Non-Conjugated Copoly(Arylene Ether Ketone) for the Current-Collecting System of a Solar Cell with Indium Tin Oxide Electrode
Abstract
:1. Introduction
2. Materials and Methods
2.1. Polymer
2.2. Si/ITO/co-PAEK/Cu Test Samples for I-V Measurements
3. Results and Discussion
3.1. Morphology Analysis of Co-PAEK Films
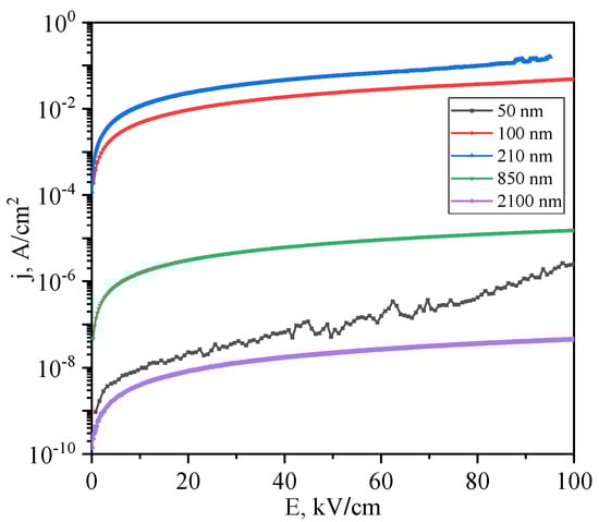
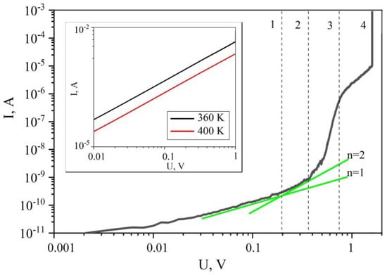
3.2. Analysis of I-V Characteristics of the ITO/co-PAEK/Cu Structure
4. Conclusions
Author Contributions
Funding
Institutional Review Board Statement
Data Availability Statement
Acknowledgments
Conflicts of Interest
Nomenclature
| ITO—indium tin oxide | e—electron charge |
| TCO—transparent conductive oxide | n0—concentration of charge carriers |
| HOMO—the highest occupied orbital | µ—mobility of charge carriers |
| LUMO—the lowest vacant orbital | ε—polymer permittivity |
| co-PAEK—copoly(arylene ether ketone) | ε0—dielectric constant |
| TMA—thermo-mechanical analysis | IS—saturation current |
| AFM—atomic force microscopy | Uthr—threshold voltage for the transition to the super-linear regime |
| Mn—number-average molecular weight | φB—potential barrier height |
| Mw—weight-average molecular weight | T—temperature |
| PD—polydispersity | k—Boltzmann constant |
| ηred—reduced viscosity | S—contact area |
| Rq—root-mean-square roughness | A**—Richardson constant |
| L—thickness of the polymer film |
References
- Descoeudres, A.; Allebé, C.; Badel, N.; Barraud, L.; Champliaud, J.; Christmann, G.; Debrot, F.; Faes, A.; Geissbühler, J.; Horzel, J.; et al. Low-temperature processes for passivation and metallization of high efficiency crystalline silicon solar cells. Sol. Energy 2018, 175, 54–59. [Google Scholar] [CrossRef]
- Zhang, Y.; Kim, M.; Wang, L.; Verlinden, P.; Hallam, B. Design considerations for multi-terawatt scale manufacturing of existing and future photovoltaic technologies: Challenges and opportunities related to silver, indium and bismuth consumption. Energy Environ. Sci. 2021, 14, 5587–5610. [Google Scholar] [CrossRef]
- Taguchi, M.; Yano, A.; Tohoda, S.; Matsuyama, K.; Nakamura, Y.; Nishiwaki, T.; Fujita, K.; Maruyama, E. 24.7% record efficiency HIT solar cell on thin silicon wafer. IEEE J. Photovolt. 2014, 4, 96–99. [Google Scholar] [CrossRef]
- Liu, Y.; Li, Y.; Wu, Y.; Yang, G.; Mazzarella, L.; Procel-Moya, P.; Tamboli, A.C.; Weber, K.; Boccard, M.; Isabella, O.; et al. High-Efficiency Silicon Heterojunction Solar Cells: Materials, Devices and Applications. Mater. Sci. Eng. R Rep. 2020, 142, 100579. [Google Scholar] [CrossRef]
- De Wolf, S.; Kondo, M. Nature of doped a-Si:H/c-Si interface recombination. J. Appl. Phys. 2009, 105, 103707. [Google Scholar] [CrossRef]
- Haschke, J.; Dupré, O.; Boccard, M.; Ballif, C. Silicon heterojunction solar cells: Recent technological development and practical aspects–from lab to industry. Sol. Energy Mater. Sol. Cells 2018, 187, 140–153. [Google Scholar] [CrossRef]
