Research Progress on the Improvement of Flame Retardancy, Hydrophobicity, and Antibacterial Properties of Wood Surfaces
Abstract
1. Introduction
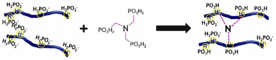
2. Improvement of Flame Retardancy of the Wood Surface
3. Improvement of Hydrophobicity of the Wood Surface
4. Improvement of Antibacterial Properties of the Wood Surface
5. Conclusions
Author Contributions
Funding
Institutional Review Board Statement
Informed Consent Statement
Data Availability Statement
Acknowledgments
Conflicts of Interest
References
- Zelinka, S.L.; Altgen, M.; Emmerich, L.; Guigo, N.; Keplinger, T.; Kymäläinen, M.; Thybring, E.E.; Thygesen, L.G. Review of Wood Modification and Wood Functionalization Technologies. Forests 2022, 13, 1004. [Google Scholar] [CrossRef]
- Spear, M.; Curling, S.; Dimitriou, A.; Ormondroyd, G. Review of Functional Treatments for Modified Wood. Coatings 2021, 11, 327. [Google Scholar] [CrossRef]
- Song, J.; Chen, C.; Zhu, S.; Zhu, M.; Dai, J.; Ray, U.; Li, Y.; Kuang, Y.; Li, Y.; Quispe, N.; et al. Processing bulk natural wood into a high-performance structural material. Nature 2018, 554, 224–228. [Google Scholar] [CrossRef]
- Sun, X.; Yu, Q.; Yang, Z.; Hu, S.; Yang, H.; Wang, X.; Zhou, J.; Yu, Y.; Wang, C.; Li, Y. Wooden “Air Purifiers” with Fire-Retardancy and Smoke-Suppression Properties. Adv. Sustain. Syst. 2022, 6, 2200346. [Google Scholar] [CrossRef]
- Zhu, H.; Luo, W.; Ciesielski, P.N.; Fang, Z.; Zhu, J.Y.; Henriksson, G.; Himmel, M.E.; Hu, L. Wood-Derived Materials for Green Electronics, Biological Devices, and Energy Applications. Chem. Rev. 2016, 116, 9305–9374. [Google Scholar] [CrossRef] [PubMed]
- Mahieu, A.; Vivet, A.; Poilane, C.; Leblanc, N. Performance of particleboards based on annual plant byproducts bound with bio-adhesives. Int. J. Adhes. Adhes. 2021, 107, 102847. [Google Scholar] [CrossRef]
- Lu, Y.; Feng, M.; Zhan, H. Preparation of SiO2–wood composites by an ultrasonic-assisted sol–gel technique. Cellulose 2014, 21, 4393–4403. [Google Scholar] [CrossRef]
- Merighi, S.; Mazzocchetti, L.; Benelli, T.; Maccaferri, E.; Zucchelli, A.; D’Amore, A.; Giorgini, L. A New Wood Surface Flame-Retardant Based on Poly-m-Aramid Electrospun Nanofibers. Polym. Eng. Sci. 2019, 59, 2541–2549. [Google Scholar] [CrossRef]
- Reyes, L.; Abdelouahed, L.; Mohabeer, C.; Buvat, J.-C.; Taouk, B. Energetic and exergetic study of the pyrolysis of lignocellulosic biomasses, cellulose, hemicellulose and lignin. Energy Convers. Manag. 2021, 244, 114459. [Google Scholar] [CrossRef]
- Mensah, R.A.; Jiang, L.; Renner, J.S.; Xu, Q. Characterisation of the fire behaviour of wood: From pyrolysis to fire retardant mechanisms. J. Therm. Anal. Calorim. 2022, 148, 1407–1422. [Google Scholar] [CrossRef]
- Liang, S.; Neisius, N.M.; Gaan, S. Recent developments in flame retardant polymeric coatings. Prog. Org. Coat. 2013, 76, 1642–1665. [Google Scholar] [CrossRef]
- Yu, H.; Xu, X.; Xia, Y.; Pan, M.; Zarshad, N.; Pang, B.; Rahman, A.U.; Wu, M.; Ni, H. Synthesis of a novel modified chitosan as an intumescent flame retardant for epoxy resin. E-Polymers 2020, 20, 303–316. [Google Scholar] [CrossRef]
