Flexural Performance and End Debonding Prediction of NSM Carbon FRP-Strengthened Reinforced Concrete Beams under Different Service Temperatures
Abstract
:1. Introduction
2. Experimental Program
2.1. Specimens and Test Configuration
2.2. Instrumentation
2.3. Materials
2.3.1. Concrete
2.3.2. Steel Reinforcement
2.3.3. CFRP
2.3.4. Epoxy Adhesive
3. Results and Analysis
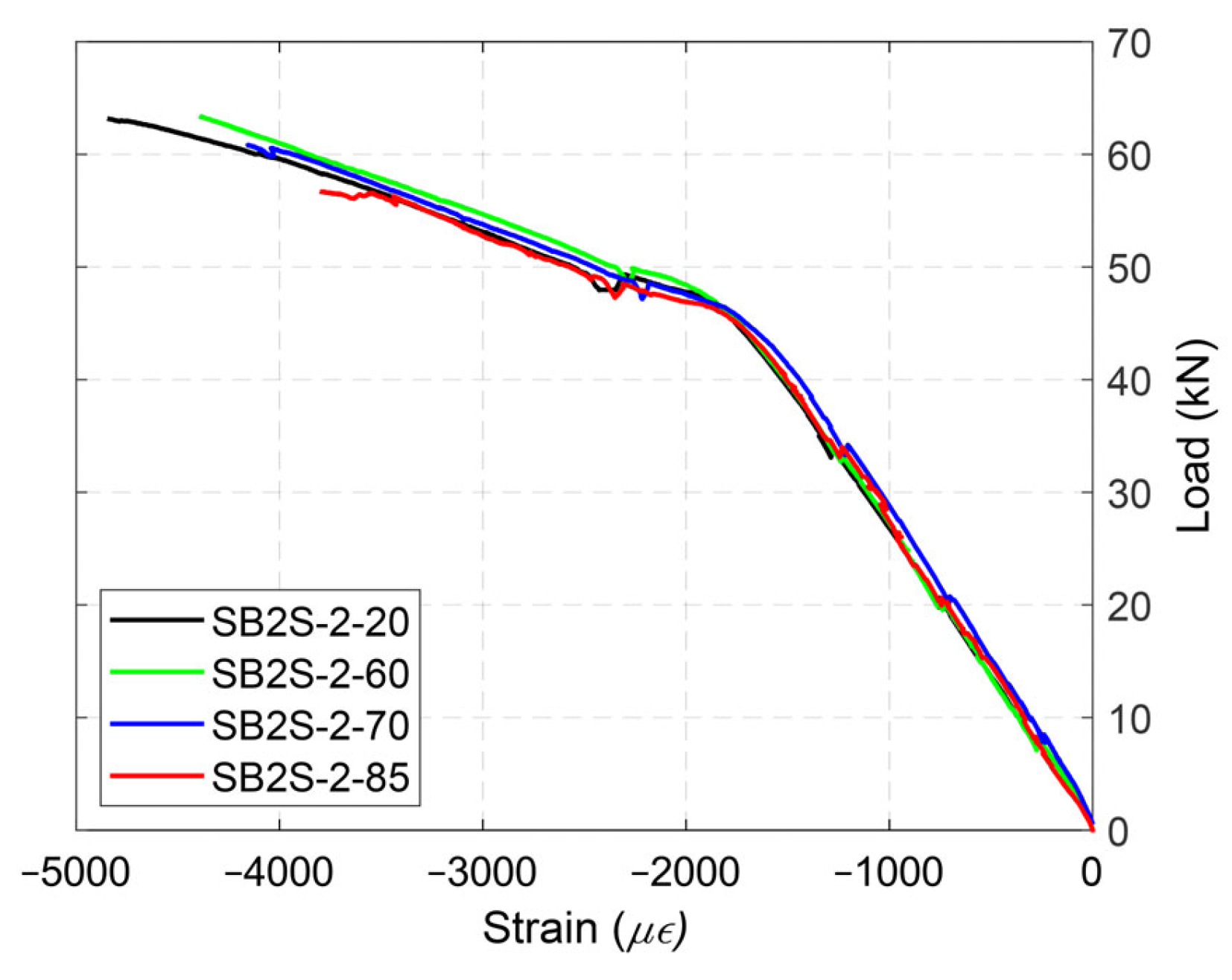
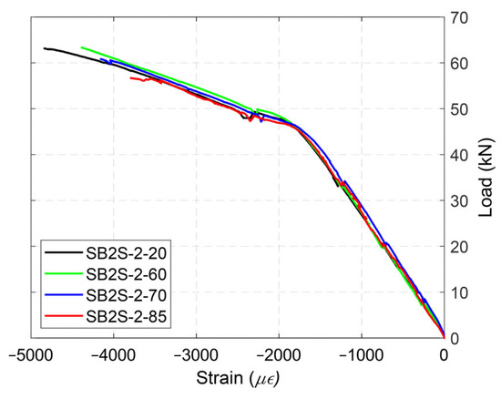
3.1. Experimental Load–Deflection Curves
3.2. Failure Modes
3.3. End Debonding Prediction
- Step 1: calculate the moment capacity of the unstrengthened beam at the yielding point of the steel reinforcement: My = PyL1/2, where L1 is shear span of the beam.
