Microencapsulation of Piscirickettsia salmonis Antigens for Fish Oral Immunization: Optimization and Stability Studies
Abstract
1. Introduction
2. Materials and Methods
2.1. Materials
2.2. Preliminary Study for Formation and Characterization of Microparticles
2.3. Optimization of Microparticle Encapsulation Efficiency
Determining Encapsulation Efficiency
2.4. Evaluating Stability of Encapsulated Antigens
2.4.1. Evaluating the Effect of pH, Temperature and Salinity
2.4.2. Microparticle Stability in Fresh Water and Sea Water
2.4.3. Storage Stability
2.4.4. Simulated Fish Gastrointestinal Conditions
2.5. Assessment of Microparticle Incorporation in Fish Feed Pellets
2.6. Statistical Analysis
3. Results
3.1. Preliminary Study for the Formation and Characterization of Microparticles
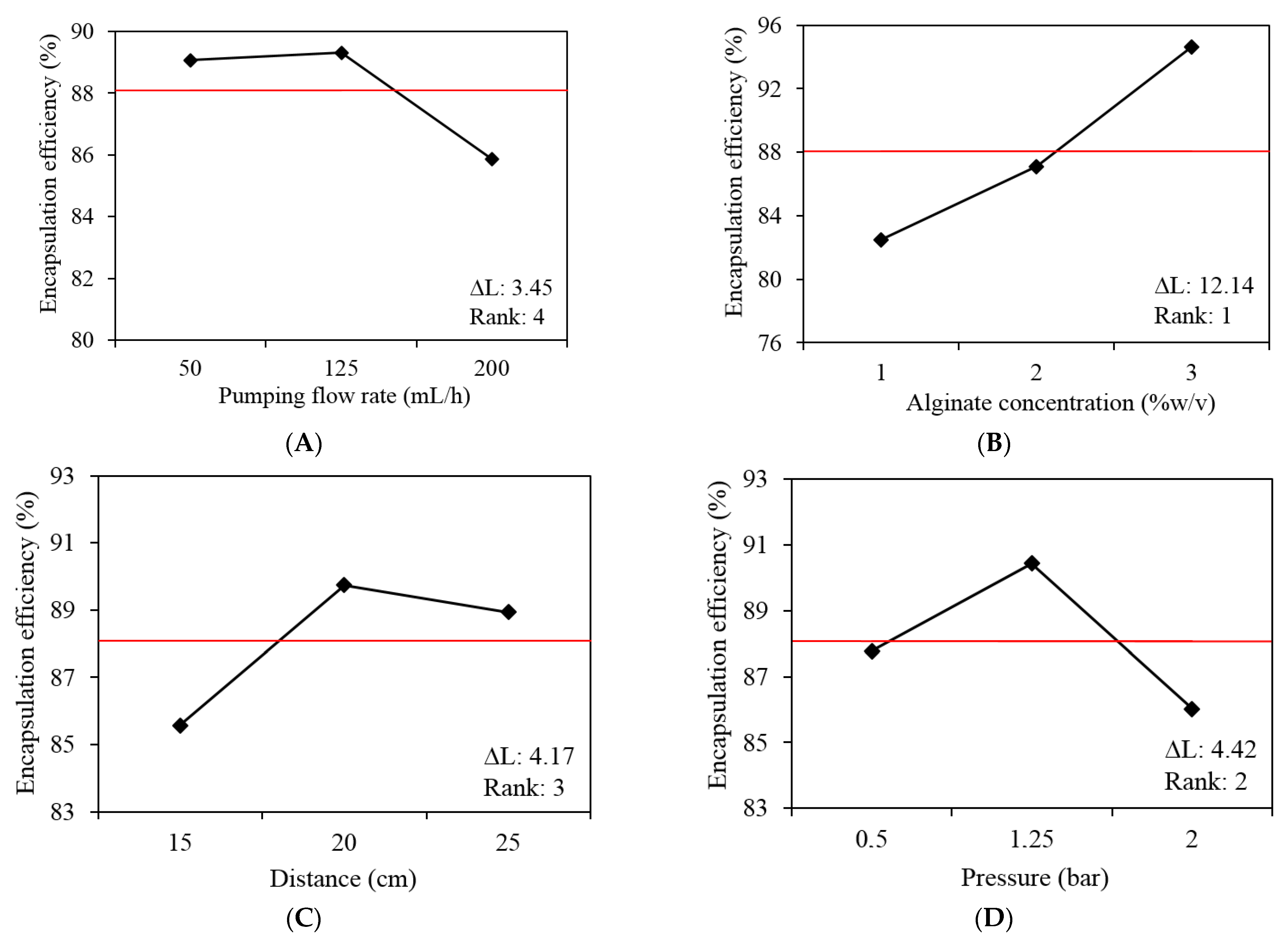
3.2. Optimization of Microparticle Encapsulation Efficiency
3.3. Stability of Encapsulated Antigens
3.3.1. Effect of pH, Temperature and Salinity
3.3.2. Storage Stability
3.3.3. Stability under Simulated Fish Gastrointestinal Conditions
3.4. Assessment of Microparticle Incorporation in Fish Feed Pellets
4. Discussion
5. Conclusions
Author Contributions
Funding
Institutional Review Board Statement
Data Availability Statement
Acknowledgments
Conflicts of Interest
References
- Adelmann, M.; Kollner, B.; Bergmann, S.M.; Fischer, U.; Lange, B.; Weitschies, W.; Enzmann, P.J.; Fichtner, D. Development of an oral vaccine for immunisation of rainbow trout (Oncorhynchus mykiss) against viral haemorrhagic septicaemia. Vaccine 2008, 26, 837–844. [Google Scholar] [CrossRef]
- Embregts, C.W.E.; Forlenza, M. Oral vaccination of fish: Lessons from humans and veterinary species. Dev. Comp. Immunol. 2016, 64, 118–137. [Google Scholar] [CrossRef]
- Duff, D.C.B. The oral immunization of trout against Bacterium salmonicida. J. Immunol. 1942, 44, 87–94. [Google Scholar]
- Azad, I.; Shankar, K.; Mohan, C.; Kalita, B. Biofilm vaccine of Aeromonas hydrophila—Standardization of dose and duration for oral vaccination of carps. Fish Shellfish Immunol. 1999, 9, 519–528. [Google Scholar] [CrossRef]
- Choi, S.H.; Kim, M.S.; Kim, K.H. Protection of olive flounder (Paralichthys olivaceus) against Edwardsiella tarda infection by oral administration of auxotrophic mutant E. tarda (∆alr ∆asd E. tarda). Aquaculture 2011, 317, 48–52. [Google Scholar] [CrossRef]
