Tuning the Ferroelectric Response of Sandwich-Structured Nanocomposites with the Coordination of Ba0.6Sr0.4TiO3 Nanoparticles and Boron Nitride Nanosheets to Achieve Excellent Discharge Energy Density and Efficiency
Abstract
1. Introduction
2. Experimental Section
2.1. Raw Materials
2.2. Fabrication of Ba0.6Sr0.4TiO3 Nanoparticles
2.3. Preparation of Ba0.6Sr0.4TiO3@DA Nanoparticles
2.4. Preparation of Boron Nitride Nanosheets
2.5. Preparation of Sandwich-Structured Composite Films
2.6. Characterization
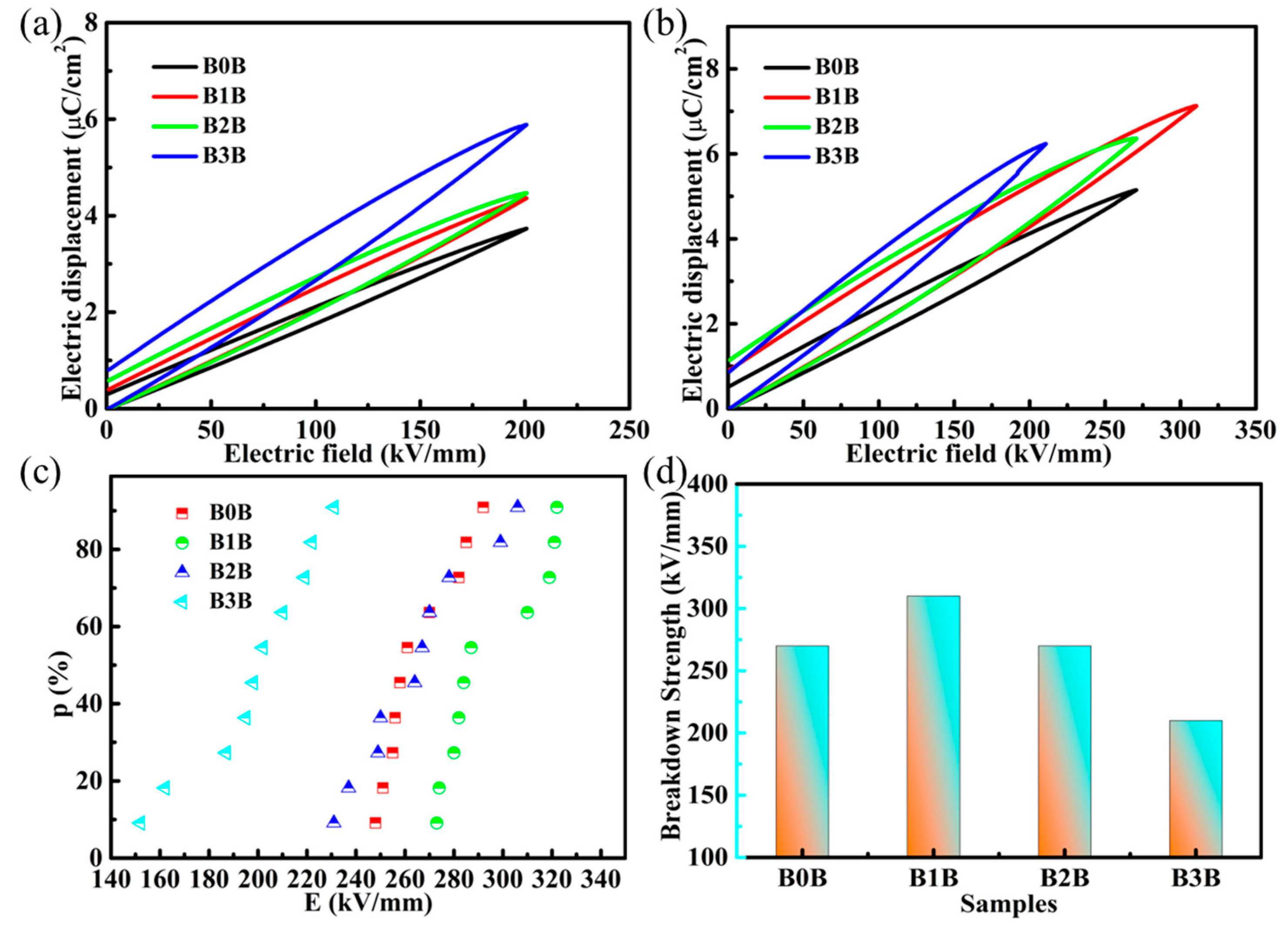
3. Results and Discussion
4. Conclusions
Supplementary Materials
Author Contributions
Funding
Institutional Review Board Statement
Informed Consent Statement
Data Availability Statement
Conflicts of Interest
References
- Chu, B.J.; Zhou, X.; Ren, K.L.; Neese, B.; Lin, M.R.; Wang, Q.; Bauer, F.; Zhang, Q.M. A dielectric polymer with high electric energy density and fast discharge speed. Science 2006, 313, 334–336. [Google Scholar] [CrossRef] [PubMed]
- Shen, X.; Zheng, Q.; Kim, J.-K. Rational design of two-dimensional nanofillers for polymer nanocomposites toward multifunctional applications. Prog. Mater. Sci. 2021, 115, 100708. [Google Scholar] [CrossRef]
- Chen, J.; Wang, Y.; Yuan, Q.; Xu, X.; Niu, Y.; Wang, Q.; Wang, H. Multilayered ferroelectric polymer films incorporating low-dielectric-constant components for concurrent enhancement of energy density and charge-discharge efficiency. Nano Energy 2018, 54, 288–296. [Google Scholar] [CrossRef]
- Chi, Q.; Zhou, Y.; Feng, Y.; Cui, Y.; Zhang, Y.; Zhang, T.; Chen, Q. Excellent energy storage performance of polyetherimide filled by oriented nano fibers with optimized diameters. Mater. Today Energy 2020, 18, 100516. [Google Scholar] [CrossRef]
- Martins, P.; Lopes, A.C.; Lanceros-Mendez, S. Electroactive phases of poly(vinylidene fluoride): Determination, processing and applications. Prog. Polym. Sci. 2014, 39, 683–706. [Google Scholar] [CrossRef]
- Feng, Q.-K.; Zhong, S.-L.; Pei, J.-Y.; Zhao, Y.; Zhang, D.-L.; Liu, D.-F.; Zhang, Y.-X.; Dang, Z.-M. Recent Progress and Future Prospects on All-Organic Polymer Dielectrics for Energy Storage Capacitors. Chem. Rev. 2022, 122, 3820–3878. [Google Scholar] [CrossRef]
- Yi, Z.; Wang, Z.; Nian, W.; Wang, T.; Chen, H.; Cheng, Z. High Energy Storage Density of Sandwich-Structured Na0.5Bi0.5TiO3/PVDF Nanocomposites Enhanced by Optimizing the Dimensions of Fillers. ACS Appl. Energy Mater. 2021, 4, 13528–13537. [Google Scholar] [CrossRef]
- Jiang, J.; Shen, Z.; Cai, X.; Qian, J.; Dan, Z.; Lin, Y.; Liu, B.; Nan, C.-W.; Chen, L.; Shen, Y. Polymer Nanocomposites with Interpenetrating Gradient Structure Exhibiting Ultrahigh Discharge Efficiency and Energy Density. Adv. Energy Mater. 2019, 9, 1803411. [Google Scholar] [CrossRef]
