Use of a Longer Aglycon Moiety Bearing Sialyl α(2→3) Lactoside on the Glycopolymer for Lectin Evaluation
Abstract
1. Introduction
2. Materials and Methods
2.1. Materials
2.2. Synthesis
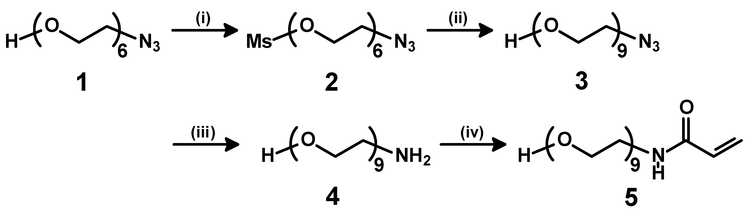
2.2.1. 17-Azido-3,6,9,12,15-pentaoxaheptadecyl methanesulfonate (2)
2.2.2. 26-Azido-3,6,9,12,15,18,21,24-octaoxahexacosan-1-ol (3)
2.2.3. 26-Amino-3,6,9,12,15,18,21,24-octaoxahexacosan-1-ol (4)
2.2.4. N-(26-Hydroxy-3,6,9,12,15,18,21,24-octaoxahexacosyl)acrylamide (5)
2.2.5. 28-Oxo-3,6,9,12,15,18,21,24-octaoxa-27-azatriacont-29-en-1-yl [Methyl(5-acetamido-4,7,8,9-tetra-O-acetyl-3,5-dideoxy--glycero-α--galacto-2-nonulopyranosyl)onate]-(2→3)-O-(2,4,6-tri-O-acetyl-β--galactopyranosyl)-(1→4)-2,3,6-tri-O-acetyl-β--glucopyranoside (7)
2.2.6. 28-Oxo-3,6,9,12,15,18,21,24-octaoxa-27-azatriacont-29-en-1-yl (5-Acetamido-3,5-dideoxy--glycero-α--galacto-2-nonulopyranosyl)-(2→3)-O-(β--galactopyranosyl)-(1→4)-β--glucopyranoside (9)
2.2.7. Radical Polymerization
3. Results and Discussion
3.1. Monomer Synthesis
3.1.1. Synthesis of PEG9 Linker
3.1.2. Synthesis of SLac-PEG9 Monomer
3.1.3. Polymerization of SLac-PEG9 Monomer
3.1.4. Biological Response to WGA Determined by a Fluorometric Assay
4. Conclusions
Supplementary Materials
Author Contributions
Funding
Institutional Review Board Statement
Data Availability Statement
Acknowledgments
Conflicts of Interest
References
- Hakomori, S.-I. Traveling for the glycosphingolipid path. Glycoconj. J. 2000, 17, 627–647. [Google Scholar] [CrossRef] [PubMed]
- Kronis, K.A.; Carver, J.P. Specificity of isolectins of wheat germ agglutinin for sialyloligosaccharides: A 360-MHz proton nuclear magnetic-resonance binding study. Biochemistry 1982, 21, 3050–3057. [Google Scholar] [CrossRef] [PubMed]
- Lee, Y.C.; Townsend, R.R.; Hardy, M.R.; Lönngren, J.; Arnarp, J.; Haraldsson, M.; Lönn, H. Binding of synthetic oligosaccharides to the hepatic Gal/GalNAc lectin. Dependence on fine structural features. J. Biol. Chem. 1983, 258, 199–202. [Google Scholar] [CrossRef] [PubMed]
- Lee, Y.C.; Lee, R.T. Carbohydrate-Protein Interactions: Basis of Glycobiology. Accounts Chem. Res. 1995, 28, 321–327. [Google Scholar] [CrossRef]
- Mammen, M.; Choi, S.K.; Whitesides, G.M. Polyvalent interactions in biological systems: Implications for design and use of multivalent ligands and inhibitors. Angew. Chem. Int. Ed. 1998, 37, 2755–2794. [Google Scholar] [CrossRef]
- Miura, Y.; Hoshino, Y.; Seto, H. Glycopolymer Nanobiotechnology. Chem. Rev. 2016, 116, 1673–1692. [Google Scholar] [CrossRef]
- Ahmed, M.; Wattanaarsakit, P.; Narain, R. Recent advances in the preparation of glycopolymer bioconjugates. Eur. Polym. J. 2013, 49, 3010–3033. [Google Scholar] [CrossRef]