- Zheng, Z.; Liu, Y.; Dai, B.; Meng, C.; Guo, Z. Fabrication of cellulose-based halogen-free flame retardant and its synergistic effect with expandable graphite in polypropylene. Carbohydr. Polym. 2019, 213, 257–265. [Google Scholar] [CrossRef]
- Lu, W.; Ye, J.; Zhu, L.; Jin, Z.; Matsumoto, Y. Intumescent Flame Retardant Mechanism of Lignosulfonate as a Char Forming Agent in Rigid Polyurethane Foam. Polymers 2021, 13, 1585. [Google Scholar] [CrossRef] [PubMed]
- Qu, H.; Fan, R.; Yuan, J.; Liu, B.; Sun, L.; Tian, R. Preparation and Performance of a P–N Containing Intumescent Flame Retardant Based on Hydrolyzed Starch. Polym.-Plast. Technol. Eng. 2017, 56, 1760–1771. [Google Scholar] [CrossRef]
- Díaz, R.H.; Gordobil, O.; De Hoyos-Martinez, P.; Sandak, A.; Labidi, J. Hydrophobization and Photo-Stabilization of Radiata Pinewood: The Effect of the Esterification on Thermal and Mechanical Properties. Forests 2020, 11, 1243. [Google Scholar] [CrossRef]
- Pouzet, M.; Dubois, M.; Charlet, K.; Béakou, A. From hydrophilic to hydrophobic wood using direct fluorination: A localized treatment. Comptes Rendus Chim. 2018, 21, 800–807. [Google Scholar] [CrossRef]
- Jia, S.; Chen, H.; Luo, S.; Qing, Y.; Deng, S.; Yan, N.; Wu, Y. One-step approach to prepare superhydrophobic wood with enhanced mechanical and chemical durability: Driving of alkali. Appl. Surf. Sci. 2018, 455, 115–122. [Google Scholar] [CrossRef]
- Jia, S.; Liu, M.; Wu, Y.; Luo, S.; Qing, Y.; Chen, H. Facile and scalable preparation of highly wear-resistance superhydrophobic surface on wood substrates using silica nanoparticles modified by VTES. Appl. Surf. Sci. 2016, 386, 115–124. [Google Scholar] [CrossRef]
- Łukawski, D.; Lekawa-Raus, A.; Lisiecki, F.; Koziol, K.; Dudkowiak, A. Towards the development of superhydrophobic carbon nanomaterial coatings on wood. Prog. Org. Coat. 2018, 125, 23–31. [Google Scholar] [CrossRef]
- Aigbomian, E.P.; Fan, M. Development of Wood-Crete building materials from sawdust and waste paper. Constr. Build. Mater. 2012, 40, 361–366. [Google Scholar] [CrossRef]
- Zhu, M.; Song, J.; Li, T.; Gong, A.; Wang, Y.; Dai, J.; Yao, Y.; Luo, W.; Henderson, D.; Hu, L. Highly Anisotropic, Highly Transparent Wood Composites. Adv. Mater. 2016, 28, 5181–5187. [Google Scholar] [CrossRef] [PubMed]
- Chen, C.; Li, Y.; Song, J.; Yang, Z.; Kuang, Y.; Hitz, E.; Jia, C.; Gong, A.; Jiang, F.; Zhu, J.Y.; et al. Highly Flexible and Efficient Solar Steam Generation Device. Adv. Mater. 2017, 29, 1701756. [Google Scholar] [CrossRef] [PubMed]
- Goodman, S.M.; Bura, R.; Dichiara, A.B. Facile Impregnation of Graphene into Porous Wood Filters for the Dynamic Removal and Recovery of Dyes from Aqueous Solutions. ACS Appl. Nano Mater. 2018, 1, 5682–5690. [Google Scholar] [CrossRef]
- Wu, Y.; Jia, S.; Qing, Y.; Luo, S.; Liu, M. A versatile and efficient method to fabricate durable superhydrophobic surfaces on wood, lignocellulosic fiber, glass, and metal substrates. J. Mater. Chem. A 2016, 4, 14111–14121. [Google Scholar] [CrossRef]
- Wang, S.; Wang, C.; Liu, C.; Zhang, M.; Ma, H.; Li, J. Fabrication of superhydrophobic spherical-like α-FeOOH films on the wood surface by a hydrothermal method. Colloids Surf. A Physicochem. Eng. Asp. 2012, 403, 29–34. [Google Scholar] [CrossRef]