- Khanchaitit, P.; Han, K.; Gadinski, M.R.; Li, Q.; Wang, Q. Ferroelectric polymer networks with high energy density and improved discharged efficiency for dielectric energy storage. Nat. Commun. 2013, 4, 2845. [Google Scholar] [CrossRef]
- Sun, S.; Shi, Z.; Liang, L.; Li, T.; Zhang, S.; Xu, W.; Han, M.; Zhang, M. Simultaneous Realization of Significantly Enhanced Breakdown Strength and Moderately Enhanced Permittivity in Layered PMMA/P(VDF-HFP) Nanocomposites via Inserting an Al2O3/P(VDF-HFP) Layer. J. Phys. Chem. C 2021, 125, 22379–22387. [Google Scholar] [CrossRef]
- Diao, C.; Liu, H.; Zheng, H.; Yao, Z.; Iqbal, J.; Cao, M.; Hao, H. Enhanced energy storage properties of BaTiO3 thin films by Ba0.4Sr0.6TiO3 layers modulation. J. Alloys Compd. 2018, 765, 362–368. [Google Scholar] [CrossRef]
- Chen, Q.; Shen, Y.; Zhang, S.H.; Zhang, Q.M. Polymer-Based Dielectrics with High Energy Storage Density. Annu. Rev. Mater. Res. 2015, 45, 433–458. [Google Scholar] [CrossRef]
- Pan, Z.; Yao, L.; Zhai, J.; Yao, X.; Chen, H. Interfacial Coupling Effect in Organic/Inorganic Nanocomposites with High Energy Density. Adv. Mater. 2018, 30, 1705662. [Google Scholar] [CrossRef] [PubMed]
- Hu, J.; Zhang, S.; Tang, B. 2D filler-reinforced polymer nanocomposite dielectrics for high-k dielectric and energy storage applications. Energy Storage Mater. 2021, 34, 260–281. [Google Scholar] [CrossRef]
- Li, H.; Ren, L.; Zhou, Y.; Yao, B.; Wang, Q. Recent progress in polymer dielectrics containing boron nitride nanosheets for high energy density capacitors. High Volt. 2020, 5, 365–376. [Google Scholar] [CrossRef]
- Hu, H.; Zhang, F.; Luo, S.; Chang, W.; Yue, J.; Wang, C.-H. Recent advances in rational design of polymer nanocomposite dielectrics for energy storage. Nano Energy 2020, 74, 104844. [Google Scholar] [CrossRef]
- Cui, Y.; Zhang, T.; Feng, Y.; Zhang, C.; Chi, Q.; Zhang, Y.; Chen, Q.; Wang, X.; Lei, Q. Excellent energy storage density and efficiency in blend polymer-based composites by design of core-shell structured inorganic fibers and sandwich structured films. Compos. Part B Eng. 2019, 177, 107429. [Google Scholar] [CrossRef]
- Li, Q.; Zhang, G.Z.; Liu, F.H.; Han, K.; Gadinski, M.R.; Xiong, C.X.; Wang, Q. Solution-processed ferroelectric terpolymer nanocomposites with high breakdown strength and energy density utilizing boron nitride nanosheets. Energy Environ. Sci. 2015, 8, 922–931. [Google Scholar] [CrossRef]
- Pan, Z.; Zhai, J.; Shen, B. Multilayer hierarchical interfaces with high energy density in polymer nanocomposites composed of BaTiO3@TiO2@Al2O3 nanofibers. J. Mater. Chem. A 2017, 5, 15217–15226. [Google Scholar] [CrossRef]
