled polypropylene fibers as an addition to concrete fabrication based on portland cement. Materials 2020, 13, 1827. [Google Scholar] [CrossRef]
- Li, J.J.; Niu, J.G.; Wan, C.J.; Jin, B.; Yin, Y.L. Investigation on mechanical properties and microstructure of high performance polypropylene fiber reinforced lightweight aggregate concrete. Constr. Build. Mater. 2016, 118, 27–35. [Google Scholar] [CrossRef]
- Ahmed, T.W.; Ali, A.A.M.; Zidan, R.S. Properties of high strength polypropylene fiber concrete containing recycled aggregate. Constr. Build. Mater. 2020, 241, 118010. [Google Scholar] [CrossRef]
- Al-Katib, H.A.A.; Alkhudery, H.H.; Al-Tameemi, H.A. Behavior of polypropylene fibers reinforced concrete modified with high performance cement. Int. J. Civ. Eng. Technol. (IJCIET) 2018, 9, 1066–1074. [Google Scholar]
- Alamshahi, V.; Taeb, A.; Ghaffarzadeh, R.; Rezaee, M.A. Effect of composition and length of PP and polyester fibres on mechanical properties of cement based composites. Constr. Build. Mater. 2012, 36, 534–537. [Google Scholar] [CrossRef]
- Liang, N.; Mao, J.; You, X.; Liu, X.; Zhou, K. Multiscale bending fatigue life test and numerical simulation of polypropylene fiber reinforced concrete. Mater. Rev. 2023, pp. 1–17. Available online: http://kns.cnki.net/kcms/detail/50.1078.tb.20230414.1003.002.html (accessed on 8 December 2023).
- Teixeira, R.S.; Santos, S.F.; Christoforo, A.L.; Savastano Jr, H.; Lahr, F.A.R. Extrudability of cement-based composites reinforced with curauá (Ananas erectifolius) or polypropylene fibers. Constr. Build. Mater. 2019, 205, 97–110. [Google Scholar] [CrossRef]
- Li, C.; Chen, X.; Zhang, X.; Wang, H. Mechanical properties of interface bonding between synthetic coarse polypropylene fibers and cement mortar. J. Compos. Mater. 2023, 40, 2427–2440. [Google Scholar]
- Wu, B.; Qiu, J. Enhancing the hydrophobic PP fiber/cement matrix interface by coating nano-AlOOH to the fiber surface in a facile method. Cem. Concr. Compos. 2022, 125, 104297. [Google Scholar] [CrossRef]
- Ahmadi, K.; Mousavi, S.S.; Dehestani, M. Influence of nano-coated micro steel fibers on mechanical and self-healing properties of 3D printable concrete using graphene oxide and polyvinyl alcohol. J. Adhes. Sci. Technol. 2023, 1–22. [Google Scholar] [CrossRef]
- Feng, G.; Wang, X.; Zhang, D.; Cao, H.; Qian, K.; Xiao, X. A comparative study on mechanical properties of surface modified polypropylene (PP) fabric reinforced concrete composites. Constr. Build. Mater. 2017, 157, 372–381. [Google Scholar] [CrossRef]
- Jia, E.; Mou, H.; Liu, Z.; Wang, J.; Zeng, L.; Yang, X.; Liu, P. Surface hydrophilic modification of polypropylene fibers and their application in fiber-reinforced cement-based materials. J. Macromol. Sci. Part B 2020, 60, 286–298. [Google Scholar] [CrossRef]
- Feng, J.; Yang, F.; Qian, S. Improving the bond between polypropylene fiber and cement matrix by nano calcium carbonate modification. Constr. Build. Mater. 2021, 269, 121249. [Google Scholar] [CrossRef]
- Wu, Z. Exploration of the Recent Development Direction of Concrete Science and Technology. Acta Sin. Sin. 1979, 262–270. [Google Scholar]
















| Item | Diameter (nm) | Length (μm) | Purity (wt%) | Specific Surface Area (%) |
|---|---|---|---|---|
| MWCNTs | 10–20 | 5–15 | >97% | 90–120 m2/g |
| Item | Indexes |
|---|---|
| Fiber type | Bunchy monofilament |
| Tensile strength (MPa) | >486 |
| Elastic modulus (GPa) | >4.8 |
| Melting point (°C) | 169 |
| Density (g/cm3) | 0.91 |
| Length (mm) | 9 |
| Diameter (μm) | 18–48 |
| No. | Types | Materials | Indexes |
|---|---|---|---|
| 1 | Binding material | P.O 42.5 Cement | Fineness, 5.4%; standard consistency water consumption, 26.1%; initial setting time, 255 min; final setting time, 365 min; soundness, 1.2 mm |
| 2 | Binding material | Fly ash (I grade) | Mean diameter, 20.13 μm; fineness, 9.8%; water demand ratio, 93.1%; moisture content, 0.2%; loss on ignition, 1.35% |
