Drying Process of Waterborne Paint Film on Bamboo Laminated Lumber for Furniture
Abstract
1. Introduction
2. Materials and Methods
2.1. Materials
2.2. Major Equipment
2.3. Preparation of Paint Films
2.4. Testing and Characterisation
3. Results and Discussion
3.1. Effect of the Drying Process on the Drying Rate of Paint Films
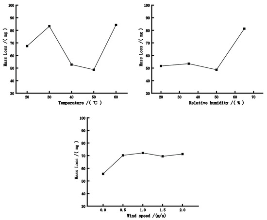
3.1.1. Effect of Drying Temperature on the Drying Rate of Paint Films
3.1.2. Effect of Relative Humidity on the Drying Rate of Paint Films
3.1.3. Effect of Wind Speed on the Drying Rate of Paint Films
3.2. Effect of the Drying Process on the Performance of Paint Films
3.2.1. Hardness and Adhesion of Paint Films
3.2.2. Wear Resistance of the Paint Film
3.3. Optimisation of the Drying Process Parameters and the Establishment of Drying Curve Using the Response Surface Method
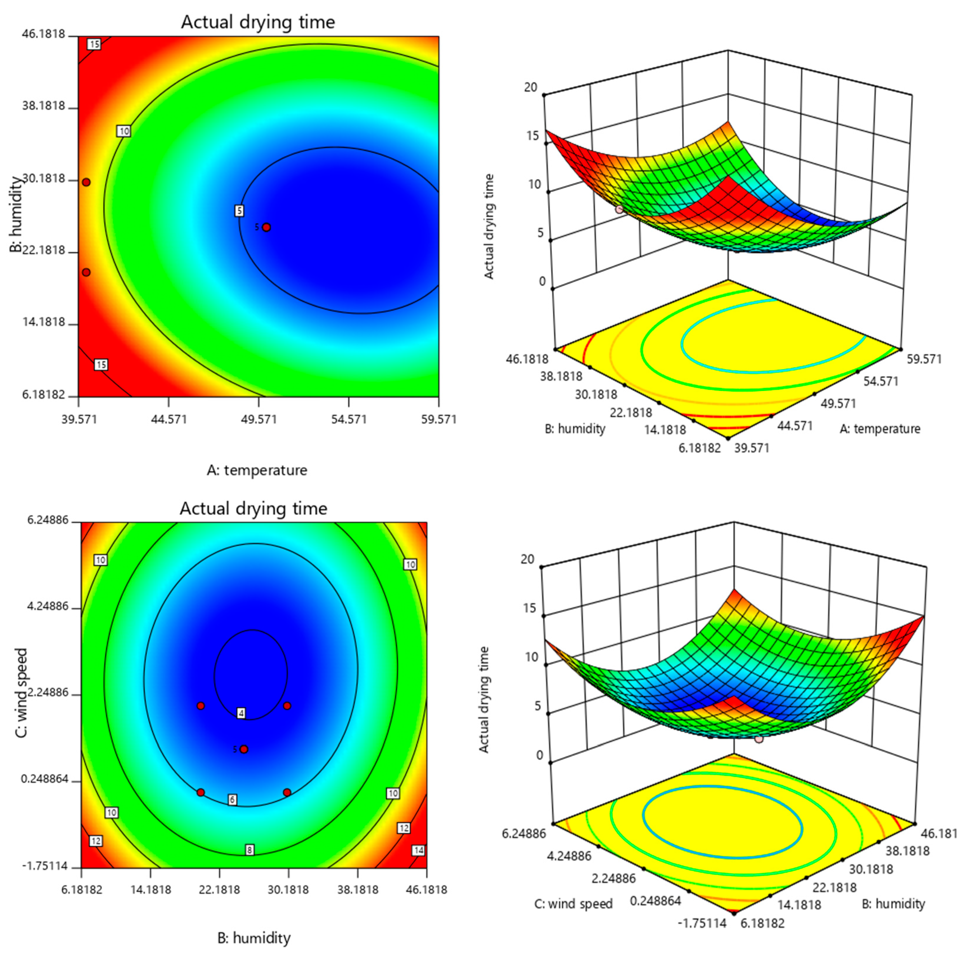
3.3.1. Optimisation of the Drying Process Parameters
3.3.2. Establishment of the Drying Rate Curve
4. Conclusions
- (1)
- Temperature, humidity and wind speed influence the drying time and performance of WBP films. The effect of temperature on the surface/solid drying time is more obvious. The adhesion and hardness of WBP films are uninfluenced by environmental conditions, but the wear resistance is affected by environmental conditions.