- Step 2: calculate the position of point X from the beam support, where the FRP strip is first required for load-bearing purposes: X = 2My/Pu.
- Step 3: calculate the actual strip force at a point corresponding to the yielding load of the control beam: Fact = εy,FRP EFRP AFRP, where εy,FRP is the CFRP strain at a level of load equal to the yielding load of the control beam of the same group, and EFRP and AFRP are CFRP modulus of elasticity and CFRP area, respectively.
- Step 4: calculate the available anchorage length considering the “shift rule”: Lb = X − a − 0.9d(cotθ − cotα)/2, where a is the distance between the support and end of the FRP strip, θ is the angle between the concrete compression strut and the beam axis perpendicular to the shear force, and α is the angle between the shear reinforcement and the beam axis perpendicular to the shear force. More information regarding to the “shift rule” can be found in Eurocode 2 [49].
- Step 5: calculate the design bond strength using Equation (2).
- Step 6: calculate the bond resistance of one CFRP strip using Equation (1) and multiply it by the number of CFRP strips.
- Step 7: calculate the ratio of actual strip force obtained from Step 3 to bond resistance obtained from Step 6 (Fact/Ffbd). If this ratio is greater than one, the actual force in the NSM strip is larger than the bond capacity predicted by Equation (1), indicating that the beam will fail due to premature end debonding. On the contrary, if the aforementioned ratio is less than one, the bond capacity would exceed the actual force in the NSM strip, indicating that the design is conservative and no end debonding would occur.
3.4. Limitations
4. Conclusions
- The obtained experimental results showed a good performance of the NSM technique to strengthen concrete structures for temperatures relatively close to the epoxy Tg.
- The capacity (ultimate load) of the strengthened specimens was not affected by testing temperatures equal to 40, 50, and 60 °C, whilst the application of testing temperatures higher than the Tg of the epoxy resulted in a reduction in beam capacity equal to 3.95% and 10.45% for beams SB2S-2-70 and SB2S-2-85, respectively.
- In all groups of specimens, the control (unstrengthened) beams failed by concrete crushing after yielding of the steel reinforcement. The application of different testing temperatures showed that strengthened beams subjected to 20, 40, 50, and 60 °C (near and in the lower range of the Tg of the epoxy) failed by FRP rupture, whilst the failure mode changed when the testing temperature was beyond the upper range of the Tg of the epoxy adhesive (i.e., 70 °C). This is evidence of the effect of temperature on the performance of the adhesive and the bond resistance between the adhesive and concrete and, therefore, on the failure mode of the strengthened flexural element.
- Analytical predictions on premature end debonding were compared to the experimental results and good agreement was found, thus confirming the capability of the analytical procedure to predict end debonding failure.
- The analytical procedure demonstrated that proneness to premature end debonding of the NSM joint is more pronounced for testing temperatures near the Tg of the epoxy adhesive, showing that temperature can be a key factor if the Tg of the epoxy adhesive is exceeded.
