Biodegradation Behavior of Degradable Mulch with Poly (Butylene Adipate-co-Terephthalate) (PBAT) and Poly (Butylene Succinate) (PBS) in Simulation Marine Environment
Abstract
:1. Introduction
2. Experimental
2.1. Materials
2.2. Biodegradation of Mulch in Simulation Marine Environment
2.3. Characterization
2.3.1. Scanning Electron Microscopy (SEM)
2.3.2. Differential Scanning Calorimetry (DSC)
2.3.3. Thermogravimetric Analysis (TGA)
2.3.4. Gel Permeation Chromatography (GPC)
2.3.5. Fourier Transform Infrared Spectroscopy (FTIR)
2.3.6. X-ray Photoelectron Spectroscopy (XPS)
2.3.7. The Degradation Rate Measured with the CO2 Release Amount
3. Results and Discussion
3.1. Micromorphology of Degraded Specimens
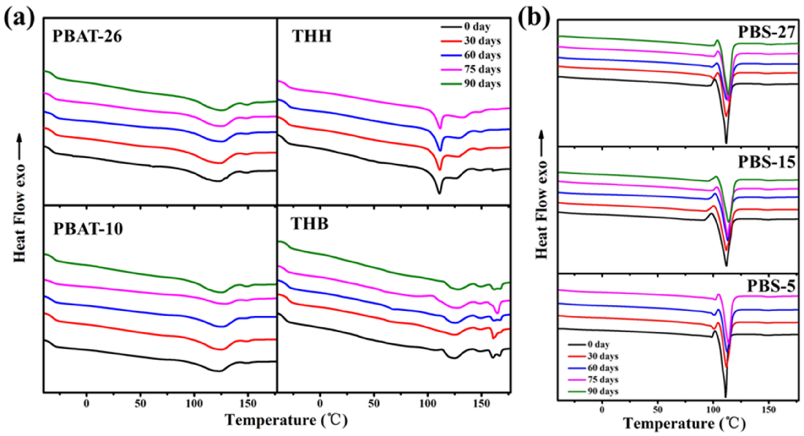
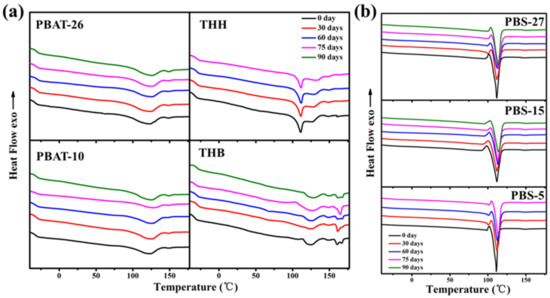
3.2. The Changes of Thermal Properties and Aggregation Structure
3.3. Chemical Structure of Degraded Specimens
3.4. Degradation Rate of PBAT and PBS Mulch Films
4. Conclusions
Author Contributions
Funding
Institutional Review Board Statement
Informed Consent Statement
Acknowledgments
Conflicts of Interest
References
- Martínez-Camacho, A.P.; Cortez-Rocha, M.O.; Graciano-Verdugo, A.Z.; Rodríguez-Félix, F.; Castillo-Ortega, M.M.; Burgos-Hernández, A.; Ezquerra-Brauer, J.M.; Plascencia-Jatomea, M. Extruded films of blended chitosan, low density polyethylene and ethylene acrylic acid. Carbohydr. Polym. 2013, 91, 666–674. [Google Scholar] [CrossRef] [PubMed]
 - Weng, Y.-X.; Jin, Y.-J.; Meng, Q.-Y.; Wang, L.; Zhang, M.; Wang, Y.-Z. Biodegradation behavior of poly(butylene adipate-co-terephthalate) (PBAT), poly(lactic acid) (PLA), and their blend under soil conditions. Polym. Test. 2013, 32, 918–926. [Google Scholar] [CrossRef]
 - Jambeck, J.R.; Geyer, R.; Wilcox, C.; Siegler, T.R.; Perryman, M.; Andrady, A.; Narayan, R.; Law, K.L. Plastic waste inputs from land into the ocean. Science 2015, 6223, 768–771. [Google Scholar] [CrossRef] [PubMed]
 - Manfra, L.; Marengo, V.; Libralato, G.; Costantini, M.; De Falco, F.; Cocca, M. Biodegradable polymers: A real opportunity to solve marine plastic pollution? J. Hazard. Mater. 2021, 416, 125763. [Google Scholar] [CrossRef]
 - Vieira, M.G.A.; da Silva, M.A.; Dos Santos, L.O.; Beppu, M.M. Natural-based plasticizers and biopolymer films: A review. Eur. Polym. J. 2011, 47, 254–263. [Google Scholar] [CrossRef] [Green Version]
 - Tabasi, R.Y.; Ajji, A. Selective degradation of biodegradable blends in simulated laboratory composting. Polym. Degrad. Stab. 2015, 120, 435–442. [Google Scholar] [CrossRef]