- Pieters, R.J. Maximising multivalency effects in protein–carbohydrate interactions. Org. Biomol. Chem. 2009, 7, 2013–2025. [Google Scholar] [CrossRef]
- Matsushita, T.; Tsuchibuchi, K.; Koyama, T.; Hatano, K.; Matsuoka, K. A constraint scaffold enhances affinity of a bivalent N-acetylglucosamine ligand against wheat germ agglutinin. Bioorganic Med. Chem. Lett. 2018, 28, 1704–1707. [Google Scholar] [CrossRef]
- Matsushita, T.; Toda, N.; Koyama, T.; Hatano, K.; Matsuoka, K. Dendritic maleimide-thiol adducts carrying pendant glycosides as high-affinity ligands. Bioorganic Chem. 2022, 128, 106061. [Google Scholar] [CrossRef]
- Matsuoka, K.; Nakagawa, M.; Koyama, T.; Matsushita, T.; Hatano, K. Systematic synthesis of a series of glycopolymers having N-acetyl-D-glucosamine moieties that can be used for evaluations of lectin—Carbohydrate interactions. Eur. Polym. J. 2022, 168, 111101. [Google Scholar] [CrossRef]
- Kubota, M.; Takeuchi, K.; Watanabe, S.; Ohno, S.; Matsuoka, R.; Kohda, D.; Nakakita, S.-I.; Hiramatsu, H.; Suzuki, Y.; Nakayama, T.; et al. Trisaccharide containing α2,3-linked sialic acid is a receptor for mumps virus. Proc. Natl. Acad. Sci. USA 2016, 113, 11579–11584. [Google Scholar] [CrossRef] [PubMed]
- Matsuoka, K.; Kaneshima, T.; Adachi, R.; Sasaki, J.; Hashiguchi, T.; Koyama, T.; Matsushita, T.; Hatano, K. Preparation of glycopolymers having sialyl α2→3 lactose moieties as the potent inhibitors for mumps virus. Bioorganic Med. Chem. Lett. 2021, 52, 128389. [Google Scholar] [CrossRef] [PubMed]
- Rogers, G.N.; Paulson, J.C. Receptor determinants of human and animal influenza virus isolates: Differences in receptor specificity of the H3 hemagglutinin based on species of origin. Virology 1983, 127, 361–373. [Google Scholar] [CrossRef]
- Zhang, Q.X.; Ren, H.; Baker, G.L. Synthesis of a Library of Propargylated and PEGylated α-Hydroxy Acids Toward “Clickable” Polylactides via Hydrolysis of Cyanohydrin Derivatives. J. Org. Chem. 2014, 79, 9546–9555. [Google Scholar] [CrossRef]
- Adachi, R.; Matsushita, T.; Koyama, T.; Hatano, K.; Matsuoka, K. Synthetic assembly of a series of glycopolymers having sialyl α 2-3 lactose moieties connected with longer spacer arms. Bioorganic Med. Chem. 2023, 81, 117209. [Google Scholar] [CrossRef]
- Denisov, E.T.; Khudyakov, I.V. Mechanisms of action and reactivities of the free radicals of inhibitors. Chem. Rev. 1987, 87, 1313–1357. [Google Scholar] [CrossRef]
- Jiang, X.Z.; Zhang, J.Y.; Zhou, Y.M.; Xu, J.; Liu, S.Y. Facile preparation of core-crosslinked micelles from azide-containing thermoresponsive double hydrophilic diblock copolymer via click chemistry. J. Polym. Sci. Part A Polym. Chem. 2008, 46, 860–871. [Google Scholar] [CrossRef]