Author Contributions
Funding
Institutional Review Board Statement
Data Availability Statement
Acknowledgments
Conflicts of Interest
References
- De Lorenzis, L.; Teng, J.G. Near-surface mounted FRP reinforcement: An emerging technique for strengthening structures. Compos. Part B Eng. 2007, 38, 119–143. [Google Scholar] [CrossRef]
- Parretti, R.; Nanni, A. Strengthening of RC Members Using Near-Surface Mounted FRP Composites: Design Overview. Adv. Struct. Eng. 2004, 7, 469–483. [Google Scholar] [CrossRef]
- Pellegrino, C.; Sena-Cruz, J. Design Procedures for the Use of Composites in Strengthening of Reinforced Concrete Structures: State-of-the-Art Report of the Rilem Technical Committee 234-Duc; Springer: Dordrecht, The Netherlands, 2016; p. 392. [Google Scholar] [CrossRef]
- Firmo, J.; Roquette, M.; Correia, J.; Azevedo, A. Influence of elevated temperatures on epoxy adhesive used in CFRP strengthening systems for civil engineering applications. Int. J. Adhes. Adhes. 2019, 93, 102333. [Google Scholar] [CrossRef]
- Silva, P.; Fernandes, P.; Sena-Cruz, J.; Xavier, J.; Castro, F.; Soares, D.; Carneiro, V. Effects of different environmental conditions on the mechanical characteristics of a structural epoxy. Compos. Part B Eng. 2016, 88, 55–63. [Google Scholar] [CrossRef]
- Emara, M.; Torres, L.; Baena, M.; Barris, C.; Moawad, M. Effect of sustained loading and environmental conditions on the creep behavior of an epoxy adhesive for concrete structures strengthened with CFRP laminates. Compos. Part B Eng. 2017, 129, 88–96. [Google Scholar] [CrossRef]
- Michels, J.; Cruz, J.S.; Christen, R.; Czaderski, C.; Motavalli, M. Mechanical performance of cold-curing epoxy adhesives after different mixing and curing procedures. Compos. Part B Eng. 2016, 98, 434–443. [Google Scholar] [CrossRef]
- Jahani, Y.; Baena, M.; Barris, C.; Perera, R.; Torres, L. Influence of curing, post-curing and testing temperatures on mechanical properties of a structural adhesive. Constr. Build. Mater. 2022, 324, 126698. [Google Scholar] [CrossRef]
- ACI 440.2R-17; Guide for the Design and Construction of Externally Bonded FRP Systems for Strengthened Concrete Structure. American concrete Institute, ACI: Farmington Hills, MI, USA, 2017.
- Fib Bulletin 90. Externally applied FRP reinforcement for concrete structures; International Federation for Structural Concrete: Lausanne, Switzerland, 2019.
- Klamer, E.L. Influence of Temperature on Concrete Beams Strengthened in Flexure with CFRP. Ph.D. Thesis, TU Eindhoven, Eindhoven, The Netherlands, 2009. [Google Scholar]
- Michels, J.; Widmann, R.; Czaderski, C.; Allahvirdizadeh, R.; Motavalli, M. Glass transition evaluation of commercially available epoxy resins used for civil engineering applications. Compos. Part B Eng. 2015, 77, 484–493. [Google Scholar] [CrossRef]
- Ferrier, E.; Michel, L.; Jurkiewiez, B.; Hamelin, P. Creep behavior of adhesives used for external FRP strengthening of RC structures. Constr. Build. Mater. 2011, 25, 461–467. [Google Scholar] [CrossRef]
- Bisby, L.A.; Green, M. Resistance to Freezing and Thawing of Fiber-Reinforced Polymer-Concrete Bond. ACI Struct. J. 2002, 99, 215–223. [Google Scholar] [CrossRef]
- Leone, M.; Aiello, M.A.; Matthys, S. Effect of elevated service temperature on bond between FRP EBR systems and concrete. Compos. Part B Eng. 2009, 40, 85–93. [Google Scholar] [CrossRef]
- Firmo, J.P.; Correia, J.R.; Bisby, L.A. Fire behaviour of FRP-strengthened reinforced concrete structural elements: A state-of-the-art review. Compos. Part B Eng. 2015, 80, 198–216. [Google Scholar] [CrossRef]