 - Sun, Z.; Jiang, Z.; Qiu, Z. Thermal, crystallization and mechanical properties of branched Poly(butylene succinate) copolymers with 1,2-decanediol being the comonomer. Polymer 2021, 213, 123197. [Google Scholar] [CrossRef]
 - García-Depraect, O.; Bordel, S.; Lebrero, R.; Santos-Beneit, F.; Börner, R.A.; Börner, T.; Muñoz, R. Inspired by nature: Microbial production, degradation and valorization of biodegradable bioplastics for life-cycle-engineered products. Biotechnol. Adv. 2021, 53, 107772. [Google Scholar] [CrossRef]
 - Anugrahwidya, R.; Armynah, B.; Tahir, D. Bioplastics Starch-Based with Additional Fiber and Nanoparticle: Characteristics and Biodegradation Performance: A Review. J. Polym. Environ. 2021, 29, 3459–3476. [Google Scholar] [CrossRef]
 - Ferreira, F.V.; Cividanes, L.S.; Gouveia, R.F.; Lona, L.M. An overview on properties and applications of poly(butylene adipate-co-terephthalate)-PBAT based composites. Polym. Eng. Sci. 2019, 59, E7–E15. [Google Scholar] [CrossRef] [Green Version]
 - Zhang, M.; Jia, H.; Weng, Y.-X.; Li, C. Biodegradable PLA/PBAT mulch on microbial community structure in different soils. Int. Biodeterior. Biodegrad. 2019, 145, 104817. [Google Scholar] [CrossRef]
 - Souza, P.M.S.; Sommaggio, L.R.D.; Marin-Morales, M.A.; Morales, A.R. PBAT biodegradable mulch films: Study of ecotoxicological impacts using Allium cepa, Lactuca sativa and HepG2/C3A cell culture. Chemosphere 2020, 256, 126985. [Google Scholar] [CrossRef]
 - Serrano-Ruiz, H.; Martín-Closas, L.; Pelacho, A.M. Application of an in vitro plant ecotoxicity test to unused biodegradable mulches. Polym. Degrad. Stab. 2018, 158, 102–110. [Google Scholar] [CrossRef]
 - Al-Itry, R.; Lamnawar, K.; Maazouz, A. Improvement of thermal stability, rheological and mechanical properties of PLA, PBAT and their blends by reactive extrusion with functionalized epoxy. Polym. Degrad. Stab. 2012, 97, 1898–1914. [Google Scholar] [CrossRef]
 - Tokiwa, Y.; Calabia, B.P.; Ugwu, C.U.; Aiba, S. Biodegradability of plastics. Int. J. Mol. Sci. 2009, 10, 3722–3742. [Google Scholar] [CrossRef]
 - Gigli, M.; Fabbri, M.; Lotti, N.; Gamberini, R.; Rimini, B.; Munari, A. Poly(butylene succinate)-based polyesters for biomedical applications: A review. Eur. Polym. J. 2016, 75, 431–460. [Google Scholar] [CrossRef]
 - Bi, S.; Tan, B.; Soule, J.L.; Sobkowicz, M.J. Enzymatic degradation of poly (butylene succinate-co-hexamethylene succinate). Polym. Degrad. Stab. 2018, 155, 9–14. [Google Scholar] [CrossRef]
 - Lucas, N.; Bienaime, C.; Belloy, C.; Queneudec, M.; Silvestre, F.; Nava-Saucedo, J.-E. Polymer biodegradation: Mechanisms and estimation techniques: A review. Chemosphere 2008, 73, 429–442. [Google Scholar] [CrossRef]
