Epoxy-Modified Bismaleimide Structural Adhesive Film Toughened Synergistically with PEK-C and Core–Shell Polymers for Bonding CFRP
Abstract
1. Introduction
2. Experiments
2.1. Materials
2.2. Preparation of BMI/DABPA Prepolymer and Epoxy-Modified BMI/DABPA Prepolymer
2.3. Preparation of Epoxy-Modified and Toughened BMI Structural Adhesive
2.4. Preparation of Adhesively Bonded Samples
2.5. Characterization
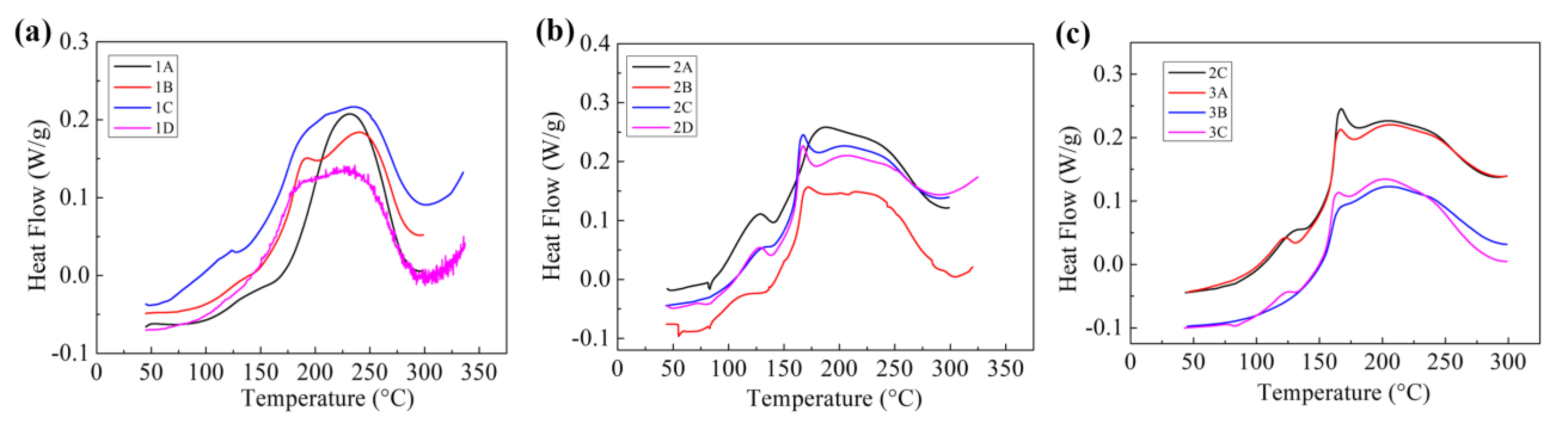
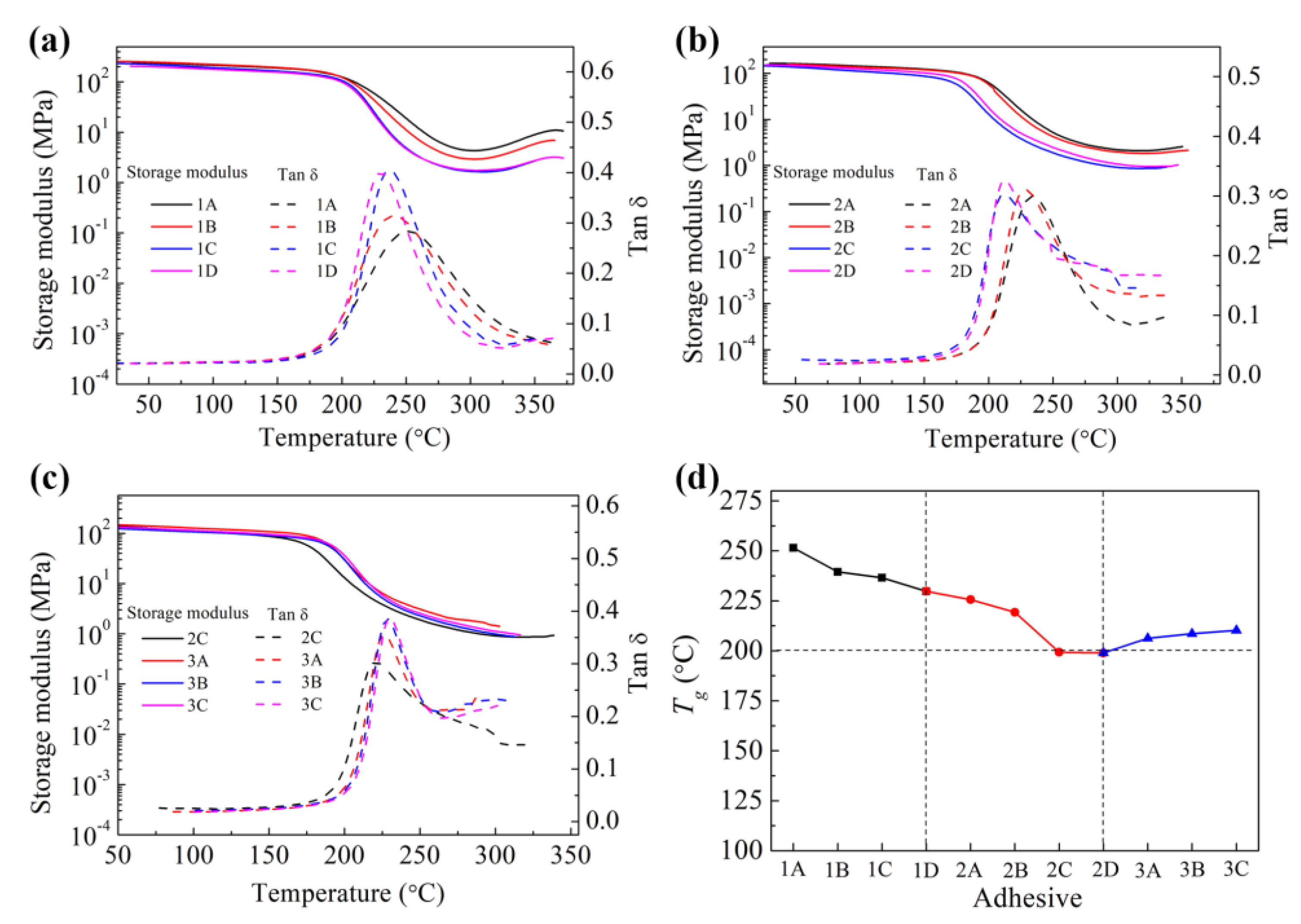
3. Results and Discussion
4. Conclusions
Author Contributions
Funding
Institutional Review Board Statement
Data Availability Statement
Conflicts of Interest
References
- Perera, U.; Arachchi, K.K.; Gamage, J. An analytical approach to predict cohesion and interfacial failures of CFRP/steel composites under prolonged exposure to aqueous solutions. Case Stud. Constr. Mater. 2022, 16, e00949. [Google Scholar] [CrossRef]
- Quan, D.; Farooq, U.; Zhao, G.; Dransfeld, C.; Alderliesten, R. Co-cured carbon fibre/epoxy composite joints by advanced thermoplastic films with excellent structural integrity and thermal resistance. Int. J. Adhes. Adhes. 2022, 118, 103247. [Google Scholar] [CrossRef]
- Wang, Z.; Xian, G. Cohesive zone model prediction of debonding failure in CFRP-to-steel bonded interface with a ductile adhesive. Compos. Sci. Technol. 2022, 230, 109315. [Google Scholar] [CrossRef]
- Caglar, H.; Idapalapati, S.; Sharma, M.; Chian, K.S. Debonding of carbon fiber veil interleaved adhesively bonded GFRP joints via Joule heating. Compos. Part B Eng. 2022, 230, 109544. [Google Scholar] [CrossRef]
- Pizzorni, M.; Lertora, E.; Parmiggiani, A. Adhesive bonding of 3D-printed short- and continuous-carbon-fiber composites: An experimental analysis of design methods to improve joint strength. Compos. Part B Eng. 2022, 230, 109539. [Google Scholar] [CrossRef]
- Qiao, Y.; Merkel, D.R.; Nickerson, E.K.; Shin, Y.; Seffens, R.J.; Ortiz, A.; Simmons, K.L. Mode I tensile fracture behavior of adhesively-bonded metal–metal, metal–CFRP, and CFRP–CFRP bi-material combinations analyzed by size effect method. Compos. Part A Appl. Sci. Manuf. 2022, 160, 107025. [Google Scholar] [CrossRef]
- Zuo, P.; Vassilopoulos, A.P. Review of fatigue of bulk structural adhesives and thick adhesive joints. Int. Mater. Rev. 2020, 66, 313–338. [Google Scholar] [CrossRef]
- Zhao, L.; Li, H.; Qiao, Y.; Bai, X.; Wang, D.; Qu, C.; Xiao, W.; Liu, Y.; Zhang, J. Accelerated-curing epoxy structural film adhesive for bonding lightweight honeycomb sandwich structures. J. Appl. Polym. Sci. 2023, 140, e53458. [Google Scholar] [CrossRef]