- Sun, Q.; Yu, H.; Liu, Y.; Li, J.; Lu, Y.; Hunt, J.F. Improvement of water resistance and dimensional stability of wood through titanium dioxide coating. Holzforschung 2010, 64, 757–761. [Google Scholar] [CrossRef]
- Yang, L.; Wu, Y.; Yang, F.; Wang, W. The Effect of Antibacterial and Waterproof Coating Prepared from Hexadecyltrimethoxysilane and Nano-Titanium Dioxide on Wood Properties. Front. Mater. 2021, 8, 699579. [Google Scholar] [CrossRef]
- Avramidis, G.; Hauswald, E.; Lyapin, A.; Militz, H.; Viöl, W.; Wolkenhauer, A. Plasma treatment of wood and wood-based materials to generate hydrophilic or hydrophobic surface characteristics. Wood Mater. Sci. Eng. 2009, 4, 52–60. [Google Scholar] [CrossRef]
- Koziróg, A.; Rajkowska, K.; Otlewska, A.; Piotrowska, M.; Kunicka-Styczyńska, A.; Brycki, B.; Nowicka-Krawczyk, P.; Kościelniak, M.; Gutarowska, B. Protection of Historical Wood against Microbial Degradation—Selection and Application of Microbiocides. Int. J. Mol. Sci. 2016, 17, 1364. [Google Scholar] [CrossRef]
- Fazio, A.; Papinutti, L.; Gómez, B.; Parera, S.; Romero, A.R.; Siracusano, G.; Maier, M. Fungal deterioration of a Jesuit South American polychrome wood sculpture. Int. Biodeterior. Biodegrad. 2010, 64, 694–701. [Google Scholar] [CrossRef]
- Reinosa, J.; Enríquez, E.; Fuertes, V.; Liu, S.; Menéndez, J.; Fernández, J. The challenge of antimicrobial glazed ceramic surfaces. Ceram. Int. 2022, 48, 7393–7404. [Google Scholar] [CrossRef]
- Yu, H.; Fu, Y.; Li, G.; Liu, Y. Antimicrobial surfaces of quaternized poly[(2-dimethyl amino)ethyl methacrylate] grafted on wood via ARGET ATRP. Holzforschung 2012, 67, 455–461. [Google Scholar] [CrossRef]
- Goodell, B.; Winandy, J.E.; Morrell, J.J. Fungal Degradation of Wood: Emerging Data, New Insights and Charging Perceptions. Coatings 2020, 10, 1210. [Google Scholar] [CrossRef]
- Daniel, G. Fungal Degradation of Wood Cell Walls. In Secondary Xylem Biology; Academic Press: Cambridge, MA, USA, 2016. [Google Scholar] [CrossRef]
- Tejero-Martin, D.; Rad, M.R.; McDonald, A.; Hussain, T. Beyond Traditional Coatings: A Review on Thermal-Sprayed Functional and Smart Coatings. J. Therm. Spray Technol. 2019, 28, 598–644. [Google Scholar] [CrossRef]
- Mendis, G.P.; Weiss, S.G.; Korey, M.; Boardman, C.R.; Dietenberger, M.; Youngblood, J.P.; Howarter, J.A. Phosphorylated lignin as a halogen-free flame retardant additive for epoxy composites. Green Mater. 2016, 4, 150–159. [Google Scholar] [CrossRef]
- Wan, Y.; Hou, S.; Guo, M.; Fu, Y. Surface Properties of Spray-Assisted Layer-by-Layer ElectroStatic Self-Assembly Treated Wooden Take-off Board. Appl. Sci. 2021, 11, 836. [Google Scholar] [CrossRef]
- Ma, T.; Li, L.; Wang, Q.; Guo, C. Construction of intumescent flame retardant and hydrophobic coating on wood substrates based on thiol-ene click chemistry without photoinitiators. Compos. Part B Eng. 2019, 177, 107357. [Google Scholar] [CrossRef]
- Fu, Y.; Zhang, Y.; Wang, Y. Improvement of flame-retardant and antistatic property of wood using a spray-assisted layer-by-layer self-assembly technique. Wood Mater. Sci. Eng. 2023, 18, 1–9. [Google Scholar] [CrossRef]
- Costes, L.; Laoutid, F.; Brohez, S.; Dubois, P. Bio-based flame retardants: When nature meets fire protection. Mater. Sci. Eng. R Rep. 2017, 117, 1–25. [Google Scholar] [CrossRef]