- (2)
- A response surface optimisation analysis was performed using Design-Expert 11.0 with respect to solid drying time and wear resistance, and the optimal drying condition for the solid drying time is a temperature of 55 °C, humidity of 25% and wind speed of 1 m/s, which yields a solid drying time of 4.1 min. The optimal condition for wear resistance is 47 °C temperature, 38% humidity and 1-m/s wind speed, which yields a 48.34-g/m2 mass loss of paint film.
- (3)
- The drying rate curves of the primer and topcoat coatings are established. The two curves are similar; they both first increased, reached their maximum at 2 min and then decreased, finally tending to 0 m/s. The drying rate of the primer was faster than that of the topcoat, and the maximum value was greater than that of the topcoat.
Author Contributions
Funding
Institutional Review Board Statement
Data Availability Statement
Acknowledgments
Conflicts of Interest
References
- Zhang, J.; Zeng, G.P.; Hu, Z.Y.; Liu, S.B. Research Progress on Application Technology of Waterborne Acrylic Resin and Coating. Jiangxi Sci. 2018, 36, 551–557. [Google Scholar]
- Lin, X.Y.; Zhang, Q.H.; Huang, Q.F.; Zhang, W.; Wei, R.J.; Weng, Y.; Hung, Y.H.; Fei, B.H. Research Progress in Waterborne Coating of Bamboo. J. Bamboo Res. 2021, 40, 6–10. [Google Scholar]
- Si, Z.K.; Zhang, M.; Su, X.; Yan, L.W.; Cao, L.F.; Wang, W.; Liu, Y.G. Research Status and Development Trend of Environmental Friendly Waterborne Coatings. Coat. Prot. 2021, 42, 24–29, 46. [Google Scholar]
- Xu, H.P.; Yang, D.Y.; Guo, Q.; Wang, Y.Y.; Wu, W.L.; Qiu, F.X. Waterborne Polyurethane-Acrylate Containing Different Polyether Polyols: Preparation and Properties. Polym. Plast. Technol. Eng. 2012, 51, 50–57. [Google Scholar] [CrossRef]
- Dong, R.; Liu, L.L. Preparation and properties of acrylic resin coating modified by functional graphene oxide. Appl. Surf. Sci. 2016, 368, 378–387. [Google Scholar] [CrossRef]
- Wang, H.R.; Wang, X.; Zhao, X.Y. Modifications and applications of water borne acrylic resins. Appl. Chem. Ind. 2018, 47, 365–368, 374. [Google Scholar]
- Wang, S.C.; Li, W.P.; Han, D.X.; Liu, H.C.; Zhu, L.Q. Preparation and application of a waterborne acrylic copolymer-siloxne composite: Improvement on the corrosion resistance of zinc-coated NdFeB magnets. RSC Adv. 2015, 5, 81759–81767. [Google Scholar] [CrossRef]
- Zhou, H.; Wang, H.; Zhu, X.B.; Zhang, Y.; Qian, Y.L.; Zhang, P.Y.; Cai, Y. Synthesis and characterization of acrylate/waterborne polyurethane three layers shell-core hybrid latexes. Chem. Res. 2016, 27, 369–373. [Google Scholar]
- Yi, Y.F. Synthesis, Characterization and Properties of Waterborne Polyurethane Acrylic. Master’s Thesis, Taiyuan University of Technology, Taiyuan, China, 2017. [Google Scholar]