- Kanneboina, V. Detailed review on c-Si/a-Si:H heterojunction solar cells in perspective of experimental and simulation. Microelectron. Eng. 2022, 265, 111884. [Google Scholar] [CrossRef]
- Geissbühler, J.; Faes, A.; Lachowicz, A.; Ballif, C.; Despeisse, M. Metallization techniques and interconnection schemes for high-efficiency silicon heterojunction photovoltaics. Photovolt. Int. 2017, 37, 61–69. [Google Scholar]
- Schube, J.; Fellmeth, T.; Jahn, M.; Keding, R.; Glunz, S.W. Inkjet- and FlexTrail-Printing with Low Silver Consumption for Silicon Heterojunction Solar Cells. Phys. Status Solidi RRL 2019, 13, 1900186. [Google Scholar] [CrossRef]
- Yu, J.; Li, J.; Zhao, Y.; Lambertz, A.; Chen, T.; Duan, W.; Liu, W.; Yang, X.; Huang, Y.; Ding, K. Copper metallization of electrodes for silicon heterojunction solar cells: Process, reliability and challenges. Sol. Energy Mater. Sol. Cells 2021, 224, 110993. [Google Scholar] [CrossRef]
- Papet, P.; Andreetta, L.; Lachenal, D.; Wahli, G.; Meixenberger, J.; Legradic, B.; Frammelsberger, W.; Batzner, D.; Strahm, B.; Yao, Y.; et al. New cell metallization patterns for heterojunction solar cells interconnected by the smart wire connection technology. Energy Procedia 2015, 67, 203–209. [Google Scholar] [CrossRef]
- Spinella, L.; Bosco, N. Thermomechanical fatigue resistance of low temperature solder for multiwire interconnects in photovoltaic modules. Sol. Energy Mater. Sol. Cells 2021, 225, 111054. [Google Scholar] [CrossRef]
- Chebotareva, A.B.; Untila, G.G.; Kost, T.N.; Stepanov, A.S.; Salazkin, S.N.; Shaposhnikova, V.V. Transparent conductive polymers for laminated multi-wire metallization of bifacial concentrator crystalline silicon solar cells with TCO layers. Sol. Energy Mater. Sol. Cells 2017, 165, 1–8. [Google Scholar] [CrossRef]
- Schultheiss, A.; Gueye, M.; Carella, A.; Benayad, A.; Pouget, S.; Faure-Vincent, J.; Demadrille, R.; Revaux, A.; Simonato, J.-P. Insight into the Degradation Mechanisms of Highly Conductive Poly(3,4-ethylenedioxythiophene) Thin Films. ACS Appl. Polym. Mater 2020, 2, 2686–2695. [Google Scholar] [CrossRef]
- Lachinov, A.N.; Vorob’eva, N.V. Electronics of thin layers of wide-band polymers. Phys. Uspekhi 2006, 49, 1223–1238. [Google Scholar] [CrossRef]
- Galiev, A.F.; Lachinov, A.N.; Kornilov, V.M.; Gadiev, R.M. Temperature Dependence of the Resistance of Thin Poly(Diphenylene Phthalide) Films. Bull. Russ. Acad. Sci. Phys. 2020, 84, 512–514. [Google Scholar] [CrossRef]
- Chebotareva, A.B.; Kost, T.N.; Stepanov, A.S.; Salazkin, S.N.; Shaposhnikova, V.V. Aromatic cardo polyethers: Film adhesives for solar cell current collecting system. Russ. Chem. Bull. 2022, 71, 368–373. [Google Scholar] [CrossRef]