- Huang, L.Y.; Wang, K.Y.; Xiao, D.; Chen, D.F.; Geng, Y.; Wang, J.; He, Y.; Wang, E.L.; Huang, J.L.; Xiao, G.Y. Safety and immunogenicity of an oral DNA vaccine encoding Sip of Streptococcus agalactiae from Nile tilapia Oreochromis niloticus delivered by live attenuated Salmonella typhimurium. Fish Shellfish Immunol. 2014, 38, 34–41. [Google Scholar] [CrossRef] [PubMed]
- Bowden, T.J.; Menoyo-Luque, D.; Bricknell, I.R.; Wergeland, H. Efficacy of different administration routes for vaccination against Vibrio anguillarum in Atlantic halibut (Hippoglossus hippoglossus L.). Fish Shellfish Immunol. 2002, 12, 283–285. [Google Scholar] [CrossRef] [PubMed]
- Gao, P.; Xia, G.; Bao, Z.; Feng, C.; Cheng, X.; Kong, M.; Liu, Y.; Chen, X. Chitosan based nanoparticles as protein carriers for efficient oral antigen delivery. Int. J. Biol. Macromol. 2016, 91, 716–723. [Google Scholar] [CrossRef]
- Ballesteros, N.A.; Alonso, M.; Saint-Jean, S.R.; Perez-Prieto, S.I. An oral DNA vaccine against infectious haematopoietic necrosis virus (IHNV) encapsulated in alginate microspheres induces dose-dependent immune responses and significant protection in rainbow trout (Oncorrhynchus mykiss). Fish Shellfish Immunol. 2015, 45, 877–888. [Google Scholar] [CrossRef]
- Rivas-Aravena, A.; Fuentes, Y.; Cartagena, J.; Brito, T.; Poggio, V.; La Torre, J.; Mendoza, H.; Gonzalez-Nilo, F.; Sandino, A.M.; Spencer, E. Development of a nanoparticle-based oral vaccine for Atlantic salmon against ISAV using an alphavirus replicon as adjuvant. Fish Shellfish Immunol. 2015, 45, 157–166. [Google Scholar] [CrossRef]
- Caruffo, M.; Maturana, C.; Kambalapally, S.; Larenas, J.; Tobar, J. Protective oral vaccination against infectious salmon anaemia virus in Salmo salar. Fish Shellfish Immunol. 2016, 54, 54–59. [Google Scholar] [CrossRef]
- De las Heras, A.I.; Rodríguez, S.; Perez-Prieto, S.I. Immunogenic and protective effects of an oral DNA vaccine against infectious pancreatic necrosis virus in fish. Fish Shellfish Immunol. 2010, 28, 562–570. [Google Scholar] [CrossRef]