- Bozell, J.J. Feedstocks for the Future—Biorefinery Production of Chemicals from Renewable Carbon. CLEAN-Soil Air Water 2008, 36, 641–647. [Google Scholar] [CrossRef]
- Liao, S.-F.; Deng, C.; Huang, S.-C.; Cao, J.-Y.; Wang, Y.-Z. An efficient halogen-free flame retardant for polyethylene: Piperazinemodified ammonium polyphosphates with different structures. Chin. J. Polym. Sci. 2016, 34, 1339–1353. [Google Scholar] [CrossRef]
- Ramage, M.H.; Burridge, H.; Busse-Wicher, M.; Fereday, G.; Reynolds, T.; Shah, D.U.; Wu, G.; Yu, L.; Fleming, P.; Densley-Tingley, D.; et al. The wood from the trees: The use of timber in construction. Renew. Sustain. Energy Rev. 2017, 68, 333–359. [Google Scholar] [CrossRef]
- Gustavsson, L.; Nguyen, T.; Sathre, R.; Tettey, U. Climate effects of forestry and substitution of concrete buildings and fossil energy. Renew. Sustain. Energy Rev. 2020, 136, 110435. [Google Scholar] [CrossRef]
- Yan, B.-R.; Hu, X.-M.; Cheng, W.-M.; Zhao, Y.-Y.; Wang, W.; Liang, Y.-T.; Liu, T.-Y.; Feng, Y.; Xue, D. A novel intumescent flame-retardant to inhibit the spontaneous combustion of coal. Fuel 2021, 297, 120768. [Google Scholar] [CrossRef]
- Chen, P.; Zhang, F.; Li, S.; Cheng, Y. Smoke suppression properties of epoxy crosslinked structure and intumescent fire retardant in epoxy-based intumescent fire-retardant coating. J. Appl. Polym. Sci. 2016, 133. [Google Scholar] [CrossRef]
- Huang, Z.; Li, S.; Tsai, L.-C.; Jiang, T.; Ma, N.; Tsai, F.-C. Flame retardant polypropylene with a single molecule intumescent flame retardant based on chitosan. Mater. Today Commun. 2022, 33, 104689. [Google Scholar] [CrossRef]
- Ma, T.; Li, L.; Liu, Z.; Zhang, J.; Guo, C.; Wang, Q. A facile strategy to construct vegetable oil-based, fire-retardant, transparent and mussel adhesive intumescent coating for wood substrates. Ind. Crop. Prod. 2020, 154, 112628. [Google Scholar] [CrossRef]
- Jia, Y.; Lu, Y.; Zhang, G.; Liang, Y.; Zhang, F. Facile synthesis of an eco-friendly nitrogen–phosphorus ammonium salt to enhance the durability and flame retardancy of cotton. J. Mater. Chem. A 2017, 5, 9970–9981. [Google Scholar] [CrossRef]
- Xu, B.-R.; Deng, C.; Li, Y.-M.; Lu, P.; Zhao, P.-P.; Wang, Y.-Z. Novel amino glycerin decorated ammonium polyphosphate for the highly-efficient intumescent flame retardance of wood flour/polypropylene composite via simultaneous interfacial and bulk charring. Compos. Part B Eng. 2019, 172, 636–648. [Google Scholar] [CrossRef]
- Fang, F.; Ran, S.; Fang, Z.; Song, P.; Wang, H. Improved flame resistance and thermo-mechanical properties of epoxy resin nanocomposites from functionalized graphene oxide via self-assembly in water. Compos. Part B Eng. 2019, 165, 406–416. [Google Scholar] [CrossRef]
- Ghanadpour, M.; Carosio, F.; Wågberg, L. Ultrastrong and flame-resistant freestanding films from nanocelluloses, self-assembled using a layer-by-layer approach. Appl. Mater. Today 2017, 9, 229–239. [Google Scholar] [CrossRef]
- Yang, Y.; Haurie, L.; Wen, J.; Zhang, S.; Ollivier, A.; Wang, D.-Y. Effect of oxidized wood flour as functional filler on the mechanical, thermal and flame-retardant properties of polylactide biocomposites. Ind. Crop. Prod. 2019, 130, 301–309. [Google Scholar] [CrossRef]