 - Ali, S.S.; Elsamahy, T.; Koutra, E.; Kornaros, M.; El-Sheekh, M.; Abdelkarim, E.A.; Zhu, D.; Sun, J. Degradation of conventional plastic wastes in the environment: A review on current status of knowledge and future perspectives of disposal. Sci. Total Environ. 2021, 771, 144719. [Google Scholar] [CrossRef]
 - Briassoulis, D.; Dejean, C.; Picuno, P. Critical Review of Norms and Standards for Biodegradable Agricultural Plastics Part II: Composting. J. Polym. Environ. 2010, 18, 364–383. [Google Scholar] [CrossRef]
 - Soulenthonea, P.; Tachibanaa, Y.; Suzuki, M.; Mizunoa, T.; Ohta, Y.; Kasuya, K. Characterization of a poly(butylene adipate-co-terephthalate) hydrolase from the mesophilic actinobacteria Rhodococcus fascians. Polym. Degrad. Stab. 2021, 184, 109481. [Google Scholar] [CrossRef]
 - Briassoulis, D.; Pikasi, A.; Papardaki, N.G.; Mistriotis, A. Aerobic biodegradation of bio-based plastics in the seawater/sediment interface (sublittoral) marine environment of the coastal zone—Test method under controlled laboratory conditions. Sci. Total Environ. 2020, 722, 137748. [Google Scholar] [CrossRef]
 - Lott, C.; Eich, A.; Unger, B.; Makarow, D.; Battagliarin, G.; Schlegel, K.; Lasut, M.T.; Weber, M. Field and mesocosm methods to test biodegradable plastic film under marine conditions. PLoS ONE 2020, 15, e0236579. [Google Scholar] [CrossRef]
 - Dilkes-Hoffman, L.S.; Lant, P.A.; Laycock, B.; Pratt, S. The rate of biodegradation of PHA bioplastics in the marine environment: A meta-study. Mar. Pollut. Bull. 2019, 142, 15–24. [Google Scholar] [CrossRef]
 - Harrison, J.P.; Boardman, C.; O’Callaghan, K.; Delort, A.-M.; Song, J. Biodegradability standards for carrier bags and plastic films in aquatic environments: A critical review. R. Soc. Open Sci. 2018, 5, 171792. [Google Scholar] [CrossRef] [Green Version]
 - Briassoulis, D.; Pikasi, A.; Briassoulis, C.; Mistriotis, A. Disintegration behaviour of bio-based plastics in coastal zone marine environments: A field experiment under natural conditions. Sci. Total Environ. 2019, 688, 208–223. [Google Scholar] [CrossRef] [PubMed]
 - Pitt, C.G.; Gu, Z. Modification of the rates of chain cleavage of poly (ϵ-caprolactone) and related polyesters in the solid state. J. Control. Release 1987, 4, 283–292. [Google Scholar] [CrossRef]
 - Lv, Z.-Y.; Zhang, M.C.; Guo, B.-H.; Xu, J. Study on melting and recrystallization of poly(butylene succinate) lamellar crystals via step heating differential scanning calorimetry. Chin. J. Polym. Sci. 2017, 35, 1552–1560. [Google Scholar] [CrossRef]
 






| 0 Day | 30 Days | 60 Days | 75 Days | 90 Days | |