- Chen, L.; Klaric, G.; Wadsworth, S.; Jayasinghe, S.; Kuo, T.Y. Augmentation of the antibody response of Atlantic Salmon by oral administration of alginate-encapsulated IPNV antigens. PLoS ONE 2014, 9, e109337. [Google Scholar] [CrossRef] [PubMed]
- Reyes, M.; Ramirez, C.; Ñancucheo, I.; Villegas, R.; Schaffeld, G.; Kriman, L.; Gonzalez, J.; Oyarzun, P. A novel “in-feed” delivery platform applied for oral DNA vaccination against IPNV enables high protection in Atlantic salmon (Salmo salar). Vaccine 2017, 35, 626–632. [Google Scholar] [CrossRef]
- Oliver, C.; Valenzuela, K.; Silva, H.; Haro, R.E.; Cortés, M.; Sandoval, R.; Pontigo, J.P.; Álvarez, C.; Figueroa, J.E.; Avendaño-Herrera, R.; et al. Effectiveness of egg yolk immunoglobulin against the intracellular salmonid pathogen Piscirickettsia salmonis. J. Appl. Microbiol. 2015, 119, 365–376. [Google Scholar] [CrossRef]
- Tobar, J.A.; Jerez, S.; Caruffo, M.; Bravo, C.; Contreras, F.; Bucarey, S.A.; Harel, M. Oral vaccination of Atlantic salmon (Salmo salar) against salmonid rickettsial septicaemia. Vaccine 2011, 29, 2336–2340. [Google Scholar] [CrossRef]
- Sotomayor-Gerding, D.; Troncoso, J.M.; Pino, A.; Almendras, F.; Rubilar, M. Assessing the Immune Response of Atlantic Salmon (Salmo salar) after the Oral Intake of Alginate-Encapsulated Piscirickettsia salmonis Antigens. Vaccines 2020, 8, 450. [Google Scholar] [CrossRef] [PubMed]
- Johnson, K.A.; Amend, D.F. Efficacy of Vibrio anguillarum and Yersinia ruckeri bacterins applied by oral and anal intubation of salmonids. J. Fish Dis. 1983, 6, 473–476. [Google Scholar] [CrossRef]
- Rombout, J.H.W.M.; van den Berg, A.A.; van den Berg, C.T.G.A.; Witte, P.; Egberts, E. Immunological importance of the second gut segment of carp. III. Systemic and/or mucosal immune responses after immunization with soluble or particulate antigen. J. Fish Biol. 1989, 35, 179–186. [Google Scholar] [CrossRef]
- Joosten, P.H.M.; Tiemersma, E.; Threels, A.; Caumati-Dhiux, C.; Rombout, J.H.W.M. Oral vaccination of fish against Vibrio anguillarum using alginate microparticles. Fish Shellfish Immunol. 1997, 7, 471–485. [Google Scholar] [CrossRef]
- Bushra, R.; Aslam, N.; Yar Khan, A. Food-Drug Interactions. Oman Med. J. 2011, 26, 77–83. [Google Scholar] [CrossRef]