- Azevedo, A.S.; Firmo, J.P.; Correia, J.R.; Tiago, C. Influence of elevated temperatures on the bond behaviour between concrete and NSM-CFRP strips. Cem. Concr. Compos. 2020, 111, 103603. [Google Scholar] [CrossRef]
- Klamer, E.L.; Dick, A.H.; Michael, C.J.H. The influence of temperature on RC beams strengthened with externally bonded CFRP reinforcement. Heron 2008, 53, 157–185. [Google Scholar]
- Krzywoń, R. Behavior of EBR FRP Strengthened Beams Exposed to Elevated Temperature. Procedia Eng. 2017, 193, 297–304. [Google Scholar] [CrossRef]
- El-Hacha, R.; Rizkalla, S.H. Near-Surface-Mounted Fiber-Reinforced Polymer Reinforcements for Flexural Strengthening of Concrete Structures. ACI Struct. J. 2004, 101, 717–726. [Google Scholar] [CrossRef]
- Singh, S.B.; Reddy, A.L.; Khatri, C.P. Experimental and Parametric Investigation of Response of NSM CFRP-Strengthened RC Beams. J. Compos. Constr. 2014, 18, 04013021. [Google Scholar] [CrossRef]
- Wu, G.; Dong, Z.-Q.; Wu, Z.-S.; Zhang, L.-W. Performance and Parametric Analysis of Flexural Strengthening for RC Beams with NSM-CFRP Bars. J. Compos. Constr. 2014, 18, 04013051. [Google Scholar] [CrossRef]
- Barris, C.; Sala, P.; Gómez, J.; Torres, L. Flexural behaviour of FRP reinforced concrete beams strengthened with NSM CFRP strips. Compos. Struct. 2020, 241, 112059. [Google Scholar] [CrossRef]
- Dias, S.; Barros, J.; Janwaen, W. Behavior of RC beams flexurally strengthened with NSM CFRP laminates. Compos. Struct. 2018, 201, 363–376. [Google Scholar] [CrossRef]
- Sharaky, I.; Baena, M.; Barris, C.; Sallam, H.; Torres, L. Effect of axial stiffness of NSM FRP reinforcement and concrete cover confinement on flexural behaviour of strengthened RC beams: Experimental and numerical study. Eng. Struct. 2018, 173, 987–1001. [Google Scholar] [CrossRef]
- Bonaldo, E.; de Barros, J.A.; Lourenço, P.B. Efficient Strengthening Technique to Increase the Flexural Resistance of Existing RC Slabs. J. Compos. Constr. 2008, 12, 149–159. [Google Scholar] [CrossRef]
- Yu, B.; Kodur, V. Fire behavior of concrete T-beams strengthened with near-surface mounted FRP reinforcement. Eng. Struct. 2014, 80, 350–361. [Google Scholar] [CrossRef]
- Palmieri, A.; Matthys, S.; Taerwe, L. Experimental investigation on fire endurance of insulated concrete beams strengthened with near surface mounted FRP bar reinforcement. Compos. Part B Eng. 2012, 43, 885–895. [Google Scholar] [CrossRef]
- Palmieri, A.; Matthys, S.; Taerwe, L. Fire Endurance and Residual Strength of Insulated Concrete Beams Strengthened with Near-Surface Mounted Reinforcement. J. Compos. Constr. 2013, 17, 454–462. [Google Scholar] [CrossRef]
- Burke, P.J.; Luke, A.B.; Mark, F.G. Effects of elevated temperature on near surface mounted and externally bonded FRP strengthening systems for concrete. Cem. Concr. Compos. 2013, 35, 190–199. [Google Scholar] [CrossRef]
- Carvelli, V.; Pisani, M.A.; Poggi, C. High temperature effects on concrete members reinforced with GFRP rebars. Compos. Part B: Eng. 2013, 54, 125–132. [Google Scholar] [CrossRef]
- Carlos, T.B.; Rodrigues, J.P.C.; de Lima, R.C.; Dhima, D. Experimental analysis on flexural behaviour of RC beams strengthened with CFRP laminates and under fire conditions. Compos. Struct. 2018, 189, 516–528. [Google Scholar] [CrossRef]
- Silva, P.; Escusa, G.G.; Sena-Cruz, J.; Azenha, M. Experimental investigation of RC slabs strengthened with NSM CFRP system subjected to elevated temperatures up to 80 °C. Proceeding of the 8th International Conference on Fibre-Reinforced Polymer (FRP) Composites in Civil Engineering, CICE, Hong Kong, China, 14–16 December 2016; Available online: http://hdl.handle.net/1822/43902 (accessed on 27 November 2022).