|---|---|---|---|---|---|
| PBAT-26 | 11.8 | 13.4 | 17.2 | 18.9 | 20.7 | 
| PBAT-10 | 21.1 | 24.7 | 31.0 | 32.3 | 34.8 | 
| THH | 10.4 | 14.1 | 14.5 | 20.3 | |
| THB | 9.7 | 11.5 | 14.3 | 14.7 | 16.6 | 
| PBS-27 | 1.7 | 6.3 | 6.6 | 9.0 | 14.8 | 
| PBS-15 | 7.2 | 8.1 | 8.3 | 10.1 | 12.8 | 
| PBS-5 | 12.7 | 13.0 | 13.3 | 15.5 | 
| PBAT-26 | PBAT-10 | THH | THB | PBS-27 | PBS-15 | PBS-5 | ||
|---|---|---|---|---|---|---|---|---|
| 0 day | Mw (KDa) | 89 | 120 | 102 | 101 | 110 | 100 | 90 | 
| PDI | 1.6 | 1.6 | 1.6 | 1.5 | 1.8 | 1.8 | 1.8 | |
| 60 days | Mw (KDa) | 88 | 117 | 97 | 98 | 103 | 94 | 88 | 
| PDI | 1.7 | 1.6 | 1.7 | 1.6 | 1.9 | 1.8 | 1.9 | |
| 90 days | Mw (KDa) | 86 | 113 | 94 | 94 | 92 | 88 | 83 | 
| PDI | 1.8 | 1.7 | 1.7 | 1.7 | 1.9 | 2.0 | 1.9 | 
| PBAT-26 | PBAT-10 | THH | THB | PBS-27 | PBS-15 | PBS-5 | |
|---|---|---|---|---|---|---|---|
| C (%) | 63.12 | 63.28 | 62.34 | 60.94 | 55.76 | 56.01 | 56.36 | 
| ThCO2 (mg/mg) | 231.44 | 232.03 | 228.58 | 223.45 | 204.45 | 205.37 | 206.65 | 
Publisher’s Note: MDPI stays neutral with regard to jurisdictional claims in published maps and institutional affiliations.  | 
© 2022 by the authors. Licensee MDPI, Basel, Switzerland. This article is an open access article distributed under the terms and conditions of the Creative Commons Attribution (CC BY) license (https://creativecommons.org/licenses/by/4.0/).
Share and Cite
Liu, B.; Guan, T.; Wu, G.; Fu, Y.; Weng, Y. Biodegradation Behavior of Degradable Mulch with Poly (Butylene Adipate-co-Terephthalate) (PBAT) and Poly (Butylene Succinate) (PBS) in Simulation Marine Environment. Polymers 2022, 14, 1515. https://doi.org/10.3390/polym14081515
Liu B, Guan T, Wu G, Fu Y, Weng Y. Biodegradation Behavior of Degradable Mulch with Poly (Butylene Adipate-co-Terephthalate) (PBAT) and Poly (Butylene Succinate) (PBS) in Simulation Marine Environment. Polymers. 2022; 14(8):1515. https://doi.org/10.3390/polym14081515
Chicago/Turabian StyleLiu, Bo, Tonghui Guan, Gang Wu, Ye Fu, and Yunxuan Weng. 2022. "Biodegradation Behavior of Degradable Mulch with Poly (Butylene Adipate-co-Terephthalate) (PBAT) and Poly (Butylene Succinate) (PBS) in Simulation Marine Environment" Polymers 14, no. 8: 1515. https://doi.org/10.3390/polym14081515
APA StyleLiu, B., Guan, T., Wu, G., Fu, Y., & Weng, Y. (2022). Biodegradation Behavior of Degradable Mulch with Poly (Butylene Adipate-co-Terephthalate) (PBAT) and Poly (Butylene Succinate) (PBS) in Simulation Marine Environment. Polymers, 14(8), 1515. https://doi.org/10.3390/polym14081515
        
                                                