- Rodrigues, A.P.; Hirsh, D.; Figueiredo, H.C.P.; Logato, P.V.R.; Moraes, A.M. Production and characterisation of alginate microparticles incorporating Aeromonas hydrophila designed for fish oral vaccination. Process Biochem. 2006, 41, 638–643. [Google Scholar] [CrossRef]
- Sun, J.; Tan, H. Alginate-Based Biomaterials for Regenerative Medicine Applications. Materials 2013, 6, 1285–1309. [Google Scholar] [CrossRef] [PubMed]
- Leong, J.Y.; Lam, W.; Ho, K.; Voo, W.; Lee, M.; Lim, H.; Lim, S.; Tey, B.; Poncelet, D.; Chan, E. Advances in fabricating spherical alginate hydrogels with controlled particle designs by ionotropic gelation as encapsulation systems. Particuology 2015, 24, 44–60. [Google Scholar] [CrossRef]
- Yu, C.Y.; Zhang, X.C.; Zhou, F.Z.; Zhang, X.Z.; Cheng, S.X.; Zhuo, R.X. Sustained release of antineoplastic drugs from chitosan-reinforced alginate microparticle drug delivery systems. Int. J. Pharm. 2008, 357, 15–21. [Google Scholar] [CrossRef]
- Tonnesen, H.H.; Karlsen, J. Alginate in drug delivery systems. Drug Dev. Ind. Pharm. 2002, 28, 621–630. [Google Scholar] [CrossRef]
- Mutoloki, S.; Munang’andu, H.M.; Evensen, Ø. Oral vaccination of fish—Antigen preparations, uptake, and immune induction. Front. Immunol. 2015, 6, 519. [Google Scholar] [CrossRef]
- Morales, E.; Rubilar, M.; Burgos-Díaz, C.; Acevedo, F.; Penning, M.; Shene, C. Alginate/shellac beads developed by external gelation as a highly efficient model system for oil encapsulation with intestinal delivery. Food Hydrocoll. 2017, 70, 321–328. [Google Scholar] [CrossRef]
- Klaric, G. Oral Delivery of Protein Antigens to Atlantic Salmon. Ph.D. Thesis, University College London, London, UK, 17 December 2015. Available online: https://core.ac.uk/download/pdf/79497908.pdf (accessed on 3 October 2022).
- Arumuganathar, S.; Suter, N.; Walzel, P.; Jayasinghe, S.N. Aerodynamically assisted jetting and threading for processing concentrated suspensions containing advanced structural, functional and biological materials. Biotechnol. J. 2009, 4, 64–72. [Google Scholar] [CrossRef]
- Wadsworth, S.; Klaric, G.; Jayasinghe, S.N.; Oral Delivery System for Bioactive Agents. International Publication Number WO 2016/195509 A1. 2016. Available online: https://patentimages.storage.googleapis.com/59/81/40/fb8cb0d5fb5053/WO2016195509A1.pdf (accessed on 3 October 2022).