- Li, Y.; Zhou, Y.; Zhu, Y.; Cheng, S.; Yuan, C.; Hu, J.; He, J.; Li, Q. Polymer nanocomposites with high energy density and improved charge-discharge efficiency utilizing hierarchically-structured nanofillers. J. Mater. Chem. A 2020, 8, 6576–6585. [Google Scholar] [CrossRef]
- Bai, H.; Zhu, K.; Wang, Z.; Shen, B.; Zhai, J. 2D Fillers Highly Boost the Discharge Energy Density of Polymer-Based Nanocomposites with Trilayered Architecture. Adv. Funct. Mater. 2021, 31, 2102646. [Google Scholar] [CrossRef]
- Pan, Z.; Ding, Q.; Yao, L.; Huang, S.; Xing, S.; Liu, J.; Chen, J.; Zhai, J. Simultaneously enhanced discharge energy density and efficiency in nanocomposite film capacitors utilizing two-dimensional NaNbO3@Al2O3 platelets. Nanoscale 2019, 11, 10546–10554. [Google Scholar] [CrossRef] [PubMed]
- Sun, L.; Shi, Z.; He, B.; Wang, H.; Liu, S.; Huang, M.; Shi, J.; Dastan, D.; Wang, H. Asymmetric Trilayer All-Polymer Dielectric Composites with Simultaneous High Efficiency and High Energy Density: A Novel Design Targeting for Advanced Energy Storage Capacitors. Adv. Funct. Mater. 2021, 31, 2100280. [Google Scholar] [CrossRef]
- Cheng, Y.; Pan, Z.; Bai, H.; Chen, H.; Yao, L.; Ding, X.; Shi, S.; Liu, J.; Xie, Z.; Xu, J.; et al. Two-Dimensional Fillers Induced Superior Electrostatic Energy Storage Performance in Trilayered Architecture Nanocomposites. ACS Appl. Mater. Interfaces 2022, 14, 8448–8457. [Google Scholar] [CrossRef] [PubMed]
- Chi, Q.; Ma, T.; Zhang, Y.; Chen, Q.; Zhang, C.; Cui, Y.; Zhang, T.; Lin, J.; Wang, X.; Lei, Q. Excellent Energy Storage of Sandwich-Structured PVDF-Based Composite at Low Electric Field by Introduction of the Hybrid CoFe2O4@BZT-BCT Nanofibers. ACS Sustain. Chem. Eng. 2018, 6, 403–412. [Google Scholar] [CrossRef]
- Sun, Q.; Wang, J.; Sun, H.; He, L.; Zhang, L.; Mao, P.; Zhang, X.; Kang, F.; Wang, Z.; Kang, R.; et al. Simultaneously enhanced energy density and discharge efficiency of layer-structured nanocomposites by reasonably designing dielectric differences between BaTiO3@SiO2/PVDF layers and BNNSs/PVDF-PMMA layers. Compos. Part A Appl. Sci. Manuf. 2021, 149, 106546. [Google Scholar] [CrossRef]
- Hu, P.H.; Shen, Y.; Guan, Y.H.; Zhang, X.H.; Lin, Y.H.; Zhang, Q.M.; Nan, C.W. Topological-Structure Modulated Polymer Nanocomposites Exhibiting Highly Enhanced Dielectric Strength and Energy Density. Adv. Funct. Mater. 2014, 24, 3172–3178. [Google Scholar] [CrossRef]
- Li, Z.; Shen, Z.; Yang, X.; Zhu, X.; Zhou, Y.; Dong, L.; Xiong, C.; Wang, Q. Ultrahigh charge-discharge efficiency and enhanced energy density of the sandwiched polymer nanocomposites with poly(methyl methacrylate) layer. Compos. Sci. Technol. 2021, 202, 108591. [Google Scholar] [CrossRef]