- Patankar, K.C.; Biranje, S.; Pawar, A.; Maiti, S.; Shahid, M.; More, S.; Adivarekar, R.V. Fabrication of chitosan-based finishing agent for flame-retardant, UV-protective, and antibacterial cotton fabrics. Mater. Today Commun. 2022, 33, 104637. [Google Scholar] [CrossRef]
- Kausar, A. Scientific potential of chitosan blending with different polymeric materials: A review. J. Plast. Film Sheeting 2016, 33, 384–412. [Google Scholar] [CrossRef]
- Yu, H.; Xia, Y.; Xu, X.; Zarshad, N.; Wu, M.; Ni, H. Preparation of organic–inorganic intumescent flame retardant with phosphorus, nitrogen and silicon and its flame retardant effect for epoxy resin. J. Appl. Polym. Sci. 2020, 137, 49256. [Google Scholar] [CrossRef]
- Cho, W.; Shields, J.R.; Dubrulle, L.; Wakeman, K.; Bhattarai, A.; Zammarano, M.; Fox, D.M. Ion—Complexed chitosan formulations as effective fire-retardant coatings for wood substrates. Polym. Degrad. Stab. 2022, 197, 109870. [Google Scholar] [CrossRef]
- Liu, Z.; Yu, Z.; Qiaolin, T.; Kaixin, Z.; Weihao, D.; Lewen, Z.; Rong, W.; Jin, C.; Jingjing, D.; Wang, L.; et al. Highly efficient flame-retardant and transparent epoxy resin. Polym. Adv. Technol. 2021, 32, 2940–2952. [Google Scholar] [CrossRef]
- Li, S.; Wang, X.; Xu, M.; Liu, L.; Wang, W.; Gao, S.; Li, B. Effect of a biomass based waterborne fire retardant coating on the flame retardancy for wood. Polym. Adv. Technol. 2021, 32, 4805–4814. [Google Scholar] [CrossRef]
- Huang, Y.; Ma, T.; Wang, Q.; Guo, C. Synthesis of Biobased Flame-Retardant Carboxylic Acid Curing Agent and Application in Wood Surface Coating. ACS Sustain. Chem. Eng. 2019, 7, 14727–14738. [Google Scholar] [CrossRef]
- Zhong, J.; Huang, Y.; Chen, Y.; Li, L.; Guo, C. Synthesis of eugenol-modified epoxy resin and application on wood flame retardant coating. Ind. Crop. Prod. 2022, 183, 114979. [Google Scholar] [CrossRef]
- Qiu, X.; Li, Z.; Li, X.; Zhang, Z. Flame retardant coatings prepared using layer by layer assembly: A review. Chem. Eng. J. 2018, 334, 108–122. [Google Scholar] [CrossRef]
- Dong, S.; Jiang, H.; Hou, B.; Du, Y.; Jin, C.; Yan, Y. High efficient fire-retardant coatings on wood fabricated by divalent metal ion cross-linked multilayer polyethyleneimine and ammonium polyphosphate polyelectrolytes. Polym. Degrad. Stab. 2022, 204, 110112. [Google Scholar] [CrossRef]
- Prestopino, G.; Arrabito, G. Layered Double Hydroxides. Crystals 2020, 10, 1050. [Google Scholar] [CrossRef]
- Zhang, X.; Wen, Y.; Li, S.; Wang, Z.; Xie, H. Fabrication and characterization of flame-retardant and smoke-suppressant of flexible polyurethane foam with modified hydrotalcite. Polym. Adv. Technol. 2021, 32, 2609–2621. [Google Scholar] [CrossRef]
- Ma, L.; Liu, X.; Sheng, Y.; Guo, Y. Flame retardancy of silicone rubber foam containing modified hydrotalcite. J. Appl. Polym. Sci. 2022, 139, 52255. [Google Scholar] [CrossRef]
- Guo, B.; Liu, Y.; Zhang, Q.; Wang, F.; Wang, Q.; Liu, Y.; Li, J.; Yu, H. Efficient Flame-Retardant and Smoke-Suppression Properties of Mg–Al-Layered Double-Hydroxide Nanostructures on Wood Substrate. ACS Appl. Mater. Interfaces 2017, 9, 23039–23047. [Google Scholar] [CrossRef]
- Hu, A.; Du, C.; Hua, Y.; Shan, Y.; Liu, C.; Chen, S.; Li, Q.; Yu, H. Preparation and Flame Retardant Properties of Calcium–Aluminium Hydrotalcite with Root Cutting Silicate Layers as Bamboo Flame Retardants. Materials 2021, 14, 7319. [Google Scholar] [CrossRef]