- Mardones, F.O.; Paredes, F.; Medina, M.; Tello, A.; Valdivia, V.; Ibarra, R.; Correa, J.; Gelcich, S. Identification of research gaps for highly infectious diseases in aquaculture: The case of the endemic Piscirickettsia salmonis in the Chilean salmon farming industry. Aquaculture 2018, 482, 211–220. [Google Scholar] [CrossRef]
- Qian, C.; Decker, E.A.; Xiao, H.; McClements, D.J. Physical and chemical stability of b-carotene-enriched nanoemulsions: Influence of pH, ionic strength, temperature, and emulsifier type. Food Chem. 2012, 132, 1221–1229. [Google Scholar] [CrossRef] [PubMed]
- Sotomayor-Gerding, D.; Oomah, B.D.; Acevedo, F.; Morales, E.; Bustamante, M.; Shene, C.; Rubilar, M. High carotenoid bioaccessibility through linseed oil nanoemulsions with enhanced physical and oxidative stability. Food Chem. 2016, 199, 463–470. [Google Scholar] [CrossRef] [PubMed]
- Contardo, I.; Bouchon, P. Enhancing Micro-CT methods to quantify oil content and porosity in starch gluten matrices. J. Food Eng. 2018, 237, 154–161. [Google Scholar] [CrossRef]
- Pontigo, J.P.; Espinoza, C.; Hernandez, M.; Nourdin, G.; Oliver, C.; Avendaño-Herrera, R.; Figueroa, J.; Rauch, C.; Troncoso, J.M.; Vargas-Chacoff, L.; et al. Protein-Based Vaccine Protect Against Piscirickettsia salmonis in Atlantic Salmon (Salmo salar). Front. Immunol. 2021, 12, 602689. [Google Scholar] [CrossRef]
- Coppi, G.; Iannuccelli, V.; Leo, E.; Bernabei, M.T.; Cameroni, R. Chitosan-alginate microparticles as a protein carrier. Drug Dev. Ind. Pharm. 2001, 27, 393–400. [Google Scholar] [CrossRef]
- Smith, P.K.; Krohn, R.I.; Hermanson, G.T.; Mallia, A.K.; Gartner, F.H.; Provenzano, M.D.; Fujimoto, E.K.; Goeke, N.M.; Olson, B.J.; Klenk, D.C. Measurement of protein using bicinchoninic acid. Anal. Biochem. 1985, 150, 76–85. [Google Scholar] [CrossRef]
- Jayasinghe, N. Biojets in regenerative biology & medicine. Mater. Today 2011, 14, 202–211. [Google Scholar] [CrossRef]
- Arumuganathar, S.; Jayasinghe, S.N.; Suter, N. Aerodynamically assisted jet processing of viscous single- and multi-phase media. Soft Matter 2007, 3, 605–612. [Google Scholar] [CrossRef]
- Khan, A.D.; Singh, L. Various techniques of bioavailability enhancement: A review. J. Drug Deliv. Ther. 2016, 6, 34–41. [Google Scholar] [CrossRef]
- Yu, C.Y.; Jia, L.H.; Cheng, S.X.; Zhang, X.Z.; Zhuo, R.X. Fabrication of microparticle protein delivery systems based on calcium alginate. J. Microencapsul. 2010, 27, 171–177. [Google Scholar] [CrossRef]
- Piornos, J.A.; Burgos-Diaz, C.; Morales, E.; Rubilar, M.; Acevedo, F. Highly efficient encapsulation of linseed oil into alginate/ lupin protein beads: Optimization of the emulsion formulation. Food Hydrocoll. 2017, 63, 139–148. [Google Scholar] [CrossRef]
- Zhang, Z.; Zhang, R.; Zou, L.; McClements, D.J. Protein encapsulation in alginate hydrogel beads: Effect of pH on microgel stability, protein retention and protein release. Food Hydrocoll. 2016, 58, 308–315. [Google Scholar] [CrossRef]
- Li, Y.; Hu, M.; Du, Y.; Xiao, H.; McClements, D.J. Control of lipase digestibility of emulsified lipids by encapsulation within calcium alginate beads. Food Hydrocoll. 2011, 25, 122–130. [Google Scholar] [CrossRef]