- Kundu, J.; Mandal, S.; Saha, P. A comparative study on the adhesive bonding strength of unidirectional, 4-Harness Satin weaved and plain weaved carbon fibre reinforced polymer after KrF excimer laser pre-treatment. Appl. Surf. Sci. 2022, 592, 153184. [Google Scholar] [CrossRef]
- Palmieri, F.L.; Hudson, T.B.; Smith, A.J.; Cano, R.J.; Kang, J.H.; Lin, Y.; Abbott, L.J.; Clifford, B.; Barnett, I.J.; Connell, J.W. Latent cure epoxy resins for reliable joints in secondary-bonded composite structures. Compos. Part B Eng. 2022, 231, 109603. [Google Scholar] [CrossRef]
- Ke, L.; Li, C.; Luo, N.; He, J.; Jiao, Y.; Liu, Y. Enhanced comprehensive performance of bonding interface between CFRP and steel by a novel film adhesive. Compos. Struct. 2019, 229, 111393. [Google Scholar] [CrossRef]
- Wang, S.-N.; Li, Y.; Guo, Y.-M.; Cai, B.; Zhang, G.-P.; Liu, Z.-X.; Wang, P.-C. Development of a two-component structural adhesive for bonding of metals and polymeric composites. Int. J. Adhes. Adhes. 2019, 90, 38–46. [Google Scholar] [CrossRef]
- Olajide, S.O.; Arhatari, B.D. Recent progress on damage mechanisms in polymeric adhesively bonded high-performance composite joints under fatigue. Int. J. Fatigue 2017, 95, 45–63. [Google Scholar] [CrossRef]
- Bello, I.; Alowayed, Y.; Albinmousa, J.; Lubineau, G.; Merah, N. Fatigue crack growth in laser-treated adhesively bonded composite joints: An experimental examination. Int. J. Adhes. Adhes. 2021, 105, 102784. [Google Scholar] [CrossRef]
- Mu, W.; Xu, Q.; Na, J.; Fan, Y.; Sun, Y.; Liu, Y. Investigating the failure behavior of hygrothermally aged adhesively bonded CFRP-aluminum alloy joints using modified Arcan fixture. Thin-Walled Struct. 2023, 182, 110303. [Google Scholar] [CrossRef]
- Cândido, G.M.; de Cássia Mendonça Sales, R.; Arbelo, M.A.; Donadon, M.V. Failure analysis in secondary bonded T-stiffened composite panels subject to cyclic and quasi-static compression loading. Int. J. Adhes. Adhes. 2022, 118, 103199. [Google Scholar] [CrossRef]
- Liu, Y.; Zhang, X.; Lemanski, S.; Nezhad, H.Y.; Ayre, D. Experimental and numerical study of process-induced defects and their effect on fatigue debonding in composite joints. Int. J. Fatigue 2019, 125, 47–57. [Google Scholar] [CrossRef]
- Geng, P.; Ma, N.; Ma, H.; Ma, Y.; Murakami, K.; Liu, H.; Aoki, Y.; Fujii, H. Flat friction spot joining of aluminum alloy to carbon fiber reinforced polymer sheets: Experiment and simulation. J. Mater. Sci. Technol. 2022, 107, 266–289. [Google Scholar] [CrossRef]