- Xu, W.; Liu, J.; Chen, T.; Jiang, X.; Qian, X.; Zhang, Y.; Jiang, Z.; Zhang, Y. Bioinspired Polymer Nanocomposites Exhibit Giant Energy Density and High Efficiency at High Temperature. Small 2019, 15, 1901582. [Google Scholar] [CrossRef]
- Li, Z.; Liu, F.; Li, H.; Ren, L.; Dong, L.; Xiong, C.; Wang, Q. Largely enhanced energy storage performance of sandwich-structured polymer nanocomposites with synergistic inorganic nanowires. Ceram. Int. 2019, 45, 8216–8221. [Google Scholar] [CrossRef]
- Zhu, D.; Zhao, J.; Yang, Z.; Guo, H.; Gao, L. Graphene Oxide/Polyimide Composites with High Energy Storage Density Based on Multilayer Structure. Chem. J. Chin. Univ. Chin. 2021, 42, 2694–2700. [Google Scholar] [CrossRef]
- Wang, Y.; Wang, L.; Yuan, Q.; Niu, Y.; Chen, J.; Wang, Q.; Wang, H. Ultrahigh electric displacement and energy density in gradient layer-structured BaTiO3/PVDF nanocomposites with an interfacial barrier effect. J. Mater. Chem. A 2017, 5, 10849–10855. [Google Scholar] [CrossRef]
- Huang, Y.H.; Wang, J.J.; Yang, T.N.; Wu, Y.J.; Chen, X.M.; Chen, L.Q. A thermodynamic potential, energy storage performances, and electrocaloric effects of Ba1-xSrxTiO3 single crystals. Appl. Phys. Lett. 2018, 112, 102901. [Google Scholar] [CrossRef]
- Chen, S.; Xu, R.; Liu, J.; Zou, X.; Qiu, L.; Kang, F.; Liu, B.; Cheng, H.-M. Simultaneous Production and Functionalization of Boron Nitride Nanosheets by Sugar-Assisted Mechanochemical Exfoliation. Adv. Mater. 2019, 31, 1804810. [Google Scholar] [CrossRef] [PubMed]
- Feng, M.; Feng, Y.; Zhang, T.; Li, J.; Chen, Q.; Chi, Q.; Lei, Q. Recent Advances in Multilayer-Structure Dielectrics for Energy Storage Application. Adv. Sci. 2021, 8, 2102221. [Google Scholar] [CrossRef]
- Chen, J.; Liu, J.; Cai, L.; Wang, C.; Liu, L.; Yang, Q.; Xiong, C. Incorporation of elaborately Synthesized BNNSs by a mild mechanical stirring process for the concurrent enhancement of thermal conductivity and dielectric breakdown strength of PVDF. Compos. Sci. Technol. 2020, 200, 108381. [Google Scholar] [CrossRef]
- Marwat, M.A.; Ma, W.; Fan, P.; Elahi, H.; Samart, C.; Nan, B.; Tan, H.; Salamon, D.; Ye, B.; Zhang, H. Ultrahigh energy density and thermal stability in sandwich-structured nanocomposites with dopamine@Ag@BaTiO3. Energy Storage Mater. 2020, 31, 492–504. [Google Scholar] [CrossRef]
- Nakafuku, C.; Yasuniwa, M. Melting and Crystallization of Poly(vinylidene fluoride) in the Blend with Poly(methyl methacrylate) under High Pressure. Polym. J. 1987, 19, 845–853. [Google Scholar] [CrossRef][Green Version]