- Bifulco, A.; Imparato, C.; Aronne, A.; Malucelli, G. Flame retarded polymer systems based on the sol-gel approach: Recent advances and future perspectives. J. Sol-Gel Sci. Technol. 2022, 30, 1–25. [Google Scholar] [CrossRef]
- Li, H.; Wang, C.; Wang, Z.; Zhang, M.; Liu, D.; Yuan, G. Study on properties of gelatin–silica mineralized wood composite. Polym. Compos. 2022, 43, 4371–4381. [Google Scholar] [CrossRef]
- Cao, H.; Guo, X.; Zhou, Y.; Yan, Y.; Sun, W. Fabrication of Durable Hydrophobic/Superhydrophobic Wood Using an Alkyl Ketene Dimer by a Simple and Feasible Method. ACS Omega 2022, 7, 17921–17928. [Google Scholar] [CrossRef] [PubMed]
- Lozhechnikova, A.; Bellanger, H.; Michen, B.; Burgert, I.; Österberg, M. Surfactant-free carnauba wax dispersion and its use for layer-by-layer assembled protective surface coatings on wood. Appl. Surf. Sci. 2017, 396, 1273–1281. [Google Scholar] [CrossRef]
- Gao, L.; Lu, Y.; Li, J.; Sun, Q. Superhydrophobic conductive wood with oil repellency obtained by coating with silver nanoparticles modified by fluoroalkyl silane. Holzforschung 2015, 70, 63–68. [Google Scholar] [CrossRef]
- Sangregorio, A.; Muralidhara, A.; Guigo, N.; Thygesen, L.G.; Marlair, G.; Angelici, C.; de Jong, E.; Sbirrazzuoli, N. Humin based resin for wood modification and property improvement. Green Chem. 2020, 22, 2786–2798. [Google Scholar] [CrossRef]
- Yi, Z.; Zhao, B.; Liao, M.; Qin, Z. Fabrication of Superhydrophobic Wood Surface by Etching Polydopamine Coating with Sodium Hydroxide. Coatings 2020, 10, 847. [Google Scholar] [CrossRef]
- Lin, W.; Zhang, X.; Cai, Q.; Yang, W.; Chen, H. Dehydrogenation-driven assembly of transparent and durable superhydrophobic ORMOSIL coatings on cellulose-based substrates. Cellulose 2020, 27, 7805–7821. [Google Scholar] [CrossRef]
- Brassard, J.-D.; Sarkar, D.; Perron, J. Studies of drag on the nanocomposite superhydrophobic surfaces. Appl. Surf. Sci. 2015, 324, 525–531. [Google Scholar] [CrossRef]
- Xie, L.; Tang, Z.; Jiang, L.; Breedveld, V.; Hess, D.W. Creation of superhydrophobic wood surfaces by plasma etching and thin-film deposition. Surf. Coat. Technol. 2015, 281, 125–132. [Google Scholar] [CrossRef]
- Li, Y.; Wu, Q.; Li, J.; Liu, Y.; Wang, X.-M.; Liu, Z. Improvement of dimensional stability of wood via combination treatment: Swelling with maleic anhydride and grafting with glycidyl methacrylate and methyl methacrylate. Holzforschung 2012, 66, 59–66. [Google Scholar] [CrossRef]
- Huang, Y.; Feng, Q.; Ye, C.; Nair, S.S.; Yan, N. Incorporation of ligno-cellulose nanofibrils and bark extractives in water-based coatings for improved wood protection. Prog. Org. Coat. 2019, 138, 105210. [Google Scholar] [CrossRef]
- Song, L.; Zhang, X.F.; Wang, Z.; Bai, Y.; Feng, Y.; Yao, J. Metal-Ion Induced Surface Modification for Durable Hydrophobic Wood. Adv. Mater. Interfaces 2020, 7, 2001166. [Google Scholar] [CrossRef]
- Wang, N.; Wang, Q.; Xu, S.; Qu, L.; Shi, Z. Robust superhydrophobic wood surfaces with mechanical durability. Colloids Surf. A Physicochem. Eng. Asp. 2020, 608, 125624. [Google Scholar] [CrossRef]