- Zhang, Z.; Zhang, R.; Chen, L.; Tong, Q.; McClements, D.J. Designing hydrogel particles for controlled or targeted release of lipophilic bioactive agents in the gastrointestinal tract. Eur. Polym. J. 2015, 72, 698–716. [Google Scholar] [CrossRef]
- Ching, S.H.; Bansal, N.; Bhandari, B. Alginate gel particles- A review of production techniques and physical properties. Crit. Rev. Food Sci. Nutr. 2017, 57, 1133–1152. [Google Scholar] [CrossRef]
- Gombotz, W.R.; Wee, S.F. Protein release from alginate matrices. Adv. Drug Deliv. Rev. 1998, 31, 267–285. [Google Scholar] [CrossRef]
- Zou, L.; Zhang, Z.; Zhang, R.; Liu, W.; Liu, C.; Xiao, H.; McClements, D.J. Encapsulation of protein nanoparticles within alginate microparticles: Impact of pH and ionic strength on functional performance. J. Food Eng. 2016, 178, 81–89. [Google Scholar] [CrossRef]
- Lewis, E.L. The Practical Salinity Scale of 1978 and its antecedents. Mar. Geodesy 1982, 5, 350–357. [Google Scholar] [CrossRef]
- Lillehaug, A. Vaccination strategies in seawater cage culture of salmonids. Dev. Biol. Stand. 1997, 90, 401–408. [Google Scholar] [PubMed]
- Rozas, M.; Enríquez, R. Piscirickettsiosis and Piscirickettsia salmonis in fish: A review. J. Fish Dis. 2014, 37, 163–188. [Google Scholar] [CrossRef]
- Yaacob, E.N.; Goethals, J.; Bajek, A.; Dierckens, K.; Bossier, P.; De Geest, B.G.; Vanrompay, D. Preparation and Characterization of Alginate Microparticles Containing a Model Protein for Oral Administration in Gnotobiotic European Sea Bass (Dicentrarchus labrax) Larvae. Mar. Biotechnol. 2017, 19, 391–400. [Google Scholar] [CrossRef] [PubMed]
- Maleki, G.; Woltering, E.J.; Mozafari, M.R. Applications of chitosan-based carrier as an encapsulating agent in food industry. Trends Food Sci. Technol. 2022, 120, 88–99. [Google Scholar] [CrossRef]
- Nualkaekul, S.; Lenton, D.; Cook, M.T.; Khutoryanskiy, V.V.; Charalampopoulos, D. Chitosan coated alginate beads for the survival of microencapsulated Lactobacillus plantarum in pomegranate juice. Carbohydr. Polym. 2012, 90, 1281–1287. [Google Scholar] [CrossRef]
- Vega-Carranza, A.S.; Cervantes-Chávez, J.A.; Luna-Bárcenas, G.; Luna-González, A.; Diarte-Plata, G.; Nava-Mendoza, R.; Rodríguez-Morales, J.A.; Escamilla-Montes, R.; Pool, H. Alginate microcapsules as delivery and protective systems of Bacillus licheniformis in a simulated shrimp’s digestive tract. Aquaculture 2021, 540, 736675. [Google Scholar] [CrossRef]
- George, M.; Abraham, T.E. Polyionic hydrocolloids for the intestinal delivery of protein drugs: Alginate and chitosan—A review. J. Control. Release 2006, 114, 1–14. [Google Scholar] [CrossRef]
- Bogevik, A.S.; Samuelsen, T.A.; Aspevik, T.; Romarheim, O.H.; Synnove Aas, T.; Kalananthan, T.; Ronnestad, I. Disintegration stability of extruded fish feed affects gastric functions in Atlantic salmon (Salmo salar). Aquaculture 2021, 543, 737006. [Google Scholar] [CrossRef]
- Kim, D.; Beck, B.R.; Lee, S.M.; Jeon, J.; Lee, D.W.; Lee, J.I.; Song, S.K. Pellet feed adsorbed with the recombinant Lactococcus lactis BFE920 expressing SiMA antigen induced strong recall vaccine effects against Streptococcus iniae infection in olive flounder (Paralichthys olivaceus). Fish Shellfish Immunol. 2016, 55, 374–383. [Google Scholar] [CrossRef]