- Jahani, Y.; Baena, M.; Gómez, J.; Barris, C.; Torres, L. Experimental Study of the Effect of High Service Temperature on the Flexural Performance of Near-Surface Mounted (NSM) Carbon Fiber-Reinforced Polymer (CFRP)-Strengthened Concrete Beams. Polymers 2021, 13, 920. [Google Scholar] [CrossRef]
- UNE-EN 12390-3; Testing Hardened Concrete—Part 3: Compressive Strength of Test Specimens. AENOR: Madrid, Spain, 2003.
- UNE-EN 12390-6; Testing Hardened Concrete—Part 6: Tensile Splitting Strength of Test Specimens. AENOR: Madrid, Spain, 2010.
- ASTM C469/C469M-22; Standard Test Method for Static Modulus of Elasticity and Poisson’s Ratio of Concrete in Compression. ASTM International: West Conshohocken, PA, USA, 2022.
- UNE-EN ISO 15630-1; Steel for the Reinforcement and Prestressing of Concrete-Test Methods—Part 1: Reinforcing Bars, Wire Rod and Wire. AENOR: Madrid, Spain, 2011.
- S&P. S&P Cfrp Laminate, Technical Datasheet; S&P: Seewen, Switzerland, 2017. [Google Scholar]
- ISO 527-5; Plastics-Determination of Tensile Properties—Part 5: Test Conditions FOR Unidirectional Fibre-Reinforced Plastic Composites. ISO: Geneva, Switzerland, 2009.
- S&P. S&P Resin 220 HP Epoxy Adhesive, Technical Data Sheet; S&P: Seewen, Switzerland, 2019. [Google Scholar]
- ASTM E1356-08; Standard Test Method for Assignment of the Glass Transition Temperatures by Differential Scanning Calo-rimetry. ASTM International: West Conshohocken, PA, USA, 2008.
- ASTM D5023-15; Standard Test Method for Plastics: Dynamic Mechanical Properties: In Flexure (Three-Point Bending). ASTM International: West Conshohocken, PA, USA, 2015.
- ISO 527-1; Plastics-Determination of Tensile Properties—Part 1: General Principles. ISO: Geneva, Switzerland, 2012.
- EN 196-1; Methods of Testing Cement–Part 1: Determination of Strength. European Committee for Standardization: Brussels, Belgium, 1995.
- Teng, J.G.; De Lorenzis, L.; Wang, B.; Li, R.; Wong, T.N.; Lam, L. Debonding Failures of RC Beams Strengthened with Near Surface Mounted CFRP Strips. J. Compos. Constr. 2006, 10, 92–105. [Google Scholar] [CrossRef]
- Zilch, K.; Niedermeier, R.; Finckh, W. Strengthening of Concrete Structures with Adhesively Bonded Reinforcement: Design and Dimensioning of CFRP Laminates and Steel Plates; Ernst & Sons: Berlin, Germany, 2014. [Google Scholar]
- International Federation for Structural Concrete (fib). Fib Model Code for Concrete Structures 2010; John Wiley & Sons: New York, NY, USA, 2013. [Google Scholar]
- EN 1992-1-1; Eurocode 2. Design of Concrete Structures—Part 1-1: General Rules and Rules for Buildings. British Standard Institution: London, UK, 2004.