- Qiu, F.; Xu, H.; Wang, Y.; Xu, J.; Yang, D. Preparation, characterization and properties of UV-curable waterborne polyurethane acrylate/SiO2 coating. J. Coat. Technol. Res. 2012, 9, 503–514. [Google Scholar] [CrossRef]
- Zhang, F.; Yang, W.; Pang, A.; Wu, Z.; Qi, H.; Yao, J.; Fan, Z.; Shao, J. Annealing effects on the optical and structural properties of Al2O3/SiO2 films as UV antireflection coatings on 4H-SiC substrates. Appl. Surf. Sci. 2008, 254, 6410–6415. [Google Scholar] [CrossRef]
- Samyn, P.; Stanssens, D.; Paredes, A.; Becker, G. Performance of organic nanoparticle coatings for hydrophobization of hardwood surfaces. J. Coat. Technol. Res. 2014, 11, 461–471. [Google Scholar] [CrossRef]
- Li, S.C.; Wang, L.W.; Wang, J.Y. Study on Properties of Modified Nano-ZnO/WPU Hybrid Material. Adv. Mater. Res. 2012, 510, 742–746. [Google Scholar] [CrossRef]
- Chen, X.L. Study on the Painting Process of the Water-Based Coating for the Wood Furniture; Nanjing Forestry University: Nanjing, China, 2007. [Google Scholar]
- Xi, X. Discussion on the Drying Rate and Related Factors of Water-borne Woodenware Coatings. China Coat. 2011, 26, 58–62. [Google Scholar]
- Bulcke, J.V.D.; Acker, J.V.; Stevens, M. Experimental and theoretical behavior of exterior wood coatings subjected to artificial weathering. J. Coat. Technol. Res. 2008, 5, 221–231. [Google Scholar] [CrossRef]
- Zhang, X.F.; Sun, L.P.; Xu, M.; Chen, F.; Lu, F. Effect of Drying Temperature on Free Energy on the Lumber Surface and Bonding Strength. J. Northeast. For. Univ. 2014, 123–125. [Google Scholar]
- Brun, A.; Brunel, L.; Snabre, P. Adaptive speckle imaging interferometry (ASII): New technology for advanced drying analysis of coatings. Surf. Coat. Int. Part B Coat. Trans. 2006, 89, 251–254. [Google Scholar] [CrossRef]
- Lu, Z.G.; Jia, W.D.; Wang, M. Sealed State and Moisture Volatilization of Water-based Sealers for Wood Furniture Tested in Five Environmental conditions. J. Zhejiang A F Univ. 2012, 29, 691–695. [Google Scholar]
- Xie, W.H.; Du, H.T.; Ji, K. Effects of Nano Materials on Surface Tension of Waterborne Camouflage Coatings. Paint Coat. Ind. 2011, 41, 37–41. [Google Scholar]
- Wu, Y.; Sun, Y.; Yang, F.; Zhang, H.; Wang, Y. The Implication of Benzene–Ethanol Extractive on Mechanical Properties of Waterborne Coating and Wood Cell Wall by Nanoindentation. Coatings 2019, 9, 449. [Google Scholar] [CrossRef]
- Wu, Y.; Zhang, H.; Yang, L.; Wang, S.; Meng, Y. Understanding the effect of extractives on the mechanical properties of the waterborne coating on wood surface by nanoindentation 3D mapping. J. Mater. Sci. 2021, 56, 1401–1412. [Google Scholar] [CrossRef]
- Yang, F.; Wu, Y.; Zhang, S.; Zhang, H.; Zhao, S.; Zhang, J.; Fei, B. Mechanical and Thermal Properties of Waterborne Polyurethane Coating Modified through One-Step Cellulose Nanocrystals/Graphene Materials Sols Method. Coatings 2019, 10, 40. [Google Scholar] [CrossRef]