- Chebotareva, A.B.; Untila, G.G.; Kost, T.N.; Stepanov, A.S.; Salazkin, S.N.; Shaposhnikova, V.V. Bifacial silicon heterojunction solar cells with advanced Ag-free multi-wire metallization attached to ITO layers using new transparent conductive PAEK copolymers. Sol. Energy 2019, 193, 828–836. [Google Scholar] [CrossRef]
- Shaposhnikova, V.V.; Salazkin, S.N.; Donetskii, K.I.; Gorshkov, G.V.; Sharapov, D.S.; Mamedova, I.A.; Petrovskii, P.V.; Askadskii, A.A.; Bychko, K.A.; Kazantseva, V.V.; et al. Synthesis and properties of cardo copoly(arylene ether ketones). Polym. Sci. Ser. A 2002, 44, 563–569. [Google Scholar]
- Sakunts, A.A. Effect of Synthesis Conditions on Molecular Weight Characteristics Aromatic Polyketone Based on 4,4’-difluorobenzophenone and Bisphenol. Ph.D. Thesis, INEOS RAS, Moscow, Russia, 1992. [Google Scholar]
- Untila, G.G.; Kost, T.N.; Chebotareva, A.B. ITO/SiOx/n-Si heterojunction solar cell with bifacial 16.6%/14.6% front/rear efficiency produced by ultrasonic spray pyrolysis: Effect of conditions of SiOx growth by wet-chemical oxidation. Solar Energy 2020, 204, 395–405. [Google Scholar] [CrossRef]
- Yusupov, A.R.; Gadiev, R.M.; Lachinov, A.N.; Kornilov, V.M.; Kalimullina, L.R.; Galiev, A.F.; Kian, M.; Salazkin, S.N. Effect of polymer structure on the transport properties along the polymer/polymer interface. Synth. Metals 2021, 274, 116733. [Google Scholar] [CrossRef]
- Mott, N.F.; Gurney, R.W. Electronic Processes in Ionic Crystals; Oxford University Press: New York, NY, USA, 1940. [Google Scholar]
- Mark, P.; Helfrich, W. Space-Charge-Limited Currents in Organic Crystals. J. Appl. Physic 1962, 33, 205–215. [Google Scholar] [CrossRef]
- Tameev, A.R.; Lachinov, A.N.; Salikhov, R.B.; Bunakov, A.A.; Vannikov, A.V. Mobility of Charge Carriers in Thin Poly(diphenylene phthalide) Films. Russ. J. Phys. Chem. 2005, 79, 2025–2028. [Google Scholar]
- Richardson, O.W. Thermionic Emission from Hot Bodies; Wexford College Press: New York, NY, USA, 2003. [Google Scholar]
- De Gennes, P.G. Scaling Concepts in Polymer Physics; Cornell University Press: New York, NY, USA, 1979. [Google Scholar]
- Xu, Z.; Park, K.S.; Diao, Y. What is the assembly pathway of a conjugated polymer from solution to thin films? Front. Chem. 2020, 8, 583521. [Google Scholar] [CrossRef] [PubMed]
- Yao, Z.F.; Wang, J.Y.; Pei, J. Controlling morphology and microstructure of conjugated polymers via solution-state aggregation. Prog. Polym. Sci. 2022, 136, 101626. [Google Scholar] [CrossRef]
- Deng, J.; Zheng, L.; Ding, C.; Guo, Y.; Xie, Y.; Wang, J.; Ke, Y.; Li, M.; Li, L.; Janssenet, R.A. Determinant Role of Solution-State Supramolecular Assembly in Molecular Orientation of Conjugated Polymer Films. Adv. Funct. Mater. 2023, 33, 2209195. [Google Scholar] [CrossRef]
- Karamov, D.D.; Kornilov, V.M.; Lachinov, A.N.; Kraikin, V.A.; Ionova, I.A. Atomic-force microscopy of submicron films of electroactive polymer. Tech. Phys. 2016, 61, 1085–1090. [Google Scholar] [CrossRef]