- Zhang, Y.; Zhang, C.; Feng, Y.; Zhang, T.; Chen, Q.; Chi, Q.; Liu, L.; Wang, X.; Lei, Q. Energy storage enhancement of P(VDF-TrFE-CFE)-based composites with double-shell structured BZCT nanofibers of parallel and orthogonal configurations. Nano Energy 2019, 66, 104195. [Google Scholar] [CrossRef]
- Zhu, L.; Zhang, Y.; Xu, W.; Zhu, X.; Niu, S.; Zhang, Y.; Jiang, Z. Crosslinked polyetherimide nanocomposites with superior energy storage achieved via trace Al2O3 nanoparticles. Compos. Sci. Technol. 2022, 223, 109421. [Google Scholar] [CrossRef]
- Wang, C.; He, G.; Chen, S.; Luo, H.; Yang, Y.; Zhang, D. Achieving high breakdown strength and energy density in all-organic sandwich-structured dielectrics by introducing polyacrylate elastomers. J. Mater. Chem. A 2022, 10, 9103–9113. [Google Scholar] [CrossRef]








Disclaimer/Publisher’s Note: The statements, opinions and data contained in all publications are solely those of the individual author(s) and contributor(s) and not of MDPI and/or the editor(s). MDPI and/or the editor(s) disclaim responsibility for any injury to people or property resulting from any ideas, methods, instructions or products referred to in the content. |
© 2023 by the authors. Licensee MDPI, Basel, Switzerland. This article is an open access article distributed under the terms and conditions of the Creative Commons Attribution (CC BY) license (https://creativecommons.org/licenses/by/4.0/).
Share and Cite
Yi, Z.; Wang, Z.; Wu, D.; Xue, Y. Tuning the Ferroelectric Response of Sandwich-Structured Nanocomposites with the Coordination of Ba0.6Sr0.4TiO3 Nanoparticles and Boron Nitride Nanosheets to Achieve Excellent Discharge Energy Density and Efficiency. Polymers 2023, 15, 3642. https://doi.org/10.3390/polym15173642
Yi Z, Wang Z, Wu D, Xue Y. Tuning the Ferroelectric Response of Sandwich-Structured Nanocomposites with the Coordination of Ba0.6Sr0.4TiO3 Nanoparticles and Boron Nitride Nanosheets to Achieve Excellent Discharge Energy Density and Efficiency. Polymers. 2023; 15(17):3642. https://doi.org/10.3390/polym15173642
Chicago/Turabian StyleYi, Zhihui, Zhuo Wang, Dan Wu, and Ying Xue. 2023. "Tuning the Ferroelectric Response of Sandwich-Structured Nanocomposites with the Coordination of Ba0.6Sr0.4TiO3 Nanoparticles and Boron Nitride Nanosheets to Achieve Excellent Discharge Energy Density and Efficiency" Polymers 15, no. 17: 3642. https://doi.org/10.3390/polym15173642
APA StyleYi, Z., Wang, Z., Wu, D., & Xue, Y. (2023). Tuning the Ferroelectric Response of Sandwich-Structured Nanocomposites with the Coordination of Ba0.6Sr0.4TiO3 Nanoparticles and Boron Nitride Nanosheets to Achieve Excellent Discharge Energy Density and Efficiency. Polymers, 15(17), 3642. https://doi.org/10.3390/polym15173642