- Ma, X.; Bian, K.; Liu, H.; Wang, Y.; Xiong, K. Numerical and experimental investigation of the interface properties and failure strength of CFRP T-Stiffeners subjected to pull-off load. Mater. Des. 2020, 185, 108231. [Google Scholar] [CrossRef]
- Zhang, T.; Meng, J.; Pan, Q.; Sun, B. The influence of adhesive porosity on composite joints. Compos. Commun. 2019, 15, 87–91. [Google Scholar] [CrossRef]
- Wang, Z.; Li, C.; Sui, L.; Xian, G. Effects of adhesive property and thickness on the bond performance between carbon fiber reinforced polymer laminate and steel. Thin-Walled Struct. 2021, 158, 107176. [Google Scholar] [CrossRef]
- Zhang, H.; Song, Z.; Zhang, L.; Liu, Z.; Zhu, P. Effects of hygrothermal ageing and temperature on the mechanical behavior of aluminum-CFRP hybrid (riveted/bonded) joints. Int. J. Adhes. Adhes. 2023, 121, 103299. [Google Scholar] [CrossRef]
- Budhe, S.; Rodríguez-Bellido, A.; Renart, J.; Mayugo, J.A.; Costa, J. Influence of pre-bond moisture in the adherents on the fracture toughness of bonded joints for composite repairs. Int. J. Adhes. Adhes. 2014, 49, 80–89. [Google Scholar] [CrossRef]
- Behera, R.K.; Parida, S.K.; Das, R.R. Effect of using fibre reinforced epoxy adhesive on the strength of the adhesively bonded Single Lap Joints. Compos. Part B Eng. 2023, 248, 110358. [Google Scholar] [CrossRef]
- Luo, H.; Luo, R.-Y.; Wang, L.-Y.; Huang, P. Graphene modified high-temperature resistant adhesive for bonding carbon/carbon composites: Microstructure characterization and properties study. Int. J. Adhes. Adhes. 2021, 107, 102855. [Google Scholar] [CrossRef]
- Peiris, A.; Harik, I. FRP-steel bond study of IM and UHM CFRP strips. Constr. Build. Mater. 2018, 185, 628–637. [Google Scholar] [CrossRef]
- Li, H.; Zhao, L.; Qiao, Y.; Bai, X.; Wang, D.; Qu, C.; Liu, C.; Wang, Y. Surface Treatment of Composites with Bismaleimide Resin-Based Wet Peel Ply for Enhanced Adhesive Bonding Performance. Polymers 2021, 13, 3488. [Google Scholar] [CrossRef] [PubMed]
- Quan, D.; Wang, G.; Zhao, G.; Alderliesten, R. On the fracture behaviour of aerospace-grade Polyether-ether-ketone composite-to-aluminium adhesive joints. Compos. Commun. 2022, 30, 101098. [Google Scholar] [CrossRef]
- Wang, F.; Bu, H.; Ma, W.; Zhang, P.; Zhan, X. Influence of the different surface treatments on fracture property of CFRP adhesive joint. J. Adhes. Sci. Technol. 2022, 1–15. [Google Scholar] [CrossRef]
- Bora, M.Ö.; Akman, E.; Çoban, O.; Genc Oztoprak, B.; Demir, A. The Effect of CO2 Laser-Induced Microhole Formations on Adhesive Bonding Strength of CFRP/CFRP Joints. Polym. Compos. 2018, 40, 2891–2900. [Google Scholar] [CrossRef]