- Karamov, D.D.; Il’yasov, V.K.; Lachinov, A.N.; Galiev, A.F.; Lachinov, A.A. The Effect of Thickness of Submicron Films of Electroactive Polymers on Thermally Stimulated Depolarization Currents. Phys. Solid State 2020, 62, 1473–1478. [Google Scholar] [CrossRef]
- Zherebov, A.; Lachinov, A.N.; Genoe, J.; Tameev, A.R. Polyheteroarylene films with intrinsic switching mechanism for nonvolatile memory applications. Appl. Phys. Lett. 2008, 92, 193302. [Google Scholar] [CrossRef]




| # | wt. [%] | L [nm] (±5%) | Rq [nm] (±5%) |
|---|---|---|---|
| 1 | 1.25 | 50 | 1.4 |
| 2 | 2.5 | 100 | 1.0 |
| 3 | 5 | 210 | 1.0 |
| 4 | 10 | 850 | 1.1 |
| 5 | 15 | 2100 | 0.9 |
| L. nm | IS, A | Uthr, V | µ, cm2/V·s | n0, cm−3 | φB, eV |
|---|---|---|---|---|---|
| 50 | 2.8 × 10−10 | 0.2 | 4.7 × 10−11 | 1.6 × 1016 | 0.51 |
| 100 | 2.4 × 10−3 | 0.91 | 1.5 × 10−4 | 1.8 × 1016 | 0.28 |
| 210 | 4.6 × 10−3 | 1.55 | 9.3 × 10−4 | 7.0 × 1015 | 0.28 |
| 850 | 3.9 × 10−8 | 2.15 | 2.7 × 10−7 | 5.9 × 1014 | 0.52 |
| 2100 | 4.4 × 10−10 | 3.1 | 2.2 × 10−8 | 1.4 × 1014 | 0.62 |
Disclaimer/Publisher’s Note: The statements, opinions and data contained in all publications are solely those of the individual author(s) and contributor(s) and not of MDPI and/or the editor(s). MDPI and/or the editor(s) disclaim responsibility for any injury to people or property resulting from any ideas, methods, instructions or products referred to in the content. |
© 2023 by the authors. Licensee MDPI, Basel, Switzerland. This article is an open access article distributed under the terms and conditions of the Creative Commons Attribution (CC BY) license (https://creativecommons.org/licenses/by/4.0/).
Share and Cite
Lachinov, A.N.; Karamov, D.D.; Galiev, A.F.; Salazkin, S.N.; Shaposhnikova, V.V.; Kost, T.N.; Chebotareva, A.B. Non-Conjugated Copoly(Arylene Ether Ketone) for the Current-Collecting System of a Solar Cell with Indium Tin Oxide Electrode. Polymers 2023, 15, 928. https://doi.org/10.3390/polym15040928
Lachinov AN, Karamov DD, Galiev AF, Salazkin SN, Shaposhnikova VV, Kost TN, Chebotareva AB. Non-Conjugated Copoly(Arylene Ether Ketone) for the Current-Collecting System of a Solar Cell with Indium Tin Oxide Electrode. Polymers. 2023; 15(4):928. https://doi.org/10.3390/polym15040928
Chicago/Turabian StyleLachinov, Alexey N., Danfis D. Karamov, Azat F. Galiev, Sergey N. Salazkin, Vera V. Shaposhnikova, Tatiana N. Kost, and Alla B. Chebotareva. 2023. "Non-Conjugated Copoly(Arylene Ether Ketone) for the Current-Collecting System of a Solar Cell with Indium Tin Oxide Electrode" Polymers 15, no. 4: 928. https://doi.org/10.3390/polym15040928
APA StyleLachinov, A. N., Karamov, D. D., Galiev, A. F., Salazkin, S. N., Shaposhnikova, V. V., Kost, T. N., & Chebotareva, A. B. (2023). Non-Conjugated Copoly(Arylene Ether Ketone) for the Current-Collecting System of a Solar Cell with Indium Tin Oxide Electrode. Polymers, 15(4), 928. https://doi.org/10.3390/polym15040928