- Megibow, A.J.; Bosniak, M.A. Dilute barium as a contrast agent for abdominal CT. AJR Am. J. Roentgenol. 1980, 134, 1273–1274. [Google Scholar] [CrossRef]
- Draganovic, V.; van der Goot, A.J.; Boom, R.; Jonkers, J. Wheat gluten in extruded fish feed: Effects on morphology and on physical and functional properties. Aquac. Nutr. 2013, 19, 845–859. [Google Scholar] [CrossRef]







| Coded Variables | Non-Coded Variables | |||||||
|---|---|---|---|---|---|---|---|---|
| Design Point | A | B | C | D | Flow Rate (mL/h) | Alginate (% w/v) | Distance (cm) | Pressure (bar) |
| 1 | 1 | 1 | 1 | 1 | 50 | 1 | 15 | 0.5 |
| 2 | 1 | 2 | 2 | 2 | 50 | 2 | 20 | 1.25 |
| 3 | 1 | 3 | 3 | 3 | 50 | 3 | 25 | 2 |
| 4 | 2 | 1 | 2 | 3 | 125 | 1 | 20 | 2 |
| 5 | 2 | 2 | 3 | 1 | 125 | 2 | 25 | 0.5 |
| 6 | 2 | 3 | 1 | 2 | 125 | 3 | 15 | 1.25 |
| 7 | 3 | 1 | 3 | 2 | 200 | 1 | 25 | 1.25 |
| 8 | 3 | 2 | 1 | 3 | 200 | 2 | 15 | 2 |
| 9 | 3 | 3 | 2 | 1 | 200 | 3 | 20 | 0.5 |
| Design Point | Flow Rate (mL/h) | Alginate (% w/v) | Distance (cm) | Pressure (bar) | Encapsulation Efficiency (EE%) | Productivity 1 (grams) |
|---|---|---|---|---|---|---|
| 1 | 50 | 1 | 15 | 0.5 | 80.66 ± 4.85 | 6.00 ± 0.62 |
| 2 | 50 | 2 | 20 | 1.25 | 92.11 ± 1.64 | 9.96 ± 0.57 |
| 3 | 50 | 3 | 25 | 2 | 94.41 ± 2.77 | 11.64 ± 0.16 |
| 4 | 125 | 1 | 20 | 2 | 83.33 ± 2.53 | 7.44 ± 0.76 |
| 5 | 125 | 2 | 25 | 0.5 | 88.89 ± 4.41 | 8.64 ± 0.80 |
| 6 | 125 | 3 | 15 | 1.25 | 95.72 ± 0.47 | 13.92 ± 0.56 |
| 7 | 200 | 1 | 25 | 1.25 | 83.50 ± 0.55 | 5.28 ± 0.43 |
| 8 | 200 | 2 | 15 | 2 | 80.31 ± 8.86 | 8.04 ± 0.58 |
| 9 | 200 | 3 | 20 | 0.5 | 93.77 ± 3.39 | 22.56 ± 0.77 |
Publisher’s Note: MDPI stays neutral with regard to jurisdictional claims in published maps and institutional affiliations. |
© 2022 by the authors. Licensee MDPI, Basel, Switzerland. This article is an open access article distributed under the terms and conditions of the Creative Commons Attribution (CC BY) license (https://creativecommons.org/licenses/by/4.0/).
Share and Cite
Sotomayor-Gerding, D.; Troncoso, J.M.; Díaz-Riquelme, K.; Torres-Obreque, K.M.; Cumilaf, J.; Yañez, A.J.; Rubilar, M. Microencapsulation of Piscirickettsia salmonis Antigens for Fish Oral Immunization: Optimization and Stability Studies. Polymers 2022, 14, 5115. https://doi.org/10.3390/polym14235115
Sotomayor-Gerding D, Troncoso JM, Díaz-Riquelme K, Torres-Obreque KM, Cumilaf J, Yañez AJ, Rubilar M. Microencapsulation of Piscirickettsia salmonis Antigens for Fish Oral Immunization: Optimization and Stability Studies. Polymers. 2022; 14(23):5115. https://doi.org/10.3390/polym14235115
Chicago/Turabian StyleSotomayor-Gerding, Daniela, José Miguel Troncoso, Katherine Díaz-Riquelme, Karin Mariana Torres-Obreque, Juan Cumilaf, Alejandro J. Yañez, and Mónica Rubilar. 2022. "Microencapsulation of Piscirickettsia salmonis Antigens for Fish Oral Immunization: Optimization and Stability Studies" Polymers 14, no. 23: 5115. https://doi.org/10.3390/polym14235115
APA StyleSotomayor-Gerding, D., Troncoso, J. M., Díaz-Riquelme, K., Torres-Obreque, K. M., Cumilaf, J., Yañez, A. J., & Rubilar, M. (2022). Microencapsulation of Piscirickettsia salmonis Antigens for Fish Oral Immunization: Optimization and Stability Studies. Polymers, 14(23), 5115. https://doi.org/10.3390/polym14235115