- Wang, D.; Zhao, L.; Yang, H.; Yue Ce Li, H.; Xiao, W.; Liu, C.; Qu, C. High temperature and toughened bismaleimide structural film adhesive for high performance CFRP bonding over 300 °C. Polym. Degrad. Stab. 2022, 204, 110125. [Google Scholar] [CrossRef]
- Sun, Y.; Zhang, Y.; Li, G.; Zuo, X.; Yang, X. Enhanced thermo-oxidative aging properties of CFRP composites by construction of heat resistance interface and interphase through waterborne polyamic acid sizing. Polym. Degrad. Stab. 2022, 206, 110171. [Google Scholar] [CrossRef]
- Wang, Y.; Li, J.; Zhou, X.; Wang, T.; Zhao, Q.; Zhang, H.; Wang, Y.; Hou, X. Chemical degradation of carbon fiber reinforced bismaleimide resin composites to recover carbon fiber and nitrogen doped carbon materials. Compos. Sci. Technol. 2020, 199, 108342. [Google Scholar] [CrossRef]
- Zhang, Z.; Li, X.; Bao, Y.; Wei, W.; Li, X.; Liu, X. Bismaleimide resins modified by an allyl ether of bio-based resveratrol with excellent halogen-free and phosphorus-free intrinsic flame retardancy and ultrahigh glass transition temperature. Polym. Degrad. Stab. 2021, 193, 109717. [Google Scholar] [CrossRef]
- Wang, Y.; Yuan, L.; Liang, G.; Gu, A. Achieving ultrahigh glass transition temperature, halogen-free and phosphorus-free intrinsic flame retardancy for bismaleimide resin through building network with diallyloxydiphenyldisulfide. Polymer 2020, 203, 122769. [Google Scholar] [CrossRef]
- Zhou, X.; Qiu, S.; He, L.; Wang, X.; Zhu, Y.; Chu, F.; Wang, B.; Song, L.; Hu, Y. Synthesis of star-shaped allyl phosphazene small molecules for enhancing fire safety and toughness of high performance BMI resin. Chem. Eng. J. 2021, 425, 130655. [Google Scholar] [CrossRef]
- Zhou, X.; Chu, F.; Xu, Z.; Qiu, S.; Hu, Y. Preparation of BMI monomers containing phosphate and phosphonate structure to enhance the flame retardant and toughness of BMI. J Colloid Interface Sci. 2022, 625, 903–914. [Google Scholar] [CrossRef]
- Zhou, X.; Qiu, S.; Liu, J.; Zhou, M.; Cai, W.; Wang, J.; Chu, F.; Xing, W.; Song, L.; Hu, Y. Construction of porous g-C3N4@PPZ tubes for high performance BMI resin with enhanced fire safety and toughness. Chem. Eng. J. 2020, 401, 126094. [Google Scholar] [CrossRef]










| Adhesive | BMI/DABPA (phr) | DGEBA/DDS (phr) | PEK-C (phr) | Core–Shell Polymer (phr) |
|---|---|---|---|---|
| 1A | 100 | 0 | 0 | 0 |
| 1B | 100 | 26 | 0 | 0 |
| 1C | 100 | 52 | 0 | 0 |
| 1D | 100 | 78 | 0 | 0 |