- Tang, M.; Fang, X.; Li, B.; Xu, M.; Wang, H.; Cai, S. Hydrophobic Modification of Wood Using Tetramethylcyclotetrasiloxane. Polymers 2022, 14, 2077. [Google Scholar] [CrossRef] [PubMed]
- Tran, N.T.; Flanagan, D.P.; Orlicki, J.A.; Lenhart, J.L.; Proctor, K.L.; Knorr, D.B. Polydopamine and Polydopamine–Silane Hybrid Surface Treatments in Structural Adhesive Applications. Langmuir 2018, 34, 1274–1286. [Google Scholar] [CrossRef]
- Shao, C.; Jiang, M.; Zhang, J.; Zhang, Q.; Han, L.; Wu, Y. Construction of a superhydrophobic wood surface coating by layer-by-layer assembly: Self-adhesive properties of polydopamine. Appl. Surf. Sci. 2023, 609, 155259. [Google Scholar] [CrossRef]
- Duan, X.; Liu, S.; Huang, E.; Shen, X.; Wang, Z.; Li, S.; Jin, C. Superhydrophobic and antibacterial wood enabled by polydopamine-assisted decoration of copper nanoparticles. Colloids Surf. A Physicochem. Eng. Asp. 2020, 602, 125145. [Google Scholar] [CrossRef]
- Yang, J.; Li, H.; Yi, Z.; Liao, M.; Qin, Z. Stable superhydrophobic wood surface constracting by KH580 and nano-Al2O3 on polydopamine coating with two process methods. Colloids Surf. A Physicochem. Eng. Asp. 2022, 637, 128219. [Google Scholar] [CrossRef]
- Kostic, S.; Merk, V.; Berg, J.K.; Hass, P.; Burgert, I.; Cabane, E. Timber-mortar composites: The effect of sol-gel surface modification on the wood-adhesive interface. Compos. Struct. 2018, 201, 828–833. [Google Scholar] [CrossRef]
- Tsvetkova, I.N.; Krasil’Nikova, L.N.; Khoroshavina, Y.V.; Galushko, A.S.; Yu, V.F.; Kychkin, A.K.; Shilova, O.A. Sol-gel preparation of protective and decorative coatings on wood. J. Sol-Gel Sci. Technol. 2019, 92, 474–483. [Google Scholar] [CrossRef]
- Marais, B.N.; Brischke, C.; Militz, H. Wood durability in terrestrial and aquatic environments—A review of biotic and abiotic influence factors. Wood Mater. Sci. Eng. 2020, 17, 82–105. [Google Scholar] [CrossRef]
- Munir, M.T.; Aviat, F.; Pailhories, H.; Eveillard, M.; Irle, M.; Federighi, M.; Belloncle, C. Direct screening method to assess antimicrobial behavior of untreated wood. Eur. J. Wood Wood Prod. 2019, 77, 319–322. [Google Scholar] [CrossRef]
- Cheng, L.; Ren, S.; Lu, X. Application of Eco-Friendly Waterborne Polyurethane Composite Coating Incorporated with Nano Cellulose Crystalline and Silver Nano Particles on Wood Antibacterial Board. Polymers 2020, 12, 407. [Google Scholar] [CrossRef] [PubMed]
- Sharma, G.; Kumar, A.; Naushad, M.; Al-Misned, F.A.; El-Serehy, H.A.; Ghfar, A.A.; Sharma, K.R.; Si, C.; Stadler, F.J. Graft Copolymerization of Acrylonitrile and Ethyl Acrylate onto Pinus Roxburghii Wood Surface Enhanced Physicochemical Properties and Antibacterial Activity. J. Chem. 2020, 2020, 1–16. [Google Scholar] [CrossRef]
- Zhang, F. Antibacterial performance of Ag-doped TiO2/wood surface under visible light irradiation and its superior mould-resistance. IOP Conf. Ser. Mater. Sci. Eng. 2020, 729, 012012. [Google Scholar] [CrossRef]
- Tran-Ly, A.N.; Heeb, M.; Kalac, T.; Schwarze, F.W.M.R. Antimicrobial effect of fungal melanin in combination with plant oils for the treatment of wood. Front. Mater. 2022, 9, 915607. [Google Scholar] [CrossRef]
- Macior, A.; Zaborniak, I.; Chmielarz, P.; Smenda, J.; Wolski, K.; Ciszkowicz, E.; Lecka-Szlachta, K. A New Protocol for Ash Wood Modification: Synthesis of Hydrophobic and Antibacterial Brushes from the Wood Surface. Molecules 2022, 27, 890. [Google Scholar] [CrossRef] [PubMed]