- Schmidt, R.R.; Kinzy, W. Anomeric-Oxygen Activation for Glycoside Synthesis: The Trichloroacetimidate Method. Adv. Carbohydr. Chem. Biochem. 1994, 50, 21–123. [Google Scholar] [CrossRef]
- Hasegawa, A.; Nagahama, T.; Ohki, H.; Kiso, M. Synthetic Studies on Sialoglycoconjugates 41: A Facile Total Synthesis of Ganglioside GM2. J. Carbohydr. Chem. 1992, 11, 699–714. [Google Scholar] [CrossRef]
- Tietze, L.F.; Gretzke, D. Synthesis of Specifically Labelled Ganglioside 1c-C-13-GM(3). Eur. J. Org. Chem. 1998, 1998, 1895–1899. [Google Scholar] [CrossRef]
- Roberts, M.J.; Bentley, M.D.; Harris, J.M. Chemistry for peptide and protein PEGylation. Adv. Drug Deliv. Rev. 2002, 54, 459–476. [Google Scholar] [CrossRef] [PubMed]
- Zemplén, G.; Pacsu, E. Über die Verseifung acetylierter Zucker und verwandter Substanzen. Ber. Dtsch. Chem. Ges. A B Ser. 1929, 62, 1613–1614. [Google Scholar] [CrossRef]
- Nishimura, S.; Matsuoka, K.; Kurita, K. Synthetic glycoconjugates-Simple and potential glycoprotein models containig pendant N-acetyl-D-glucosamine and N,N′-diacetylchitobiose. Macromolecules 1990, 23, 4182–4184. [Google Scholar] [CrossRef]
- Matsuoka, K.; Goshu, Y.; Takezawa, Y.; Mori, T.; Sakamoto, J.-I.; Yamada, A.; Onaga, T.; Koyama, T.; Hatano, K.; Snyder, P.W.; et al. Practical synthesis of fully protected globotriaose and its glycopolymers. Carbohydr. Polym. 2007, 69, 326–335. [Google Scholar] [CrossRef]
- Nagata, Y.; Burger, M.M. Wheat germ agglutinin. Molecular characteristics and specificity for sugar binding. J. Biol. Chem. 1974, 249, 3116–3122. [Google Scholar] [CrossRef]
- Privat, J.-P.; Delmotte, F.; Mialonier, G.; Bouchard, P.; Monsigny, M. Fluorescence Studies of Saccharide Binding to Wheat-Germ Agglutinin (Lectin). Eur. J. Biochem. 1974, 47, 5–14. [Google Scholar] [CrossRef]
- Allen, A.K.; Neuberger, A.; Sharon, N. The purification, composition and specificity of wheat-germ agglutinin. Biochem. J. 1973, 131, 155–162. [Google Scholar] [CrossRef]
- Wright, C.S.; Kellogg, G.E. Differences in hydropathic properties of ligand binding at four independent sites in wheat germ agglutinin-oligosaccharide crystal complexes. Protein Sci. 1996, 5, 1466–1476. [Google Scholar] [CrossRef]
- Monsigny, M.; Roche, A.-C.; Sene, C.; Maget-Dana, R.; Delmotte, F. Sugar-Lectin Interactions: How Does Wheat-Germ Agglutinin Bind Sialoglycoconjugates? Eur. J. Biochem. 1980, 104, 147–153. [Google Scholar] [CrossRef]
- Teale, F.W.J.; Weber, G. Ultraviolet fluorescence of the aromatic amino acids. Biochem. J. 1957, 65, 476–482. [Google Scholar] [CrossRef] [PubMed]
- Wetlaufer, D.B. Ultraviolet spectra of Proteins and Amino Acids. Adv. Protein Chem. 1963, 17, 303–390. [Google Scholar] [CrossRef]