| Experimental Group | Beam ID | Testing Temperature (°C) | Steel Reinforcement Ratio, ρ (%) | Concrete Compressive Strength, fc (MPa) | No. of Strips | CFRP Area (mm2) | CFRP Ratio (%) |
|---|---|---|---|---|---|---|---|
| Group 1 | CB-1-20 | 20 | 1.14 | 31.8 | - | - | - |
| CB-1-40 | 40 | - | - | - | |||
| SB1S-1-20 | 20 | 1 | 14 | 0.06 | |||
| SB1S-1-40 | 40 | 1 | 14 | 0.06 | |||
| SB2S-1-20 | 20 | 2 | 28 | 0.12 | |||
| SB2S-1-40 | 40 | 2 | 28 | 0.12 | |||
| SB3S-1-20 | 20 | 3 | 42 | 0.18 | |||
| SB3S-1-40 | 40 | 3 | 42 | 0.18 | |||
| Group 2 | CB-2-20 | 20 | 1.14 | 40.8 | - | - | - |
| CB-2-70 | 70 | - | - | - | |||
| SB2S-2-20 | 20 | 2 | 28 | 0.12 | |||
| SB2S-2-60 | 60 | 2 | 28 | 0.12 | |||
| SB2S-2-70 | 70 | 2 | 28 | 0.12 | |||
| SB2S-2-85 | 85 | 2 | 28 | 0.12 | |||
| Group 3 | CB-3-20 | 20 | 0.79 | 48.1 | - | - | - |
| CB-3-50 | 50 | - | - | - | |||
| SB1S-3-20 | 20 | 1 | 14 | 0.06 | |||
| SB1S-3-50 | 50 | 1 | 14 | 0.06 | |||
| SB3S-3-20 | 20 | 3 | 42 | 0.18 | |||
| SB3S-3-50 | 50 | 3 | 42 | 0.18 | |||
| Group 4 | CB-4-20 | 20 | 1.14 | 48.1 | - | - | - |
| CB-4-50 | 50 | - | - | - | |||
| SB3S-4-20 | 20 | 3 | 42 | 0.18 | |||
| SB3S-4-50 | 50 | 3 | 42 | 0.18 |
| Batch Number | Group | Cement Type | Cement Content (kg/m3) | w/c a Ratio | Concrete Age (Days) | Compressive Strength, fc (MPa) | Tensile Strength, ft (MPa) | Modulus of Elasticity, Ec (GPa) |
|---|---|---|---|---|---|---|---|---|
| 1 | Group 1 | I-42.5R | 390 | 0.46 | 36 | 31.8 (6.6%) b | 4.2 (2.3%) b | 31.5 (7.8%) b |
| 2 | Group 2 | 333 | 0.48 | 37 | 40.8 (2.8%) b | 5.2 (0.5%) b | 29.4 (0.8%) b | |
| 3 | Group 3, 4 | 390 | 0.41 | 90 | 48.1 (2.3%) b | 3.7 (6.0%) b | 41.2 (5.3%) b |
| Group | Yielding Stress, fy (MPa) | Ultimate Stress, fu (MPa) | Modulus of Elasticity, Es (GPa) |
|---|---|---|---|
| Group 1, 2 | 573.2 (1.1%) a | 673.9 (0.8%) a | 200.8 (0.7%) a |
| Group 3, 4 | 586.4 (2.3%) a | 707.7 (1.7%) a | 205.1 (1.0%) a |
| Testing Temperature (°C) | Tensile Strength, ft,epoxy (MPa) | Tensile Modulus of Elasticity, Eepoxy (MPa) | Compressive Strength, fc,epoxy (MPa) |
|---|---|---|---|
| 20 | 28.0 (0.4%) a | 8102.4 (0.8%) a | 79.9 (0.1%) a |
| 40 | 23.0 (0.9%) a | 5520.8 (3.2%) a | 60.5 (4.3%) a |
| 50 | 19.6 (3.6%) a | 4289.6 (2.3%) a | 49.0 (1.2%) a |
| 60 | 6.9 (2.9%) a | 673.2 (3.6%) a | 44.2 (2.3%) a |
| 70 | 2.7 (3.7%) a | 271.5 (4.8%) a | 24.4 (0.4%) a |
| 85 | 1.9 (0.0%) a | 247.5 (0.7%) a | 9.9 (7.0%) a |