- Toonder, J.D.; Malzbender, J.; De With, G.; Balkenende, R. Fracture Toughness and Adhesion Energy of Sol-gel Coatings on Glass. J. Mater. Res. 2002, 17, 224–233. [Google Scholar] [CrossRef]
- Li, W.; Wang, Z.J.; Wang, W.F. Effect of Finishing and Drying Process on Adhesion of Waterborne Polyurethane Film on Wooden Furniture. China For. Prod. Ind. 2019, 56, 62–64. [Google Scholar]
- Deng, L.; Zhang, X.; Wu, Q.; Wang, D.; Wang, Y. Study on Response Surface Optimization of Hot-pressing of Multi-layer Plywood via Soy-based Adhesive. IOP Conf. Ser. Earth Environ. Sci. 2021, 804, 042048. [Google Scholar] [CrossRef]
- Yusuf, M.; Farooqi, A.S.; Alam, M.A.; Keong, L.K.; Hellgardt, K.; Abdullah, B. Response surface optimization of syngas production from greenhouse gases via DRM over high performance Ni–W catalyst. Int. J. Hydrogen Energy 2022, 47, 31058–31071. [Google Scholar] [CrossRef]










| Paints | pH Value | Viscosity/(mPa·s) | Solid Content/% | Particle Size/nm |
|---|---|---|---|---|
| Primer (D) | 7 | 15.7 | 34 | 221.8 |
| Topcoat (M) | 7 | 30.8 | 38 | 925.2 |
| Paints | Temperature/°C | Relative Humidity/% | wind Speed/m/s |
|---|---|---|---|
| Primer (D) | 20, 30, 40, 50, 60 | 20, 35, 50, 65 | 0, 0.5, 1, 1.5, 2 |
| Topcoat (M) | 20, 30, 40, 50 | 20, 35, 50, 65 | 0, 0.5, 1, 1.5, 2 |
| Temperature/°C | Relative Humidity/% | Wind Speed/m/s | Adhesion | Hardness |
|---|---|---|---|---|
| 20 | 50 | 0 | 0 | B |
| 30 | 50 | 0 | 0 | B |
| 40 | 50 | 0 | 0 | B |
| 50 | 50 | 0 | 0 | B |
| 60 | 50 | 0 | 0 | B |
| 50 | 20 | 0 | 0 | B |
| 50 | 35 | 0 | 0 | B |
| 50 | 65 | 0 | 0 | B |
| 50 | 50 | 0.5 | 0 | B |
| 50 | 50 | 1 | 0 | B |
| 50 | 50 | 1.5 | 0 | B |
| 50 | 50 | 2 | 0 | B |
| Samples | Temperature /°C | Relative Humidity /% | Wind Speed /m/s | Solid Drying Time /min |
|---|---|---|---|---|
| 1 | 50 | 25 | 1 | 4.4 |
| 2 | 40 | 30 | 1 | 11 |
| 3 | 50 | 25 | 1 | 4.5 |
| 4 | 60 | 20 | 1 | 5 |
| 5 | 60 | 25 | 0 | 5.7 |
| 6 | 50 | 25 | 1 | 4.6 |
| 7 | 50 | 30 | 0 | 5.8 |
| 8 | 40 | 25 | 2 | 10 |
| 9 | 50 | 20 | 0 | 5.8 |
| 10 | 50 | 25 | 1 | 4.4 |
| 11 | 40 | 20 | 1 | 11.8 |
| 12 | 40 | 25 | 0 | 12.5 |
| 13 | 50 | 20 | 2 | 4.4 |
| 14 | 60 | 25 | 2 | 4.4 |
| 15 | 50 | 30 | 2 | 4.3 |
| 16 | 60 | 30 | 1 | 5.3 |
| 17 | 50 | 25 | 1 | 4.4 |
| Samples | Temperature /°C | Relative Humidity /% | Wind Speed /m/s | Wear Resistance/(g/m²) |
|---|---|---|---|---|
| 1 | 50 | 50 | 0 | 62.46 |
| 2 | 50 | 20 | 2 | 82.72 |
| 3 | 60 | 50 | 1 | 96.98 |
| 4 | 50 | 35 | 1 | 48.83 |
| 5 | 50 | 35 | 1 | 49.23 |
| 6 | 40 | 35 | 2 | 58.76 |
| 7 | 40 | 50 | 1 | 56.12 |
| 8 | 40 | 35 | 0 | 57.75 |
| 9 | 60 | 20 | 1 | 96.71 |
| 10 | 50 | 35 | 1 | 49.43 |
| 11 | 50 | 35 | 1 | 49.76 |
| 12 | 50 | 35 | 1 | 47.23 |
| 13 | 50 | 20 | 0 | 72.43 |
| 14 | 60 | 35 | 2 | 94.23 |
| 15 | 40 | 20 | 1 | 72.69 |
| 16 | 50 | 50 | 2 | 65.21 |
| 17 | 60 | 35 | 0 | 85.32 |
| Source | Sum of Squares | df | Mean Square | F-Value | p-Value |