| 2A | 100 | 78 | 10 | 0 |
| 2B | 100 | 78 | 20 | 0 |
| 2C | 100 | 78 | 40 | 0 |
| 2D | 100 | 78 | 60 | 0 |
| 3A | 100 | 78 | 40 | 5 |
| 3B | 100 | 78 | 40 | 10 |
| 3C | 100 | 78 | 40 | 15 |
| Adhesive | Tg (°C) | Td5% (N2, °C) | Tdmax (N2, °C) | Maximum Degradation Rate (N2, %/°C) |
|---|---|---|---|---|
| 1A | 251.5 | 444.7 | 479.5 | 0.80 |
| 1B | 239.5 | 435.3 | 467.7 | 0.95 |
| 1C | 236.6 | 432.4 | 461.3 | 1.15 |
| 1D | 229.8 | 424.9 | 456.2 | 1.18 |
| 2A | 225.6 | 424.3 | 451.9 | 1.02 |
| 2B | 219.3 | 423.7 | 452.6 | 1.01 |
| 2C | 199.3 | 418.4 | 452.5 | 0.92 |
| 2D | 198.9 | 422.8 | 453.5 | 0.82 |
| 3A | 206.2 | 424.4 | 455.8 | 0.88 |
| 3B | 208.6 | 425.4 | 456.8 | 0.92 |
| 3C | 210.2 | 421.1 | 452.6 | 1.01 |
Disclaimer/Publisher’s Note: The statements, opinions and data contained in all publications are solely those of the individual author(s) and contributor(s) and not of MDPI and/or the editor(s). MDPI and/or the editor(s) disclaim responsibility for any injury to people or property resulting from any ideas, methods, instructions or products referred to in the content. |
© 2023 by the authors. Licensee MDPI, Basel, Switzerland. This article is an open access article distributed under the terms and conditions of the Creative Commons Attribution (CC BY) license (https://creativecommons.org/licenses/by/4.0/).
Share and Cite
Zhao, L.; Xu, X.; Xiao, W.; Li, H.; Feng, H.; Liu, C.; Qiao, Y.; Bai, X.; Wang, D.; Qu, C. Epoxy-Modified Bismaleimide Structural Adhesive Film Toughened Synergistically with PEK-C and Core–Shell Polymers for Bonding CFRP. Polymers 2023, 15, 1436. https://doi.org/10.3390/polym15061436
Zhao L, Xu X, Xiao W, Li H, Feng H, Liu C, Qiao Y, Bai X, Wang D, Qu C. Epoxy-Modified Bismaleimide Structural Adhesive Film Toughened Synergistically with PEK-C and Core–Shell Polymers for Bonding CFRP. Polymers. 2023; 15(6):1436. https://doi.org/10.3390/polym15061436
Chicago/Turabian StyleZhao, Liwei, Xin Xu, Wanbao Xiao, Hongfeng Li, Hao Feng, Changwei Liu, Yingjie Qiao, Xuefeng Bai, Dezhi Wang, and Chunyan Qu. 2023. "Epoxy-Modified Bismaleimide Structural Adhesive Film Toughened Synergistically with PEK-C and Core–Shell Polymers for Bonding CFRP" Polymers 15, no. 6: 1436. https://doi.org/10.3390/polym15061436
APA StyleZhao, L., Xu, X., Xiao, W., Li, H., Feng, H., Liu, C., Qiao, Y., Bai, X., Wang, D., & Qu, C. (2023). Epoxy-Modified Bismaleimide Structural Adhesive Film Toughened Synergistically with PEK-C and Core–Shell Polymers for Bonding CFRP. Polymers, 15(6), 1436. https://doi.org/10.3390/polym15061436