| 3 | Dispersant | Polyvinyl pyrrolidone | White powder; K-value, 27.0–32.4; pH value, 3.0–5.0; total nitrogen content, 11.5–12.8%; ignition residue, ≤0.1%; aldehyde content, ≤0.05%; formic acid content, ≤0.5%; vinylpyrrolidone content, ≤0.001%; plumbum content, ≤0.001%; water content ≤ 5.0% |
| 4 | Auxiliary material | Naphthalene water reducer | Yellow–brown powder; water reduction, 8–14%; bleeding rate, 55%; gas content, 3.0%; 28 d shrinkage ratio, 110% |
| 5 | Sand | ISO standard sand | Grain diameter, 0.08–2 mm |
| Scheme | W/C | MWCNTs (wt%) | PP Fiber (%) |
|---|---|---|---|
| T0 | 0.43 | 0 | 0 |
| T1 | 0.43 | 0.05 | 0 |
| T2 | 0.43 | 0.1 | 0 |
| T3 | 0.43 | 0.15 | 0 |
| T4 | 0.43 | 0.2 | 0 |
| T5 | 0.43 | 0 | 0.1 |
| T6 | 0.43 | 0 | 0.2 |
| T7 | 0.43 | 0 | 0.3 |
| T8 | 0.43 | 0 | 0.4 |
| T9 | 0.43 | 0.1 | 0.1 |
| T10 | 0.43 | 0.1 | 0.2 |
| T11 | 0.43 | 0.1 | 0.3 |
| T12 | 0.43 | 0.1 | 0.4 |
| Scheme | T0 | T1 | T2 | T3 | T4 | T5 | T6 | T7 | T8 | T9 | T10 | T11 | T12 |
|---|---|---|---|---|---|---|---|---|---|---|---|---|---|
| Fluidity (mm) | 225 | 210 | 195 | 183 | 180 | 207 | 193 | 181 | 170 | 204 | 184 | 174 | 165 |
| Scheme | Freeze–Thaw Cycle (Cycles) | |||
|---|---|---|---|---|
| 25 | 50 | 75 | 100 | |
| T0 | 0.11 | 0.85 | 2.45 | 4.41 |
| T1 | −0.08 | 0.30 | 2.10 | 3.65 |
| T2 | −0.23 | 0.19 | 1.90 | 3.18 |
| T3 | −0.18 | 0.26 | 2.01 | 3.39 |
| T4 | −0.14 | 0.46 | 2.20 | 3.74 |
| T5 | −0.02 | 0.37 | 2.11 | 3.78 |
| T6 | −0.05 | 0.21 | 1.95 | 3.30 |
| T7 | −0.03 | 0.30 | 2.02 | 3.65 |
| T8 | −0.01 | 0.55 | 2.23 | 3.95 |
| T9 | −0.10 | 0.41 | 2.10 | 3.42 |
| T10 | −0.25 | 0.14 | 1.78 | 2.87 |
| T11 | −0.13 | 0.36 | 2.01 | 3.25 |
| T12 | −0.05 | 0.54 | 2.28 | 3.76 |
| Scheme | Average Pore Size (nm) | Medium Pore Diameter (nm) | Median Volume (cc g−1) | Median Surface Area (m2 g−1) |
|---|---|---|---|---|
| T0 | 73.31 | 128.23 | 0.0287 | 2.253 |
| T2 | 59.95 | 91.33 | 0.0175 | 1.452 |
| T6 | 87.94 | 135.21 | 0.0301 | 2.295 |
| T10 | 69.82 | 108.45 | 0.0195 | 1.784 |
| Scheme | Pore Size Distribution (%) | Most Probable Pore Size (nm) | Porosity (%) | |||
|---|---|---|---|---|---|---|
| <20 nm | 20–50 nm | 50–200 nm | >200 nm | |||
| T0 | 2.3183 | 3.0358 | 1.2712 | 2.1205 | 40.2718 | 8.7458 |
| T2 | 2.3472 | 3.0868 | 0.8142 | 1.2002 | 26.2991 | 7.4484 |
| T6 | 2.2501 | 2.8872 | 1.4742 | 2.1928 | 45.7543 | 8.8043 |
| T10 | 2.2748 | 2.9015 | 0.9177 | 1.8334 | 36.3927 | 7.9274 |
Disclaimer/Publisher’s Note: The statements, opinions and data contained in all publications are solely those of the individual author(s) and contributor(s) and not of MDPI and/or the editor(s). MDPI and/or the editor(s) disclaim responsibility for any injury to people or property resulting from any ideas, methods, instructions or products referred to in the content. |
© 2023 by the authors. Licensee MDPI, Basel, Switzerland. This article is an open access article distributed under the terms and conditions of the Creative Commons Attribution (CC BY) license (https://creativecommons.org/licenses/by/4.0/).
Share and Cite
Niu, X.; Chen, Y.; Li, Z.; Guo, T.; Ren, M.; Chen, Y. Study on the Properties of Multi-Walled Carbon Nanotubes (MWCNTs)/Polypropylene Fiber (PP Fiber) Cement-Based Materials. Polymers 2024, 16, 41. https://doi.org/10.3390/polym16010041
Niu X, Chen Y, Li Z, Guo T, Ren M, Chen Y. Study on the Properties of Multi-Walled Carbon Nanotubes (MWCNTs)/Polypropylene Fiber (PP Fiber) Cement-Based Materials. Polymers. 2024; 16(1):41. https://doi.org/10.3390/polym16010041
Chicago/Turabian StyleNiu, Xiangjie, Yuanzhao Chen, Zhenxia Li, Tengteng Guo, Meng Ren, and Yanyan Chen. 2024. "Study on the Properties of Multi-Walled Carbon Nanotubes (MWCNTs)/Polypropylene Fiber (PP Fiber) Cement-Based Materials" Polymers 16, no. 1: 41. https://doi.org/10.3390/polym16010041
APA StyleNiu, X., Chen, Y., Li, Z., Guo, T., Ren, M., & Chen, Y. (2024). Study on the Properties of Multi-Walled Carbon Nanotubes (MWCNTs)/Polypropylene Fiber (PP Fiber) Cement-Based Materials. Polymers, 16(1), 41. https://doi.org/10.3390/polym16010041