- Purhonen, J.; Huhtinen, S.; Kotiranta, H.; Kotiaho, J.S.; Halme, P. Detailed information on fruiting phenology provides new insights on wood-inhabiting fungal detection. Fungal Ecol. 2017, 27, 175–177. [Google Scholar] [CrossRef]
- Arango, R.; Yang, V.; Lebow, S.; Lebow, P.; Wiemann, M.; Grejczyk, M.; DeWald, P. Variation in mold susceptibility among hardwood species under laboratory conditions. Int. Biodeterior. Biodegrad. 2020, 154, 105082. [Google Scholar] [CrossRef]
- Qi, Y.; Dai, X.; Wei, L.; Luo, H.; Liu, Y.; Dong, X.; Yang, D.; Li, Y. Nano-AgCu Alloy on Wood Surface for Mold Resistance. Nanomaterials 2022, 12, 1192. [Google Scholar] [CrossRef]
- Dai, X.; Qi, Y.; Luo, H.; He, Z.; Wei, L.; Dong, X.; Ma, X.; Yang, D.-Q.; Li, Y. Leachability and Anti-Mold Efficiency of Nanosilver on Poplar Wood Surface. Polymers 2022, 14, 884. [Google Scholar] [CrossRef]
- Bi, Z.; Fang, S.; Gao, Q.; Lei, Y.; Morrell, J.J.; Yan, L. Improvement of mould resistance of wood with cinnamaldehyde chitosan emulsion. Wood Sci. Technol. 2021, 56, 187–204. [Google Scholar] [CrossRef]
- Lazim, A.M.; Azfaralariff, A.; Azman, I.; Arip, M.N.M.; Zubairi, S.; Kaus, N.M.; Nazir, N.; Mohamad, M.; Kamil, A.; Azzahari, A.D.; et al. Improving wood durability against G. Trabeum and C. versicolor using starch based antifungal coating from Dioscorea hispida sp. J. Taiwan Inst. Chem. Eng. 2020, 115, 242–250. [Google Scholar] [CrossRef]











Disclaimer/Publisher’s Note: The statements, opinions and data contained in all publications are solely those of the individual author(s) and contributor(s) and not of MDPI and/or the editor(s). MDPI and/or the editor(s) disclaim responsibility for any injury to people or property resulting from any ideas, methods, instructions or products referred to in the content. |
© 2023 by the authors. Licensee MDPI, Basel, Switzerland. This article is an open access article distributed under the terms and conditions of the Creative Commons Attribution (CC BY) license (https://creativecommons.org/licenses/by/4.0/).
Share and Cite
Jian, H.; Liang, Y.; Deng, C.; Xu, J.; Liu, Y.; Shi, J.; Wen, M.; Park, H.-J. Research Progress on the Improvement of Flame Retardancy, Hydrophobicity, and Antibacterial Properties of Wood Surfaces. Polymers 2023, 15, 951. https://doi.org/10.3390/polym15040951
Jian H, Liang Y, Deng C, Xu J, Liu Y, Shi J, Wen M, Park H-J. Research Progress on the Improvement of Flame Retardancy, Hydrophobicity, and Antibacterial Properties of Wood Surfaces. Polymers. 2023; 15(4):951. https://doi.org/10.3390/polym15040951
Chicago/Turabian StyleJian, Hao, Yuqing Liang, Chao Deng, Junxian Xu, Yang Liu, Junyou Shi, Mingyu Wen, and Hee-Jun Park. 2023. "Research Progress on the Improvement of Flame Retardancy, Hydrophobicity, and Antibacterial Properties of Wood Surfaces" Polymers 15, no. 4: 951. https://doi.org/10.3390/polym15040951
APA StyleJian, H., Liang, Y., Deng, C., Xu, J., Liu, Y., Shi, J., Wen, M., & Park, H.-J. (2023). Research Progress on the Improvement of Flame Retardancy, Hydrophobicity, and Antibacterial Properties of Wood Surfaces. Polymers, 15(4), 951. https://doi.org/10.3390/polym15040951