- Vivian, J.T.; Callis, P.R. Mechanisms of Tryptophan Fluorescence Shifts in Proteins. Biophys. J. 2001, 80, 2093–2109. [Google Scholar] [CrossRef] [PubMed]







| Polymer | Monomer Ratio | Yield 1 | Polymer Composition 2 | 3 | ||||
|---|---|---|---|---|---|---|---|---|
| 9 | AAm | (%) | X | y | z | (KDa) | ||
| 10a | 1 | 0 | 98 | 1 | 0 | 48 | 160 | 2.99 |
| 10b | 1 | 4 | 99 | 1 | 4.6 | 175 | 239 | 1.86 |
| 10c | 1 | 10 | 77 | 1 | 13 | 193 | 347 | 1.2 |
| 10d | 1 | 25 | 74 | 1 | 26 | 112 | 321 | 1.19 |
| Entry | CH2=CHCOCl (Molar Eq) | Base (Molar Eq) | HQ (Molar Eq) | Solvent | Yield (%) |
|---|---|---|---|---|---|
| 1 | 2 | Et3N, 3 | - | MeOH | - |
| 2 | 2 | IRA400J | - | MeOH | - |
| 3 | 2 | Et3N, 3 | 0.02 | MeOH | 24 |
| 4 | 1.2 | Et3N, 1.5 | 0.02 | DCM | 8 |
| 5 | 2 | DIPEA, 3 | 0.02 | MeOH | 31 |
| 6 | 2 | DIPEA, 3 | 0.04 | MeOH | 30 |
| Substrate | ΔF′/F0 | −ΔG0a 1 | Ka | Relative Potency 2 |
|---|---|---|---|---|
| (%) | (kJ/mol) | (×105 M−1) | ||
| 9 | 75 | 24 | 0.32 | 1 |
| 10a | 46 | 30 | 4.5 | 14 |
| 10b | 29 | 32 | 11.3 | 35 |
| 10c | 20 | 31 | 8.0 | 25 |
| 10d | 17 | 29 | 2.8 | 9 |
Disclaimer/Publisher’s Note: The statements, opinions and data contained in all publications are solely those of the individual author(s) and contributor(s) and not of MDPI and/or the editor(s). MDPI and/or the editor(s) disclaim responsibility for any injury to people or property resulting from any ideas, methods, instructions or products referred to in the content. |
© 2023 by the authors. Licensee MDPI, Basel, Switzerland. This article is an open access article distributed under the terms and conditions of the Creative Commons Attribution (CC BY) license (https://creativecommons.org/licenses/by/4.0/).
Share and Cite
Adachi, R.; Matsushita, T.; Koyama, T.; Hatano, K.; Matsuoka, K. Use of a Longer Aglycon Moiety Bearing Sialyl α(2→3) Lactoside on the Glycopolymer for Lectin Evaluation. Polymers 2023, 15, 998. https://doi.org/10.3390/polym15040998
Adachi R, Matsushita T, Koyama T, Hatano K, Matsuoka K. Use of a Longer Aglycon Moiety Bearing Sialyl α(2→3) Lactoside on the Glycopolymer for Lectin Evaluation. Polymers. 2023; 15(4):998. https://doi.org/10.3390/polym15040998
Chicago/Turabian StyleAdachi, Ryota, Takahiko Matsushita, Tetsuo Koyama, Ken Hatano, and Koji Matsuoka. 2023. "Use of a Longer Aglycon Moiety Bearing Sialyl α(2→3) Lactoside on the Glycopolymer for Lectin Evaluation" Polymers 15, no. 4: 998. https://doi.org/10.3390/polym15040998
APA StyleAdachi, R., Matsushita, T., Koyama, T., Hatano, K., & Matsuoka, K. (2023). Use of a Longer Aglycon Moiety Bearing Sialyl α(2→3) Lactoside on the Glycopolymer for Lectin Evaluation. Polymers, 15(4), 998. https://doi.org/10.3390/polym15040998