| Group | Beam ID | Cracking Load, Pcr (kN) | Yielding Load, Py (kN) | Ultimate Load, Pu (kN) | CFRP Strain at Yielding a, εy,FRP (mm/mm) | Ultimate CFRP Strain, εu,FRP (mm/mm) | Strength Increase Ratio b | Failure Mode |
|---|---|---|---|---|---|---|---|---|
| Group 1 | CB-1-20 | 6.53 | 39.90 | 41.87 | - | - | - | CC |
| CB-1-40 | 5.51 | 39.68 | 43.39 | - | - | - | CC | |
| SB1S-1-20 | 7.11 | 44.90 | 53.44 | 0.0038 | 0.0139 | 1.28 | FR | |
| SB1S-1-40 | 6.07 | 44.69 | 53.63 | 0.0040 | 0.0142 | 1.28 | FR | |
| SB2S-1-20 | 7.21 | 49.40 | 66.50 | 0.0033 | 0.0132 | 1.59 | FR | |
| SB2S-1-40 | 6.12 | 49.27 | 64.06 | 0.0035 | 0.0134 | 1.53 | FR | |
| SB3S-1-20 | 7.56 | 56.80 | 77.04 | 0.0032 | 0.0127 | 1.84 | FR | |
| SB3S-1-40 | 6.41 | 55.60 | 76.77 | 0.0028 | 0.0124 | 1.83 | FR | |
| Group 2 | CB-2-20 | 3.69 | 38.59 | 41.71 | - | - | - | CC |
| CB-2-70 | 2.12 | 37.76 | 40.26 | - | - | - | CC | |
| SB2S-2-20 | 4.79 | 48.21 | 63.36 | 0.0032 | 0.0131 | 1.52 | FR | |
| SB2S-2-60 | 2.09 | 47.88 | 63.39 | 0.0030 | 0.0119 | 1.52 | FR | |
| SB2S-2-70 | 1.82 | 46.70 | 60.86 | 0.0028 | 0.0103 | 1.46 | ED | |
| SB2S-2-85 | 1.68 | 46.47 | 56.72 | 0.0027 | 0.0100 | 1.36 | CC | |
| Group 3 | CB-3-20 | 7.43 | 30.75 | 34.28 | - | - | - | CC |
| CB-3-50 | 7.00 | 30.00 | 33.57 | - | - | - | CC | |
| SB1S-3-20 | 7.82 | 36.88 | 45.50 | 0.0042 | 0.0148 | 1.33 | FR | |
| SB1S-3-50 | 6.00 | 35.36 | 45.15 | 0.0037 | 0.0134 | 1.32 | FR | |
| SB3S-3-20 | 8.85 | 46.50 | 71.40 | 0.0029 | 0.0138 | 2.08 | FR | |
| SB3S-3-50 | 6.75 | 45.25 | 70.00 | 0.0028 | 0.0125 | 2.04 | FR | |
| Group 4 | CB-4-20 | 6.70 | 37.89 | 41.84 | - | - | - | CC |
| CB-4-50 | 5.95 | 38.71 | 42.10 | - | - | - | CC | |
| SB3S-4-20 | 9.60 | 53.36 | 75.10 | 0.0026 | 0.0123 | 1.79 | FR | |
| SB3S-4-50 | 8.20 | 51.00 | 77.68 | 0.0028 | 0.0132 | 1.86 | FR |
| Beam ID | Step 1 | Step 2 | Step 3 | Step 4 | Step 5 | Step 6 | Step 7 | ||
|---|---|---|---|---|---|---|---|---|---|
| My (kN.mm) | X (mm) | Fact (kN) | lb (mm) | τbak (MPa) | τbck (MPa) | min (τbak, τbck) (MPa) | Ffbd (kN) | Fact/Ffbd | |
| SB1S-1-20 | 14,962.5 | 560.0 | 9.0 | 328.3 | 22.9 | 21.6 | 21.6 | 21.8 | 0.39 |
| SB1S-1-40 | 14,880.0 | 554.9 | 9.4 | 323.2 | 17.7 | 20.9 | 17.7 | 17.8 | 0.53 |
| SB2S-1-20 | 14,962.5 | 450.0 | 15.7 | 218.3 | 22.9 | 21.6 | 21.6 | 32.2 | 0.46 |
| SB2S-1-40 | 14,880.0 | 464.6 | 16.4 | 232.9 | 17.7 | 20.9 | 17.7 | 26.9 | 0.61 |
| SB3S-1-20 | 14,962.5 | 388.4 | 22.8 | 156.7 | 22.9 | 21.6 | 21.6 | 41.0 | 0.52 |
| SB3S-1-40 | 14,880.0 | 387.7 | 20.0 | 155.9 | 17.7 | 20.9 | 17.7 | 33.7 | 0.59 |
| SB2S-2-20 | 14,471.3 | 456.8 | 15.0 | 225.1 | 22.9 | 24.4 | 22.9 | 34.5 | 0.44 |