|---|---|---|---|---|---|
| Model | 135.96 | 9 | 135.96 | 684.45 | <0.0001 |
| A | 77.50 | 1 | 77.50 | 3511.38 | <0.0001 |
| B | 0.0450 | 1 | 0.0450 | 2.04 | 0.1964 |
| C | 5.61 | 1 | 5.61 | 254.23 | <0.0001 |
| AB | 0.3025 | 1 | 0.3025 | 13.71 | 0.0076 |
| AC | 0.3600 | 1 | 0.3600 | 16.31 | 0.0049 |
| BC | 0.0025 | 1 | 0.0025 | 0.1133 | 0.7463 |
| A2 | 49.97 | 1 | 49.97 | 2264.04 | <0.0001 |
| B2 | 0.5764 | 1 | 0.5764 | 26.12 | 0.0014 |
| C2 | 0.2527 | 1 | 0.2527 | 11.45 | 0.0117 |
| Std. Dev. | 0.1486 | R2 | 0.9989 |
|---|---|---|---|
| Mean | 6.37 | Adjusted R2 | 0.9974 |
| C.V.% | 2.33 | Predicted R2 | 0.9852 |
| Adeq Precision | 72.5138 |
| Source | Sum of Squares | df | Mean Square | F-Value | p-Value |
|---|---|---|---|---|---|
| Model | 5081.95 | 9 | 564.66 | 186.56 | <0.0001 |
| A | 2045.44 | 1 | 2045.44 | 675.79 | <0.0001 |
| B | 239.5900 | 1 | 239.5900 | 79.16 | <0.0001 |
| C | 65.9 | 1 | 65.9 | 21.77 | 0.0023 |
| AB | 70.9 | 1 | 70.9 | 23.42 | 0.0019 |
| AC | 15.6000 | 1 | 15.6000 | 5.15 | 0.0574 |
| BC | 14.21 | 1 | 14.21 | 4.70 | 0.0669 |
| A2 | 1292.35 | 1 | 1292.35 | 426.98 | <0.0001 |
| B2 | 850.15 | 1 | 850.15 | 280.88 | <0.0001 |
| C2 | 243.17 | 1 | 243.17 | 80.34 | <0.0001 |
| Std.Dev. | 1.74 | R2 | 0.9958 |
|---|---|---|---|
| Mean | 67.40 | Adjusted R2 | 0.9905 |
| C.V.% | 2.58 | Predicted R2 | 0.9447 |
| Adeq Precision | 36.7087 |
Disclaimer/Publisher’s Note: The statements, opinions and data contained in all publications are solely those of the individual author(s) and contributor(s) and not of MDPI and/or the editor(s). MDPI and/or the editor(s) disclaim responsibility for any injury to people or property resulting from any ideas, methods, instructions or products referred to in the content. |
© 2023 by the authors. Licensee MDPI, Basel, Switzerland. This article is an open access article distributed under the terms and conditions of the Creative Commons Attribution (CC BY) license (https://creativecommons.org/licenses/by/4.0/).
Share and Cite
Chen, J.; Zhao, Y.; Yuan, S.; Zhang, J.; Li, Q.; Wang, H. Drying Process of Waterborne Paint Film on Bamboo Laminated Lumber for Furniture. Polymers 2023, 15, 1288. https://doi.org/10.3390/polym15051288
Chen J, Zhao Y, Yuan S, Zhang J, Li Q, Wang H. Drying Process of Waterborne Paint Film on Bamboo Laminated Lumber for Furniture. Polymers. 2023; 15(5):1288. https://doi.org/10.3390/polym15051288
Chicago/Turabian StyleChen, Jie, Ying Zhao, Shaofei Yuan, Jian Zhang, Qin Li, and Hongyan Wang. 2023. "Drying Process of Waterborne Paint Film on Bamboo Laminated Lumber for Furniture" Polymers 15, no. 5: 1288. https://doi.org/10.3390/polym15051288
APA StyleChen, J., Zhao, Y., Yuan, S., Zhang, J., Li, Q., & Wang, H. (2023). Drying Process of Waterborne Paint Film on Bamboo Laminated Lumber for Furniture. Polymers, 15(5), 1288. https://doi.org/10.3390/polym15051288