| SB2S-2-60 | 14,160.0 | 446.8 | 14.1 | 215.0 | 10.1 | 22.9 | 10.1 | 15.0 | 0.94 |
| SB2S-2-70 | 14,160.0 | 465.3 | 13.2 | 233.6 | 5.0 | 22.5 | 5.0 | 7.6 | 1.75 |
| SB2S-2-85 | 14,160.0 | 499.3 | 13.0 | 267.6 | 2.4 | 21.9 | 2.4 | 3.8 | 3.40 |
| SB1S-3-20 | 11,531.3 | 506.9 | 9.9 | 275.2 | 22.9 | 26.5 | 22.9 | 21.5 | 0.46 |
| SB1S-3-50 | 11,250.0 | 498.3 | 8.8 | 266.6 | 14.5 | 25.3 | 14.5 | 13.4 | 0.65 |
| SB3S-3-20 | 11,531.3 | 323.0 | 20.9 | 91.3 | 22.9 | 26.5 | 22.9 | 38.2 | 0.55 |
| SB3S-3-50 | 11,250.0 | 321.4 | 20.0 | 89.7 | 14.5 | 25.3 | 14.5 | 23.9 | 0.84 |
| SB3S-4-20 | 14,208.8 | 378.4 | 18.9 | 146.7 | 22.9 | 26.5 | 22.9 | 43.1 | 0.44 |
| SB3S-4-50 | 14,516.3 | 373.7 | 20.2 | 142.0 | 14.5 | 25.3 | 14.5 | 27.2 | 0.74 |
Disclaimer/Publisher’s Note: The statements, opinions and data contained in all publications are solely those of the individual author(s) and contributor(s) and not of MDPI and/or the editor(s). MDPI and/or the editor(s) disclaim responsibility for any injury to people or property resulting from any ideas, methods, instructions or products referred to in the content. |
© 2023 by the authors. Licensee MDPI, Basel, Switzerland. This article is an open access article distributed under the terms and conditions of the Creative Commons Attribution (CC BY) license (https://creativecommons.org/licenses/by/4.0/).
Share and Cite
Baena, M.; Jahani, Y.; Torres, L.; Barris, C.; Perera, R. Flexural Performance and End Debonding Prediction of NSM Carbon FRP-Strengthened Reinforced Concrete Beams under Different Service Temperatures. Polymers 2023, 15, 851. https://doi.org/10.3390/polym15040851
Baena M, Jahani Y, Torres L, Barris C, Perera R. Flexural Performance and End Debonding Prediction of NSM Carbon FRP-Strengthened Reinforced Concrete Beams under Different Service Temperatures. Polymers. 2023; 15(4):851. https://doi.org/10.3390/polym15040851
Chicago/Turabian StyleBaena, Marta, Younes Jahani, Lluís Torres, Cristina Barris, and Ricardo Perera. 2023. "Flexural Performance and End Debonding Prediction of NSM Carbon FRP-Strengthened Reinforced Concrete Beams under Different Service Temperatures" Polymers 15, no. 4: 851. https://doi.org/10.3390/polym15040851
APA StyleBaena, M., Jahani, Y., Torres, L., Barris, C., & Perera, R. (2023). Flexural Performance and End Debonding Prediction of NSM Carbon FRP-Strengthened Reinforced Concrete Beams under Different Service Temperatures. Polymers, 15(4), 851. https://doi.org/10.3390/polym15040851

